Mapping and Influencing the Mechanism of CO2 Emissions from Building Operations Integrated Multi-Source Remote Sensing Data
Abstract
1. Introduction
1.1. Calculation of CO2 Emissions from the Building Sector
1.2. Influencing Factors of CO2 Emissions from the Building Sector
| Dimension | Influencing Factors | Influencing Results |
|---|---|---|
| Natural factors | temperature [35,36,37] | positive (summer)/negative (winter) |
| less vegetation cover [38,39] | positive | |
| geographical location [41] | / | |
| Socioeconomic factors | urbanization [40,45] | positive |
| economic growth [41] | positive | |
| tertiary industry [41,46] | positive | |
| population [40,54] | positive | |
| technological progress [49,50] | negative | |
| urban land use [42,50] | positive |
2. Materials and Methods
2.1. Study Areas
2.2. Data Sources
2.3. Estimation of Multi-Scale Emissions from Building Operations
2.3.1. Calculation of BCEs at the Prefecture Level
2.3.2. Mapping BCEs at the Grid Scale by Integrating Remote Sensing Data and Statistical Results
2.3.3. Decomposition of Factors Affecting BCE Growth
3. Results
3.1. Results of MLR Models and Evaluation of Multi-Scale BCEs
3.1.1. Results of MLR between BCE and Remote Sensing Data
3.1.2. The Validity of Multi-Scale Estimation Results
3.2. Spatial–Temporal Patterns of Multi-Scale BCEs
3.2.1. Total BCEs of the BTH and NCRJ
3.2.2. Prefecture-Level BCEs
3.2.3. County-Level BCEs in the BTH and Municipality-Level BCEs in the NCRJ
3.2.4. Spatial Pattern of and Change in BCEs at the Grid Scale
3.3. Decomposition of Influencing Factors for BCE Growth
3.3.1. Characteristics of BCE Growth
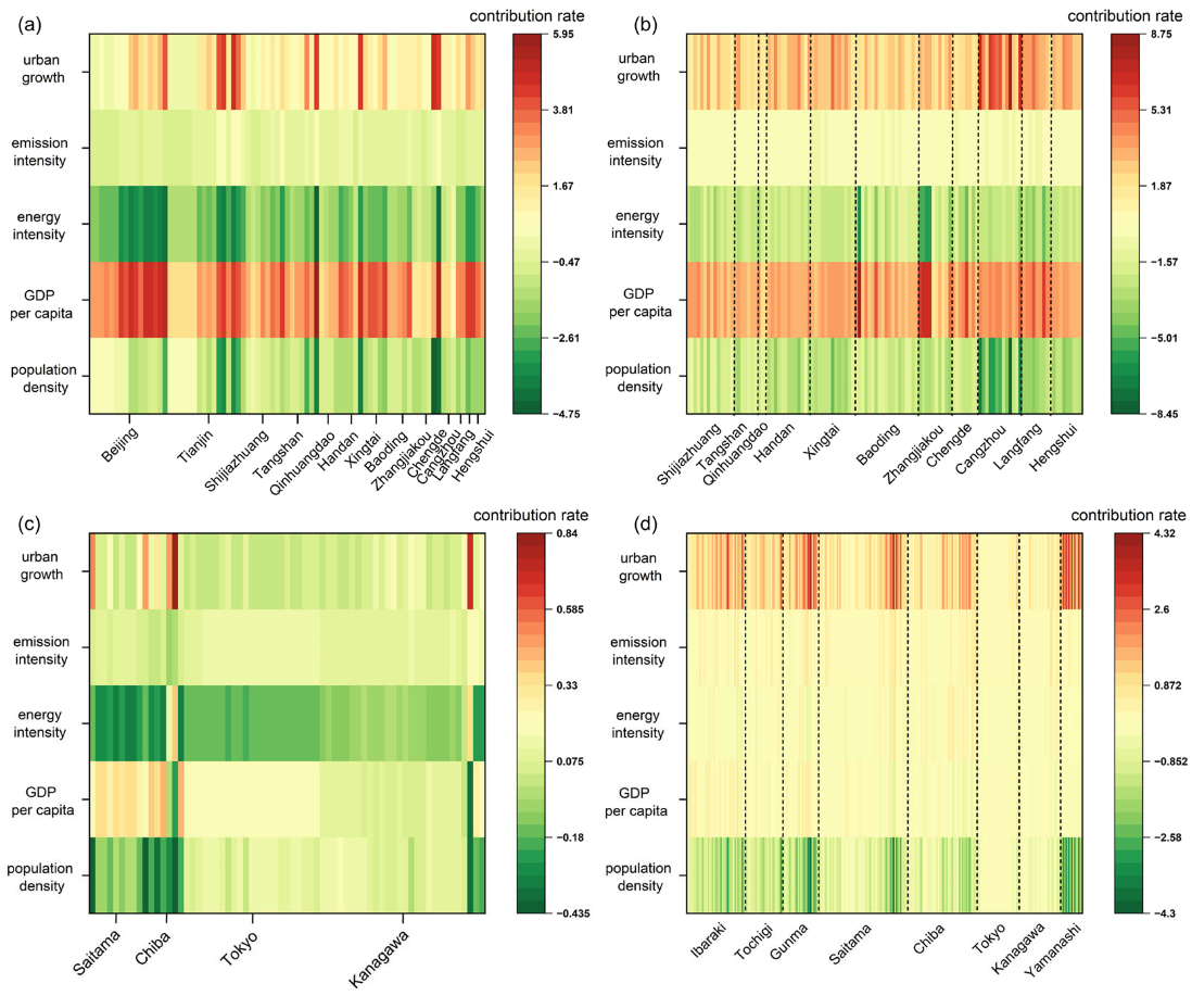
3.3.2. Decomposition of Influencing Factors at a Multi-Scale
4. Discussion
4.1. Evaluation of Method for Estimating BCEs
4.2. Implications of Urban Growth and Changes in BCE
4.3. Limitations
5. Conclusions
Author Contributions
Funding
Data Availability Statement
Acknowledgments
Conflicts of Interest
Appendix A
| BTH | |
|---|---|
| Commercial and retails | Total retail sales of consumer goods |
| Residential | Electricity consumption for residential |
| Other | Gross domestic product of tertiary industry |
| Transport | Passenger traffic/Freight traffic/Number of public transportation vehicles and taxis/ |
| Heating | Urban central heating |
| BTH | NCRJ | |
|---|---|---|
| NTL | 0.366 *** | −0.607 |
| R-squared | 0.475 | 0.039 |
| Title 1 | Title 2 | Title 3 |
|---|---|---|
| NTL | 0.250 *** | −0.277 |
| R-squared | 0.676 | 0.012 |











References
- United Nations. World Urbanization Prospects: The 2018 Revision; United Nations, Department of Economic and Social Affairs, Population Division: New York, NY, USA, 2019. [Google Scholar]
- IEA. Global Energy Review: CO2 Emissions in 2021; International Energy Agency: Paris, France, 2022. [Google Scholar]
- Global Alliance for Buildings and Construction, International Energy Agency and the United Nations Environment Programme. 2020 Global Status Report for Buildings and Construction: Towards a Zero-Emission; Efficient and Resilient Buildings and Construction Sector: Nairobi, Kenya, 2020. [Google Scholar]
