Estimation of Oak Leaf Functional Traits for California Woodland Savannas and Mixed Forests: Comparison between Statistical, Physical, and Hybrid Methods Using Spectroscopy
Abstract
:1. Introduction
2. Materials and Methods
2.1. Experimental Dataset
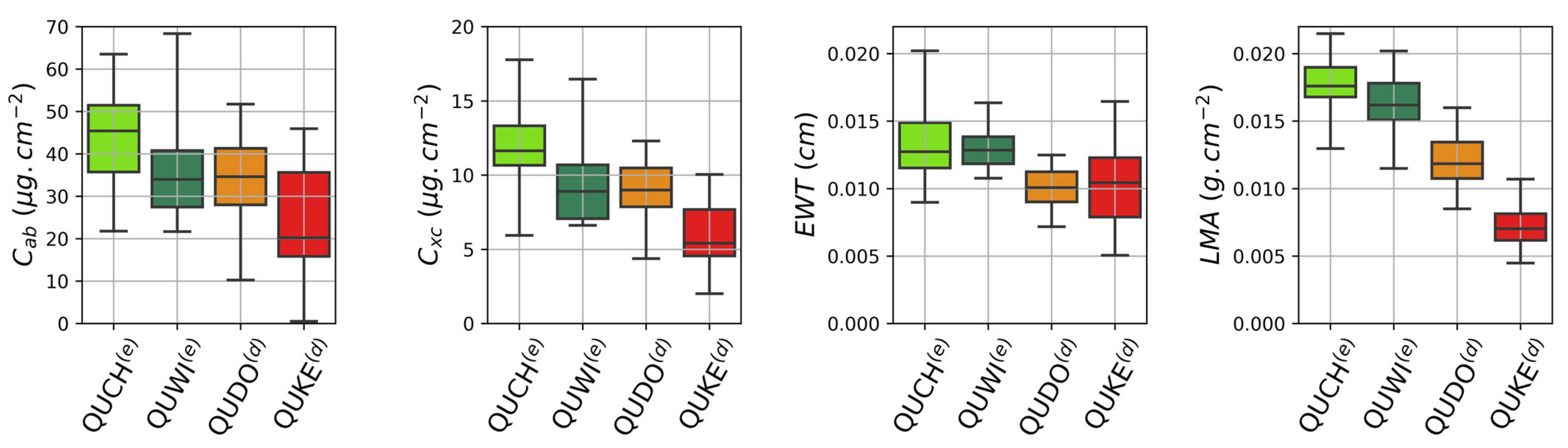
2.1.1. Oak Species and Study Sites
2.1.2. Leaf Sampling
2.1.3. Leaf Spectral Measurements
2.1.4. Leaf Trait Measurements
2.2. Supplementary Dataset
2.3. Estimation Methods
2.3.1. Selection of Spectral Ranges Adapted for Each Leaf Trait
2.3.2. Physical Methods
2.3.2.1. Iterative Optimization Inversion
2.3.2.2. LUT-Based Inversion
- Sampling #1: In this first approach, parameter values are generated through a Latin hypercube (LH) sampling scheme built with pyDOE Python library. LH sampling enables generating random samples that are evenly distributed over the parameter space. LH sampling maintains the properties of a uniformly distributed sampling but has the advantage of requiring a much smaller sample number than simple uniform random sampling to cover all the considered space. For each variable, we define a specific sampling range: for N, µg·cm−2 for Cab, µg·cm−2 for Cxc, cm for EWT, and g·cm−2 for LMA.
- Sampling #2: In this second approach, the four leaf trait values (Cab, Cxc, EWT, and LMA) are generated as a Gaussian vector (GV). This approach aims to take into account actual correlations between the constituents. The traits are sampled as a Gaussian random vector where the mean vector is derived from the empirical average in Table 4 and the covariance matrix between four variables is derived from an empirical covariance matrix of the measured samples (Table 3). This sampling scheme is designed to reduce the number of unrealistic optical properties that are likely simulated with LH (sampling #1). This sampling scheme introduces prior information on the values of the parameters. To keep the sampled values in a realistic range, we truncated the multivariate Gaussian with the following bounds: µg·cm−2 for Cab, µg·cm−2 for Cxc, cm for EWT, and g·cm−2 for LMA. Samples were drawn from the truncated law with the acceptance–rejection method. N parameter values were drawn from a uniform law between 0.8 and 3.5 and independent from the multivariate Gaussian law of leaf traits.
