Next Article in Journal
Correlative Scan Matching Position Estimation Method by Fusing Visual and Radar Line Features
Previous Article in Journal
Multi-Level Attention Interactive Network for Cloud and Snow Detection Segmentation
 
 
Font Type:
Arial Georgia Verdana
Font Size:
Aa Aa Aa
Line Spacing:
Column Width:
Background:
Article

Assessment of the Impact of Pacific Inflow on Sea Surface Temperature Prior to the Freeze-Up Period over the Bering Sea

1
Ocean Dynamics Laboratory, Third Institute of Oceanography, Ministry of Natural Resources, Xiamen 361005, China
2
Fujian Provincial Key Laboratory of Marine Physical and Geological Processes, Xiamen 361005, China
3
Laboratory of Marine Biodiversity Research, Third Institute of Oceanography, Ministry of Natural Resources, Xiamen 361005, China
*
Author to whom correspondence should be addressed.
Remote Sens. 2024, 16(1), 113; https://doi.org/10.3390/rs16010113
Submission received: 30 November 2023 / Revised: 18 December 2023 / Accepted: 22 December 2023 / Published: 27 December 2023

Abstract

:
Warm water inflow from the Northeast Pacific has always been considered a crucial factor in early winter freeze-up in the Bering Sea. There is a strong correlation between changes in sea surface temperature (SST) on the eastern Bering Sea shelf and sea ice area in December. However, there is still limited research on the impact of Pacific inflow on SST on the eastern Bering Sea shelf, resulting in insufficient measurements of the impact of Pacific inflow on early freeze-up. In this article, the definition of marine heatwaves (MHW) is used to extract warm events (with a threshold of the 70th percentile) and cold events (with a threshold of the 30th percentile) from the eastern Bering Sea shelf in November. Self-organizing map (SOM) technology is utilized to classify extracted cold and warm events and the mixed-layer heat budget is ultimately used to explore the factors that generate and maintain these cold and warm events. Between 1993 and 2021, a total of 12 warm and 12 cold events are extracted and their cumulative intensity is found to be strongly correlated with the interannual variation in SST by 99.8%, indicating that these warm and cold events are capable of characterizing the interannual variation in SST. Among the 12 warm events, 9 of them can be attributed to abnormal warming of seawater before November and only 3 events are attributed to warm water inflow from the Northeast Pacific. During the development of warm events, there are only two events in which the warm inflow from the Northeast Pacific has a more profound regulatory effect on warm events in November. Moreover, both generation and regulatory factors of cold events are the net air–sea heat flux. Statistics indicate that the warm water inflow from the Northeast Pacific has a limited effect on SST on the eastern Bering Sea shelf during the early freeze-up period. Changes in local SST are more influenced by the residual heat before November and by local net air–sea heat flux. However, we highlight that long-term ocean heatwaves occurring in the Northeast Pacific can enlarge the residual heat of seawater in the eastern Bering Sea shelf before November, thereby impacting early freeze-up. The frequency of such events has significantly increased in the past decade, causing notable changes in the climate and ecosystem of the Bering Sea. Therefore, it is crucial to continue closely monitoring the occurrence and development of such events in the future.

1. Introduction

Seasonal variability in sea ice has a profound impact on the climate and environment in the Bering Sea [1,2,3], as indicated by factors such as water stratification, cold pool area, freshwater and salt fluxes entering the Arctic Ocean, phytoplankton community structure, benthic biomass production, ecosystems, indigenous hunting activities, and commercial fishing [2,3,4,5,6,7,8,9,10,11,12,13,14,15,16]. The effects even extend to mid-latitude climate systems, such as Northeast Asia and North America [17,18,19,20,21,22,23,24,25,26,27,28]. Over the past 30 years, the Bering Sea has experienced a significant delay in freezing, with 5.7 days per 10-year delay in freeze onset [29], which has led to the extreme shrinkage or disappearance of the cold pool area [10,12]. As a result, the water entering the Arctic Ocean has warmed and salted, which has had substantial impacts on the upper thermocline and ecosystem of the Arctic Ocean [30,31]. These consequences extend beyond the Arctic, causing extreme cold weather in North America and affecting the livelihoods of indigenous communities [24].
The changes in sea ice in the Bering Sea are influenced by several factors, including large-scale circulation [32,33,34], cyclone activity [33,35,36], wind anomalies [32,33,37,38,39], southward input of sea ice from the Bering Strait [40], SST, and warm water inflow from the Pacific Ocean [4,41,42,43,44]. While previous studies have focused on winter sea ice in the Bering Sea and its interannual changes, early sea ice has rarely been explored [29]. Wang et al. [27] highlighted that early sea ice changes in the Bering Sea (December) are mainly controlled by the northward heat transfer modulated by the Aleutian low. When the Aleutian low anomaly is located to the east in the northern part of the Gulf of Alaska, there is a significant northerly anomaly in the eastern part of the Bering Sea and the SST is a significant negative anomaly. Conversely, when the center of the Aleutian low anomaly is located west or south of the Bering Sea, there is a significant southerly anomaly in the eastern Bering Sea and there is a significant positive anomaly in the SST. It is also suggested that the delayed freezing of the Bering Sea is related to the warm water inflow from the Pacific Ocean. Wang et al. [27] highlighted that changes in the November wind field are more critical for early sea ice area changes than the changes in SST but they did not explain the significant coupling relationship between the November wind field and SST.
There is a significant negative relationship between fluctuations in the December sea ice area and November SST in the Bering Sea, with the eastern shelf of the Bering Sea reaching as low as −0.70 [29]. However, it is unclear whether this is due to the large amount of warm water carried by the Northeast Pacific inflow or by local oceanic and atmospheric processes. It is obvious that SST warming in the Bering Sea continental shelf is consistent with warming in the North Pacific and that such synchronous changes are reflected in the Pacific Decadal Oscillation (PDO) [45,46]. Recent research on extreme SST warming events, such as MHW events, has suggested that the Bering Sea MHW event is a result of the Northeast Pacific inflow [4,47]. Specifically, the “Blob” MHW event that occurred in the North Pacific from 2016 to 2018 had a tremendous impact on the Bering Sea ecosystem [47,48,49], leading to exceptionally strong MHW events in the continental shelf area during the same period [50]. As a result, in 2018, the sea ice area of the Bering Sea also reached its historical minimum. Is the influence of local oceanic and atmospheric processes on SST truly negligible?
The objective of this article is to investigate the underlying causes of anomalous changes in SST over the eastern Bering Sea shelf during November, prior to the freeze-up period. This study seeks to differentiate itself from previous research by focusing on the daily variations in SST anomalies. Specifically, warm and cold SST events in November are extracted using the MHW-like definition. This study also employs a self-organizing map (SOM) to categorize these extracted events into those attributed to residual heat before November, those attributed to the Northeast Pacific inflow, and those resulting from local air–sea exchange. Ultimately, the aim is to discern the impact of these processes during the freeze-up period of the Bering Sea on the eastern shelf. By comparing the results of this research with those of similar studies, a more profound understanding of the changes in sea ice in the Bering Sea can be achieved, as can a clearer comprehension of the effects of Pacific inflow on sea ice changes, which will be useful in evaluating sea ice models.

2. Materials and Methods

The study is conducted using diverse satellite observation products and advanced analysis techniques, including mixed-layer heat budget diagnostics and SOM approaches. For the examination of horizontal heat transport, a dataset of sea surface velocity across the Bering Sea was constructed using the satellite dynamic topography and wind field products. In this study, we initially adopted the definitions of MHW and marine cold spell (MCS) to categorize the SST in the Bering Sea. Subsequently, an SOM approach was employed to further refine these classifications into four distinct categories, delineating variations between cold and warm conditions. Ultimately, the application of diagnostic analysis for the mixed-layer heat budget facilitated attribution analysis on the outcomes of the classification. Specific details pertaining to the data and methodologies utilized are elaborated upon in subsequent sections.

2.1. Materials

In this study, several remote sensing observation datasets are employed to examine the changes in sea ice and SST in the Bering Sea. The datasets utilized in this research include (1) a sea ice concentration dataset derived from the scanning multichannel microwave radiometer (SMMR) on the Nimbus-7 satellite and from SSM/I sensors on the DMSP-F8, -F11, and -F13 satellites according to the Nasa-team algorithm [51]. This dataset has a resolution of 25 km and can offer daily data from 1979 to the present for the Bering Sea (51~66°N, 165~205°E). The monthly sea ice area in December is computed using the weighted average approach utilizing the dataset. (2) The daily SST is obtained from the National Oceanic and Atmospheric Administration (NOAA) Optimum Interpolation (OI) SST v2 (and v2.1, available since 2016 onwards) [52]. This dataset is derived from a combination of AVHRR infrared remote sensing data and in situ SST observations and has a high resolution of 0.25° × 0.25°. (3) The European remote-sensing satellite (ERS) altimetric data and Topex/Poseidon dynamic topography data [53] are used to calculate the geostrophic current with a grid spacing of 0.25° × 0.25°.
Climatological mixed layer depth and topography data are employed in the computation of sea surface currents. The former chooses the GLORYS12V1 climatological product from the Copernicus Marine Service (CMEMS) (https://doi.org/10.48670/moi-00021, accessed on 13 January 2023), which has a spatial resolution of 0.083° × 0.083°. The latter uses general bathymetry chart of the oceans (GEBCO) gridded data (https://download.gebco.net/, accessed on 10 October 2023). It has a spatial resolution of 0.25° × 0.25°. When the above dataset resolution is not 0.25°, it will be downgraded to 0.25° cell in the calculation. Furthermore, these data cell grid points are not the same and throughout the calculation process, they are interpolated onto OISST grid data points.
Some atmospheric variables are used in this paper, such as the surface air temperature at 2 m, surface wind velocity, surface sensible heat flux ( Q s s h f ), latent heat flux ( Q s l h f ), net shortwave radiation ( Q s s r ), and net longwave radiation ( Q s t r ) on the sea surface. All of these data are from the ERA5 reanalysis provided by the European center for medium-range forecasts (ECMWF) [54], which is based on the integrated forecast system (IFS), the main ECMWF global forecasting model. Its spatial resolution is approximately 30 km (distributed at 0.25°). The ECMWF convention for vertical fluxes is positively downward. To determine the net air–sea heat flux, we use the following formula:
Q n e t = Q s s h f + Q s s l f + Q s t r + Q s s r
A positive Q n e t signifies that heat is being transferred from the atmosphere to the ocean, while a negative Q n e t indicates that the heat is being transferred from the ocean to the atmosphere.