- Camarasa, C.; Mata, É.; Navarro, J.P.J.; Reyna, J.; Bezerra, P.; Angelkorte, G.B.; Feng, W.; Filippidou, F.; Forthuber, S.; Harris, C.; et al. A global comparison of building decarbonization scenarios by 2050 towards 1.5–2 °C targets. Nat. Commun. 2022, 13, 3077. [Google Scholar] [CrossRef]
- Chau, C.K.; Leung, T.M.; Ng, W.Y. A review on Life Cycle Assessment, Life Cycle Energy Assessment and Life Cycle Carbon Emissions Assessment on buildings. Appl. Energy 2015, 143, 395–413. [Google Scholar] [CrossRef]
- You, F.; Hu, D.; Zhang, H.; Guo, Z.; Zhao, Y.; Wang, B.; Yuan, Y. Carbon emissions in the life cycle of urban building system in China—A case study of residential buildings. Ecol. Complex. 2011, 8, 201–212. [Google Scholar] [CrossRef]
- Zhang, Y.; He, C.-Q.; Tang, B.-J.; Wei, Y.-M. China’s energy consumption in the building sector: A life cycle approach. Energy Build. 2015, 94, 240–251. [Google Scholar] [CrossRef]
- Zhou, N.; Khanna, N.; Feng, W.; Ke, J.; Levine, M. Scenarios of energy efficiency and CO2 emissions reduction potential in the buildings sector in China to year 2050. Nat. Energy 2018, 3, 978–984. [Google Scholar] [CrossRef]
- Zhang, X.; Wang, F. Life-cycle assessment and control measures for carbon emissions of typical buildings in China. Build. Environ. 2015, 86, 89–97. [Google Scholar] [CrossRef]
- Atmaca, A.; Atmaca, N. Life cycle energy (LCEA) and carbon dioxide emissions (LCCO2A) assessment of two residential buildings in Gaziantep, Turkey. Energy Build. 2015, 102, 417–431. [Google Scholar] [CrossRef]
- Le, K.N.; Tran, C.N.N.; Tam, V.W.Y. Life-cycle greenhouse-gas emissions assessment: An Australian commercial building perspective. J. Clean. Prod. 2018, 199, 236–247. [Google Scholar] [CrossRef]
- Seo, S.; Hwang, Y. Estimation of CO2 Emissions in Life Cycle of Residential Buildings. J. Constr. Eng. Manag. 2001, 127, 414–418. [Google Scholar] [CrossRef]
- Suzuki, M.; Oka, T. Estimation of life cycle energy consumption and CO2 emission of office buildings in Japan. Energy Build. 1998, 28, 33–41. [Google Scholar] [CrossRef]
- Wu, H.J.; Yuan, Z.W.; Zhang, L.; Bi, J. Life cycle energy consumption and CO2 emission of an office building in China. Int. J. Life Cycle Assess. 2012, 17, 105–118. [Google Scholar] [CrossRef]
- Luo, Z.; Yang, L.; Liu, J. Embodied carbon emissions of office building: A case study of China’s 78 office buildings. Build. Environ. 2016, 95, 365–371. [Google Scholar] [CrossRef]
- Nässén, J.; Holmberg, J.; Wadeskog, A.; Nyman, M. Direct and indirect energy use and carbon emissions in the production phase of buildings: An input–output analysis. Energy 2007, 32, 1593–1602. [Google Scholar] [CrossRef]
- Shao, L.; Chen, G.Q.; Chen, Z.M.; Guo, S.; Han, M.Y.; Zhang, B.; Hayat, T.; Alsaedi, A.; Ahmad, B. Systems accounting for energy consumption and carbon emission by building. Commun. Nonlinear Sci. Numer. Simul. 2014, 19, 1859–1873. [Google Scholar] [CrossRef]
