Increasing Accuracy of the Soil-Agricultural Map by Sentinel-2 Images Analysis—Case Study of Maize Cultivation under Drought Conditions
Abstract
1. Introduction
2. Materials and Methods
2.1. Study Area Location
2.2. Materials
2.2.1. Soil-Agricultural Map and Soil Drought Vulnerability Category Map
2.2.2. Ground Measurements and Observations
Meteorological Data
Phenological Observations and Agrotechnical Treatments
Soil Sampling
2.2.3. Satellite Images and Vegetation Indices (VI) Maps
- Public (free) access to data;
- Short revisit time (5 days);
- High spatial resolution (10, 20, 60 m) enabling observation of image diversity within the boundaries of agricultural plots;
- Imaging in the range of visible, red-edge and infrared radiation, which is important in research on the condition of vegetation.
2.3. Scenario of the Analysis
2.3.1. Main Assumptions
- Remotely observed maize fields should differentiate spatially in terms of spectral reflectance recorded in key channels for vegetation;
- The above phenomenon should correlate spatially with soil variability observed within the field and present on soil-agricultural maps and soil drought vulnerability category maps;
- Spatial differentiation of the spectral reflection within the field is also dependent on the stage of plant development and the condition of the cultivation, which, in this case, is mostly influenced by water shortage (agricultural drought).
2.3.2. Data Processing and Modelling
Step 1—Selection of the Sentinel-2 Image on Which the Impact of the Drought Is the Most Visible
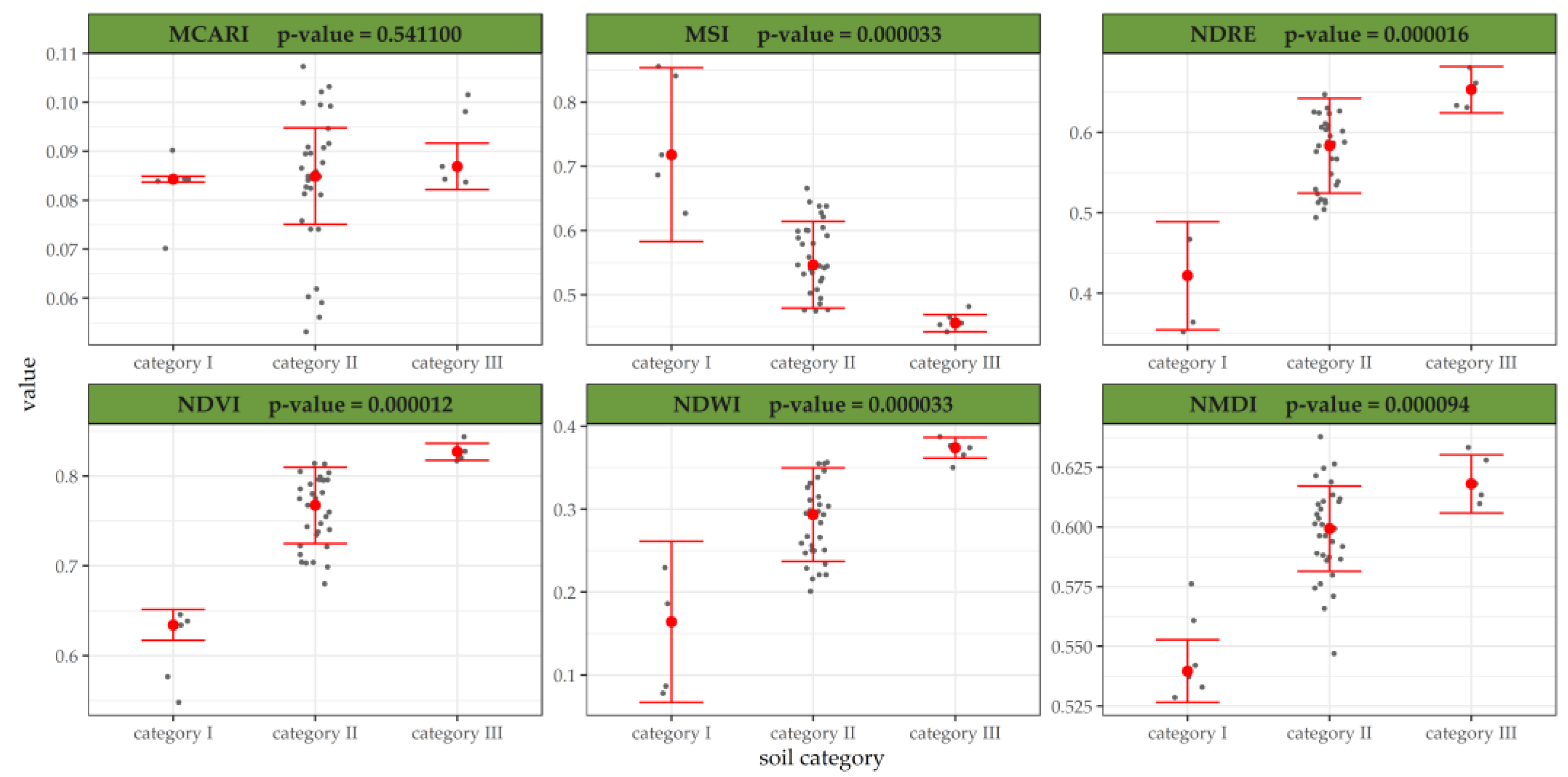
Step 2—Selection the Vegetation Index for the Best Reclassification of the Soil Drought Vulnerability Category Map (Soil-Agricultural Map)
- The vegetation index map which was chosen as the base to be used for further geoprocessing;
- The reclassification table consisting of three ranges of index values (presented on the box plot) which describe the highest probability of belonging to one of the three soil categories. These ranges of VI index values were obtained by the following Formula (8):
Step 3—Soil Drought Vulnerability Category Map (Soil-Agricultural Map) Reclassification by Using Selected VI Map
Step 4—Validation of the Obtained Reclassification
3. Results
3.1. Step 1 Results
3.2. Step 2 Results
3.3. Step 3 Results
3.4. Step 4 Results