2.2. Methods

2.2.1. The Definition of Warm and Cold Events

Here, we draw lessons from the definitions of MHWs and MCSs to define warm and cold events. An MHW (MCS) is described as a “discrete prolonged anomalously warm (cold) water event at a specific location” with each of those terms (anomalously warm (cold), prolonged, and discrete) quantitatively defined, justified for the marine context [55,56,57,58], and detected using the daily SST time series. The specific quantitative definition employed in the article is consistent with that of Oliver, et al. [55]. MHW (MCS) “anomalously warm (cold)” means that the water temperature is above (below) a climatological threshold, defined here as the seasonally-varying 90th (10th) percentile (Figure 1). Here, to distinguish the average state, SST exceeding the seasonally-varying 70th percentile is regarded as warm events, whereas SST below the seasonally-varying 30th percentile is considered as cold events, as shown in Figure 1.
Like those of MHW events, the duration, maximum intensity, cumulative intensity, and mean intensity of warm and cold events over the region of interest are extracted at any time from the gridded dataset in this study. Detailed explanations for these terms can be found in [59]. The definitions used in this study have been implemented in MATLAB2018a software tools (https://github.com/ZijieZhaoMMHW/m_mhw1.0, accessed on 18 September 2023).

2.2.2. Mixed-Layer Heat Budget

An insightful approach to comprehending the intricacies involved in the formation, evolution, and decay of warm-cold events is through the lens of the mixed-layer heat budget. This method establishes a relationship between temperature changes in the surface mixed layer and various physical processes, such as horizontal heat transport and air–sea heat fluxes [60]. Typically, the dominant contributions to the temperature tendency ( T / t ) within the mixed layer arise from a combination of air–sea exchanges ( Q n e t ) and advection by mean currents ( V ) and are given by
T t V · h T + Q n e t ρ C p H
where T is the seawater temperature in the mixed layer, V is the two-dimensional horizontal velocity vector ( u ,   v ), ρ is the average seawater density (=1022.95 kg m−3), C p is the specific heat capacity of seawater (=3900 J kg−1 °C−1), h T is the horizontal gradient for SST, and H is the depth of the mixed layer, which is computed through GLORYS12V1 reanalysis product. The equation for SST changing from T 0 to T over the time period t can be expressed as follows:
T T 0 t V · h T   d t T a d v + t Q n e t ρ C p H   d t T n h f
where the second term on the right side in expression (3) is the ocean horizontal flux owing to advection and the third term is the heat exchange caused by air–sea heat flux.
T t h r + T T 0 t h r t T 0 t d t i n i t i a l   S S T   a n o m a l y t V · h T   d t + t Q n e t ρ C p H   d t
Unfolding the SST above (or below) the threshold ( T t h r and T 0 t h r ) and the SST anomaly ( T ) can be considered a combination of three components: the initial SST contribution ( T 0 t ), which denotes the residual heat of the seawater before recording the event, the contribution of the horizontal heat transport ( V · h ), and the contribution of the net air–sea heat flux anomaly ( Q n e t ρ C p H ). The first term, which is the initial SST anomaly, is disregarded if a cold or warm event occurs in November. This paper employs expression (4) to investigate the underlying causes of cold and warm events on the eastern Bering Sea shelf.

2.2.3. Self-Organizing Maps

A self-organizing map (SOM, available at www.cis.hut.fi/research/som_lvq_pak.shtml, accessed on 19 August 2023) is a fascinating tool for artificial neural network analysis and is characterized by unsupervised learning [61]. Unlike traditional neural networks, SOM employs a competitive learning strategy. This strategy relies on competition between neurons to gradually optimize the network and utilizes a neighborhood function to maintain the topology of the input space. One of the most remarkable aspects of SOM is that it is unsupervised, which means that no sample labels are needed during the training phase. This allows us to cluster the data without knowing the categories [62,63,64,65].
The SOM network consists of two layers: an input layer and an output layer. The input layer is responsible for receiving the data ( x ) to be processed, while the output layer analyzes the results. Each neuron ( m i ) in the input layer is represented by an input vector. The output layer is a two-dimensional neural network with a character structure and its size and arrangement must be predetermined. The arrangement can be rectangular or hexagonal and each neuron has a weight vector. The neurons in the output layer are laterally connected to their neighbors and these neighbors have a lateral inhibitory effect. The suppression method is determined by the adjacent radius and adjacent function, with the lateral suppression effect playing an essential role in regulating the neural weight vector during the training and learning process. During learning and training, vector initialization is first performed and then the Euclidean distance between each weight vector and the input vector is computed by far the most common:
x m c = min i x m c
The best-matching unit (BMU, m c ) and neurons within its neighborhood are then activated and modified:
m i t + 1 = m i t + h c i t   [ x t m i ( t ) ]
h c i t = α t · e d c i 2 / 2 σ i 2 ( t )
where h c i is the neighborhood function, which defines a distance-weighted model for adjusting neuron vectors. The neighborhood function is dependent on both the distance between the BMU and the respective neuron ( d c i ) and on the time step reached in the overall training process (t). The maximum d c i corresponds to the neighborhood radius, which is a training parameter determining the set of reference vectors to be modified around each BMU at a particular time step. The initial learning rate ( α 0 ) is an input parameter that gradually decreases as t progresses ( α ( t ) ). SOM training stops when a predetermined number of training cycles ( t m a x ) are completed.
The SOM technique is employed to produce a low-dimensional representation (‘maps’) of high-dimensional input data [55,62,63]. In that sense, dimensionality reduction allows for a small number of patterns to be gleaned from a large dataset. Recent studies have shown that SOM is more effective than EOF analysis for capturing basic modes, especially for nonlinear processes [63,66]. In MHW research, the SOM is also considered an effective approach and is widely used.
To discuss the advection term ( V · h T ) and the air–sea heat flux ( Q n e t ρ C p H ) under different warm or cold events, we organize an input layer that conforms to the SOM, which includes advection terms and air–sea heat flux anomalies from all warm and cold events categorized from the spatially averaged SST on the eastern Bering Sea shelf. For each event, we averaged the advection and air–sea heat flux anomalies over the duration. These data are filtered out of seasonal variations before being used. To further determine the impact of wind, the wind speed at 10 m is also taken into account in the above process. Each variable (SST, zonal and meridional surface ocean currents, air temperature, and zonal and meridional surface wind) is scaled by its standard deviation (across time and space) prior to the SOM analysis to weight each variable equally; after analysis, the variables in the resultant map nodes are rescaled accordingly.
A two-dimensional SOM is used in a 2 × 2 arrangement (4 nodes). The choice of 4 nodes in a 2 × 2 arrangement led to only two nodes having patterns that are not statistically dependent on each other [67]. The current 2 × 2 (4 nodes) arrangement has two nodes that are not independent, meaning that we effectively have 4 independent patterns more than would be provided by the next-smallest arrangement.

2.2.4. Sea Surface Current

The surface current V can be considered the sum of the geostrophic current V g e and Ekman transport V e k ( U e , V e ) [29]. Since the depth on the Bering Sea shelf is less than 150 m, Ekman transport with finite depth is used here as follows:
V = V g e + V e k
V e k = U e ,   V e   a n d   τ = ρ 0 C m | u s | u s = ( τ x , τ y )
U e = S y x + S x y
V e = S y y S x x
ε i = τ i a ρ A z · 1 cosh 2 a D + cos 2 a D ,   i = x , y
S i x = ε i a   [ 1 2 cosh 2 a D + cos 2 a D cosh a D · cos a D ] S i y = ε i a sinh a D · sin a D
a = f 2 A z
V g e = g f h y , h x
where ρ 0 = 1.25   k g   m 3 is the surface air density, f is the Coriolis parameter, g = 9.8 m, s−2 is the acceleration of gravity, A z = 0.01   m 2   s 1 is the turbulent viscosity coefficient, D denotes the bathymetry, and h is the dynamic topography. Wind stress ( τ x , τ y ) is in N m−2. The zonal and meridional directions are indicated by the subscripts ‘x’ and ‘y’, respectively. The relationship between a and the Ekman layer ( D 0 ) is D 0 = 1 / 2 a .
C m is the drag coefficient of wind on seawater over the marginal sea-ice zone. Its parameterization scheme combines the drag-averaging method proposed by [68] with the idea of drag partitioning into skin drag and form drag, as follows:
C m = 0.34 A 2 1 A 0.8 + 0.5 1 0.5 A 2 a r + 90 A f o r m d r a g   c o n t r i b u t i o n + A × C i + 1 A C w s k i n d r a g   c o n t r i b u t i o n   f r o m   i c e   a n d   w a t e r ,   r e s p e c t i v e l y
h f = 0.49 × 1 exp 5.9   A
D i = 31 × h f 1 A
a r = D i h f
where h f is the freeboard (distance between the water surface and the top of the ridge). D i is the distance between two floes. A is the sea ice concentration. C i = 1.89 × 10 3 is the drag coefficient of wind over ice and C w = 1.25 × 10 3 is the drag coefficient of wind on seawater.

