Lightweight Super-Resolution Generative Adversarial Network for SAR Images
Abstract
1. Introduction
2. Related Works
2.1. SAR Image Super-Resolution
2.2. Lightweight Technology
3. Method
3.1. Network Structure
3.2. Residual Module Improvements
3.2.1. Depthwise Separable Convolution
3.2.2. SeLU Activation Function
3.2.3. Lightweight Residual Module
3.3. Coordinate Attention
3.4. Loss Function
4. Experiments
4.1. Software and Hardware Configuration
4.2. Evaluation Indicators
4.3. Datasets and Materials
4.4. Experimental Results
4.4.1. Quantitative Results
4.4.2. Qualitative Results
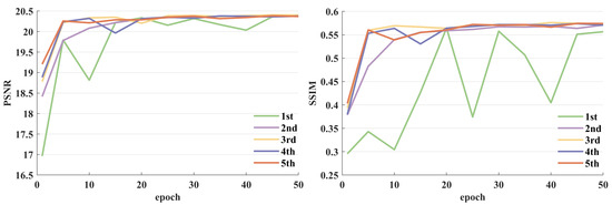
4.5. Ablation Studies
5. Conclusions
Author Contributions
Funding
Data Availability Statement
Acknowledgments
Conflicts of Interest
References
- Xu, F.; Jin, Y.Q. Microwave vision and intelligent perception of radar imagery. J. Radars, 2024; in press. [Google Scholar]
 - Yang, X.L.; Xu, D.W.; Huang, P.P.; Yang, W. Change detection of high resolution SAR images by the fusion of coherent/incoherent information. J. Radars 2015, 4, 582–590. [Google Scholar]
 - Wang, Z.M.; Zhu, J.B.; Xie, M.H. Technique of SAR Image Super-Resolution, 2nd ed.; Science Press: Beijing, China, 2013; pp. 102–275. [Google Scholar]
 - Freeman, W.T.; Jones, T.R.; Pasztor, E.C. Example-based super-resolution. IEEE Comput. Graph. Appl. 2002, 22, 56–65. [Google Scholar] [CrossRef]
 - Dong, W.; Zhang, L.; Shi, G.; Wu, X. Image deblurring and super-resolution by adaptive sparse domain selection and adaptive regularization. IEEE Trans. Image Process. 2011, 20, 1838–1857. [Google Scholar] [CrossRef]
 - He, C.; Liu, L.; Xu, L.; Liu, M.; Liao, M. Learning based compressed sensing for SAR image super-resolution. IEEE J. Sel. Top. Appl. Earth Obs. Remote Sens. 2012, 5, 1272–1281. [Google Scholar] [CrossRef]
 - Kulkarni, N.; Nagesh, P.; Gowda, R.; Li, B. Understanding compressive sensing and sparse representation-based super-resolution. IEEE Trans. Circuits Syst. Video Technol. 2012, 22, 778–789. [Google Scholar] [CrossRef]
 - Karimi, N.; Taban, M.R. Nonparametric blind SAR image super resolution based on combination of the compressive sensing and sparse priors. J. Vis. Commun. Image Represent. 2018, 55, 853–865. [Google Scholar] [CrossRef]
 - Dong, C.; Loy, C.C.; He, K.M.; Tang, X.O. Image super-resolution using deep convolutional networks. IEEE Trans. Pattern Anal. Mach. Intell. 2016, 38, 295–307. [Google Scholar] [CrossRef]
 - Dong, C.; Loy, C.C.; Tang, X.O. Accelerating the Super-Resolution Convolutional Neural Network. In Proceedings of the European Conference on Computer Vision (ECCV), Amsterdam, The Netherlands, 8–16 October 2016; pp. 391–407. [Google Scholar]
 - Lim, B.; Son, S.; Kim, H.; Nah, S.; Lee, K.M. Enhanced deep Residual Networks for single image super-resolution. In Proceedings of the IEEE Conference on Computer Vision and Pattern Recognition (CVPR), Honolulu, HI, USA, 21–26 July 2017; pp. 136–144. [Google Scholar]
 - Ledig, C.; Theis, L.; Huszar, F.; Caballero, J. Photo-realistic single image super-resolution using a Generative Adversarial Network. In Proceedings of the IEEE Conference on Computer Vision and Pattern Recognition (CVPR), Honolulu, HI, USA, 21–26 July 2017; pp. 4681–4690. [Google Scholar]