4. Discussion
4.1. Significance of the Conducted Research and the Possibility of Its Practical Application
4.2. The Direction of Future Research
5. Conclusions
- Statement of the possibility of recognizing the soil mosaic with spatial accuracy of the Sentinel-2 image;
- Indication of the NDVI index as the best indicator of the diversity of greenness caused by water stress.
Author Contributions
Funding
Institutional Review Board Statement
Informed Consent Statement
Data Availability Statement
Acknowledgments
Conflicts of Interest
Appendix A
| Soil agricultural suitability complexes | |
| Soil complexes of arable lands | |
| 1 | Very good wheat soil complex |
| 2 | Good wheat soil complex |
| 3 | Defective wheat soil complex |
| 4 | Very good rye (wheat–rye) soil complex |
| 5 | Good rye soil complex |
| 6 | Weak rye soil complex |
| 7 | Very weak rye (rye–lupin) soil complex |
| 8 | Cereal–fodder strong soil complex (mainly for wheat) |
| 9 | Cereal–fodder weak soil complex (mainly for rye) |
| 10 | Mountain wheat soil complex |
| 11 | Mountain cereal soil complex |
| 12 | Mountain oat–potatoes soil complex |
| 13 | Mountain oat–fodder soils complex |
| 14 | Arable lands for grasslands |
| Soil complexes of permanent grasslands | |
| 1z | Good and very good grasslands (occasionally flooded) |
| 2z | Medium quality grasslands (high situated, not flooded) |
| 3z | Weak and very weak grasslands (peaty and post-peaty) |
| RN | Soils unsuitable for agriculture (which can be afforested) |
| Other elements of the map content | |
| Ls | Forests |
| Tz | Built-up areas (with dense housing) and residential areas |
| W | Waters |
| WN | Waters wastelands |
| N | Agricultural wastelands |
| Soil types and subtypes | |
| /no symbol/ | Immature soils, rankers |
| A | Podzolic and pseudo-podzolic soils |
| B | Typical brown soils |
| Bw | Leached brown soils and acid brown soils |
| C | Typical chernozems (also called black soil) |
| Cz | Degraded chernozems and grey soils |
| D | Proper black earths |
| Dz | Degraded black earths and grey soils |
| G | Gley soils |
| E | Alluvial muck soils on peat subsoil and peat soils on alluvial subsoil, peat-mud soil |
| M | Peaty soils and mucky soils |
| T | Peat soils and peat-muck soils |
| F | Alluvial soils, fluviosoles |
| Fb | Brown alluvial soils |
| Fc | Chernozem alluvial soils |