2.2.5. Pearson’s Correlation Analysis

Pearson’s correlation analysis is a common statistical technique used to identify and explore linear correlations between two variables (x and y), as well as to assess the strength and direction of that relationship. The following formula is used to calculate the Pearson correlation coefficient (r):
r = n x y ( x ) ( y ) [ n x 2 ( x ) 2 ] [ n y 2 ( y ) 2 ]
where n is the sample size. Student’s t-test is used to evaluate temporal correlations under the hypothesis (i.e., the null hypothesis, p-value ≤ 0.05) that no relationship exists between the observed phenomena.

3. Results

Considering that changes in SST throughout the entire Bering Sea shelf is not necessary for this article, there are certain areas where SST changes may not have a significant impact on December sea ice. Instead, this article establishes a study area located east of St. Lawrence Island—St. Matthew Island and north of Navarin Cape—Unimak Pass based on Wang et al.’s [27] composite analysis of SST in December, as shown in Figure 2. This area contains most of the Coastal Domain and Middle Domain regions and is the primary area affected by the Northeast Pacific inflow.
This paper begins with an assessment of the accuracy of the selected thresholds of the 30th and 70th percentiles, which are used to define cold and warm events, respectively. This assessment is based on the criterion of accumulated temperature intensity, which is employed to determine whether there is a significant correlation between the cumulative intensity for the cold and warm events and the average SST in November. Wang et al. [27] demonstrated a significant correlation between the average SST in November and the sea ice area in December, with a value of −0.66. If the accumulated temperature intensity can be considered an effective representation of the changes in SST in November, it suggests that the changes in cold and warm events may directly impact the changes in SIA in December. The SOM method is subsequently used to classify cold and warm events.

3.1. Warm and Cold Events

Traditionally, when examining the effect of SST fluctuations on early sea ice changes in the Bering Sea, most previous studies have focused on the monthly average SST. However, these methods fall short of providing insights into the underlying process of SST changes. The most significant impact of air–sea heat flux on SST occurs in November [44], making it challenging to directly depict the heat transfer carried by Pacific inflow on the local SST at a monthly time scale. To overcome this limitation, we adopted a daily time scale and calculated the daily spatial average of the SST. Additionally, we leveraged the definition of MHWs to differentiate between cold and warm events and obtain the attribute characteristics of each event. We set the thresholds for cold and warm water events as the seasonally-varying 30th and 70th percentiles, respectively, of the daily climatological SST on the eastern Bering Sea Shelf from 1993 to 2005 and calculated the attributes of each event, as shown in Table 1. The time series of accumulated temperature acquired through this method closely corresponds with the spatial average of the SST (Figure 3a,b), with a correlation coefficient of 0.996. Moreover, the correlation between the accumulated temperature and December SIA is −0.67 (p-value < 0.001, in Figure 3b), indicating that the 30th and 70th percentiles are suitable for reflecting the SST fluctuations on the eastern Bering Sea shelf.
Between 1993 and 2021, the eastern shelf of the Bering Sea experiences 12 cold events and 12 warm events (Table 1), most of which lasted for more than half a month. In seven of those years (1993, 1999, 2007, 2008, 2012, 2016, and 2019), warm or cold events are observed throughout the entire month. It is important to note that these cold and warm events might have taken place before November. The cumulative temperature of cold and warm events corresponds to the extremum of SIAs in the Bering Sea. In 2012 and 2018, the sea ice area reached its maximum and minimum values, respectively, since satellite records began [12,43,69,70], with cumulative temperatures of −55.81 °C and 46.63 °C (Figure 3b). These values correspond to the minimum values of cold event cumulative intensity and the maximum values of warm event cumulative intensity. Some studies suggest that the historical minimum sea ice area in the Bering Sea in 2018 could be closely related to the warming of the eastern Bering Sea shelf [4,12,71,72]. However, it is unclear whether this warm water is generated by Pacific inflow or local oceanic and atmospheric processes.
In 2016 and 2018, the mean intensities in warm events reached 1.76 °C and 1.73 °C (Figure 3d), respectively, meeting the MHW definition. However, these high-intensity warm events are only a few examples (p-value > 0.05) as most of them have a mean intensity of 0.8 to 1.2 °C. The mean intensity of cold events becomes stronger (p-value < 0.05). Compared to that of warm events, the mean intensity of cold events gradually decreases. From 2005 to 2012, the mean intensity of cold events gradually decreases from −0.99 °C to the maximum value of −1.86 °C (Figure 3c). This shows that there might be some differences in the mechanisms underlying warm and cold events.

3.2. Classification of Warm and Cold Events

This paper employs the SOM technique to categorize 12 warm events and 12 cold events. As shown in Figure 4, the classification reveals anomalous warming in the SST on the eastern Bering Sea shelf. However, the contribution of the air–sea heat flux differs, with node 1 displaying significant negative values (Figure 4b), indicating that the ocean is releasing heat, while node 2 around Nunivak Island does not show any significant change (Figure 4d). The total number of events for node 1 and node 2 accounts for 50% of the total number of warm events. Node 3 in Figure 4e shows an abnormally warm SST throughout the entire Bering Sea continental shelf, except for Nordon Sound and Bristol Bay, and the horizontal distributions of the contributions of the air–sea heat flux to the SST are consistent. This type of node accounts for 25% of the total number of warm events. Node 4 in Figure 4h, which is bounded by Nunivak Island, constitutes the remaining 25% and mainly shows an abnormally warm SST in the northern region, with the contribution of air–sea heat flux being slightly high. Moreover, the southern region has a warmer SST, with the contribution of the air–sea heat flux being obviously greater, similar to that at node 3. During the period from 2013 to 2020, there are a total of seven warm events in node 1, node 3, and node 4 over the course of eight years. Interestingly, node 1 experiences four warm events, which occur with greater frequency over time.
Regarding the cold events in Figure 5, it can be observed that there is a consistent spatial distribution of SST that are abnormally cold and SST changes attributed to the air–sea heat flux anomalies that display significant negative values. Among all the cold events, Node 1, Node 2, and Node 4 are the most frequently occurring events in this category, accounting for 83.3% of the total number of such events. Although only Node 3 shows an abnormally cold SST on the eastern Bering Sea shelf, the ΔSST caused by air–sea heat flux anomalies is not significant. Node 3 accounts for 17.7% of the total number of cold events. Notably, out of the seven consecutive cold events that occurred between 2005 and 2012 (with no cold events in 2010), the most frequent events in Table 1 are Node 1 and Node 2, with five occurrences, while Node 3 had only one occurrence.

3.3. Mixed-Layer Heat Budget

The following section provides a detailed diagnostic analysis of each node using the mixed-layer heat budget method. To accomplish this, the SOM technique is leveraged to identify the best-matching unit (BMU) for each cold and warm event. The corresponding BMU events are then averaged to derive the mixed-layer heat budget for each node, as depicted in Figure 6. The detailed mixed-layer heat budgets for each warm event and cold event are displayed in Table 2.
In the case of warm events (Figure 6a–d), nodes 1 and 2 exhibit notable negative advection contributions in comparison to nodes 3 and 4, with node 2 displaying a more significant heat input into the eastern Bering Sea shelf. Despite node 1 having a smaller advection term than node 2, its net sea–air heat flux has a more pronounced negative impact, indicating that heat transfer from the ocean to the atmosphere is currently taking place. The initial heat is suggested to be a more critical factor in node 1 than in node 2 in terms of sustaining warm events. On the other hand, nodes 3 and 4 display significant positive values in their advection terms, indicating that a considerable amount of heat is being transported northward on the eastern Bering Sea shelf. Similarly, the net sea–air heat flux of these two nodes is also negative. However, the advection term and net air–sea heat flux seems to work against the maintenance of warm water, leading to a gradual decline in water temperature. The two types of warm water events can be attributed to the abnormally high SST before November, which often has a shorter duration compared to the average duration of Node1 events, which is 21.6 days. A node 3-type warm water event has a duration of only 14.7 days.
In the case of cold events (Figure 6e–h), there is a significant negative net sea–air heat flux anomaly for both node 1 and node 2 events, while the horizontal heat transfer remains relatively insignificant. Most of these events occur in November and are caused by anomalously high heat transfer from the ocean to the atmosphere. Node 4, on the other hand, displays a significant horizontal heat output despite having an abnormally small net sea–air heat flux compared to node 1. Under the combined effect of horizontal heat output and ocean heat transport to the atmosphere, the SST continues to decrease, leading to node 4 cold events that often span the entire month of November. In the case of node 3 cold events, they exhibit characteristics of horizontal heat input and negative net heat flux. Even with warm water input during these events, it is not sufficient to offset the transport of cold water significantly, leading to noteworthy cold-water events.
We proposed that the attributions of warm (cold) events depend on identifying the term with the most substantial input (output) heat. The control factors for warm (cold) events are determined by identifying the term with the highest (lowest) absolute value. Our analysis of 24 events in Table 2 revealed significant differences between cold and warm events in terms of their characteristics, attributions, and control factors. Nine warm events are caused by initial SST anomalies, while the other three (warm water events 2, 3, and 6 in Table 2) are generated by warm water input from the Northeast Pacific. Conversely, all cold events are attributed to locally anomalous net air–sea heat fluxes. Regarding the control factors, five warm events (numbers 1, 2, 8, 10, and 11 in Table 2) are controlled by net air–sea heat flux, while seven warm events (numbers 3–7, 9, and 12 in Table 2) are controlled by advection terms. Among these events, warm events 3 and 6 are controlled by warm Northeast Pacific inflow, while the others are controlled by horizontal heat output. The primary control factor for cold events is the significant net oceanic heat output to the atmosphere. Overall, we suggest that changes in SST in the Bering Sea during November are predominantly influenced by residual heat before November and by local atmospheric and oceanic processes, with the impact of Pacific inflow being comparatively minimal.
Over the period from 1993 to 2021, the eastern Bering Sea shelf experienced a series of continuous cold and warm events. Notably, from 2005 to 2012, the region experienced eight years of continuous cold events, while from 2013 to 2020, it faced eight years of continuous warm events. Despite both lasting for eight years, these events had significantly different causes and control factors, making it challenging to predict such continuous cold and warm events. As global warming continues to intensify, there is still significant uncertainty in the frequency of cold and warm events, particularly in the case of warm events. It is worth noting that the number of warm event node 1 occurrences between 2013 and 2020 is much greater than before. Further in-depth research is needed to determine whether this increase is related to global warming or has other underlying causes.