 - Wang, X.T.; Yu, K.; Wu, S.X.; Gu, J.J. ESRGAN: Enhanced super-resolution Generative Adversarial Networks. In Proceedings of the European Conference on Computer Vision (ECCV), Munich, Germany, 8–14 September 2018; pp. 63–79. [Google Scholar]
 - Pathak, H.N.; Li, X.; Minaee, S.; Cowan, B. Efficient super resolution for large-scale images using attentional GAN. In Proceedings of the IEEE International Conference on Big Data, Seattle, WA, USA, 10–13 December 2018; pp. 1777–1786. [Google Scholar]
 - Zhang, K.; Zuo, W.M.; Zhang, L. Deep plug-and-Play super-resolution for arbitrary blur kernels. In Proceedings of the IEEE Conference on Computer Vision and Pattern Recognition (CVPR), Long Beach, NY, USA, 15–20 June 2019; pp. 1671–1681. [Google Scholar]
 - Shen, H.F.; Lin, L.P.; Li, J.; Yuan, Q.Q.; Zhao, L.L. A residual convolutional neural network for polarimetric SAR image super-resolution. ISPRS-J. Photogramm. Remote Sens. 2020, 161, 90–108. [Google Scholar] [CrossRef]
 - Duan, M.J.; Zhang, Y.R.; Li, H.; Wang, Y.Q.; Fang, J.; Wang, J.J.; Zhao, Y.F. Learning a deep ResNet for SAR image super-resolution. In Proceedings of the SAR in Big Data Era, Nanjing, China, 22–24 September 2021; pp. 1–3. [Google Scholar]
 - Li, M.; Liu, C. Super-resolution reconstruction of SAR images based on feature reuse dilated-residual convolutional neural networks. J. Radars 2020, 9, 363–372. [Google Scholar]
 - Xiao, G.Y.; Dong, Z.Y.; Yang, X.Z. SAR image super-resolution reconstruction based on cross-resolution discrimination. J. Electron. Imaging 2021, 30, 053018. [Google Scholar]
 - Optical Image Guided Multi-Scale Learning for Synthetic Aperture Radar Image Super-Resolution. Available online: https://www.researchsquare.com/article/rs-1687789/v1 (accessed on 9 May 2024).
 - Wang, L.G.; Zheng, M.N.; Du, W.B.; Wei, M.L.; Li, L.L. Super-resolution SAR image reconstruction via Generative Adversarial Network. In Proceedings of the International Symposium on Antennas, Propagation and EM Theory, Hangzhou, China, 3–6 December 2018; pp. 1–4. [Google Scholar]
 - Zheng, C.; Jiang, X.; Zhang, Y.; Liu, X.Z.; Yuan, B.; Li, Z.X. Self-normalizing Generative Adversarial Network for super-resolution reconstruction of SAR images. In Proceedings of the IEEE International Geoscience and Remote Sensing Symposium (IGARSS), Yokohama, Japan, 28 July–2 August 2019; pp. 1911–1914. [Google Scholar]
 - Wang, J.; Feng, S.C.; Cheng, Y. Survey of research on lightweight neural network structures for deep learning. Comput. Eng. 2021, 47, 1–13. [Google Scholar]
 - Iandola, F.N.; Han, S.; Moskewicz, M.W.; Ashraf, K.; Dally, W.J.; Keutzer, K. Squeezenet: Alexnet-level accuracy with 50× fewer parameters and <0.5 MB model size. arXiv 2016, arXiv:1602.07360. [Google Scholar]
 - Howard, A.G.; Zhu, M.L.; Chen, B.; Kalenichenko, D.; Wang, W.J.; Weyand, T.; Andreetto, M.; Adam, H. MobileNets: Efficient convolutional neural networks for mobile vision applications. arXiv 2017, arXiv:1704.04861v1. [Google Scholar]
 - Sandler, M.; Howard, A.; Zhu, M.L.; Zhmoginov, A.; Chen, L.C. MobileNetV2: Inverted residuals and linear bottlenecks. In Proceedings of the IEEE Conference on Computer Vision and Pattern Recognition (CVPR), Salt Lake City, UT, USA, 18–22 June 2018; pp. 4510–4520. [Google Scholar]