| FG | Alluvial gley soils |
| R | Initial rendzinas |
| Rb | Brown rendzinas |
| Rc | Humous rendzinas (from black earth and grey earth) |
| d | Deluvial sediments |
| Soils texture groups and classes | |
| Gravelly soils | |
| żp | sandy gravels |
| żg | loamy gravels |
| Sandy soils | |
| pl | loose sands |
| ps | weakly loamy sands |
| pgl | light loamy sands |
| pgm | strong loamy sands |
| Loamy soils | |
| gl | light loams |
| gs | medium loams |
| gc | heavy loams |
| Silty soils | |
| płz | typical silts |
| płi | clayey silts |
| l | loess |
| li | clayey loess |
| Clayey soils | |
| ip | silty clays |
| i | clays |
| Symbol “p” added to soil texture means high silt content | |
| Rendzinas | |
| l | light rendzinas |
| s | medium rendzinas |
| c | heavy rendzinas |
| Alluvial soils | |
| bl | very light alluvial soils |
| l | light alluvial soils |
| s | medium alluvial soils |
| c | heavy alluvial soils |
| Peat soils and alluvial muck soils on peat subsoil | |
| n | fen peat |
| v | transition and highmoor peat |
| mt | alluvial muck soils on peat subsoil |
| tm | peat soils on alluvial subsoil. |
| Soil Textural Groups | Available Water Capacity (AWC) [mm] |
|---|---|
| loose sands (pl) | 92 |
| slightly loamy sands (ps) | 117 |
| weakly loamy sands (pgl) | 138 |
| strong loamy sands (pgm) | 155 |
| light loams (gl) | 185 |
| medium-heavy loams (gs) | 205 |
| heavy loams (gc) | 240 |
Appendix B

Appendix C

References
- FAO-UNESCO. Soil Map of the World, 1:5,000,000 Volume I Legend; FAO-UNESCO: Rome, Italy, 1974; ISBN 92-3-101125-1. [Google Scholar]
- Batjes, N.H. A World Dataset of Derived Soil Properties by FAO-UNESCO Soil Unit for Global Modelling. Soil Use Manag. 1997, 13, 9–16. [Google Scholar] [CrossRef]
- FAO-UNESCO. Revised Legend of the FAO-UNESCO Soil Map of the World; World soil resources report 60; FAO-UNESCO: Rome, Italy, 1988; p. 110. [Google Scholar]
- Stolt, M.H.; Needelman, B.A. Fundamental Changes in Soil Taxonomy. Soil Sci. Soc. Am. J. 2015, 79, 1001–1007. [Google Scholar] [CrossRef]
- Soil Survey Staff Soil Taxonomy. A Basic of Soil Classification for Making and Interpreting Soil Surveys; Soil Conservation Service, U.S. Dept. of Agriculture: Singapore, 1975. [Google Scholar]
- Soil Survey Staff. Keys to Soil Taxonomy; USDA-Natural Resources Conservation Service: Washington, DC, USA, 2014.
