Assessment of the Urban Extreme Precipitation by Satellite Estimates over Mainland China
Abstract
1. Introduction
2. Materials and Methods
2.1. Study Area
2.2. Datasets
2.2.1. Four Satellite Precipitation Products
2.2.2. Rain Gauge Data
2.3. Methods
2.3.1. Conventional Indices
2.3.2. Extreme Precipitation Indices
2.3.3. Bivariate Moran’s I (BMI)
3. Results
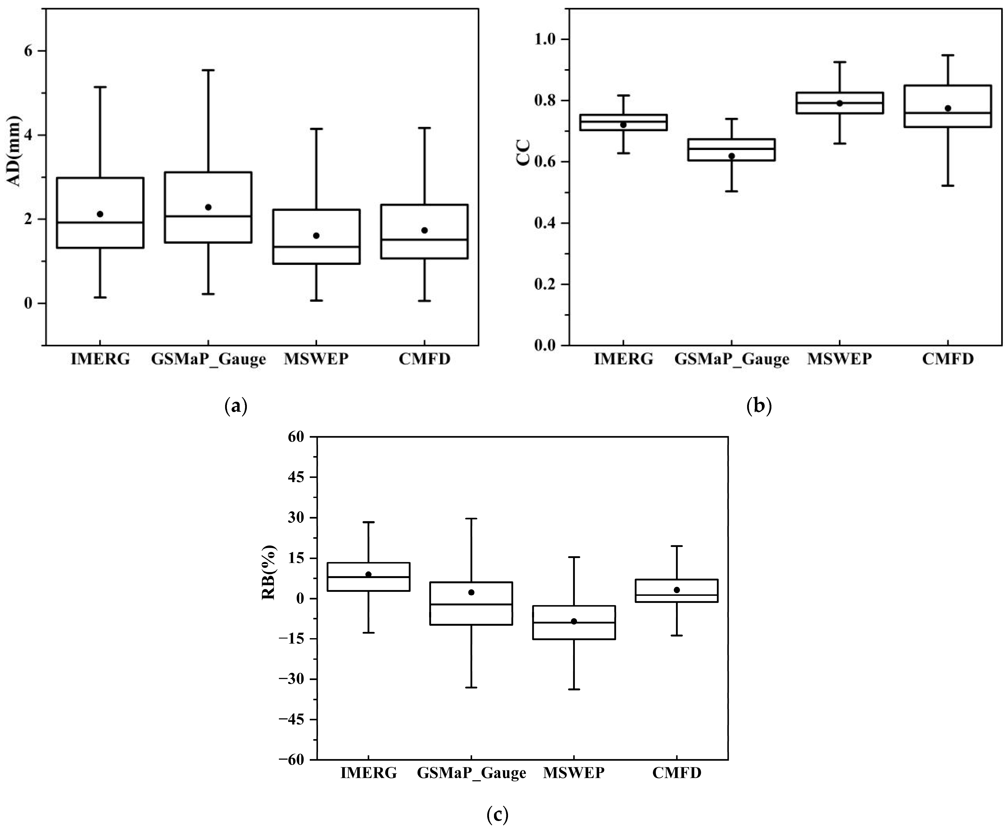
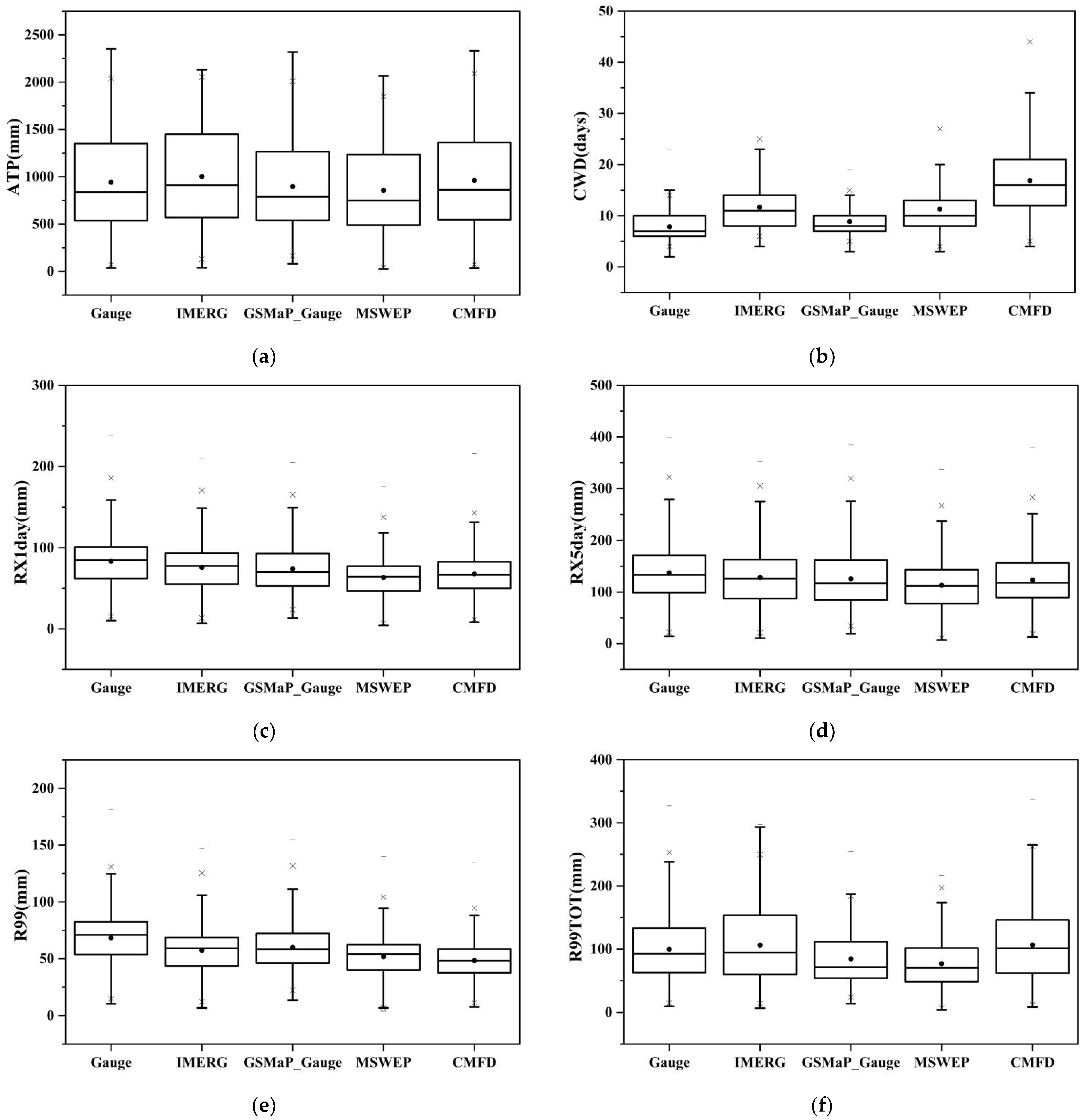
3.1. Performance of SPPs on Total Urban Area of Mainland China
3.2. Performance of SPPs on 21 Major Cities
3.3. Performance of SPPs on Spatial Correlation
4. Discussion
5. Conclusions
- The extreme precipitation estimates from the four SPPs in total urbanized areas in mainland China were evaluated. As for conventional indices, MSWEP has the highest CC of 0.79 and the lowest AD of 1.61 mm. However, it tends to underestimate urban precipitation, with RB of −8.5%. GSMaP_Gauge and IMERG performed better in six extreme indices, with close values to the gauge observations.
- The extreme precipitation estimates over 21 Chinese major cities were assessed with R99 and R99TOT. GSMaP_Gauge demonstrates high accuracy in estimating R99 and R99TOT values, exhibiting the best RB and AD in these cities. On the other hand, CMFD and MSWEP exhibit the highest CC values for R99 and R99TOT, respectively, indicating a robust correlation between their estimates and gauge observations. It is found that MSWEP consistently underestimates R99 and R99TOT, but its RB of the two indices is relatively smooth. CMFD and IMERG tend to overestimate R99 and R99TOT in some cities significantly, which bring a risk in their application.
- BMI is adopted to assess the inner-city spatial correlation of R99 and R99TOT between the SPPs and gauge observations in four major cities, including Beijing, Chongqing, Chengdu, and Shanghai. The R99 and R99TOT from MSWEP show the best spatial correlation with gauge observations in most of cities. CMFD also show an advantage in estimating the R99 distribution in Chongqing and Chengdu.