2.3.3. Statistical Methods
2.3.3.1. Ridge Regression
2.3.3.2. Partial Least Squares Regression
2.3.3.3. Gaussian Process Regression
2.3.3.4. Random Forest Regression
2.3.3.5. Training Strategies
2.3.4. Hybrid Methods
2.4. Validation Metrics
3. Results
3.1. Variability in PROSPECT N Structural Parameter
3.2. Leaf Trait Estimations
3.2.1. Chlorophyll Content
3.2.2. Carotenoid Content
3.2.3. Equivalent Water Thickness
3.2.4. Dry Matter Content
4. Discussion
4.1. Variability in the PROSPECT Structure Parameter N
4.1.1. Interspecific Variability in N
4.1.2. Intraspecific Variability in N
4.1.3. Limitations of the PROSPECT Structure Parameter N and Its Impact on Leaf Trait Estimations
4.2. Comparison of Leaf Trait Estimation Methods
4.2.1. Estimation Method Considerations Common to All Four Variables
4.2.2. Estimation of Leaf Pigments
4.2.3. Estimation of Leaf Water Content
4.2.4. Estimation of Leaf Dry Matter Content
4.3. Transferability of Statistical Methods Trained on an Independent Dataset
5. Conclusions
Author Contributions
Funding
Data Availability Statement
Acknowledgments
Conflicts of Interest
References
- Carrero, C.; Jerome, D.; Beckman, E.; Byrne, A.; Coombes, A.J.; Deng, M.; Rodríguez, A.G.; Van Sam, H.; Khoo, E.; Nguyen, N.; et al. The Red List of Oaks 2020; The Morton Arboretum: Lisle, IL, USA, 2020. [Google Scholar]
- Stavi, I.; Thevs, N.; Welp, M.; Zdruli, P. Provisioning Ecosystem Services Related with Oak (Quercus) Systems: A Review of Challenges and Opportunities. Agrofor. Syst. 2022, 96, 293–313. [Google Scholar] [CrossRef]
- Nixon, K.C. The Oak (Quercus) Biodiversity of California and Adjacent Regions; USDA Forest Service General Technical Report PSW-GTR-184; USDA Forest Service: Washington, DC, USA, 2002; pp. 3–20. [Google Scholar]
- Gaman, T. California’s Oaks in the 21st Century: Mapping Oak Woodlands and Forests. californiaoaks.org 2022. Available online: https://californiaoaks.com (accessed on 1 September 2023).
- Gaman, T.; Firman, J. Oaks 2040: The Status and Future of Oaks in California; California Oak Foundation: Oakland, CA, USA, 2006. [Google Scholar]
- Dib, T.; Ait Said, S.; Krouchi, F. Monitoring Long-Term Cork Oak Forest Spatio-Temporal Dynamics Based on Aerial Photographs: A Case Study of Kiadi Corks Oak Forest in Akfadou Mountain (Algeria). Analele Univ. Din Oradea Ser. Geogr. 2022, 32, 26–38. [Google Scholar] [CrossRef]
- Meng, R.; Wu, J.; Zhao, F.; Cook, B.D.; Hanavan, R.P.; Serbin, S.P. Measuring Short-Term Post-Fire Forest Recovery across a Burn Severity Gradient in a Mixed Pine-Oak Forest Using Multi-Sensor Remote Sensing Techniques. Remote Sens. Environ. 2018, 210, 282–296. [Google Scholar] [CrossRef]
- Carreiras, J.M.B.; Pereira, J.M.C.; Pereira, J.S. Estimation of Tree Canopy Cover in Evergreen Oak Woodlands Using Remote Sensing. For. Ecol. Manag. 2006, 223, 45–53. [Google Scholar] [CrossRef]
- Yousefi, S.; Haghighian, F.; Naghdyzadegan Jahromi, M.; Pourghasemi, H.R. Chapter 26—Pest-Infected Oak Trees Identify Using Remote Sensing-Based Classification Algorithms. In Computers in Earth and Environmental Sciences; Pourghasemi, H.R., Ed.; Elsevier: Amsterdam, The Netherlands, 2022; pp. 363–376. ISBN 978-0-323-89861-4. [Google Scholar]
- Kattenborn, T.; Schmidtlein, S. Radiative Transfer Modelling Reveals Why Canopy Reflectance Follows Function. Sci. Rep. 2019, 9, 6541. [Google Scholar] [CrossRef] [PubMed]
- Violle, C.; Navas, M.-L.; Vile, D.; Kazakou, E.; Fortunel, C.; Hummel, I.; Garnier, E. Let the Concept of Trait Be Functional! Oikos 2007, 116, 882–892. [Google Scholar] [CrossRef]
- Lausch, A.; Erasmi, S.; King, D.J.; Magdon, P.; Heurich, M. Understanding Forest Health with Remote Sensing -Part I—A Review of Spectral Traits, Processes and Remote-Sensing Characteristics. Remote Sens. 2016, 8, 1029. [Google Scholar] [CrossRef]
- Croft, H.; Chen, J.M.; Wang, R.; Mo, G.; Luo, S.; Luo, X.; He, L.; Gonsamo, A.; Arabian, J.; Zhang, Y.; et al. The Global Distribution of Leaf Chlorophyll Content. Remote Sens. Environ. 2020, 236, 111479. [Google Scholar] [CrossRef]