- Zhang, X.; Wang, F. Assessment of embodied carbon emissions for building construction in China: Comparative case studies using alternative methods. Energy Build. 2016, 130, 330–340. [Google Scholar] [CrossRef]
- Peng, C. Calculation of a building’s life cycle carbon emissions based on Ecotect and building information modeling. J. Clean. Prod. 2016, 112, 453–465. [Google Scholar] [CrossRef]
- Chen, W.; Yang, S.; Zhang, X.; Jordan, N.D.; Huang, J. Embodied energy and carbon emissions of building materials in China. Build. Environ. 2022, 207, 108434. [Google Scholar] [CrossRef]
- Huo, T.; Ren, H.; Zhang, X.; Cai, W.; Feng, W.; Zhou, N.; Wang, X. China’s energy consumption in the building sector: A Statistical Yearbook-Energy Balance Sheet based splitting method. J. Clean. Prod. 2018, 185, 665–679. [Google Scholar] [CrossRef]
- Zhao, Z.; Yang, X.; Yan, H.; Huang, Y.; Zhang, G.; Lin, T.; Ye, H. Downscaling Building Energy Consumption Carbon Emissions by Machine Learning. Remote Sens. 2021, 13, 4346. [Google Scholar] [CrossRef]
- Wang, J.; Wei, J.; Zhang, W.; Liu, Z.; Du, X.; Liu, W.; Pan, K. High-resolution temporal and spatial evolution of carbon emissions from building operations in Beijing. J. Clean. Prod. 2022, 376, 134272. [Google Scholar] [CrossRef]
- Cao, X.; Wang, J.; Chen, J.; Shi, F. Spatialization of electricity consumption of China using saturation-corrected DMSP-OLS data. Int. J. Appl. Earth Obs. Geoinf. 2014, 28, 193–200. [Google Scholar] [CrossRef]
- Elvidge, C.D.; Baugh, K.E.; Kihn, E.A.; Kroehl, H.W.; Davis, E.R.; Davis, C.W. Relation between satellite observed visible-near infrared emissions, population, economic activity and electric power consumption. Int. J. Remote Sens. 1997, 18, 1373–1379. [Google Scholar] [CrossRef]
- Fehrer, D.; Krarti, M. Spatial distribution of building energy use in the United States through satellite imagery of the earth at night. Build. Environ. 2018, 142, 252–264. [Google Scholar] [CrossRef]
- Liang, H.; Bian, X.; Dong, L.; Shen, W.; Chen, S.S.; Wang, Q. Mapping the evolution of building material stocks in three eastern coastal urban agglomerations of China. Resour. Conserv. Recycl. 2023, 188, 106651. [Google Scholar] [CrossRef]
- Xia, S.; Shao, H.; Wang, H.; Xian, W.; Shao, Q.; Yin, Z.; Qi, J. Spatio-Temporal Dynamics and Driving Forces of Multi-Scale CO2 Emissions by Integrating DMSP-OLS and NPP-VIIRS Data: A Case Study in Beijing-Tianjin-Hebei, China. Remote Sens. 2022, 14, 4799. [Google Scholar] [CrossRef]
- Zhang, W.; Jiang, L.; Cui, Y.; Xu, Y.; Wang, C.; Yu, J.; Streets, D.G.; Lin, B. Effects of urbanization on airport CO2 emissions: A geographically weighted approach using nighttime light data in China. Resour. Conserv. Recycl. 2019, 150, 104454. [Google Scholar] [CrossRef]
- Liang, H.; Tanikawa, H.; Matsuno, Y.; Dong, L. Modeling In-Use Steel Stock in China’s Buildings and Civil Engineering Infrastructure Using Time-Series of DMSP/OLS Nighttime Lights. Remote Sens. 2014, 6, 4780–4800. [Google Scholar] [CrossRef]