Author Contributions
Funding
Data Availability Statement
Acknowledgments
Conflicts of Interest
References
- Marengo, J.A.; Alves, L.M.; Ambrizzi, T.; Young, A.; Barreto, N.J.C.; Ramos, A.M. Trends in extreme rainfall and hydrogeometeorological disasters in the Metropolitan Area of São Paulo: A review. Ann. N. Y. Acad. Sci. 2020, 1472, 5–20. [Google Scholar] [CrossRef] [PubMed]
- Huong, H.T.L.; Pathirana, A. Urbanization and climate change impacts on future urban flooding in Can Tho city, Vietnam. Hydrol. Earth Syst. Sci. 2013, 17, 379–394. [Google Scholar] [CrossRef]
- Li, Y.; Fowler, H.J.; Argüeso, D.; Blenkinsop, S.; Evans, J.P.; Lenderink, G.; Yan, X.D.; Guerreiro, S.B.; Lewis, E.; Li, X.F. Strong Intensification of Hourly Rainfall Extremes by Urbanization. Geophys. Res. Lett. 2020, 47, e2020GL088758. [Google Scholar] [CrossRef]
- Abiodun, B.J.; Adegoke, J.; Abatan, A.A.; Ibe, C.A.; Egbebiyi, T.S.; Engelbrecht, F.; Pinto, I. Potential impacts of climate change on extreme precipitation over four African coastal cities. Clim. Change 2017, 143, 399–413. [Google Scholar] [CrossRef]
- Gasper, R.; Blohm, A.; Ruth, M. Social and economic impacts of climate change on the urban environment. Curr. Opin. Environ. Sustain. 2011, 3, 150–157. [Google Scholar] [CrossRef]
- Tapiador, F.J.; Turk, F.J.; Petersen, W.; Hou, A.Y.; García-Ortega, E.; Machado, A.T.; Angelis, C.F.; Salio, P.; Kidd, C.; Huffman, G.J.; et al. Global precipitation measurement: Methods, datasets and applications. Atmos. Res. 2012, 104–105, 70–97. [Google Scholar] [CrossRef]
- Colli, M.; Pollock, M.; Stagnaro, M.; Lanza, L.G.; Dutton, M.; O’Connell, E. A Computational Fluid-Dynamics Assessment of the Improved Performance of Aerodynamic Rain Gauges. Water Resour. Res. 2018, 54, 779–796. [Google Scholar] [CrossRef]
- Hughes, D.A. Comparison of satellite rainfall data with observations from gauging station networks. J. Hydrol. 2006, 327, 399–410. [Google Scholar] [CrossRef]
- Thorndahl, S.; Einfalt, T.; Willems, P.; Nielsen, J.E.; Ten Veldhuis, M.C.; Arnbjerg-Nielsen, K.; Rasmussen, M.R.; Molnar, P. Weather radar rainfall data in urban hydrology. Hydrol. Earth Syst. Sci. 2017, 21, 1359–1380. [Google Scholar] [CrossRef]
- Crochet, P. Enhancing radar estimates of precipitation over complex terrain using information derived from an orographic precipitation model. J. Hydrol. 2009, 377, 417–433. [Google Scholar] [CrossRef]
- Yang, X.; Lu, Y.; Tan, M.L.; Li, X.; Wang, G.; He, R.M. Nine-Year Systematic Evaluation of the GPM and TRMM Precipitation Products in the Shuaishui River Basin in East-Central China. Remote Sens. 2020, 12, 1042. [Google Scholar] [CrossRef]
- Tan, J.; Huffman, G.J.; Bolvin, D.T.; Nelkin, E.J. IMERG V06: Changes to the Morphing Algorithm. J. Atmos. Ocean. Technol. 2019, 36, 2471–2482. [Google Scholar] [CrossRef]
- Okamoto, K.I.; Ushio, T.; Iguchi, T.; Takahashi, N.; Iwanami, K. The global satellite mapping of precipitation (GSMaP) project. In Proceedings of the 2005 IEEE International Geoscience and Remote Sensing Symposium, Seoul, Republic of Korea, 29–29 July 2005; Volume 5, pp. 3414–3416. [Google Scholar]
- He, J.; Yang, K.; Tang, W.; Lu, H.; Qin, J.; Chen, Y.; Li, X. The first high-resolution meteorological forcing dataset for land process studies over China. Sci. Data 2020, 7, 25. [Google Scholar] [CrossRef] [PubMed]
- Beck, H.E.; van Dijk, A.I.J.M.; Levizzani, V.; Schellekens, J.; Miralles, D.G.; Martens, B.; de Roo, A. MSWEP: 3-hourly 0.25° global gridded precipitation (1979–2015) by merging gauge, satellite, and reanalysis data. Hydrol. Earth Syst. Sci. 2017, 21, 589–615. [Google Scholar] [CrossRef]