- Pereira, H.M.; Ferrier, S.; Walters, M.; Geller, G.N.; Jongman, R.H.G.; Scholes, R.J.; Bruford, M.W.; Brummitt, N.; Butchart, S.H.M.; Cardoso, A.C.; et al. Essential Biodiversity Variables. Science 2013, 339, 277–278. [Google Scholar] [CrossRef]
- Gamon, J.A.; Qiu, H.-L.; Sanchez-Azofeifa, A. Ecological Applications of Remote Sensing at Multiple Scales. In Functional Plant Ecology; CRC Press: Boca Raton, FL, USA, 2007; pp. 655–684. [Google Scholar]
- Ustin, S.; Asner, G.; Gamon, J.; Huemmrich, K.; Jacquemoud, S.; Schaepman, M.; Zarco-Tejada, P. Retrieval of Quantitative and Qualitative Information about Plant Pigment Systems from High Resolution Spectroscopy. In Proceedings of the 2006 IEEE International Symposium on Geoscience and Remote Sensing, Denver, CO, USA, 31 July–4 August 2006; pp. 1996–1999. [Google Scholar]
- Colombo, R.; Busetto, L.; Meroni, M.; Rossini, M.; Panigada, C. Optical Remote Sensing of Vegetation Water Content. In Hyperspectral Indices and Image Classifications for Agriculture and Vegetation; CRC Press: Boca Raton, FL, USA, 2018; ISBN 978-1-315-15933-1. [Google Scholar]
- Féret, J.-B.; Berger, K.; de Boissieu, F.; Malenovský, Z. PROSPECT-PRO for Estimating Content of Nitrogen-Containing Leaf Proteins and Other Carbon-Based Constituents. Remote Sens. Environ. 2021, 252, 112173. [Google Scholar] [CrossRef]
- Gara, T.W.; Rahimzadeh-Bajgiran, P.; Darvishzadeh, R. Forest Leaf Mass per Area (LMA) through the Eye of Optical Remote Sensing: A Review and Future Outlook. Remote Sens. 2021, 13, 3352. [Google Scholar] [CrossRef]
- Jacquemoud, S.; Ustin, S. Leaf Optical Properties; Cambridge University Press: Cambridge, UK, 2019. [Google Scholar]
- Verrelst, J.; Malenovský, Z.; Van der Tol, C.; Camps-Valls, G.; Gastellu-Etchegorry, J.-P.; Lewis, P.; North, P.; Moreno, J. Quantifying Vegetation Biophysical Variables from Imaging Spectroscopy Data: A Review on Retrieval Methods. Surv. Geophys. 2019, 40, 589–629. [Google Scholar] [CrossRef] [PubMed]
- Jacquemoud, S.; Ustin, S.L.; Verdebout, J.; Schmuck, G.; Andreoli, G.; Hosgood, B. Estimating Leaf Biochemistry Using the PROSPECT Leaf Optical Properties Model. Remote Sens. Environ. 1996, 56, 194–202. [Google Scholar] [CrossRef]
- Ali, A.M.; Darvishzadeh, R.; Skidmore, A.K.; Duren, I.V.; Heiden, U.; Heurich, M. Estimating Leaf Functional Traits by Inversion of PROSPECT: Assessing Leaf Dry Matter Content and Specific Leaf Area in Mixed Mountainous Forest. Int. J. Appl. Earth Obs. Geoinf. 2016, 45, 66–76. [Google Scholar] [CrossRef]
- Miraglio, T.; Adeline, K.; Huesca, M.; Ustin, S.; Briottet, X. Assessing Vegetation Traits Estimates Accuracies from the Future SBG and Biodiversity Hyperspectral Missions over Two Mediterranean Forests. Int. J. Remote Sens. 2022, 43, 3537–3562. [Google Scholar] [CrossRef]
- Jacquemoud, S.; Baret, F. PROSPECT: A Model of Leaf Optical Properties Spectra. Remote Sens. Environ. 1990, 34, 75–91. [Google Scholar] [CrossRef]
- Féret, J.-B.; François, C.; Asner, G.P.; Gitelson, A.A.; Martin, R.E.; Bidel, L.P.R.; Ustin, S.L.; le Maire, G.; Jacquemoud, S. PROSPECT-4 and 5: Advances in the Leaf Optical Properties Model Separating Photosynthetic Pigments. Remote Sens. Environ. 2008, 112, 3030–3043. [Google Scholar] [CrossRef]
- Féret, J.-B.; Gitelson, A.A.; Noble, S.D.; Jacquemoud, S. PROSPECT-D: Towards Modeling Leaf Optical Properties through a Complete Lifecycle. Remote Sens. Environ. 2017, 193, 204–215. [Google Scholar] [CrossRef]
- Allen, W.A.; Gausman, H.W.; Richardson, A.J.; Wiegand, C.L. Mean Effective Optical Constants of Thirteen Kinds of Plant Leaves. Appl. Opt. 1970, 9, 2573–2577. [Google Scholar] [CrossRef]
- Féret, J.-B.; le Maire, G.; Jay, S.; Berveiller, D.; Bendoula, R.; Hmimina, G.; Cheraiet, A.; Oliveira, J.C.; Ponzoni, F.J.; Solanki, T.; et al. Estimating Leaf Mass per Area and Equivalent Water Thickness Based on Leaf Optical Properties: Potential and Limitations of Physical Modeling and Machine Learning. Remote Sens. Environ. 2019, 231, 110959. [Google Scholar] [CrossRef]
- Wang, Z.; Féret, J.-B.; Liu, N.; Sun, Z.; Yang, L.; Geng, S.; Zhang, H.; Chlus, A.; Kruger, E.L.; Townsend, P.A. Generality of Leaf Spectroscopic Models for Predicting Key Foliar Functional Traits across Continents: A Comparison between Physically- and Empirically-Based Approaches. Remote Sens. Environ. 2023, 293, 113614. [Google Scholar] [CrossRef]