- Peled, Y.; Fishman, T. Estimation and mapping of the material stocks of buildings of Europe: A novel nighttime lights-based approach. Resour. Conserv. Recycl. 2021, 169, 105509. [Google Scholar] [CrossRef]
- Zheng, Y.; Ou, J.; Chen, G.; Wu, X.; Liu, X. Mapping Building-Based Spatiotemporal Distributions of Carbon Dioxide Emission: A Case Study in England. Int. J. Environ. Res. Public Health 2022, 19, 5986. [Google Scholar] [CrossRef] [PubMed]
- Gan, L.; Liu, Y.; Shi, Q.; Cai, W.; Ren, H. Regional inequality in the carbon emission intensity of public buildings in China. Build. Environ. 2022, 225, 109657. [Google Scholar] [CrossRef]
- Mata, É.; Wanemark, J.; Cheng, S.H.; Broin, E.Ó.; Hennlock, M.; Sandvall, A. Systematic map of determinants of buildings’ energy demand and CO2 emissions shows need for decoupling. Environ. Res. Lett. 2021, 16, 055011. [Google Scholar] [CrossRef]
- Yau, Y.H.; Hasbi, S. A review of climate change impacts on commercial buildings and their technical services in the tropics. Renew. Sustain. Energy Rev. 2013, 18, 430–441. [Google Scholar] [CrossRef]
- Ward, I.C. Will global warming reduce the carbon emissions of the Yorkshire Humber Region’s domestic building stock—A scoping study. Energy Build. 2008, 40, 998–1003. [Google Scholar] [CrossRef]
- Xu, X.; González, J.E.; Shen, S.; Miao, S.; Dou, J. Impacts of urbanization and air pollution on building energy demands—Beijing case study. Appl. Energy 2018, 225, 98–109. [Google Scholar] [CrossRef]
- Kafy, A.A.; Faisal, A.-A.; Al Rakib, A.; Fattah, M.A.; Rahaman, Z.A.; Sattar, G.S. Impact of vegetation cover loss on surface temperature and carbon emission in a fastest-growing city, Cumilla, Bangladesh. Build. Environ. 2022, 208, 108573. [Google Scholar] [CrossRef]
- Rahaman, Z.A.; Kafy, A.A.; Saha, M.; Rahim, A.A.; Almulhim, A.I.; Rahaman, S.N.; Fattah, M.A.; Rahman, M.T.; Kalaivani, S.; Faisal, A.-A.; et al. Assessing the impacts of vegetation cover loss on surface temperature, urban heat island and carbon emission in Penang city, Malaysia. Build. Environ. 2022, 222, 109335. [Google Scholar] [CrossRef]
- Huo, T.; Li, X.; Cai, W.; Zuo, J.; Jia, F.; Wei, H. Exploring the impact of urbanization on urban building carbon emissions in China: Evidence from a provincial panel data model. Sustain. Cities Soc. 2020, 56, 102068. [Google Scholar] [CrossRef]
- Wang, Y.; Guo, J.; Yue, Q.; Chen, W.-Q.; Du, T.; Wang, H. Total CO2 emissions associated with buildings in 266 Chinese cities: Characteristics and influencing factors. Resour. Conserv. Recycl. 2023, 188, 106692. [Google Scholar] [CrossRef]
- Chen, C.; Bi, L. Study on spatio-temporal changes and driving factors of carbon emissions at the building operation stage—A case study of China. Build. Environ. 2022, 219, 109147. [Google Scholar] [CrossRef]
- Huo, T.; Ma, Y.; Cai, W.; Liu, B.; Mu, L. Will the urbanization process influence the peak of carbon emissions in the building sector? A dynamic scenario simulation. Energy Build. 2021, 232, 110590. [Google Scholar] [CrossRef]