- Wang, C.; Tang, G.; Han, Z.; Guo, X.; Hong, Y. Global intercomparison and regional evaluation of GPM IMERG Version-03, Version-04 and its latest Version-05 precipitation products: Similarity, difference and improvements. J. Hydrol. 2018, 564, 342–356. [Google Scholar] [CrossRef]
- Amjad, M.; Yilmaz, M.T.; Yucel, I.; Yilmaz, K.K. Performance evaluation of satellite- and model-based precipitation products over varying climate and complex topography. J. Hydrol. 2020, 584, 124707. [Google Scholar] [CrossRef]
- Chua, Z.W.; Kuleshov, Y.; Watkins, A. Evaluation of Satellite Precipitation Estimates over Australia. Remote Sens. 2020, 12, 678. [Google Scholar] [CrossRef]
- Gehne, M.; Hamill, T.M.; Kiladis, G.N.; Trenberth, K.E. Comparison of Global Precipitation Estimates across a Range of Temporal and Spatial Scales. J. Clim. 2016, 29, 7773–7795. [Google Scholar] [CrossRef]
- Guo, H.; Chen, S.; Bao, A.; Hu, J.; Gebregiorgis, A.S.; Xue, X.; Zhang, X. Inter-Comparison of High-Resolution Satellite Precipitation Products over Central Asia. Remote Sens. 2015, 7, 7181–7211. [Google Scholar] [CrossRef]
- Wang, D.; Wang, X.; Liu, L.; Wang, D.; Huang, H.; Pan, C. Evaluation of CMPA precipitation estimate in the evolution of typhoon-related storm rainfall in Guangdong, China. J. Hydroinform. 2016, 18, 1055–1068. [Google Scholar] [CrossRef]
- Xiong, W.T.; Tang, G.Q.; Wang, T.; Ma, Z.Q.; Wan, W. Evaluation of IMERG and ERA5 Precipitation-Phase Partitioning on the Global Scale. Water 2022, 14, 1122. [Google Scholar] [CrossRef]
- Zhang, L.; Chen, X.; Lai, R.; Zhu, Z. Performance of satellite-based and reanalysis precipitation products under multi-temporal scales and extreme weather in mainland China. J. Hydrol. 2022, 605, 127389. [Google Scholar] [CrossRef]
- Zhang, A.; Xiao, L.; Min, C.; Chen, S.; Kulie, M.; Huang, C.Y.; Liang, Z.Q. Evaluation of latest GPM-Era high-resolution satellite precipitation products during the May 2017 Guangdong extreme rainfall event. Atmos. Res. 2019, 216, 76–85. [Google Scholar] [CrossRef]
- Huang, Y.; Chen, S.; Cao, Q.; Hong, Y.; Wu, B.; Huang, M.; Qiao, L.; Zhang, Z.; Li, Z.; Li, W. Evaluation of Version-7 TRMM Multi-Satellite Precipitation Analysis Product during the Beijing Extreme Heavy Rainfall Event of 21 July 2012. Water 2014, 6, 32–44. [Google Scholar] [CrossRef]
- Habib, E.; Henschke, A.; Adler, R.F. Evaluation of TMPA satellite-based research and real-time rainfall estimates during six tropical-related heavy rainfall events over Louisiana, USA. Atmos. Res. 2009, 94, 373–388. [Google Scholar] [CrossRef]
- Getirana, A.; Kirschbaum, D.; Mandarino, F.; Ottoni, M.; Khan, S.; Arsenault, K. Potential of GPM IMERG Precipitation Estimates to Monitor Natural Disaster Triggers in Urban Areas: The Case of Rio de Janeiro, Brazil. Remote Sens. 2020, 12, 4095. [Google Scholar] [CrossRef]
- Zhang, Q.; Xu, C.Y.; Zhang, Z.; Chen, Y.D.; Liu, C.L. Spatial and temporal variability of precipitation over China, 1951–2005. Theor. Appl. Climatol. 2009, 95, 53–68. [Google Scholar] [CrossRef]
- Fang, J.; Yang, W.; Luan, Y.; Du, J.; Lin, A.; Zhao, L.; Zhao, L. Evaluation of the TRMM 3B42 and GPM IMERG products for extreme precipitation analysis over China. Atmos. Res. 2019, 223, 24–38. [Google Scholar] [CrossRef]
- Westra, S.; Fowler, H.J.; Evans, J.P.; Alexander, L.V.; Berg, P.; Johnson, F.; Kendon, E.J.; Lenderink, G.; Roberts, N.M. Future changes to the intensity and frequency of short-duration extreme rainfall. Rev. Geophys. 2014, 52, 522–555. [Google Scholar] [CrossRef]
- Ren, M.; Xu, Z.; Pang, B.; Liu, W.; Liu, J.; Du, L.; Wang, R. Assessment of Satellite-Derived Precipitation Products for the Beijing Region. Remote Sens. 2018, 10, 1914. [Google Scholar] [CrossRef]