- Demarez, V. Seasonal Variation of Leaf Chlorophyll Content of a Temperate Forest. Inversion of the PROSPECT Model. Int. J. Remote Sens. 1999, 20, 879–894. [Google Scholar] [CrossRef]
- Gara, T.W.; Darvishzadeh, R.; Skidmore, A.K.; Wang, T.; Heurich, M. Evaluating the Performance of PROSPECT in the Retrieval of Leaf Traits across Canopy throughout the Growing Season. Int. J. Appl. Earth Obs. Geoinf. 2019, 83, 101919. [Google Scholar] [CrossRef]
- Lu, B.; He, Y. Evaluating Empirical Regression, Machine Learning, and Radiative Transfer Modelling for Estimating Vegetation Chlorophyll Content Using Bi-Seasonal Hyperspectral Images. Remote Sens. 2019, 11, 1979. [Google Scholar] [CrossRef]
- Noda, H.M.; Muraoka, H.; Nasahara, K.N. Phenology of Leaf Optical Properties and Their Relationship to Mesophyll Development in Cool-Temperate Deciduous Broad-Leaf Trees. Agric. For. Meteorol. 2021, 297, 108236. [Google Scholar] [CrossRef]
- Asner, G.P.; Martin, R.E.; Tupayachi, R.; Emerson, R.; Martinez, P.; Sinca, F.; Powell, G.V.N.; Wright, S.J.; Lugo, A.E. Taxonomy and Remote Sensing of Leaf Mass per Area (LMA) in Humid Tropical Forests. Ecol. Appl. 2011, 21, 85–98. [Google Scholar] [CrossRef] [PubMed]
- Cavender-Bares, J.; Meireles, J.E.; Couture, J.J.; Kaproth, M.A.; Kingdon, C.C.; Singh, A.; Serbin, S.P.; Center, A.; Zuniga, E.; Pilz, G.; et al. Associations of Leaf Spectra with Genetic and Phylogenetic Variation in Oaks: Prospects for Remote Detection of Biodiversity. Remote Sens. 2016, 8, 221. [Google Scholar] [CrossRef]
- Spafford, L.; le Maire, G.; MacDougall, A.; de Boissieu, F.; Féret, J.-B. Spectral Subdomains and Prior Estimation of Leaf Structure Improves PROSPECT Inversion on Reflectance or Transmittance Alone. Remote Sens. Environ. 2021, 252, 112176. [Google Scholar] [CrossRef]
- González-Cascón, R.; Pacheco-Labrador, J.; González-González, I.; Martín, M.P. Temporal Analysis of Fresh Leaf Spectroscopy and Chemical Properties in Quercus Ilex Trees. 2013. Available online: https://digital.csic.es/handle/10261/141147 (accessed on 1 September 2023).
- Niinemets, Ü. Is There a Species Spectrum within the World-Wide Leaf Economics Spectrum? Major Variations in Leaf Functional Traits in the Mediterranean Sclerophyll Quercus Ilex. New Phytol. 2015, 205, 79–96. [Google Scholar] [CrossRef]
- Raddi, S.; Giannetti, F.; Martini, S.; Farinella, F.; Chirici, G.; Tani, A.; Maltoni, A.; Mariotti, B. Monitoring Drought Response and Chlorophyll Content in Quercus by Consumer-Grade, near-Infrared (NIR) Camera: A Comparison with Reflectance Spectroscopy. New For. 2022, 53, 241–265. [Google Scholar] [CrossRef]
- Chlus, A.; Townsend, P.A. Characterizing Seasonal Variation in Foliar Biochemistry with Airborne Imaging Spectroscopy. Remote Sens. Environ. 2022, 275, 113023. [Google Scholar] [CrossRef]
- Pavan, G.; Jacquemoud, S.; De Rosny, G.; Rambaut, J.; Frangi, J.; Bidel, L.; François, C. Ramis: A New Portable Field Radiometer to Estimate Leaf Biochemical Content. In Proceedings of the Seventh International Conference on Precision Agriculture and Other Precision Resources Management, Minneapolis, MN, USA, 25–28 July 2004; pp. 25–28. [Google Scholar]
- Herrig, J. Preserving California’s Oak Trees: An Evaluation of Factors Impacting Oak Woodlands. Available online: https://ic.arc.losrios.edu/~veiszep/24fall2010/Herrig/G350_Herrig_Project.htm (accessed on 1 September 2023).
- NASA. HyspIRI Preparatory Airborne Activities and Associated Science and Applications Research—Abstracts of Selected Proposals (NNH11ZDA001N—HYSPIRI); NASA: Washington, DC, USA, 2011. [Google Scholar]
- Ma, S.; Baldocchi, D.; Wolf, S.; Verfaillie, J. Slow Ecosystem Responses Conditionally Regulate Annual Carbon Balance over 15 Years in Californian Oak-Grass Savanna. Agric. For. Meteorol. 2016, 228–229, 252–264. [Google Scholar] [CrossRef]
- Blodgett Forest Research Station. Available online: https://forests.berkeley.edu/forests/blodgett (accessed on 8 September 2023).
- Soaproot Saddle NEON. Available online: https://www.neonscience.org/field-sites/soap (accessed on 8 September 2023).