- Zhang, W.; Cui, Y.; Wang, J.; Wang, C.; Streets, D.G. How does urbanization affect CO2 emissions of central heating systems in China? An assessment of natural gas transition policy based on nighttime light data. J. Clean. Prod. 2020, 276, 123188. [Google Scholar] [CrossRef]
- Wang, Z.; Yang, Z.; Zhang, B.; Li, H.; He, W. How does urbanization affect energy consumption for central heating: Historical analysis and future prospects. Energy Build. 2022, 255, 111631. [Google Scholar] [CrossRef]
- You, K.; Yu, Y.; Cai, W.; Liu, Z. The change in temporal trend and spatial distribution of CO2 emissions of China’s public and commercial buildings. Build. Environ. 2023, 229, 109956. [Google Scholar] [CrossRef]
- Lin, B.; Liu, H. China’s building energy efficiency and urbanization. Energy Build. 2015, 86, 356–365. [Google Scholar] [CrossRef]
- Huo, T.; Cao, R.; Du, H.; Zhang, J.; Cai, W.; Liu, B. Nonlinear influence of urbanization on China’s urban residential building carbon emissions: New evidence from panel threshold model. Sci. Total Environ. 2021, 772, 145058. [Google Scholar] [CrossRef]
- Wang, J.; Du, G.; Liu, M. Spatiotemporal characteristics and influencing factors of carbon emissions from civil buildings: Evidence from urban China. PLoS ONE 2022, 17, e0272295. [Google Scholar] [CrossRef]
- Wu, P.; Song, Y.; Zhu, J.; Chang, R. Analyzing the influence factors of the carbon emissions from China’s building and construction industry from 2000 to 2015. J. Clean. Prod. 2019, 221, 552–566. [Google Scholar] [CrossRef]
- Kahn, M.E.; Kok, N.; Quigley, J.M. Carbon emissions from the commercial building sector: The role of climate, quality, and incentives. J. Public Econ. 2014, 113, 1–12. [Google Scholar] [CrossRef]
- Huo, T.; Ma, Y.; Yu, T.; Cai, W.; Liu, B.; Ren, H. Decoupling and decomposition analysis of residential building carbon emissions from residential income: Evidence from the provincial level in China. Environ. Impact Assess. Rev. 2021, 86, 106487. [Google Scholar] [CrossRef]
- Ma, M.; Cai, W. Do commercial building sector-derived carbon emissions decouple from the economic growth in Tertiary Industry? A case study of four municipalities in China. Sci. Total Environ. 2019, 650, 822–834. [Google Scholar] [CrossRef]
- Xiao, Y.; Huang, H.; Qian, X.-M.; Zhang, L.-Y.; An, B.-W. Can new-type urbanization reduce urban building carbon emissions? New evidence from China. Sustain. Cities Soc. 2023, 90, 104410. [Google Scholar] [CrossRef]
- Bank, W. Climate Watch. 2020. GHG Emissions; World Resources Institute: Washington, DC, USA, 2020. [Google Scholar]
- Dong, F.; Wang, Y.; Su, B.; Hua, Y.; Zhang, Y. The process of peak CO2 emissions in developed economies: A perspective of industrialization and urbanization. Resour. Conserv. Recycl. 2019, 141, 61–75. [Google Scholar] [CrossRef]
- Huang, B.; Mauerhofer, V.; Geng, Y. Analysis of existing building energy saving policies in Japan and China. J. Clean. Prod. 2016, 112, 1510–1518. [Google Scholar] [CrossRef]
- Ouyang, X.; Lin, B. Carbon dioxide (CO2) emissions during urbanization: A comparative study between China and Japan. J. Clean. Prod. 2017, 143, 356–368. [Google Scholar] [CrossRef]