4. Discussion

The mixed-layer heat budget provides a straightforward categorization of cold and warm events, as outlined in the previous section. In this section, we will delve deeper into the underlying causes of these events and explore the nuances that set them apart.

4.1. The Role of Wind in Cold and Warm Events

The key feature common to the node 1–2 warm events in Figure 4 and node 3 cold event in Figure 5 is the presence of strong wind anomalies from the northeast or southeast over the eastern Bering Sea shelf. These anomalies accelerate the northward flow and result in a large amount of Pacific inflow into the eastern shelf of the Bering Sea [73]. Conversely, node 3–4 warm events and node 4 cold events are characterized by strong northwest or southwest wind anomalies that inhibit Pacific inflow into the eastern shelf of the Bering Sea. However, these wind anomalies do not significantly affect the northward heat output, resulting in a net output of horizontal heat on the eastern shelf of the Bering Sea. Such events, coupled with local anomalous net air–sea heat flux, can sustain the development and occurrence of the event. The cause of the occurrence of two short-term warm events (numbers 3 and 6) are precise anomalies in the wind field.
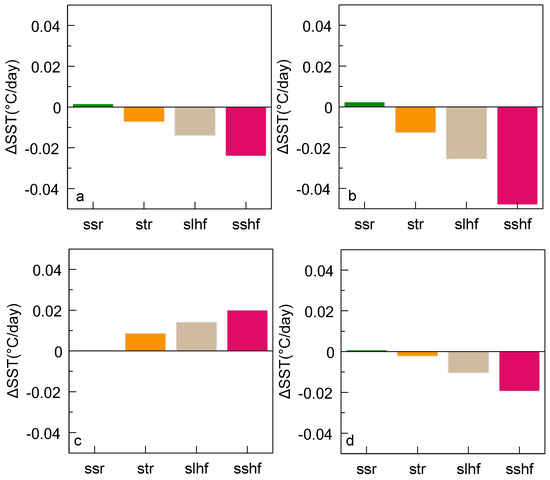
Conversely, the cold events nodes 1–2 in Figure 5 are quite different from the above events. The regulatory effect of these two factors on the SST is attributed to the net sea–air heat flux since their horizontal heat transfer is not very significant. These events are characterized by abnormally strong anticyclonic wind anomalies east of the Navarin Cap, leading to heat accumulation on the continental shelf of the eastern Bering Sea. Since the wind anomaly is in close proximity to the eastern shelf waters, it does not accelerate the output or input of horizontal heat, resulting in a calculated horizontal heat term of almost zero. Additionally, the sensible heat flux during these events is abnormally low compared to the historical average (Figure 7), which means that cold water loses more heat, especially during the node 2 cold event. Although there is some heat input, the large sensible heat output has led to the generation of exceptionally strong cold events along the coast of Alaska.
The significance of wind fields in horizontal heat transfer cannot be overstated, whether in a warm or cold field. The role they play in regulating horizontal heat transport is particularly important during warm water events, where they contribute significantly to the maintenance and development of such events. In fact, seven events were identified as leading contributors to the decay and development of warm water events, accounting for 58.3% of the total number of such occurrences. Notably, some long-term warm events, under the influence of the northward transport of horizontal heat, may have an impact range even further north in the Bering Sea [71].

4.2. The Detailed Development Process of the Node 1 Warm Event

The above findings indicate a significant increase in the frequency of node 1 warm events in the past decade compared to the previous one. Specifically, between 1993 and 2012, there was just one occurrence of such an event, while the number of occurrences rose to four between 2013 and 2020. The detailed features of all the warm events are thoroughly examined and listed in Table 3. Notably, the warm events numbered 8, 10, and 11 persisted for more than half a year and the 11th warm event lasted nearly one year. The impact of such massive warming events on ecosystems and the climate environment may far exceed the capacity of nature.
To investigate the underlying reasons behind the emergence and progression of these warm events, a time series analysis is conducted on the cumulative contribution of both the advection term anomalies and the sea air heat flux anomalies to the SST. The analysis spanned from the date of the event occurrence to the present day. Moreover, a comparative analysis is also carried out on the contribution of 2017, where no node 1 warm event is observed, as shown in Figure 8 and Figure 9.
Warm Events 3 and 6 occurred on 24 October and 16 November (Table 3), respectively. Both events have the highest temperature contributions due to anomalous advection, indicating that they are caused by the anomalous influx of warm Northeast Pacific inflow. Warm events 8, 10, and 11 (Table 3) last for more than half a year, which far exceeds the duration of all the previous warm events. All three events occur in the first half of the year. Warm Event 11 occurs as early as February 14th, which is related to the minimum sea ice value of that year. Warm Event 8 has shown a significant negative advection anomaly since its inception, indicating that the eastern Bering Sea shelf continuously receives continuous heat input from the Northeast Pacific. The contribution of the net air–sea heat flux anomaly is not significant compared to that of the advection term. It can be concluded that Warm Event 8 is attributed to the abnormal input of warm water from the Northeast Pacific. In contrast, the year 2017 exhibited an inability to sustain long-term warm events due to an unusually high heat output, allowing only the occurrence of short-term warm events. Although the contributions of horizontal heat anomalies in the early stages of events 10 and 11 are significantly greater than the contributions of net sea air heat flux anomalies, the cumulative heat contributions of horizontal advection anomalies in the early stages of both events show a net output state in November. In addition, the abnormal net air–sea heat flux contribution of event 10 in August is more significant for the warm event, which is significantly different from event 8 and event 11.
An unprecedented large-scale warm water body, dubbed “The Blob”, persisted through 2014–2016 in the Northeast Pacific, with some signs of its persistence through 2017–2018 and a possible reemergence in 2019 [4]. The tentative timeline of the Blob’s successive appearances around the Northeast Pacific is suggestive of its advection by currents around the Gulf of Alaska, along the Aleutians, into the Bering Sea. The timeline of Blob events coincides with the prolonged warm water input of events 8 and 11. The heat budget of the mixed layer also indicates that these two events are the result of warm water input from the Northeast Pacific. With the intensification of global warming, MHW events like ‘Blob’ events in the North Pacific have become more frequent [74,75]. Consequently, long-term abnormal warm water events in the Bering Sea may also increase with increasing “blob” events. This will inevitably lead to significant changes in the biological system and climate of the Bering Sea. In fact, as described in the preface, some major changes have already occurred between events 8 and 11.
This paper employs a simplified form of the mixed-layer heat budget equation that overlooks some heat dissipation terms, such as vertical heat transfer. Furthermore, the mixed layer depth is derived from a climatological dataset while calculating the contribution of the net heat flux. This difficulty is mainly due to the scarcity of on-site observation data available for obtaining daily mixed layer depth data. To further investigate the impact of Pacific inflow throughout the winter in the Bering Sea on sea ice, one can make use of model data or reanalysis data in the future.