- Schaepman-Strub, G.; Schaepman, M.E.; Painter, T.H.; Dangel, S.; Martonchik, J.V. Reflectance Quantities in Optical Remote Sensing—Definitions and Case Studies. Remote Sens. Environ. 2006, 103, 27–42. [Google Scholar] [CrossRef]
- LI-COR, Inc. LI-1800-12 Integrating Sphere Instruction Manual; LI-COR, Inc.: Lincoln, NE, USA, 1983. [Google Scholar]
- Lichtenthaler, H.K. Chlorophylls and Carotenoids: Pigments of Photosynthetic Biomembranes. In Methods in Enzymology; Plant Cell Membranes; Academic Press: Cambridge, MA, USA, 1987; Volume 148, pp. 350–382. [Google Scholar]
- Lichtenthaler, H.K.; Buschmann, C. Chlorophylls and Carotenoids: Measurement and Characterization by UV-VIS Spectroscopy. Curr. Protoc. Food Anal. Chem. 2001, 1, F4.3.1–F4.3.8. [Google Scholar] [CrossRef]
- Sun, J.; Shi, S.; Yang, J.; Du, L.; Gong, W.; Chen, B.; Song, S. Analyzing the Performance of PROSPECT Model Inversion Based on Different Spectral Information for Leaf Biochemical Properties Retrieval. ISPRS J. Photogramm. Remote Sens. 2018, 135, 74–83. [Google Scholar] [CrossRef]
- Powell, M.J.D. An Efficient Method for Finding the Minimum of a Function of Several Variables without Calculating Derivatives. Comput. J. 1964, 7, 155–162. [Google Scholar] [CrossRef]
- Féret, J.-B.; François, C.; Gitelson, A.; Asner, G.P.; Barry, K.M.; Panigada, C.; Richardson, A.D.; Jacquemoud, S. Optimizing Spectral Indices and Chemometric Analysis of Leaf Chemical Properties Using Radiative Transfer Modeling. Remote Sens. Environ. 2011, 115, 2742–2750. [Google Scholar] [CrossRef]
- Wold, S.; Sjöström, M.; Eriksson, L. PLS-Regression: A Basic Tool of Chemometrics. Chemom. Intell. Lab. Syst. 2001, 58, 109–130. [Google Scholar] [CrossRef]
- Rasmussen, C.E.; Williams, C.K.I. Gaussian Processes for Machine Learning; Adaptive Computation and Machine Learning Series; MIT Press: Cambridge, MA, USA, 2005; ISBN 978-0-262-18253-9. [Google Scholar]
- Breiman, L. Random Forests. Mach. Learn. 2001, 45, 5–32. [Google Scholar] [CrossRef]
- Boren, E.J.; Boschetti, L.; Johnson, D.M. Characterizing the Variability of the Structure Parameter in the PROSPECT Leaf Optical Properties Model. Remote Sens. 2019, 11, 1236. [Google Scholar] [CrossRef]
- Ceccato, P.; Flasse, S.; Tarantola, S.; Jacquemoud, S.; Grégoire, J.-M. Detecting Vegetation Leaf Water Content Using Reflectance in the Optical Domain. Remote Sens. Environ. 2001, 77, 22–33. [Google Scholar] [CrossRef]
- Pacheco-Labrador, J.; González-Cascón, R.; Hernández-Clemente, R.; Martín, M.P.; Melendo de la Vega, J.R.; Zarco-Tejada, P. Impact of Trichomes in the Application of Radiative Transfer Models in Leaves of Quercus Ilex. In Proceedings of the VII Spanish Forestry Congress, Plasencia, Spain, 26 June 2017. [Google Scholar]
- Barry, K.M.; Newnham, G.J.; Stone, C. Estimation of Chlorophyll Content in Eucalyptus Globulus Foliage with the Leaf Reflectance Model PROSPECT. Agric. For. Meteorol. 2009, 149, 1209–1213. [Google Scholar] [CrossRef]
- Qiu, F.; Chen, J.M.; Croft, H.; Li, J.; Zhang, Q.; Zhang, Y.; Ju, W. Retrieving Leaf Chlorophyll Content by Incorporating Variable Leaf Surface Reflectance in the PROSPECT Model. Remote Sens. 2019, 11, 1572. [Google Scholar] [CrossRef]
- Yang, B.; Lin, H.; He, Y. Data-Driven Methods for the Estimation of Leaf Water and Dry Matter Content: Performances, Potential and Limitations. Sensors 2020, 20, 5394. [Google Scholar] [CrossRef] [PubMed]