- Sun, L.; Liu, W.; Li, Z.; Cai, B.; Fujii, M.; Luo, X.; Chen, W.; Geng, Y.; Fujita, T.; Le, Y. Spatial and structural characteristics of CO2 emissions in East Asian megacities and its indication for low-carbon city development. Appl. Energy 2021, 284, 116400. [Google Scholar] [CrossRef]
- Zhang, Q. Residential energy consumption in China and its comparison with Japan, Canada, and USA. Energy Build. 2004, 36, 1217–1225. [Google Scholar] [CrossRef]
- Zhou, Y.; Chen, M.; Tang, Z.; Zhao, Y. City-level carbon emissions accounting and differentiation integrated nighttime light and city attributes. Resour. Conserv. Recycl. 2022, 182, 106337. [Google Scholar] [CrossRef]
- Ministry of Environment. Calculation Results of Greenhouse Gases 2020; Ministry of Environment: Tokyo, Japan, 2022.
- Center for Global Environmental Research, Earth System Division, National Institute for Environmental Studies. National Greenhouse Gas Inventory Report of JAPAN 2022; Center for Global Environmental Research, Earth System Division, National Institute for Environmental Studies: Tokyo, Japan, 2022.
- Sun, Y.; Zheng, S.; Wu, Y.; Schlink, U.; Singh, R.P. Spatiotemporal Variations of City-Level Carbon Emissions in China during 2000–2017 Using Nighttime Light Data. Remote Sens. 2020, 12, 2916. [Google Scholar] [CrossRef]
- Yue, Y.; Tian, L.; Yue, Q.; Wang, Z. Spatiotemporal Variations in Energy Consumption and Their Influencing Factors in China Based on the Integration of the DMSP-OLS and NPP-VIIRS Nighttime Light Datasets. Remote Sens. 2020, 12, 1151. [Google Scholar] [CrossRef]
- Zhao, J.; Ji, G.; Yue, Y.; Lai, Z.; Chen, Y.; Yang, D.; Yang, X.; Wang, Z. Spatio-temporal dynamics of urban residential CO2 emissions and their driving forces in China using the integrated two nighttime light datasets. Appl. Energy 2019, 235, 612–624. [Google Scholar] [CrossRef]
- Ang, B.W. LMDI decomposition approach: A guide for implementation. Energy Policy 2015, 86, 233–238. [Google Scholar] [CrossRef]
- He, H.; Myers, R.J. Log Mean Divisia Index Decomposition Analysis of the Demand for Building Materials: Application to Concrete, Dwellings, and the U.K. Environ. Sci. Technol. 2021, 55, 2767–2778. [Google Scholar] [CrossRef] [PubMed]
- Janssens-Maenhout, G.; Crippa, M.; Guizzardi, D.; Muntean, M.; Schaaf, E.; Dentener, F.; Bergamaschi, P.; Pagliari, V.; Olivier, J.G.J.; Peters, J.A.H.W.; et al. EDGAR v4.3.2 Global Atlas of the three major greenhouse gas emissions for the period 1970–2012. Earth Syst. Sci. Data 2019, 11, 959–1002. [Google Scholar] [CrossRef]
- Dou, X.; Wang, Y.; Ciais, P.; Chevallier, F.; Davis, S.J.; Crippa, M.; Janssens-Maenhout, G.; Guizzardi, D.; Solazzo, E.; Yan, F.; et al. Near-real-time global gridded daily CO2 emissions. Innovation 2022, 3, 100182. [Google Scholar] [CrossRef]
- Murakami, S.; Levine, M.D.; Yoshino, H.; Inoue, T.; Ikaga, T.; Shimoda, Y.; Miura, S.; Sera, T.; Nishio, M.; Sakamoto, Y.; et al. Overview of energy consumption and GHG mitigation technologies in the building sector of Japan. Energy Effic. 2009, 2, 179–194. [Google Scholar] [CrossRef]