5. Conclusions

Seasonal sea ice variability in the Bering Sea serves as a crucial indicator of climate change and ecosystem changes in the region. With the ocean undergoing significant warming in recent years, the Bering Sea has experienced a retreat in freeze onset at a rate of approximately 5.7 days per decade [29]. The abnormal reduction in seasonal sea ice in the Bering Sea on the event line is consistent with the significant “Blob” warming event that occurred in the Northeast Pacific between 2013 and 2019. To gain a more comprehensive understanding of the impact of the Northeast Pacific inflow on early sea ice in the Bering Sea, it is imperative to systematically describe the effect of the mixed-layer heat budget on the SST in the early stage of Bering Sea ice formation (November). To achieve this, the article employs the definitions of the MHW and MCS to identify warm events (with a threshold of the 70th percentile) and cold events (with a threshold of the 30th percentile) on the eastern shelf of the Bering Sea and then uses SOM to classify cold and warm events. Finally, the mixed-layer heat budget is used to explore the factors that generate and maintain cold and warm events.
The utilization of the definitions of MHW and MCS for the identification of warm and cold events can provide a perfect description of the interannual variation in the average SST on the eastern Bering Sea Shelf in November. The cumulative intensity of cold and warm events obtained from this method is correlated with 0.996 of the interannual variation in SST in November and with −0.67 of the interannual variation in SIA in December, which is slightly greater than the interannual variation in SST in November. By employing the SOM classification method, December warm events and cold events are categorized into four nodes. The node 1 and node 2 warm events and the node 3 cold event exhibit abnormal northeast or southeast winds over the eastern shelf of the Bering Sea, which accelerates the heat transfer of Pacific inflow from south to north, thereby playing a significant role in maintaining the long-term existence of the warm event. The node 3 and node 4 warm events exhibit abnormal southwest winds over the eastern shelf of the Bering Sea, which suppresses the entry of Pacific inflow. Under the continuous heat output from the net air–sea heat flux, the duration of the warm events in November is relatively short. Furthermore, the influence of abnormal cyclones in the northern Bering Sea has a significant impact on the heat input and output of the eastern shelf for the node 1 and node 2 cold events. However, such events carry a large amount of dry and cold air from Alaska, accelerating the loss of ocean heat on the eastern continental shelf. This phenomenon can accelerate the generation of cold events and maintain longer duration of cold events.
Between 1993 and 2021, 12 warm events and 12 cold events were recorded on the eastern continental shelf of the Bering Sea. Among these events, 9 of the warm events in November are attributed to the early retention of warm water, while the other three events are due to the influx of abnormally warm water from the Pacific Ocean. In contrast, the cold events in November are all attributed to the net air–sea heat flux transport from the ocean to the atmosphere, with a relatively lesser impact from Pacific inflow. In terms of control factors, there are a total of 7 warm events in November with advection serving as the primary control factor, accounting for 58.3% of the total number of events. Of these events, three events are inputs of Pacific warm water, while four events are outputs of water and heat from the eastern continental shelf. The net air–sea heat flux is the primary control factor for five events, accounting for 31.7% of the total number of events. On the other hand, the main control factor for November cold events is the net air–sea heat flux.
Compared to cold events, warm events are characterized by much more complex and regular generation and maintenance mechanisms. Node 1 events are the most frequent type of warm events observed in the past decade. Further research has revealed that the primary cause of node 1 warm events in the past decade is the input of ocean heatwaves, known as “Blob”, in the Northeast Pacific. The Northeast Pacific is a region with a high incidence of global ocean heatwaves. With the intensification of global warming, the number of warm events caused by heat waves entering the Northeast Pacific is expected to increase significantly in the future, presenting unprecedented challenges to the climate and ecosystem of the Bering Sea.
Regarding the impact of Pacific inflow on early winter sea ice, we believe that it is limited. During warm events, the impact of early warm water on early winter sea ice is more significant, while during cold events, the significant decrease in seawater temperature caused by local sea air heat flux has a greater impact on early winter sea ice formation.

Author Contributions

Conceptualization, W.W.; methodology, W.W.; software, J.Z.; validation, W.W., J.Z. and Y.W.; formal analysis, W.W. and Y.W.; resources, J.Z. and Y.W.; data curation, W.W. and R.D.; writing—original draft preparation, W.W.; writing—review and editing, W.W.; visualization, W.W.; supervision, C.J.; project administration, C.J.; funding acquisition, W.W. All authors have read and agreed to the published version of the manuscript.

Funding

This research was funded by the National Natural Science Foundation of China, grant number 42130406, Fujian Provincial Natural Science Foundation Project, grant number 2023J011380 and the Global Change and Air–Sea Interaction II, grant number GASI-01-SIND-STwin.

Data Availability Statement

All the codes used here are available from the corresponding author upon reasonable request. All data used in this study are publicly accessible. The sea ice concentration data can be downloaded at https://nsidc.org/data/nsidc-0051/versions/2, accessed on 11 December 2022. ERA5 is available at https://doi.org/10.24381/cds.6860a573, accessed on 14 January 2023. OISST is available at https://psl.noaa.gov/data/gridded/data.noaa.oisst.v2.html, accessed on 14 January 2023. Dynamic topography data are available at https://data.marine.copernicus.eu/product/SEALEVEL_GLO_PHY_L4_MY_008_047/description, accessed on 8 April 2022.

Acknowledgments

We would like to thank the data centers for collecting, computing, and supplying the accessible high-quality data in Section 2. We also acknowledge Man Jiang’s contributions to the framework of the article.

Conflicts of Interest

The authors declare no competing financial or non-financial interests.