- Miraglio, T.; Adeline, K.; Huesca, M.; Ustin, S.; Briottet, X. Monitoring LAI, Chlorophylls, and Carotenoids Content of a Woodland Savanna Using Hyperspectral Imagery and 3D Radiative Transfer Modeling. Remote Sens. 2020, 12, 28. [Google Scholar] [CrossRef]
- Zhang, Y.; Chen, J.M.; Thomas, S.C. Retrieving Seasonal Variation in Chlorophyll Content of Overstory and Understory Sugar Maple Leaves from Leaf-Level Hyperspectral Data. Can. J. Remote Sens. 2007, 33, 406–415. [Google Scholar] [CrossRef]
- Yang, X.; Tang, J.; Mustard, J.F.; Wu, J.; Zhao, K.; Serbin, S.; Lee, J.-E. Seasonal Variability of Multiple Leaf Traits Captured by Leaf Spectroscopy at Two Temperate Deciduous Forests. Remote Sens. Environ. 2016, 179, 1–12. [Google Scholar] [CrossRef]












| Site | 2013 | 2014 | |||
|---|---|---|---|---|---|
| Summer | Fall | Spring | Summer | Fall | |
| BLOF | - | 30/09 | 22/04 | 02/06 | 04/11 |
| SJER | 19/06 | 07/11 | 11/04 | 11/06 | 21/10 |
| SOAP | 16/06 | 09/11 | 12/04 | 14/06 | 28/10 |
| TONZ | 11/06 | 24/09 | 17/04 | 06/06 | 06/10 |
| BLOF | SJER | SOAP | TONZ | Total | ||
|---|---|---|---|---|---|---|
| Species | Season | |||||
| QUKE(d) | Spring | 6 | - | 5 | - | 11 |
| Summer | 4 | - | 9 | - | 13 | |
| Fall | - | - | 7 | - | 7 | |
| Total | 10 | - | 21 | - | 31 | |
| QUCH(e) | Spring | - | - | 5 | - | 5 |
| Summer | - | - | 2 | - | 2 | |
| Fall | - | - | 12 | - | 12 | |
| Total | - | - | 19 | - | 19 | |
| QUDO(d) | Spring | - | 5 | - | 5 | 10 |
| Summer | - | 9 | - | 8 | 17 | |
| Fall | - | 8 | - | 9 | 17 | |
| Total | - | 22 | - | 22 | 44 | |
| QUWI(e) | Spring | - | 3 | - | - | 3 |
| Summer | - | 8 | - | - | 8 | |
| Fall | - | 9 | - | - | 9 | |
| Total | - | 20 | - | - | 20 | |
| TOTAL | 114 | |||||
| ANGERS/CSTARS | Cab (µg·cm−2) | Cxc (µg·cm−2) | EWT (cm) | LMA (g·cm−2) |
|---|---|---|---|---|
| Mean | 33.6/33.9 | 8.7/8.7 | 0.0112/0.0116 | 0.0124/0.0052 |
| Standard Dev. | 13.2/21.7 | 2.8/5.1 | 0.0026/0.0049 | 0.0043/0.0036 |
| Min. | 0.8/0.5 | 0.0/2.0 | 0.0044/0.0050 | 0.0017/0.0045 |
| Max. | 106.7/68.4 | 25.3/17.8 | 0.0340/0.0202 | 0.0331/0.0215 |
| Cab | Cxc | EWT | LMA | |
|---|---|---|---|---|
| Cab | 1.00 | 0.92 | 0.24 | 0.52 |
| Cxc | 1.00 | 0.26 | 0.66 | |
| EWT | 1.00 | 0.43 | ||
| LMA | 1.00 |
| Cab | Cxc | EWT | LMA | |
|---|---|---|---|---|
| LUT-GV-MSE | 200 | 750 | 3 | 1000 |
| LUT-GV-SAM | 500 | 1500 | 3 | 50 |
| LUT-LH-MSE | 8 | 3 | 2 | 2000 |
| LUT-LH-SAM | 150 | 2000 | 2 | 200 |
| Species | QUCH(e) | QUWI(e) | QUKE(d) | QUDO(d) | ||||
|---|---|---|---|---|---|---|---|---|
| Site | SOAP (n = 19) | SJER (n = 20) | BLOF (n = 10) | SOAP (n = 21) | All (n= 31) | SJER (n = 22) | TONZ (n = 22) | All (n = 44) |
| Mean | 2.13 | 1.81 | 1.27 | 1.48 | 1.42 | 1.79 | 1.68 | 1.74 |
| Std. | 0.14 | 0.23 | 0.17 | 0.15 | 0.18 | 0.11 | 0.11 | 0.12 |
| Med. | 2.12 | 1.85 | 1.21 | 1.58 | 1.46 | 1.78 | 1.69 | 1.73 |
| Min. | 1.85 | 1.37 | 1.04 | 1.19 | 1.04 | 1.62 | 1.46 | 1.46 |
| Max. | 2.36 | 2.18 | 1.54 | 1.77 | 1.77 | 2.05 | 1.93 | 2.06 |
| Category | Method | RMSE (µg/cm2) | R2 | Bias (µg/cm2) |
|---|---|---|---|---|
| Physical | IO-PROSPECT | 7.8 | 0.64 | 4.9 |
| LUT-GV-MSE | 8.0 | 0.63 | 4.9 | |
| LUT-GV-SAM | 8.0 | 0.63 | 5.5 | |
| LUT-LH-MSE | 13.5 | −0.05 | 11.5 | |
| LUT-LH-SAM | 14.3 | −0.19 | 12.4 | |
| Hybrid | Hybrid-Ridge | 11.3 | 0.26 | 9.2 |