- Shi, K.; Shen, J.; Wu, Y.; Liu, S.; Li, L. Carbon dioxide (CO2) emissions from the service industry, traffic, and secondary industry as revealed by the remotely sensed nighttime light data. Int. J. Digit. Earth 2021, 14, 1514–1527. [Google Scholar] [CrossRef]
- Zhao, J.; Chen, Y.; Ji, G.; Wang, Z. Residential carbon dioxide emissions at the urban scale for county-level cities in China: A comparative study of nighttime light data. J. Clean. Prod. 2018, 180, 198–209. [Google Scholar] [CrossRef]
- Wu, C.; Niu, Z.; Gao, S. Gross primary production estimation from MODIS data with vegetation index and photosynthetically active radiation in maize. J. Geophys. Res. Atmos. 2010, 115. [Google Scholar] [CrossRef]
- Anav, A.; Friedlingstein, P.; Beer, C.; Ciais, P.; Harper, A.; Jones, C.; Murray-Tortarolo, G.; Papale, D.; Parazoo, N.C.; Peylin, P.; et al. Spatiotemporal patterns of terrestrial gross primary production: A review. Rev. Geophys. 2015, 53, 785–818. [Google Scholar] [CrossRef]
- Campbell, J.E.; Berry, J.A.; Seibt, U.; Smith, S.J.; Montzka, S.A.; Launois, T.; Belviso, S.; Bopp, L.; Laine, M. Large historical growth in global terrestrial gross primary production. Nature 2017, 544, 84–87. [Google Scholar] [CrossRef]
- Huang, X.; Xiao, J.; Ma, M. Evaluating the Performance of Satellite-Derived Vegetation Indices for Estimating Gross Primary Productivity Using FLUXNET Observations across the Globe. Remote Sens. 2019, 11, 1823. [Google Scholar] [CrossRef]
- Liu, F.; Wang, C.; Wang, X. Can vegetation index track the interannual variation in gross primary production of temperate deciduous forests? Ecol. Process. 2021, 10, 51. [Google Scholar] [CrossRef]
- Wu, C.; Chen, J.M.; Huang, N. Predicting gross primary production from the enhanced vegetation index and photosynthetically active radiation: Evaluation and calibration. Remote Sens. Environ. 2011, 115, 3424–3435. [Google Scholar] [CrossRef]
- Chen, J.; Xu, C.; Xie, Q.; Song, M. Net primary productivity-based factors of China’s carbon intensity: A regional perspective. Growth Change 2020, 51, 1727–1748. [Google Scholar] [CrossRef]
- Huang, Y.; Yu, Q.; Wang, R. Driving factors and decoupling effect of carbon footprint pressure in China: Based on net primary production. Technol. Forecast. Soc. Change 2021, 167, 120722. [Google Scholar] [CrossRef]
- Liu, X.; Wang, P.; Song, H.; Zeng, X. Determinants of net primary productivity: Low-carbon development from the perspective of carbon sequestration. Technol. Forecast. Soc. Change 2021, 172, 121006. [Google Scholar] [CrossRef]
- Norman, J.; MacLean Heather, L.; Kennedy Christopher, A. Comparing High and Low Residential Density: Life-Cycle Analysis of Energy Use and Greenhouse Gas Emissions. J. Urban Plan. Dev. 2006, 132, 10–21. [Google Scholar] [CrossRef]
- Timmons, D.; Zirogiannis, N.; Lutz, M. Location matters: Population density and carbon emissions from residential building energy use in the United States. Energy Res. Soc. Sci. 2016, 22, 137–146. [Google Scholar] [CrossRef]