References

  1. Wyllie-Echeverria, T.; Wooster, W.S. Year-to-Year Variations in Bering Sea Ice Cover and Some Consequences for Fish Distributions. Fish. Oceanogr. 1998, 7, 159–170. [Google Scholar] [CrossRef]
  2. Grebmeier, J.M. Shifting Patterns of Life in the Pacific Arctic and Sub-Arctic Seas. Ann. Rev. Mar. Sci. 2012, 4, 63–78. [Google Scholar] [CrossRef] [PubMed]
  3. Grebmeier, J.M.; Overland, J.E.; Moore, S.E.; Farley, E.V.; Carmack, E.C.; Cooper, L.W.; Frey, K.E.; Helle, J.H.; Mclaughlin, F.A.; McNutt, S.L. A Major Ecosystem Shift in the Northern Bering Sea. Science 2006, 311, 1461–1464. [Google Scholar] [CrossRef] [PubMed]
  4. Belkin, I.M.; Short, J.W. Echoes of the 2013–2015 Marine Heat Wave in the Eastern Bering Sea and Consequent Biological Responses. J. Mar. Sci. Eng. 2023, 11, 958. [Google Scholar] [CrossRef]
  5. Frey, K.E.; Moore, G.W.K.; Cooper, L.W.; Grebmeier, J.M. Divergent Patterns of Recent Sea Ice Cover across the Bering, Chukchi, and Beaufort Seas of the Pacific Arctic Region. Prog. Oceanogr. 2015, 136, 32–49. [Google Scholar] [CrossRef]
  6. Grebmeier, J.M.; Frey, K.E.; Cooper, L.W.; Kędra, M. Trends in Benthic Macrofaunal Populations, Seasonal Sea Ice Persistence, and Bottom Water Temperatures in the Bering Strait Region. Oceanography 2018, 31, 136–151. [Google Scholar] [CrossRef]
  7. Hermann, A.J.; Kearney, K.; Cheng, W.; Pilcher, D.; Aydin, K.; Holsman, K.K.; Hollowed, A.B. Coupled Modes of Projected Regional Change in the Bering Sea from a Dynamically Downscaling Model under CMIP6 Forcing. Deep Sea Res. Part II Top. Stud. Oceanogr. 2021, 194, 104974. [Google Scholar] [CrossRef]
  8. Huntington, H.P.; Danielson, S.L.; Wiese, F.K.; Baker, M.; Boveng, P.; Citta, J.J.; De Robertis, A.; Dickson, D.M.S.; Farley, E.; George, J.C.; et al. Evidence Suggests Potential Transformation of the Pacific Arctic Ecosystem Is Underway. Nat. Clim. Chang. 2020, 10, 342–348. [Google Scholar] [CrossRef]
  9. Kearney, K.A.; Alexander, M.; Aydin, K.; Cheng, W.; Hermann, A.J.; Hervieux, G.; Ortiz, I. Seasonal Predictability of Sea Ice and Bottom Temperature Across the Eastern Bering Sea Shelf. J. Geophys. Res. Ocean. 2021, 126, e2021JC017545. [Google Scholar] [CrossRef]
  10. Kinney, J.C.; Maslowski, W.; Osinski, R.; Lee, Y.J.; Goethel, C.; Frey, K.; Craig, A. On the Variability of the Bering Sea Cold Pool and Implications for the Biophysical Environment. PLoS ONE 2022, 17, e0266180. [Google Scholar] [CrossRef]
  11. O’Leary, C.A.; Defilippo, L.B.; Thorson, J.T.; Kotwicki, S.; Hoff, G.R.; Kulik, V.V.; Ianelli, J.N.; Punt, A.E. Understanding Transboundary Stocks’ Availability by Combining Multiple Fisheries-Independent Surveys and Oceanographic Conditions in Spatiotemporal Models. ICES J. Mar. Sci. 2022, 79, 1063–1074. [Google Scholar] [CrossRef]
  12. Stabeno, P.J.; Bell, S.W. Extreme Conditions in the Bering Sea (2017–2018): Record-Breaking Low Sea-Ice Extent. Geophys. Res. Lett. 2019, 46, 8952–8959. [Google Scholar] [CrossRef]
  13. Stevenson, D.E.; Lauth, R.R. Bottom Trawl Surveys in the Northern Bering Sea Indicate Recent Shifts in the Distribution of Marine Species. Polar Biol. 2019, 42, 407–421. [Google Scholar] [CrossRef]
  14. Siddon, E.C.; Zador, S.G.; Hunt, G.L. Ecological Responses to Climate Perturbations and Minimal Sea Ice in the Northern Bering Sea. Deep Sea Res. Part II Top. Stud. Oceanogr. 2020, 181–182, 104914. [Google Scholar] [CrossRef]
  15. Wu, Z.; Li, X.; Li, Y.; Li, Y. Potential Influence of Arctic Sea Ice to the Interannual Variations of East Asian Spring Precipitation. J. Clim. 2016, 29, 2797–2813. [Google Scholar] [CrossRef]
  16. Wu, B.Y.; Su, J.Z.; Zhang, R.H. Effects of Autumn-Winter Arctic Sea Ice on Winter Siberian High. Chin. Sci. Bull. 2011, 56, 3220–3228. [Google Scholar] [CrossRef]
  17. Li, F.; Wang, H. Relationship between Bering Sea Ice Cover and East Asian Winter Monsoon Year-to-Year Variations. Adv. Atmos. Sci. 2013, 30, 48–56. [Google Scholar] [CrossRef]
  18. Ma, S.; Zhu, C. The Cooling Over Northeast Asia in June Over the Most Recent Decade: A Possible Response to Declining Bering Sea Sea Ice in March. Geophys. Res. Lett. 2022, 49, e2022GL097773. [Google Scholar] [CrossRef]
  19. Vihma, T. Effects of Arctic Sea Ice Decline on Weather and Climate: A Review; Springer: Berlin/Heidelberg, Germany, 2014; Volume 35, ISBN 1071201492. [Google Scholar]
  20. Wu, B.; Zhang, R.; Wang, B.; D’Arrigo, R. On the Association between Spring Arctic Sea Ice Concentration and Chinese Summer Rainfall. Geophys. Res. Lett. 2009, 36, 2–7. [Google Scholar] [CrossRef]
  21. Zhao, P.; Zhang, X.; Zhou, X.; Ikeda, M.; Yin, Y.; Arctic, I.; Arctic, I. The Sea Ice Extent Anomaly in the North Pacific and Its Impact on the East Asian Summer Monsoon Rainfall. J. Clim. 2004, 17, 3434–3447. [Google Scholar] [CrossRef]
  22. Zhou, B.; Wang, H. Relationship between Hadley Circulation and Sea Ice Extent in the Bering Sea. Chin. Sci. Bull. 2008, 53, 444–449. [Google Scholar] [CrossRef]
  23. Zhou, M.; Wang, H. Late Winter Sea Ice in the Bering Sea: Predictor for Maize and Rice Production in Northeast China. J. Appl. Meteorol. Clim. 2014, 53, 1183–1192. [Google Scholar] [CrossRef]
  24. Iida, M.; Sugimoto, S.; Suga, T. Severe Cold Winter in North America Linked to Bering Sea Ice Loss. J. Clim. 2020, 33, 8069–8085. [Google Scholar] [CrossRef]
  25. Guo, S.; Jing, C.; Wang, W.; Qiu, Y.; Zhang, S. Interannual Variations and Their Dynamic Mechanisms of Wintertime Temperature Inversions in the Gulf of Alaska. J. Mar. Syst. 2022, 235, 103793. [Google Scholar] [CrossRef]
  26. Zhao, J.; Wang, W.; Cooper, L. Calculation of Photosynthetically Available Radiation Using Multispectral Data in the Arctic. Chin. J. Polar Res. 2010, 22, 91–103. [Google Scholar] [CrossRef]
  27. Weibo, W.; Jie, S. Sea Ice Edge Automatic Retrieval Based on Morphology. J. Remote Sens. 2015, 19, 983–989. [Google Scholar] [CrossRef]
  28. Wang, W.; Zhao, J. Variation of Diffuse Attenuation Coefficient of Downwelling Irradiance in the Arctic Ocean. Acta Oceanol. Sin. 2014, 33, 53–62. [Google Scholar] [CrossRef]
  29. Wang, W.; Jing, C.; Guo, X. Early Freeze-Up over the Bering Sea Controlled by the Aleutian Low. Remote Sens. 2023, 15, 2232. [Google Scholar] [CrossRef]
  30. Woodgate, R.A. Increases in the Pacific Inflow to the Arctic from 1990 to 2015, and Insights into Seasonal Trends and Driving Mechanisms from Year-Round Bering Strait Mooring Data. Prog. Oceanogr. 2018, 160, 124–154. [Google Scholar] [CrossRef]
  31. Woodgate, R.A.; Peralta-Ferriz, C. Warming and Freshening of the Pacific Inflow to the Arctic from 1990–2019 Implying Dramatic Shoaling in Pacific Winter Water Ventilation of the Arctic Water Column. Geophys. Res. Lett. 2021, 48, e2021GL092528. [Google Scholar] [CrossRef]
  32. Niebauer, H.J. Effects of El Nino-Southern Oscillation and North Pacific Weather Patterns on Interannual Variability in the Subarctic Bering Sea. J. Geophys. Res. 1988, 93, 5051–5068. [Google Scholar] [CrossRef]
  33. Niebauer, H.J.; Bond, N.A.; Yakunin, L.P.; Plotnikov, V.V. An Update on the Climatology and Sea Ice of the Bering Sea. In Dynamics of the Bering Sea; University of Alaska: Fairbanks, AK, USA, 1999; pp. 1–28. ISBN 0271-7069. [Google Scholar]
  34. Zhang, J.L.; Woodgate, R.; Moritz, R. Sea Ice Response to Atmospheric and Oceanic Forcing in the Bering Sea. J. Phys. Oceanogr 2010, 40, 1729–1747. [Google Scholar] [CrossRef]
  35. Rodionov, S.N.; Bond, N.A.; Overland, J.E. The Aleutian Low, Storm Tracks, and Winter Climate Variability in the Bering Sea. Deep Sea Res. Part II Top. Stud. Oceanogr. 2007, 54, 2560–2577. [Google Scholar] [CrossRef]
  36. Pease, C.H.; Schoenberg, S.A.; Overland, J.E.; Pease, C.H. A Climatology of the Bering Sea and Its Relation to Sea Ice Extent. Mon. Weather. Rev. 1982, 110. [Google Scholar] [CrossRef]
  37. Li, L.; Miller, A.J.; McClean, J.L.; Eisenman, I.; Hendershott, M.C. Processes Driving Sea Ice Variability in the Bering Sea in an Eddying Ocean/Sea Ice Model: Anomalies from the Mean Seasonal Cycle. Ocean Dyn. 2014, 64, 1693–1717. [Google Scholar] [CrossRef]
  38. Niebauer, H.J. Variability in Bering Sea Ice Cover as Affected by a Regime Shift in the North Pacific in the Period 1947–1996. J. Geophys. Res. Ocean. 1998, 103, 27717–27737. [Google Scholar] [CrossRef]
  39. Niebauer, H.J. Multiyear Sea Ice Variability in the Eastern Bering Sea: An Update. J. Geophys. Res. Ocean. 1983, 88, 2733. [Google Scholar] [CrossRef]
  40. Babb, D.G.; Galley, R.J.; Asplin, M.G.; Lukovich, J.V.; Barber, D.G. Multiyear Sea Ice Export through the Bering Strait during Winter 2011–2012. J. Geophys. Res. Ocean. 2013, 118, 5489–5503. [Google Scholar] [CrossRef]
  41. Stabeno, P.J.; Bond, N.A.; Salo, S.A. On the Recent Warming of the Southeastern Bering Sea Shelf. Deep Sea Res. Part II Top. Stud. Oceanogr. 2007, 54, 2599–2618. [Google Scholar] [CrossRef]
  42. Danielson, S.L.; Ahkinga, O.; Ashjian, C.; Basyuk, E.; Cooper, L.W.; Eisner, L.; Farley, E.; Iken, K.B.; Grebmeier, J.M.; Juranek, L.; et al. Manifestation and Consequences of Warming and Altered Heat Fluxes over the Bering and Chukchi Sea Continental Shelves. Deep Sea Res. Part II Top. Stud. Oceanogr. 2020, 177, 104781. [Google Scholar] [CrossRef]
  43. Stabeno, P.J.; Kachel, N.B.; Moore, S.E.; Napp, J.M.; Sigler, M.; Yamaguchi, A.; Zerbini, A.N. Comparison of Warm and Cold Years on the Southeastern Bering Sea Shelf and Some Implications for the Ecosystem. Deep Sea Res. Part II Top. Stud. Oceanogr. 2012, 65–70, 31–45. [Google Scholar] [CrossRef]
  44. Wang, W.; Su, J.; Jing, C.; Guo, X. The Inhibition of Warm Advection on the Southward Expansion of Sea Ice during Early Winter in the Bering Sea. Front. Mar. Sci. 2022, 9, 946824. [Google Scholar] [CrossRef]
  45. Sugimoto, S.; Hanawa, K. Decadal and Interdecadal Variations of the Aleutian Low Activity and Their Relation to Upper Oceanic Variations over the North Pacific. J. Meteorol. Soc. Jpn. 2009, 87, 601–614. [Google Scholar] [CrossRef]
  46. Overland, J.E.; Wang, M.; Wood, K.R.; Percival, D.B.; Bond, N.A. Recent Bering Sea Warm and Cold Events in a 95-Year Context. Deep Sea Res. Part II Top. Stud. Oceanogr. 2012, 65–70, 6–13. [Google Scholar] [CrossRef]
  47. Walsh, J.E.; Thoman, R.L.; Bhatt, U.S.; Bieniek, P.A.; Brettschneider, B.; Brubaker, M.; Danielson, S.; Lader, R.; Fetterer, F.; Holderied, K.; et al. The High Latitude Marine Heat Wave of 2016 and Its Impacts on Alaska. Bull. Am. Meteorol. Soc. 2018, 99, S39–S43. [Google Scholar] [CrossRef]
  48. Peterson, W.; Bond, N.; Robert, M. The Blob Is Gone but Has Morphed into a Strongly Positive PDO/SST Pattern. PICES Press. 2016, 24, 46–47. [Google Scholar]
  49. Kintisch, E. Marine Science. “The Blob” Invades Pacific, Flummoxing Climate Experts. Science 2015, 348, 17–18. [Google Scholar] [CrossRef]
  50. Carvalho, K.S.; Smith, T.E.; Wang, S. Bering Sea Marine Heatwaves: Patterns, Trends and Connections with the Arctic. J. Hydrol. 2021, 600, 126462. [Google Scholar] [CrossRef]
  51. Comiso, J. Bootstrap Sea Ice Concentrations from Nimbus-7 SMMR and DMSP SSM/I-SSMIS, Version 3; National Snow and Ice Data Center: Boulder, CO, USA, 2017. [Google Scholar]
  52. Rayner, N.A.; Parker, D.E.; Horton, E.B.; Folland, C.K.; Alexander, L.V.; Rowell, D.P.; Kent, E.C.; Kaplan, A. Global Analyses of Sea Surface Temperature, Sea Ice, and Night Marine Air Temperature since the Late Nineteenth Century. J. Geophys. Res. Atmos. 2003, 108. [Google Scholar] [CrossRef]
  53. AVISO SSALTO/DUACS User Handbook: (M)SLA and (M)ADT Near-Real Time and Delayed Time Products; Centre National D’Études Spatiales: Ramonville St Agne, France, 2012.
  54. Hersbach, H.; Bell, B.; Berrisford, P.; Hirahara, S.; Horányi, A.; Muñoz-Sabater, J.; Nicolas, J.; Peubey, C.; Radu, R.; Schepers, D.; et al. The ERA5 Global Reanalysis. Q. J. R. Meteorol. Soc. 2020, 146, 1999–2049. [Google Scholar] [CrossRef]
  55. Oliver, E.C.J.; Lago, V.; Hobday, A.J.; Holbrook, N.J.; Ling, S.D.; Mundy, C.N. Marine Heatwaves off Eastern Tasmania: Trends, Interannual Variability, and Predictability. Prog. Oceanogr. 2018, 161, 116–130. [Google Scholar] [CrossRef]
  56. Oliver, E.C.J.; Donat, M.G.; Burrows, M.T.; Moore, P.J.; Smale, D.A.; Alexander, L.V.; Benthuysen, J.A.; Feng, M.; Sen Gupta, A.; Hobday, A.J.; et al. Longer and More Frequent Marine Heatwaves over the Past Century. Nat. Commun. 2018, 9, 1324. [Google Scholar] [CrossRef] [PubMed]
  57. Sun, W.; Yin, L.; Pei, Y.; Shen, C.; Yang, Y.; Ji, J.; Yang, J.; Dong, C. Marine Heatwaves in the Western North Pacific Region: Historical Characteristics and Future Projections. Deep Sea Res. Part I Oceanogr. Res. Pap. 2023, 200, 104161. [Google Scholar] [CrossRef]
  58. Yang, Y.; Sun, W.; Yang, J.; Lim Kam Sian, K.T.C.; Ji, J.; Dong, C. Analysis and Prediction of Marine Heatwaves in the Western North Pacific and Chinese Coastal Region. Front. Mar. Sci. 2022, 9, 1048557. [Google Scholar] [CrossRef]
  59. Hobday, A.J.; Alexander, L.V.; Perkins, S.E.; Smale, D.A.; Straub, S.C.; Oliver, E.C.J.; Benthuysen, J.A.; Burrows, M.T.; Donat, M.G.; Feng, M.; et al. A Hierarchical Approach to Defining Marine Heatwaves. Prog. Oceanogr. 2016, 141, 227–238. [Google Scholar] [CrossRef]
  60. Holbrook, N.J.; Scannell, H.A.; Sen Gupta, A.; Benthuysen, J.A.; Feng, M.; Oliver, E.C.J.; Alexander, L.V.; Burrows, M.T.; Donat, M.G.; Hobday, A.J.; et al. A Global Assessment of Marine Heatwaves and Their Drivers. Nat. Commun. 2019, 10, 2624. [Google Scholar] [CrossRef] [PubMed]