- Salehi, M.H. Challenges of Soil Taxonomy and WRB in Classifying Soils: Some Examples from Iranian Soils. Bull. Geogr. Phys. Geogr. Ser. 2018, 14, 63–70. [Google Scholar] [CrossRef]
- Schad, P. World Reference Base for Soil Resources. In Reference Module in Earth Systems and Environmental Sciences; Elsevier: Amsterdam, The Netherlands, 2017; ISBN 978-0-12-409548-9. [Google Scholar]
- IUSS Working Group. WRB World Reference Base for Soil Resources 2014, Update 2015 International Soil Classification System for Naming Soils and Creating Legends for Soil Maps; World Soil Resources Reports No. 106; FAO: Rome, Italy, 2015. [Google Scholar]
- Strzemski, M. Pulawski Period of Dokuchaev’s Activities [in Polish—Puławski Okres Działalności Dokuczajewa]. Postępy Wiedzy Rol. 1952, 04, 4. [Google Scholar]
- Regulation of the Council of Ministers of 4 June 1956 Regarding Land Classification [In Polish—Rozporządzenie Rady Ministrów z Dnia 4 Czerwca 1956 r. w Sprawie Klasyfikacji Gruntów]. Dz.U. z. 1959 Nr. 19 Poz. 97. 1956. Available online: https://isap.sejm.gov.pl/isap.nsf/DocDetails.xsp?id=wdu19560190097 (accessed on 12 January 2023).
- Smreczak, B.; Łachacz, A. Soil types specified in the bonitation classification and their analogues in the sixth edition of the Polish Soil Classification [in Polish—Typy gleb wyróżniane w klasyfikacji bonitacyjnej i ich odpowiedniki w 6. wydaniu Systematyki gleb Polski]. Soil Sci. Annu. 2019, 70, 115–136. [Google Scholar] [CrossRef]
- Strzemski, M.; Bartoszewski, Z.; Czarnowski, F.; Dombek, E.; Siuta, J.; Truszkowska, R.; Witek, T. Instruction Regarding the Preparation of Soil-Agricultural Maps on a Scale of 1:5000 and 1:25,000 and Soil-Agricultural Maps on a Scale of 1:25,000. Appendix to Regulation No. 115 of the Minister of Agriculture of 28 July 1964 Concerning the Organisation of Soil-Agricultural and Agricultural-Cartographic Works [In Polish—Instrukcja w Sprawie Wykonywania Map Glebowo-Rolniczych w Skali 1:5000 i 1:25,000 Oraz Map Glebowo-Przyrodniczych w Skali:1:25,000. Załącznik Do Zarządzenia Nr 115 Ministra Rolnictwa z Dnia 28 Lipca 1964 r. w Sprawie Organizacji Prac Gleboznawczo- i Rolniczo-Kartograficznych]. Dz.Urz. Min. Rol. Nr. 19 Poz. 121 1964. [Google Scholar]
- Strzemski, M.; Siuta, J.; Witek, T. Agricultural Suitability of Polish Soils [In Polish—Przydatność Rolnicza Gleb Polski]; PWRiL: Warszawa, Poland, 1973. [Google Scholar]
- Witek, T.; Górski, T. Evaluation of the Natural Capability of Agricultural Areas in Poland; Wydawnictwa Geologiczne: Warszawa, Poland, 1977. [Google Scholar]
- Witek, T. The content and methodologies used for large-scale soil and agricultural mapping [in Polish—Treść i metody sporządzania wielkoskalowych map glebowo-rolniczych]. Rocz. Glebozn. 1965, 40, 99–117. [Google Scholar]
- ADMS—Soil Categories. Available online: https://susza.iung.pulawy.pl/en/kategorie/ (accessed on 20 December 2022).