| Hybrid-PLSR | 11.8 | 0.19 | 9.5 | |
| Hybrid-GPR | 9.0 | 0.53 | 5.8 | |
| Hybrid-RFR | 8.6 | 0.57 | 5.8 | |
| Statistical | STAT-ANGERS-Ridge | 12.9 | 0.04 | 11.7 |
| STAT-ANGERS-PLSR | 10.3 | 0.39 | 8.7 | |
| STAT-ANGERS-GPR | 9.4 | 0.49 | 6.3 | |
| STAT-ANGERS-RFR | 11.5 | 0.24 | 7.0 | |
| STAT-CSTARS-Ridge | 6.4 | 0.71 | 0.3 | |
| STAT-CSTARS-PLSR | 5.8 | 0.76 | 0.2 | |
| STAT-CSTARS-GPR | 5.0 | 0.83 | b | |
| STAT-CSTARS-RFR | 5.7 | 0.78 | 0.1 |
| RMSE (µg/cm2) | R2 | Bias (µg/cm2) | ||
|---|---|---|---|---|
| Species | QUCH(e) | 6.4/4.3 | 0.71/0.88 | 1.0/0.6 |
| QUWI(e) | 4.6/4.5 | 0.80/0.87 | 0.9/1.8 | |
| QUDO(d) | 4.6/9.9 | 0.76/−0.20 | 1.1/8.1 | |
| QUKE(d) | 3.0/9.4 | 0.73/0.36 | 0.3/7.1 | |
| Season | Spring | 3.7/7.0 | 0.93/0.78 | −1.2/3.4 |
| Summer | 5.8/9.2 | −0.02/−0.15 | 1.2/6.2 | |
| Fall | 4.8/7.0 | 0.81/0.73 | 2.1/4.7 |
| Category | Method | RMSE (µg/cm2) | R2 | Bias (µg/cm2) |
|---|---|---|---|---|
| Physical | IO-PROSPECT | 2.0 | 0.5 | 0.4 |
| LUT-GV-MSE | 2.1 | 0.46 | 0.3 | |
| LUT-GV-SAM | 2.7 | 0.08 | 0.7 | |
| LUT-LH-MSE | 4.7 | −1.75 | 4.3 | |
| LUT-LH-SAM | 3.6 | −0.56 | 2.4 | |
| Hybrid | Hybrid-Ridge | 2.3 | 0.36 | 0.5 |
| Hybrid-PLSR | 2.3 | 0.37 | 0.0 | |
| Hybrid-GPR | 2.0 | 0.52 | 0.1 | |
| Hybrid-RFR | 2.0 | 0.52 | 0.6 | |
| Statistical | STAT-ANGERS-Ridge | 5.0 | −2.13 | 4.6 |
| STAT-ANGERS-PLSR | 5.6 | −2.83 | 5.1 | |
| STAT-ANGERS-GPR | 3.0 | −0.09 | 2.0 | |
| STAT-ANGERS-RFR | 2.8 | 0.06 | 1.5 | |
| STAT-CSTARS-Ridge | 1.4 | 0.70 | 0.1 | |
| STAT-CSTARS-PLSR | 1.4 | 0.69 | 0.1 | |
| STAT-CSTARS-GPR | 1.3 | 0.75 | 0.1 | |
| STAT-CSTARS-RFR | 1.4 | 0.70 | 0.1 |
| RMSE (µg/cm2) | R2 | Bias (µg/cm2) | ||
|---|---|---|---|---|
| Species | QUCH(e) | 1.9/2.6/2.3 | 0.47/0.19/0.37 | 0.8/−0.8/0.3 |
| QUWI(e) | 1.3/2.5/2.2 | 0.69/0.17/0.32 | 0.2/−1.4/−1.5 | |
| QUDO(d) | 1.0/1.4/1.9 | 0.63/0.23/−0.46 | 0.4/0.1/0.5 | |
| QUKE(d) | 0.7/1.8/1.8 | 0.75/0.12/0.16 | 0.0/1.6/1.5 | |
| Season | Spring | 1.1/2.2/2.2 | 0.90/0.60/0.62 | 0.1/−0.1/0.9 |
| Summer | 1.5/1.7/2.0 | 0.21/0.18/−0.17 | 0.6/0.3/0.9 | |
| Fall | 1.2/2.0/1.9 | 0.72/0.57/0.62 | 0.5/0.0/−0.4 |
| Category | Method | RMSE (cm) | R2 | Bias (cm) |
|---|---|---|---|---|
| Physical | IO-PROSPECT | 0.0035 | −0.73 | 0.0018 |
| LUT-GV-MSE | 0.0037 | −0.90 | 0.0020 | |
| LUT-GV-SAM | 0.0034 | −0.63 | 0.0019 | |
| LUT-LH-MSE | 0.0034 | −0.66 | 0.0017 | |
| LUT-LH-SAM | 0.0033 | −0.50 | 0.0018 | |
| Hybrid | Hybrid-Ridge | 0.0070 | −5.93 | 0.0063 |
| Hybrid-PLSR | 0.0069 | −5.66 | 0.0061 | |
| Hybrid-GPR | 0.0052 | −2.84 | 0.0030 | |
| Hybrid-RFR | 0.0043 | −1.56 | 0.0029 | |
| Statistical | STAT-ANGERS-Ridge | 0.0016 | 0.66 | −0.0001 |
| STAT-ANGERS-PLSR | 0.0018 | 0.52 | −0.0007 | |
| STAT-ANGERS-GPR | 0.0018 | 0.53 | 0.0004 | |
| STAT-ANGERS-RFR | 0.0048 | −2.29 | 0.0036 | |
| STAT-CSTARS-Ridge | 0.0009 | 0.87 | 0.0001 | |
| STAT-CSTARS-PLSR | 0.0010 | 0.83 | 0.0000 | |
| STAT-CSTARS-GPR | 0.0009 | 0.87 | 0.0001 | |
| STAT-CSTARS-RFR | 0.0015 | 0.62 | 0.0000 |
| RMSE (cm) | R2 | Bias (cm) | ||
|---|---|---|---|---|
| Species | QUCH(e) | 0.0015/0.0014 | 0.76/0.71 | −0.0002/0.0004 |
| QUWI(e) | 0.0010/0.0012 | 0.31/0.35 | 0.0003/0.0004 | |
| QUDO(d) | 0.0009/0.0012 | 0.58/0.33 | 0.0006/0.0006 | |
| QUKE(d) | 0.0012/0.0022 | 0.83/0.52 | −0.0003/−0.0018 | |
| Season | Spring | 0.0013/0.0017 | 0.67/0.22 | 0.0002/−0.0006 |