 - Zhang, X.Y.; Zhou, X.Y.; Lin, M.X.; Sun, J. Shufflenet: An extremely efficient convolutional neural network for mobile devices. In Proceedings of the IEEE Conference on Computer Vision and Pattern Recognition (CVPR), Salt Lake City, UT, USA, 18–22 June 2018; pp. 6848–6856. [Google Scholar]
 - Sifre, L.; Mallat, S. Rigid-motion scattering for texture classification. arXiv 2014, arXiv:1403.1687. [Google Scholar]
 - Wang, J.; Xiong, H.; Wang, H.; Nian, X. ADSCNet: Asymmetric depthwise separable convolution for semantic segmentation in real-time. Appl. Intell. 2020, 50, 1045–1056. [Google Scholar] [CrossRef]
 - Jang, J.G.; Quan, C.; Lee, H.D.; Kang, U. FALCON: Lightweight and accurate convolution based on depthwise separable convolution. Knowl. Inf. Syst. 2023, 65, 2225–2249. [Google Scholar] [CrossRef]
 - Guo, X.Y.; Yang, K.; Yang, W.K.; Wang, X.G.; Li, H.S. Group-wise correlation stereo network. In Proceedings of the IEEE Conference on Computer Vision and Pattern Recognition (CVPR), Long Beach, NY, USA, 15–20 June 2019; pp. 3273–3282. [Google Scholar]
 - Fan, S.J.; Liang, W.; Ding, D.R.; Yu, H. LACN: A lightweight attention-guided ConvNeXt network for low-light image enhancement. Eng. Appl. Artif. Intell. 2023, 117, 105632. [Google Scholar] [CrossRef]
 - Gao, D.D.; Zhou, D.W. A very lightweight and efficient image super-resolution network. Expert Syst. Appl. 2023, 213, 118898. [Google Scholar] [CrossRef]
 - Chen, Y.P.; Dai, X.Y.; Liu, M.C.; Chen, D.D.; Yuan, L.; Liu, Z.C. Dynamic convolution: Attention over convolution kernels. In Proceedings of the IEEE Conference on Computer Vision and Pattern Recognition (CVPR), Seattle, WA, USA, 13–19 June 2020; pp. 11030–11039. [Google Scholar]
 - Muhammad, W.; Shaikh, M.H.; Shah, J.; Bhutto, Z.; Hussain, A.; Thaheem, I. LDCSIR: Lightweight deep CNN-based approach for single image super-resolution. Int. J. Comput. Sci. Netw. Secur. 2021, 21, 463–468. [Google Scholar]
 - Muhammad, W.; Bhutto, Z.; Ansari, A.; Memon, M.L. Multi-path deep CNN with residual inception network for single image super-resolution. Electronics 2021, 10, 1979. [Google Scholar] [CrossRef]
 - Muhammad, W.; Bhutto, Z.; Shah, S.A.R.; Shah, J.; Hussain, A. SDCN: Synchronized depthwise separable convolutional neural network for single image super-resolution. Int. J. Comput. Sci. Netw. Secur. 2021, 21, 17–22. [Google Scholar]
 - Guo, X.X.; Tu, Z.C.; Li, G.Y.; Shen, Z.G.; Wu, W.J. A novel lightweight multi-dimension feature fusion network for single-image super-resolution reconstruction. Vis. Comput. 2024, 40, 1685–1696. [Google Scholar] [CrossRef]
 - Shi, M.Y.; Gao, Y.S.; Chen, L.; Liu, X.Z. Double prior network for multidegradation remote sensing image super-resolution. IEEE J. Sel. Top. Appl. Earth Observ. Remote Sens. 2023, 16, 3131–3147. [Google Scholar] [CrossRef]
 - Shen, Y.; Zheng, W.H.; Huang, F.; Wu, J.; Chen, L.Q. Reparameterizable multibranch bottleneck network for lightweight image super-resolution. Sensors 2023, 23, 3963. [Google Scholar] [CrossRef]
 - Xu, Y.Q.; Zhang, G.; Zhang, Z.Y.; Li, X.W. Structure-preserving super resolution network for Synthetic Aperture Radar images. J. Inf. Eng. Univ. 2022, 23, 148–154. [Google Scholar]
 - Zhang, W.; Li, J.J.; Qiu, X.Y. SAR image super-resolution using deep residual SqueezeNet. In Proceedings of the International Conference on Artificial Intelligence, Information Processing and Cloud Computing, Sanya, China, 19–21 December 2019; pp. 1–5. [Google Scholar]