  61. Kohonen, T. The Self-Organizing Map. Neurocomputing 1998, 21, 1–6. [Google Scholar] [CrossRef]
  62. Gibson, P.B.; Perkins-Kirkpatrick, S.E.; Uotila, P.; Pepler, A.S.; Alexander, L.V. On the Use of Self-Organizing Maps for Studying Climate Extremes. J. Geophys. Res. 2017, 122, 3891–3903. [Google Scholar] [CrossRef]
  63. Cassano, E.N.; Glisan, J.M.; Cassano, J.J.; Gutowski, W.J.; Seefeldt, M.W. Self-Organizing Map Analysis of Widespread Temperature Extremes in Alaska and Canada. Clim. Res. 2015, 62, 199–218. [Google Scholar] [CrossRef]
  64. Liu, Y.; Weisberg, R.H.; Mooers, C.N.K. Performance Evaluation of the Self-Organizing Map for Feature Extraction. J. Geophys. Res. 2006, 111, C05018. [Google Scholar] [CrossRef]
  65. Richardson, A.J.; Risi En, C.; Shillington, F.A. Using Self-Organizing Maps to Identify Patterns in Satellite Imagery. Prog. Oceanogr. 2003, 59, 223–239. [Google Scholar] [CrossRef]
  66. Kim, H.K.; Moon, B.K.; Kim, M.K.; Park, J.Y.; Hyun, Y.K. Three Distinct Atmospheric Circulation Patterns Associated with High Temperature Extremes in South Korea. Sci. Rep. 2021, 11, 12911. [Google Scholar] [CrossRef] [PubMed]
  67. Johnson, N.C. How Many Enso Flavors Can We Distinguish? J. Clim. 2013, 26, 4816–4827. [Google Scholar] [CrossRef]
  68. Lüpkes, C.; Birnbaum, G. Surface Drag in the Arctic Marginal Sea-Ice Zone: A Comparison of Different Parameterisation Concepts. Bound. Layer. Meteorol. 2005, 117, 179–211. [Google Scholar] [CrossRef]
  69. Stabeno, P.J.; Farley, E.V.; Kachel, N.B.; Moore, S.; Mordy, C.W.; Napp, J.M.; Overland, J.E.; Pinchuk, A.I.; Sigler, M.F. A Comparison of the Physics of the Northern and Southern Shelves of the Eastern Bering Sea and Some Implications for the Ecosystem. Deep Sea Res. Part II Top. Stud. Oceanogr. 2012, 65–70, 14–30. [Google Scholar] [CrossRef]
  70. De la Vega, C.; Jeffreys, R.M.; Tuerena, R.; Ganeshram, R.; Mahaffey, C. Temporal and Spatial Trends in Marine Carbon Isotopes in the Arctic Ocean and Implications for Food Web Studies. Glob. Chang. Biol. 2019, 25, 4116–4130. [Google Scholar] [CrossRef]
  71. Tachibana, Y.; Komatsu, K.K.; Alexeev, V.A.; Cai, L.; Ando, Y. Warm Hole in Pacific Arctic Sea Ice Cover Forced Mid-Latitude Northern Hemisphere Cooling during Winter 2017–2018. Sci. Rep. 2019, 9, 5567. [Google Scholar] [CrossRef]
  72. Thoman, R.L.; Bhatt, U.S.; Bieniek, P.A.; Brettschneider, B.R.; Brubaker, M.; Danielson, S.L.; Labe, Z.; Lader, R.; Meier, W.N.; Sheffield, G.; et al. The Record Low Bering Sea Ice Extent in 2018: Context, Impacts, and an Assessment of the Role of Anthropogenic Climate Change. Bull. Am. Meteorol. Soc. 2020, 101, S53–S58. [Google Scholar] [CrossRef]
  73. Ladd, C. Seasonal and Interannual Variability of the Bering Slope Current. Deep Sea Res. Part II Top. Stud. Oceanogr. 2014, 109, 5–13. [Google Scholar] [CrossRef]
  74. Vogt, L.; Burger, F.A.; Griffies, S.M.; Frölicher, T.L. Local Drivers of Marine Heatwaves: A Global Analysis with an Earth System Model. Front. Clim. 2022, 4, 847995. [Google Scholar] [CrossRef]
  75. Song, S.Y.; Yeh, S.W.; Kim, H.; Holbrook, N.J. Arctic Warming Contributes to Increase in Northeast Pacific Marine Heatwave Days over the Past Decades. Commun. Earth Environ. 2023, 4, 25. [Google Scholar] [CrossRef]
Figure 1. The normal distribution of the November daily weighted-average SST on the eastern shelf of the Bering Sea from 1993 to 2005. The blue bars show the relative frequency of SST occurrence within a specific range and the red line shows a normal distribution curve. The 10th, 30th, 70th, and 90th percentiles are marked.
Figure 1. The normal distribution of the November daily weighted-average SST on the eastern shelf of the Bering Sea from 1993 to 2005. The blue bars show the relative frequency of SST occurrence within a specific range and the red line shows a normal distribution curve. The 10th, 30th, 70th, and 90th percentiles are marked.
Remotesensing 16 00113 g001
Figure 2. Geography and place names of the Bering Sea. The light green denotes the region of interest. The −50 m and −100 m isobaths are marked to distinguish between the coastal domain and middle domain.
Figure 2. Geography and place names of the Bering Sea. The light green denotes the region of interest. The −50 m and −100 m isobaths are marked to distinguish between the coastal domain and middle domain.
Remotesensing 16 00113 g002
Figure 3. The time series of SST ((a), black line), December sea ice area anomaly ((a,b), red line), and the total cumulative intensity of cold and warm events ((b), blue line). When there are no cold or warm events in a certain year, the total cumulative intensity is 0. (c,d) Displays the mean intensity of each cold and warm event (solid line) and their trends (dashed line), respectively.
Figure 3. The time series of SST ((a), black line), December sea ice area anomaly ((a,b), red line), and the total cumulative intensity of cold and warm events ((b), blue line). When there are no cold or warm events in a certain year, the total cumulative intensity is 0. (c,d) Displays the mean intensity of each cold and warm event (solid line) and their trends (dashed line), respectively.
Remotesensing 16 00113 g003
Figure 4. Average oceanic and atmospheric states for warm events during each of the 2 × 2 SOM nodes. The total count is indicated in the panel titles. For each node, the mean SST and surface wind (arrows) anomalies are presented on the left (a,c,e,g) and the surface current streamlines and SST increment caused by the air–sea heat flux anomalies are presented on the right (b,d,f,h).
Figure 4. Average oceanic and atmospheric states for warm events during each of the 2 × 2 SOM nodes. The total count is indicated in the panel titles. For each node, the mean SST and surface wind (arrows) anomalies are presented on the left (a,c,e,g) and the surface current streamlines and SST increment caused by the air–sea heat flux anomalies are presented on the right (b,d,f,h).
Remotesensing 16 00113 g004
Figure 5. The same as in Figure 4 but for cold events.
Figure 5. The same as in Figure 4 but for cold events.
Remotesensing 16 00113 g005
Figure 6. Mixed-layer heat budget for each of the 2 × 2 SOM map nodes. Panels (ad) correspond to nodes 1–4, respectively, of warm events and panels (eh) correspond to nodes 1–4, respectively, of cold events. The abbreviations ‘adv’, ‘nhf’, and ‘T0′ refer to the heat generated by advection, air–sea heat flux, and initial heat, respectively. The ‘adv’ term conveys heat output with a positive value and heat input with a negative value. Conversely, the interpretation is reversed for ‘nhf’ and ‘T0’.
Figure 6. Mixed-layer heat budget for each of the 2 × 2 SOM map nodes. Panels (ad) correspond to nodes 1–4, respectively, of warm events and panels (eh) correspond to nodes 1–4, respectively, of cold events. The abbreviations ‘adv’, ‘nhf’, and ‘T0′ refer to the heat generated by advection, air–sea heat flux, and initial heat, respectively. The ‘adv’ term conveys heat output with a positive value and heat input with a negative value. Conversely, the interpretation is reversed for ‘nhf’ and ‘T0’.
Remotesensing 16 00113 g006
Figure 7. The heat budgets caused by surface sensible heat flux (sshf), latent heat flux (slhf), net shortwave radiation (ssr), and net longwave radiation (str) anomalies. Panels (ad) correspond to nodes 1~4 of cold events, respectively.
Figure 7. The heat budgets caused by surface sensible heat flux (sshf), latent heat flux (slhf), net shortwave radiation (ssr), and net longwave radiation (str) anomalies. Panels (ad) correspond to nodes 1~4 of cold events, respectively.
Remotesensing 16 00113 g007
Figure 8. The time series of SST from 1 January 2016 to 31 December 2019, including warm events 8, 10, and 11 marked in orange. The blue solid line indicates the climatological SST and the green solid line represents the seasonally-varying threshold.
Figure 8. The time series of SST from 1 January 2016 to 31 December 2019, including warm events 8, 10, and 11 marked in orange. The blue solid line indicates the climatological SST and the green solid line represents the seasonally-varying threshold.
Remotesensing 16 00113 g008
Figure 9. The cumulative contributions of the advection anomalies ( T a d v , black line) and net sea air flux anomalies ( T n h f , red line) to SST for warm events 8 (a), 10 (c), and 11 (d) and chosen 2017 (b) as a comparison without any cold or warm water events. From the beginning to 1 December, the heat budget process includes the occurrence and development of warm events.
Figure 9. The cumulative contributions of the advection anomalies ( T a d v , black line) and net sea air flux anomalies ( T n h f , red line) to SST for warm events 8 (a), 10 (c), and 11 (d) and chosen 2017 (b) as a comparison without any cold or warm water events. From the beginning to 1 December, the heat budget process includes the occurrence and development of warm events.
Remotesensing 16 00113 g009
Table 1. The metrics of warm events and cold events on the eastern shelf of the Bering Sea. Onset refers to the time at which an event occurs in November (which does not represent the actual date of the event occurring); end is the time at which the event ended in November; duration represents the duration of the event within the research time range (unit: days). Max. intensity represents the maximum temperature anomaly above climatology during the given period (unit: °C). Mean intensity is the mean temperature anomaly during the duration (unit: °C). Cumulative intensity is the integral of the temperature anomaly above climatology during the given period (unit: °C days).
Table 1. The metrics of warm events and cold events on the eastern shelf of the Bering Sea. Onset refers to the time at which an event occurs in November (which does not represent the actual date of the event occurring); end is the time at which the event ended in November; duration represents the duration of the event within the research time range (unit: days). Max. intensity represents the maximum temperature anomaly above climatology during the given period (unit: °C). Mean intensity is the mean temperature anomaly during the duration (unit: °C). Cumulative intensity is the integral of the temperature anomaly above climatology during the given period (unit: °C days).
DescriptionSeq.OnsetEndDurationMax. IntensityMean IntensityCumulative IntensityBMU
Warm Events11993110419931130270.970.7119.174
22000110320001130281.310.9526.662
32002110120021111111.110.9810.741
42003110120031129291.430.9226.544
52013110420131114110.760.647.023
6201411172014112370.720.604.231
72015110120151113131.291.0914.234
82016110120161130302.401.6248.551
92017110120171117170.820.6310.683
102018110120181130302.071.3941.621
112019110120191130301.190.8425.071
122020110420201119160.830.629.893
Cold Events1199411051994113026−0.53−1.11−28.764
2199511011995113030−0.56−0.77−23.141
3199911011999113030−1.15−1.52−45.471
4200111012001113030−0.47−0.94−28.213
5200511102005113021−0.51−1.04−21.781
6200611122006112817−0.52−1.02−17.411
7200711012007113030−0.58−1.03−30.953
8200811012008113030−0.76−1.15−34.552
9200911012009113030−0.82−1.28−38.404
10201111012011113030−0.67−1.29−38.832
11201211012012113030−1.49−1.98−59.261
12202111012021113030−1.08−1.52−45.461
Table 2. The mixed-layer heat budget for 12 warm events and 12 cold events, including the contribution of initial SST anomaly (T0), contribution of advection, and contribution of the net air–sea heat flux.
Table 2. The mixed-layer heat budget for 12 warm events and 12 cold events, including the contribution of initial SST anomaly (T0), contribution of advection, and contribution of the net air–sea heat flux.
DescriptionSeq.T0AdvectionNet Heat Flux
Warm Events10.0310.0069−0.171
20.029−0.1671−0.186
30.142−0.1688−0.129
40.0320.1904−0.168
50.0900.1566−0.131
60.145−0.1991−0.130
70.1230.1946−0.186
80.094−0.0371−0.277
90.0670.1846−0.105
100.0800.0343−0.221
110.0480.1157−0.237
120.0530.1882−0.162
Mean0.0780.042−0.175
Cold Events1−0.0030.125−0.193
2−0.012−0.062−0.211
3−0.031−0.013−0.197
4−0.018−0.120−0.179
5−0.0010.283−0.310
6−0.017−0.191−0.232
7−0.031−0.083−0.169
8−0.022−0.029−0.224
9−0.0120.169−0.266
10−0.0120.026−0.298
11−0.0580.010−0.229
12−0.0220.149−0.288
Mean−0.0200.022−0.233
Table 3. The metric of node 1 for warm events included the onset, end, duration, maximum intensity, mean intensity, and cumulative intensity. The details of these metrics are consistent with Table 1.
Table 3. The metric of node 1 for warm events included the onset, end, duration, maximum intensity, mean intensity, and cumulative intensity. The details of these metrics are consistent with Table 1.
Seq.OnsetEndDurationMax. IntensityMean IntensityCumulative Intensity
32002102420021112201.311.0520.99
6201411162014112380.900.735.81
820160419201702102984.032.04608.91
1020180608201812171932.841.49287.61
1120190214201912273173.911.77560.61
Disclaimer/Publisher’s Note: The statements, opinions and data contained in all publications are solely those of the individual author(s) and contributor(s) and not of MDPI and/or the editor(s). MDPI and/or the editor(s) disclaim responsibility for any injury to people or property resulting from any ideas, methods, instructions or products referred to in the content.