- Balaban, O.; Puppim de Oliveira, J.A. Sustainable buildings for healthier cities: Assessing the co-benefits of green buildings in Japan. J. Clean. Prod. 2017, 163, S68–S78. [Google Scholar] [CrossRef]
- Ries, R.; Bilec, M.M.; Gokhan, N.M.; Needy, K.L. The Economic Benefits of Green Buildings: A Comprehensive Case Study. Eng. Econ. 2006, 51, 259–295. [Google Scholar] [CrossRef]
- Cheng, Z.; Hu, X. The effects of urbanization and urban sprawl on CO2 emissions in China. Environ. Dev. Sustain. 2023, 25, 1792–1808. [Google Scholar] [CrossRef]
- Chen, X.; Shuai, C.; Wu, Y.; Zhang, Y. Analysis on the carbon emission peaks of China’s industrial, building, transport, and agricultural sectors. Sci. Total Environ. 2020, 709, 135768. [Google Scholar] [CrossRef] [PubMed]













| Variables | BTH | NCRJ |
|---|---|---|
| NTL | −0.059 | −1.346 *** |
| POP | 12.076 *** | 1.893 *** |
| PLU | 9.464 *** | −0.538 *** |
| EVI | 0.027 | 0.167 |
| ST | 0.081 ** | 1.655 *** |
| WT | 0.052 *** | −0.130 |
| Observations | 65 | 40 |
| R2 | 0.79 | 0.97 |
| Variables | BTH | NCRJ |
|---|---|---|
| NTL | 0.094 ** | −0.439 ** |
| POP | 8.740 *** | 1.189 *** |
| RLU | 0.159 | −0.065 |
| EVI | −0.009 | −0.332 * |
| ST | −0.029 | 0.604 ** |
| WT | 0.028 | 0.097 |
| Observations | 65 | 40 |
| R2 | 0.85 | 0.99 |
| Variables | BTH | NCRJ |
|---|---|---|
| Public BCE | ||
| Residential BCE |
Disclaimer/Publisher’s Note: The statements, opinions and data contained in all publications are solely those of the individual author(s) and contributor(s) and not of MDPI and/or the editor(s). MDPI and/or the editor(s) disclaim responsibility for any injury to people or property resulting from any ideas, methods, instructions or products referred to in the content. |
© 2023 by the authors. Licensee MDPI, Basel, Switzerland. This article is an open access article distributed under the terms and conditions of the Creative Commons Attribution (CC BY) license (https://creativecommons.org/licenses/by/4.0/).
Share and Cite
Zhao, Y.; Zhou, Y.; Jiang, C.; Wu, J. Mapping and Influencing the Mechanism of CO2 Emissions from Building Operations Integrated Multi-Source Remote Sensing Data. Remote Sens. 2023, 15, 2204. https://doi.org/10.3390/rs15082204
Zhao Y, Zhou Y, Jiang C, Wu J. Mapping and Influencing the Mechanism of CO2 Emissions from Building Operations Integrated Multi-Source Remote Sensing Data. Remote Sensing. 2023; 15(8):2204. https://doi.org/10.3390/rs15082204
Chicago/Turabian StyleZhao, You, Yuan Zhou, Chenchen Jiang, and Jinnan Wu. 2023. "Mapping and Influencing the Mechanism of CO2 Emissions from Building Operations Integrated Multi-Source Remote Sensing Data" Remote Sensing 15, no. 8: 2204. https://doi.org/10.3390/rs15082204
APA StyleZhao, Y., Zhou, Y., Jiang, C., & Wu, J. (2023). Mapping and Influencing the Mechanism of CO2 Emissions from Building Operations Integrated Multi-Source Remote Sensing Data. Remote Sensing, 15(8), 2204. https://doi.org/10.3390/rs15082204