 - Goodfellow, I.; Pouget-Abadie, J.; Mirza, M.; Xu, B.; Warde-Farley, D.; Ozair, S.; Courville, A.; Bengio, Y. Generative adversarial nets. In Proceedings of the Advances in Neural Information Processing Systems (NIPS), Montre´al, QC, Canada, 8–13 December 2014; pp. 2672–2680. [Google Scholar]
 - Guo, J.; Lu, Z.; Yan, Q.; Zhang, J. A radar reflectivity image prediction method: The spatial MIM + Pix2Pix. Remote Sens. 2023, 15, 5554. [Google Scholar] [CrossRef]
 - Zhang, W.; Pan, Z.; Hu, Y. Exploring PolSAR images representation via self-supervised learning and its application on few-shot classification. IEEE Geosci. Remote Sens. 2022, 19, 1–5. [Google Scholar] [CrossRef]
 - Klambauer, G.; Unterthiner, T.; Mayr, A.; Hochre-iter, S. Self-normalizing neural networks. In Proceedings of the Advances in Neural Information Processing Systems (NIPS), Long Beach, NY, USA, 4–9 December 2017; pp. 972–981. [Google Scholar]
 - Hu, J.; Shen, L.; Albanie, S.; Sun, G.; Wu, E.H. Squeeze-and-Excitation Networks. In Proceedings of the IEEE Conference on Computer Vision and Pattern Recognition (CVPR), Salt Lake City, UT, USA, 18–22 June 2018; pp. 7132–7141. [Google Scholar]
 - Park, J.; Woo, S.; Lee, J.Y.; Kweon, I.S. BAM: Bottleneck Attention Module. arXiv 2018, arXiv:1807.06514. [Google Scholar]
 - Woo, S.; Park, J.; Lee, J.Y.; Kweon, I.S. Convolutional block attention module. In Proceedings of the European Conference on Computer Vision (ECCV), Munich, Germany, 8–14 September 2018; pp. 3–19. [Google Scholar]
 - Hou, Q.B.; Zhou, D.Q.; Feng, J.S. Coordinate attention for efficient mobile network design. In Proceedings of the IEEE Conference on Computer Vision and Pattern Recognition (CVPR), Nashville, TN, USA, 10–25 June 2021; pp. 13713–13722. [Google Scholar]
 - Kingma, D.P.; Ba, J. Adam: A method for stochastic optimization. arXiv 2014, arXiv:1412.6980. [Google Scholar]
 - Xia, R.F.; Chen, J.; Huang, Z.X.; Wan, H.Y.; Wu, B.C.; Sun, L.; Yao, B.D.; Xiang, H.B.; Xing, M.D. CRTransSar: A visual transformer based on contextual joint representation learning for SAR ship detection. Remote Sens. 2022, 14, 1488. [Google Scholar] [CrossRef]
 - Zhang, T.W.; Zhang, X.L.; Li, J.W.; Xu, X.W.; Wang, B.Y.; Zhan, X.; Xu, Y.Q.; Ke, X.; Zeng, T.J.; Su, H.; et al. SAR Ship Detection Dataset (SSDD): Official release and comprehensive data analysis. Remote Sens. 2021, 13, 3690. [Google Scholar] [CrossRef]
 













| Model | Params (M) | FLOPs (M) | Time | |||||
|---|---|---|---|---|---|---|---|---|
| G | D | Total | G | D | Total | Training (s/Epoch) | Testing (s) | |
| SRGAN | 0.7342 | 5.2154 | 5.9496 | 5782.11 | 6176.25 | 11,958.36 | 13.96 | 0.2850 | 
| SNGAN | 0.7329 | 5.2154 | 5.9483 | 5764.81 | 6176.25 | 11,941.06 | 12.73 | 0.3040 | 
| LSRGAN | 0.4405 | 1.0647 | 1.5052 | 4427.78 | 841.75 | 5269.53 | 12.51 | 0.2625 | 
| Method | PSNR | SSIM | VIF | ENL | RaRes | |
|---|---|---|---|---|---|---|
| Simple Scene | - | - | - | 0.4630 | 5.0302 | |
| Bicubic | 26.5843 | 0.7077 | 0.7078 | 0.5529 | 4.9240 | |
| SRGAN | 28.3157 | 0.7321 | 0.7973 | 0.7011 | 4.6836 | |
| SNGAN | 28.3461 | 0.7082 | 0.8058 | 0.6074 | 4.7135 | |
| LSRGAN | 28.3714 | 0.7372 | 0.8070 | 0.6118 | 4.8783 | |
| Complex Scene | - | - | - | 1.0862 | 3.0742 | |