- Li, W.; HE, X.; Sun, W.; Scaioni, M.; Yao, D.; Fu, J.; Chen, Y.; Liu, B.; Gao, J.; Li, X. Evaluating three satellite-based precipitation products of different spatial resolutions in Shanghai based on upscaling of rain gauge. Int. J. Remote Sens. 2019, 40, 5875–5891. [Google Scholar] [CrossRef]
- Li, X.; Chen, Y.; Wang, H.; Zhang, Y. Assessment of GPM IMERG and radar quantitative precipitation estimation (QPE) products using dense rain gauge observations in the Guangdong-Hong Kong-Macao Greater Bay Area, China. Atmos. Res. 2020, 236, 104834. [Google Scholar] [CrossRef]
- Li, Y.; Pang, B.; Ren, M.; Shi, S.; Peng, D.; Zhu, Z.; Zuo, D. Evaluation of Performance of Three Satellite-Derived Precipitation Products in Capturing Extreme Precipitation Events over Beijing, China. Remote Sens. 2022, 14, 2698. [Google Scholar] [CrossRef]
- Li, X.; Gong, P.; Zhou, Y.; Wang, J.; Bai, Y.; Chen, B.; Hu, T.; Xiao, Y.; Xu, B.; Yang, J. Mapping global urban boundaries from the global artificial impervious area (GAIA) data. Environ. Res. Lett. 2020, 15, 94044. [Google Scholar] [CrossRef]
- Gong, P.; Li, X.; Wang, J.; Bai, Y.; Chen, B.; Hu, T.; Liu, X.; Xu, B.; Yang, J.; Zhang, W. Annual maps of global artificial impervious area (GAIA) between 1985 and 2018. Remote Sens. Environ. 2020, 236, 111510. [Google Scholar] [CrossRef]
- Huffman, G.J.; Bolvin, D.T.; Braithwaite, D.; Hsu, K.; Joyce, R.J. Integrated Multi-satellite Retrievals for the Global Precipitation Measurement (GPM) Mission (IMERG). In Satellite Precipitation Measurement; Levizzani, V., Kidd, C., Kirschbaum, D.B., Kummerow, C.D., Nakamura, K., Turk, F.J., Eds.; Springer International Publishing: Cham, Switzerland, 2020; Volume 1, pp. 343–353. [Google Scholar]
- Ushio, T.; Kachi, M. Kalman Filtering Applications for Global Satellite Mapping of Precipitation (GSMaP). In Satellite Rainfall Applications for Surface Hydrology; Gebremichael, M., Hossain, F., Eds.; Springer: Dordrecht, The Netherlands, 2010; pp. 105–123. [Google Scholar]
- Beck, H.E.; Wood, E.F.; Pan, M.; Fisher, C.K.; Miralles, D.G.; van Dijk, A.I.J.M.; McVicar, T.R.; Adler, R.F. MSWEP V2 Global 3-Hourly 0.1° Precipitation: Methodology and Quantitative Assessment. Bull. Am. Meteorol. Soc. 2019, 100, 473–500. [Google Scholar] [CrossRef]
- Palharini, R.S.A.; Vila, D.A.; Rodrigues, D.T.; Quispe, D.P.; Palharini, R.C.; de Siqueira, R.A.; de Sousa Afonso, J.M. Assessment of the Extreme Precipitation by Satellite Estimates over South America. Remote Sens. 2020, 12, 2085. [Google Scholar] [CrossRef]
- Xie, W.; Yi, S.; Leng, C.; Xia, D.; Li, M.; Zhong, Z.; Ye, J. The evaluation of IMERG and ERA5-Land daily precipitation over China with considering the influence of gauge data bias. Sci. Rep. 2022, 12, 8085. [Google Scholar] [CrossRef] [PubMed]
- Frich, P.; Alexander, L.V.; Della-Marta, P.; Gleason, B.; Haylock, M.; Tank, A.M.; Peterson, T. Observed coherent changes in climatic extremes during the second half of the twentieth century. Clim. Res. 2002, 19, 193–212. [Google Scholar] [CrossRef]
- Zhang, X.B.; Alexander, L.; Hegerl, G.C.; Jones, P.; Tank, A.K.; Peterson, T.C.; Trewin, B.; Zwiers, F.W. Indices for monitoring changes in extremes based on daily temperature and precipitation data. Clim. Change 2011, 2, 851–870. [Google Scholar] [CrossRef]
- Czaplewski, R.L.; Reich, R.M. Expected Value and Variance of Moran’s Bivariate Spatial Autocorrelation Statistic for a Permutation Test; Research paper; US Department of Agriculture, Forest Service, Rocky Mountain Forest, Range Experiment Station: Fort Collins, CO, USA, 1993; p. 17.