Share and Cite

MDPI and ACS Style

Wang, W.; Wang, Y.; Zhang, J.; Jing, C.; Ding, R. Assessment of the Impact of Pacific Inflow on Sea Surface Temperature Prior to the Freeze-Up Period over the Bering Sea. Remote Sens. 2024, 16, 113. https://doi.org/10.3390/rs16010113

AMA Style

Wang W, Wang Y, Zhang J, Jing C, Ding R. Assessment of the Impact of Pacific Inflow on Sea Surface Temperature Prior to the Freeze-Up Period over the Bering Sea. Remote Sensing. 2024; 16(1):113. https://doi.org/10.3390/rs16010113

Chicago/Turabian Style

Wang, Weibo, Yu Wang, Junpeng Zhang, Chunsheng Jing, and Rui Ding. 2024. "Assessment of the Impact of Pacific Inflow on Sea Surface Temperature Prior to the Freeze-Up Period over the Bering Sea" Remote Sensing 16, no. 1: 113. https://doi.org/10.3390/rs16010113

APA Style

Wang, W., Wang, Y., Zhang, J., Jing, C., & Ding, R. (2024). Assessment of the Impact of Pacific Inflow on Sea Surface Temperature Prior to the Freeze-Up Period over the Bering Sea. Remote Sensing, 16(1), 113. https://doi.org/10.3390/rs16010113

Note that from the first issue of 2016, this journal uses article numbers instead of page numbers. See further details here.

Article Metrics

Back to TopTop