| Summer | 0.0010/0.0017 | 0.88/0.57 | 0.0002/−0.0001 | |
| Fall | 0.0010/0.0013 | 0.86/0.78 | 0.0003/0.0001 |
| Category | Method | RMSE (g/cm2) | R2 | Bias (g/cm2) |
|---|---|---|---|---|
| Physical | IO-PROSPECT | 0.0055 | −0.64 | 0.0038 |
| LUT-GV-MSE | 0.0038 | 0.20 | 0.0017 | |
| LUT-GV-SAM | 0.0021 | 0.76 | 0.0014 | |
| LUT-LH-MSE | 0.0049 | −0.29 | 0.0037 | |
| LUT-LH-SAM | 0.0030 | 0.52 | 0.0026 | |
| Hybrid | Hybrid-Ridge | 0.0071 | −1.72 | 0.0071 |
| Hybrid-PLSR | 0.0069 | −1.61 | 0.0041 | |
| Hybrid-GPR | 0.0062 | −1.12 | 0.0038 | |
| Hybrid-RFR | 0.0030 | 0.5 | 0.0014 | |
| Statistical | STAT-ANGERS-Ridge | 0.0013 | 0.91 | −0.0006 |
| STAT-ANGERS-PLSR | 0.0013 | 0.91 | −0.0003 | |
| STAT-ANGERS-GPR | 0.0016 | 0.86 | 0.0005 | |
| STAT-ANGERS-RFR | 0.0044 | −0.04 | −0.0024 | |
| STAT-CSTARS-Ridge | 0.0009 | 0.95 | 0.0000 | |
| STAT-CSTARS-PLSR | 0.0009 | 0.95 | 0.0000 | |
| STAT-CSTARS-GPR | 0.0009 | 0.95 | 0.0000 | |
| STAT-CSTARS-RFR | 0.0013 | 0.90 | 0.0000 |
| RMSE (g/cm2) | R2 | Bias (g/cm2) | ||
|---|---|---|---|---|
| Species | QUCH(e) | 0.0011/0.0017 | 0.60/0.20 | −0.0001/−0.0012 |
| QUWI(e) | 0.0012/0.0023 | 0.64/−0.04 | −0.0003/−0.0020 | |
| QUDO(d) | 0.0008/0.0007 | 0.79/0.81 | 0.0002/−0.0001 | |
| QUKE(d) | 0.0007/0.0007 | 0.82/0.80 | −0.0000/−0.0002 | |
| Season | Spring | 0.0008/0.0013 | 0.98/0.94 | 0.0001/−0.0005 |
| Summer | 0.0009/0.0014 | 0.92/0.83 | 0.0001/−0.0006 | |
| Fall | 0.0011/0.0013 | 0.91/0.89 | −0.0001/−0.0007 |
Disclaimer/Publisher’s Note: The statements, opinions and data contained in all publications are solely those of the individual author(s) and contributor(s) and not of MDPI and/or the editor(s). MDPI and/or the editor(s) disclaim responsibility for any injury to people or property resulting from any ideas, methods, instructions or products referred to in the content. |
© 2023 by the authors. Licensee MDPI, Basel, Switzerland. This article is an open access article distributed under the terms and conditions of the Creative Commons Attribution (CC BY) license (https://creativecommons.org/licenses/by/4.0/).
Share and Cite
Gaubert, T.; Adeline, K.; Huesca, M.; Ustin, S.; Briottet, X. Estimation of Oak Leaf Functional Traits for California Woodland Savannas and Mixed Forests: Comparison between Statistical, Physical, and Hybrid Methods Using Spectroscopy. Remote Sens. 2024, 16, 29. https://doi.org/10.3390/rs16010029
Gaubert T, Adeline K, Huesca M, Ustin S, Briottet X. Estimation of Oak Leaf Functional Traits for California Woodland Savannas and Mixed Forests: Comparison between Statistical, Physical, and Hybrid Methods Using Spectroscopy. Remote Sensing. 2024; 16(1):29. https://doi.org/10.3390/rs16010029
Chicago/Turabian StyleGaubert, Thierry, Karine Adeline, Margarita Huesca, Susan Ustin, and Xavier Briottet. 2024. "Estimation of Oak Leaf Functional Traits for California Woodland Savannas and Mixed Forests: Comparison between Statistical, Physical, and Hybrid Methods Using Spectroscopy" Remote Sensing 16, no. 1: 29. https://doi.org/10.3390/rs16010029
APA StyleGaubert, T., Adeline, K., Huesca, M., Ustin, S., & Briottet, X. (2024). Estimation of Oak Leaf Functional Traits for California Woodland Savannas and Mixed Forests: Comparison between Statistical, Physical, and Hybrid Methods Using Spectroscopy. Remote Sensing, 16(1), 29. https://doi.org/10.3390/rs16010029