- Cao, R.; Li, F.; Feng, P. Impact of Urbanization on Precipitation in North Haihe Basin, China. Atmosphere 2019, 11, 16. [Google Scholar] [CrossRef]
- Jia, X.; Hu, B.; Marchant, B.P.; Zhou, L.; Shi, Z.; Zhu, Y. A methodological framework for identifying potential sources of soil heavy metal pollution based on machine learning: A case study in the Yangtze Delta, China. Environ. Pollut. 2019, 250, 601–609. [Google Scholar] [CrossRef] [PubMed]
- Shirvani, Z.; Abdi, O.; Buchroithner, M.F.; Pradhan, B. Analysing Spatial and Statistical Dependencies of Deforestation Affected by Residential Growth: Gorganrood Basin, Northeast Iran. Land Degrad. Dev. 2017, 28, 2176–2190. [Google Scholar] [CrossRef]
- Zhang, Y.; Liu, Y.; Zhang, Y.; Liu, Y.; Zhang, G.; Chen, Y. On the spatial relationship between ecosystem services and urbanization: A case study in Wuhan, China. Sci. Total Environ. 2018, 637–638, 780–790. [Google Scholar] [CrossRef] [PubMed]
- Anselin, L. Local Indicators of Spatial Association—LISA. Geogr. Anal. 1995, 27, 93–115. [Google Scholar] [CrossRef]
- Xu, Z.; Wu, Z.; He, H.; Wu, X.; Zhou, J.; Zhang, Y.; Guo, X. Evaluating the accuracy of MSWEP V2.1 and its performance for drought monitoring over mainland China. Atmos. Res. 2019, 226, 17–31. [Google Scholar] [CrossRef]
- Xuan, D.; Hu, Q.; Wang, Y.; Yang, H.; Li, L.; Wang, L. Precipitation Characteristic Analysis of the Zhoushan Archipelago: From the View of MSWEP and Rainfall Merging. Water 2020, 12, 829. [Google Scholar] [CrossRef]
- Lu, D.; Yong, B. A Preliminary Assessment of the Gauge-Adjusted Near-Real-Time GSMaP Precipitation Estimate over Mainland China. Remote Sens. 2020, 12, 141. [Google Scholar] [CrossRef]
- Nepal, B.; Shrestha, D.; Sharma, S.; Shrestha, M.S.; Aryal, D.; Shrestha, N. Assessment of GPM-Era Satellite Products (IMERG and GSMaP) Ability to Detect Precipitation Extremes over Mountainous Country Nepal. Atmosphere 2021, 12, 254. [Google Scholar] [CrossRef]
- Weng, P.; Tian, Y.; Jiang, Y.; Chen, D.; Kang, J. Assessment of GPM IMERG and GSMaP daily precipitation products and their utility in droughts and floods monitoring across Xijiang River Basin. Atmos. Res. 2023, 286, 106673. [Google Scholar] [CrossRef]
- Zhou, Z.; Guo, B.; Xing, W.; Zhou, J.; Xu, F.; Xu, Y. Comprehensive evaluation of latest GPM era IMERG and GSMaP precipitation products over mainland China. Atmos. Res. 2020, 246, 105132. [Google Scholar] [CrossRef]















| Index | Definition | Units |
|---|---|---|
| ATP | Annual total precipitation | mm |
| CWD | Maximum number of consecutive wet days | days |
| R1Xday | Maximum daily precipitation amount of the year | mm |
| R5Xday | Precipitation of the wettest consecutive five days of the year | mm |
| R99 | The 95th percentile of daily precipitation on wet days | mm |
| R99TOT | Total precipitation when daily precipitation exceeded R99 | mm |
| Index | IMERG | GSMaP_Gauge | MSWEP | CMFD |
|---|---|---|---|---|
| AD (mm) | 2.12 | 2.28 | 1.61 | 1.73 |
| CC | 0.72 | 0.62 | 0.79 | 0.77 |
| RB | 9.0% | 2.3% | −8.5% | 3.2% |
| SPP | ATP | CWD | R1Xday | R5Xday | R99 | R99TOT |
|---|---|---|---|---|---|---|
| Gauge | 941.3 | 8 | 83.6 | 137.3 | 68.3 | 99.7 |
| IMERG | 1002.8 | 12 | 75.9 | 128.5 | 57.4 | 106.2 |
| GSMaP_Gauge | 897.7 | 9 | 74.2 | 125.5 | 60.0 | 84.5 |
| MSWEP | 857.4 | 11 | 63.4 | 113.0 | 51.8 | 76.9 |
| CMFD | 961.4 | 17 | 67.6 | 123.3 | 48.2 | 106.5 |