| Bicubic | 14.9789 | 0.2540 | 0.6705 | 1.5348 | 2.9968 | |
| SRGAN | 16.8135 | 0.3448 | 0.7825 | 1.6245 | 2.6399 | |
| SNGAN | 16.6857 | 0.3366 | 0.7712 | 1.5632 | 2.6811 | |
| LSRGAN | 16.7682 | 0.3396 | 0.7832 | 1.5818 | 2.6739 | 
| Method | PSNR | SSIM | VIF | ENL | RaRes | |
|---|---|---|---|---|---|---|
| Oil Tank | - | - | - | 1.0080 | 3.0204 | |
| Bicubic | 16.1364 | 0.3749 | 0.6884 | 1.0299 | 2.9785 | |
| SRGAN | 17.8200 | 0.4534 | 0.7809 | 1.4312 | 2.6675 | |
| SNGAN | 17.7384 | 0.4422 | 0.7923 | 1.4039 | 2.6891 | |
| LSRGAN | 17.8718 | 0.4467 | 0.7962 | 1.4007 | 2.6904 | |
| Bridge | - | - | - | 0.6062 | 3.6490 | |
| Bicubic | 20.7981 | 0.4748 | 0.6276 | 0.6670 | 3.4722 | |
| SRGAN | 23.3431 | 0.5908 | 0.7519 | 0.8595 | 3.2672 | |
| SNGAN | 23.3605 | 0.5953 | 0.7615 | 0.7865 | 3.3839 | |
| LSRGAN | 23.3585 | 0.5954 | 0.7662 | 0.7852 | 3.3875 | |
| Ship | - | - | - | 0.4977 | 4.6396 | |
| Bicubic | 22.0911 | 0.6190 | 0.5620 | 0.5665 | 4.6110 | |
| SRGAN | 23.0036 | 0.6352 | 0.7774 | 0.7041 | 4.2966 | |
| SNGAN | 23.0315 | 0.6066 | 0.7893 | 0.6557 | 4.3163 | |
| LSRGAN | 23.0319 | 0.6385 | 0.7811 | 0.6607 | 4.4063 | |
| Airplane | - | - | - | 0.6213 | 3.5815 | |
| Bicubic | 15.6861 | 0.3151 | 0.7201 | 0.7509 | 3.3325 | |
| SRGAN | 17.3837 | 0.3990 | 0.8032 | 0.9079 | 3.1526 | |
| SNGAN | 16.8872 | 0.3709 | 0.7902 | 0.9049 | 3.1549 | |
| LSRGAN | 17.3128 | 0.3926 | 0.8015 | 0.8681 | 3.2080 | 
| Name | Module | Total Params (M) | Total FLOPs (M) | PSNR/SSIM | ||
|---|---|---|---|---|---|---|
| DSConv | LRM | CA | ||||
| 1st | × | × | × | 5.9496 | 11958.36 | 21.2916/0.4944 | 
| 2nd | √ | × | × | 1.4534 | 5234.23 | 20.1390/0.4803 | 
| 3rd | √ | × | √ | 1.5052 | 5170.83 | 21.3500/0.4997 | 
| 4th | √ | √ | × | 1.4428 | 5161.62 | 21.4156/0.4959 | 
| 5th | √ | √ | √ | 1.5052 | 5269.53 | 21.5218/0.5019 | 
Disclaimer/Publisher’s Note: The statements, opinions and data contained in all publications are solely those of the individual author(s) and contributor(s) and not of MDPI and/or the editor(s). MDPI and/or the editor(s) disclaim responsibility for any injury to people or property resulting from any ideas, methods, instructions or products referred to in the content.  | 
© 2024 by the authors. Licensee MDPI, Basel, Switzerland. This article is an open access article distributed under the terms and conditions of the Creative Commons Attribution (CC BY) license (https://creativecommons.org/licenses/by/4.0/).
Share and Cite
Jiang, N.; Zhao, W.; Wang, H.; Luo, H.; Chen, Z.; Zhu, J. Lightweight Super-Resolution Generative Adversarial Network for SAR Images. Remote Sens. 2024, 16, 1788. https://doi.org/10.3390/rs16101788
Jiang N, Zhao W, Wang H, Luo H, Chen Z, Zhu J. Lightweight Super-Resolution Generative Adversarial Network for SAR Images. Remote Sensing. 2024; 16(10):1788. https://doi.org/10.3390/rs16101788
Chicago/Turabian StyleJiang, Nana, Wenbo Zhao, Hui Wang, Huiqi Luo, Zezhou Chen, and Jubo Zhu. 2024. "Lightweight Super-Resolution Generative Adversarial Network for SAR Images" Remote Sensing 16, no. 10: 1788. https://doi.org/10.3390/rs16101788
APA StyleJiang, N., Zhao, W., Wang, H., Luo, H., Chen, Z., & Zhu, J. (2024). Lightweight Super-Resolution Generative Adversarial Network for SAR Images. Remote Sensing, 16(10), 1788. https://doi.org/10.3390/rs16101788
        