| City | IMERG | GSMaP_Gauge | MSWEP | CMFD | ||||||||
|---|---|---|---|---|---|---|---|---|---|---|---|---|
| AD | CC | RB | AD | CC | RB | AD | CC | RB | AD | CC | RB | |
| Beijing | 28.7 | 0.22 | −39% | 29.1 | 0.66 | −40% | 24.0 | 0.72 | −33% | 30.0 | 0.54 | −41% |
| Shanghai | 13.3 | 0.18 | −17% | 9.6 | 0.37 | −12% | 27.7 | 0.87 | −35% | 20.3 | 0.14 | −26% |
| Guangzhou | 8.6 | 0.43 | −6% | 8.0 | 0.88 | 7% | 28.6 | −0.20 | −27% | 24.6 | 0.87 | −23% |
| Shenzhen | 15.8 | – | −13% | 16.2 | – | 13% | 25.4 | – | −21% | 29.3 | – | −24% |
| Chengdu | 5.9 | −0.21 | −2% | 10.9 | 0.15 | −16% | 10.6 | −0.10 | −16% | 22.0 | 0.13 | −33% |
| Dalian | 31.5 | 0.92 | −40% | 21.8 | −0.13 | −27% | 24.1 | 0.72 | −30% | 19.2 | 0.74 | −24% |
| Harbin | 6.7 | −0.13 | −15% | 5.5 | 0.35 | 10% | 13.2 | 0.07 | −30% | 12.1 | −0.35 | −27% |
| Chongqing | 6.2 | 0.05 | −2% | 5.6 | 0.36 | −1% | 5.9 | 0.20 | −7% | 16.7 | 0.49 | −27% |
| Dongguan | 17.5 | – | −16% | 12.1 | – | 11% | 34.6 | – | −31% | 43.3 | – | −39% |
| Foshan | 17.0 | −0.99 | −17% | 6.2 | 0.98 | 6% | 23.6 | 1.00 | −24% | 32.5 | 0.88 | −33% |
| Nanjing | 23.4 | 0.61 | −27% | 26.3 | 0.46 | −30% | 27.6 | 0.83 | −32% | 27.4 | 0.17 | −32% |
| Hangzhou | 7.9 | −0.37 | −11% | 1.9 | 0.20 | 1% | 16.9 | 0.31 | −24% | 17.6 | 0.35 | −25% |
| Jinan | 19.8 | 0.39 | −25% | 30.5 | −0.35 | −38% | 23.5 | 0.13 | −29% | 28.1 | −0.03 | −35% |
| Shenyang | 16.6 | 0.44 | −25% | 14.3 | −0.16 | −22% | 21.9 | 0.16 | −34% | 21.3 | 0.07 | −33% |
| Kunming | 5.9 | 0.24 | −9% | 7.6 | 0.31 | −10% | 13.4 | −0.12 | −25% | 19.0 | 0.23 | −35% |
| Qingdao | 23.1 | 0.85 | −26% | 28.0 | 0.37 | −32% | 22.1 | 0.41 | −25% | 32.9 | 0.32 | −38% |
| Wuhan | 23.5 | −0.22 | −26% | 18.2 | 0.11 | −21% | 17.8 | 0.13 | −20% | 23.3 | 0.52 | −26% |
| Xian | 9.4 | 0.52 | −18% | 9.5 | 0.86 | −19% | 10.8 | −0.80 | −21% | 17.3 | 0.54 | −34% |
| Tianjin | 28.9 | 0.29 | −36% | 18.6 | −0.39 | −23% | 20.8 | 0.05 | −26% | 28.5 | 0.06 | −36% |
| Changsha | 4.4 | 0.35 | −6% | 5.1 | −0.38 | 7% | 9.8 | 0.43 | −14% | 16.8 | 0.28 | −23% |
| Zhengzhou | 19.3 | 0.35 | −29% | 18.5 | 0.44 | −28% | 16.6 | 0.76 | −25% | 24.2 | 0.66 | −37% |
| Average | 15.9 | 0.19 | −19% | 14.5 | 0.24 | −13% | 19.9 | 0.27 | −25% | 24.1 | 0.32 | −31% |
| City | IMERG | GSMaP_Gauge | MSWEP | CMFD | ||||||||
|---|---|---|---|---|---|---|---|---|---|---|---|---|
| AD | CC | RB | AD | CC | RB | AD | CC | RB | AD | CC | RB | |
| Beijing | 21.4 | 0.21 | −27% | 28.9 | 0.57 | −37% | 23.4 | 0.69 | −30% | 18.5 | 0.37 | −23% |
| Shanghai | 60.5 | 0.32 | 57% | 8.0 | 0.67 | 4% | 21.3 | 0.47 | −19% | 44.3 | −0.34 | 42% |
| Guangzhou | 49.3 | −0.54 | 26% | 28.0 | −0.29 | −12% | 43.8 | 0.58 | −24% | 24.8 | 0.43 | 12% |
| Shenzhen | 22.0 | - | 14% | 0.8 | - | 1% | 19.5 | - | −12% | 87.1 | - | 54% |
| Chengdu | 22.6 | 0.16 | −5% | 34.8 | 0.70 | −27% | 22.4 | 0.89 | −18% | 15.8 | 0.83 | 9% |
| Dalian | 14.8 | −0.43 | 6% | 21.0 | 0.18 | −25% | 23.2 | 0.87 | −27% | 10.5 | 0.27 | −3% |
| Harbin | 28.4 | 0.24 | 55% | 5.6 | 0.32 | 8% | 10.8 | 0.07 | −21% | 13.6 | 0.50 | 26% |
| Chongqing | 16.5 | 0.57 | 10% | 15.8 | 0.15 | 6% | 27.0 | 0.48 | −20% | 18.0 | −0.05 | 2% |
| Dongguan | 59.0 | - | 38% | 3.6 | - | 2% | 16.5 | - | −11% | 53.9 | - | 35% |
| Foshan | 72.8 | −0.26 | 44% | 7.6 | 0.76 | 5% | 28.8 | 0.90 | −17% | 6.4 | 0.79 | 2% |
| Nanjing | 46.3 | 0.78 | 42% | 28.0 | −0.15 | −26% | 24.8 | 0.24 | −23% | 44.9 | 0.20 | 41% |
| Hangzhou | 29.7 | −0.61 | 24% | 14.0 | −0.87 | −1% | 26.9 | −0.59 | −21% | 16.7 | −0.63 | 10% |
| Jinan | 7.2 | −0.10 | −7% | 27.6 | −0.62 | −32% | 23.0 | 0.26 | −27% | 13.6 | −0.16 | −1% |
| Shenyang | 7.9 | 0.63 | −5% | 18.8 | −0.28 | −25% | 25.7 | 0.38 | −34% | 7.2 | 0.09 | 3% |
| Kunming | 15.6 | −0.82 | 1% | 15.5 | −0.22 | −5% | 13.2 | −0.19 | −11% | 25.3 | 0.02 | 34% |
| Qingdao | 7.8 | 0.92 | −8% | 29.0 | 0.27 | −30% | 23.2 | 0.48 | −24% | 12.1 | −0.22 | −2% |
| Wuhan | 53.6 | −0.30 | 48% | 24.3 | −0.19 | −22% | 10.0 | 0.54 | −9% | 54.6 | −0.10 | 49% |
| Xian | 9.6 | 0.83 | 17% | 4.0 | 0.70 | 4% | 7.9 | 0.19 | −13% | 10.7 | 0.84 | 18% |
| Tianjin | 11.7 | −0.34 | −10% | 15.2 | −0.47 | −18% | 19.7 | −0.03 | −24% | 15.6 | 0.28 | −19% |
| Changsha | 25.6 | −0.62 | 19% | 14.6 | 0.67 | −11% | 28.7 | −0.60 | −21% | 6.4 | −0.38 | 2% |
| Zhengzhou | 8.0 | 0.51 | 4% | 17.3 | 0.28 | −24% | 11.7 | 0.55 | −15% | 11.0 | 0.16 | 12% |
| Average | 28.1 | 0.05 | 16% | 17.3 | 0.10 | −13% | 21.5 | 0.29 | −20% | 24.3 | 0.14 | 14% |
| Index | Cities | IMERG | GSMaP_Gauge | MSWEP | CMFD | ||||
|---|---|---|---|---|---|---|---|---|---|
| BMI | p-Values | BMI | p-Values | BMI | p-Values | BMI | p-Values | ||
| R99 | Beijing | 0.03 | 0.28 | 0.32 | 0.006 | 0.33 | 0.003 | 0.18 | 0.02 |
| Chongqing | −0.06 | 0.17 | 0.21 | 0.007 | 0.13 | 0.03 | 0.33 | 0.001 | |
| Chengdu | 0.09 | 0.23 | −0.12 | 0.13 | −0.11 | 0.10 | 0.10 | 0.13 | |
| Shanghai | −0.07 | 0.29 | 0.16 | 0.02 | 0.26 | 0.002 | 0.08 | 0.14 | |
| R99TOT | Beijing | 0.08 | 0.14 | 0.29 | 0.005 | 0.32 | 0.003 | 0.14 | 0.04 |
| Chongqing | 0.25 | 0.006 | −0.09 | 0.09 | 0.33 | 0.001 | −0.16 | 0.02 | |
| Chengdu | 0.08 | 0.15 | 0.39 | 0.001 | 0.44 | 0.001 | 0.40 | 0.002 | |
| Shanghai | 0.08 | 0.11 | 0.10 | 0.06 | 0.29 | 0.001 | 0.21 | 0.02 | |
Disclaimer/Publisher’s Note: The statements, opinions and data contained in all publications are solely those of the individual author(s) and contributor(s) and not of MDPI and/or the editor(s). MDPI and/or the editor(s) disclaim responsibility for any injury to people or property resulting from any ideas, methods, instructions or products referred to in the content. |
© 2023 by the authors. Licensee MDPI, Basel, Switzerland. This article is an open access article distributed under the terms and conditions of the Creative Commons Attribution (CC BY) license (https://creativecommons.org/licenses/by/4.0/).
Share and Cite
Li, Y.; Pang, B.; Zheng, Z.; Chen, H.; Peng, D.; Zhu, Z.; Zuo, D. Assessment of the Urban Extreme Precipitation by Satellite Estimates over Mainland China. Remote Sens. 2023, 15, 1805. https://doi.org/10.3390/rs15071805
Li Y, Pang B, Zheng Z, Chen H, Peng D, Zhu Z, Zuo D. Assessment of the Urban Extreme Precipitation by Satellite Estimates over Mainland China. Remote Sensing. 2023; 15(7):1805. https://doi.org/10.3390/rs15071805
Chicago/Turabian StyleLi, Yu, Bo Pang, Ziqi Zheng, Haoming Chen, Dingzhi Peng, Zhongfan Zhu, and Depeng Zuo. 2023. "Assessment of the Urban Extreme Precipitation by Satellite Estimates over Mainland China" Remote Sensing 15, no. 7: 1805. https://doi.org/10.3390/rs15071805
APA StyleLi, Y., Pang, B., Zheng, Z., Chen, H., Peng, D., Zhu, Z., & Zuo, D. (2023). Assessment of the Urban Extreme Precipitation by Satellite Estimates over Mainland China. Remote Sensing, 15(7), 1805. https://doi.org/10.3390/rs15071805