- Doroszewski, A.; Jadczyszyn, J.; Kozyra, J.; Pudełko, R.; Stuczyński, T.; Mizak, K.; Łopatka, A.; Koza, P.; Górski, T.; Wróblewska, E. Fundamentals of a Agricultural Drought Monitoring System [in Polish—Podstawy Systemu Monitoringu Suszy Rolniczej]. Woda-Śr.-Obsz. Wiej. 2012, 12, 77–91. [Google Scholar]
- Jędrejek, A.; Koza, P.; Doroszewski, A.; Pudełko, R. Agricultural Drought Monitoring System in Poland—Farmers’ Assessments vs. Monitoring Results (2021). Agriculture 2022, 12, 536. [Google Scholar] [CrossRef]
- Bartosiewicz, B.; Jadczyszyn, J. The Impact of Drought Stress on the Production of Spring Barley in Poland. Pol. J. Agron. 2021, 45, 3–11. [Google Scholar] [CrossRef]
- Zhou, Y.; Wu, W.; Liu, H. Exploring the Influencing Factors in Identifying Soil Texture Classes Using Multitemporal Landsat-8 and Sentinel-2 Data. Remote Sens. 2022, 14, 5571. [Google Scholar] [CrossRef]
- Belmonte, A.; Riefolo, C.; Lovergine, F.; Castrignanò, A. Geostatistical Modelling of Soil Spatial Variability by Fusing Drone-Based Multispectral Data, Ground-Based Hyperspectral and Sample Data with Change of Support. Remote Sens. 2022, 14, 5442. [Google Scholar] [CrossRef]
- Abdellatif, M.A.; El Baroudy, A.A.; Arshad, M.; Mahmoud, E.K.; Saleh, A.M.; Moghanm, F.S.; Shaltout, K.H.; Eid, E.M.; Shokr, M.S. A GIS-Based Approach for the Quantitative Assessment of Soil Quality and Sustainable Agriculture. Sustainability 2021, 13, 13438. [Google Scholar] [CrossRef]
- Crema, A.; Boschetti, M.; Nutini, F.; Cillis, D.; Casa, R. Influence of Soil Properties on Maize and Wheat Nitrogen Status Assessment from Sentinel-2 Data. Remote Sens. 2020, 12, 2175. [Google Scholar] [CrossRef]
- Sorenson, P.T.; Kiss, J.; Bedard-Haughn, A.K.; Shirtliffe, S. Multi-Horizon Predictive Soil Mapping of Historical Soil Properties Using Remote Sensing Imagery. Remote Sens. 2022, 14, 5803. [Google Scholar] [CrossRef]
- Gasmi, A.; Gomez, C.; Chehbouni, A.; Dhiba, D.; Elfil, H. Satellite Multi-Sensor Data Fusion for Soil Clay Mapping Based on the Spectral Index and Spectral Bands Approaches. Remote Sens. 2022, 14, 1103. [Google Scholar] [CrossRef]
- Santaga, F.S.; Agnelli, A.; Leccese, A.; Vizzari, M. Using Sentinel-2 for Simplifying Soil Sampling and Mapping: Two Case Studies in Umbria, Italy. Remote Sens. 2021, 13, 3379. [Google Scholar] [CrossRef]
- Grzyb, A.; Wolna-Maruwka, A.; Łukowiak, R.; Ceglarek, J. Spatial and Temporal Variability of the Microbiological and Chemical Properties of Soils under Wheat and Oilseed Rape Cultivation. Agronomy 2022, 12, 2259. [Google Scholar] [CrossRef]
- Lacerda, M.P.C.; Demattê, J.A.M.; Sato, M.V.; Fongaro, C.T.; Gallo, B.C.; Souza, A.B. Tropical Texture Determination by Proximal Sensing Using a Regional Spectral Library and Its Relationship with Soil Classification. Remote Sens. 2016, 8, 701. [Google Scholar] [CrossRef]
- Gallo, B.C.; Demattê, J.A.M.; Rizzo, R.; Safanelli, J.L.; Mendes, W.D.S.; Lepsch, I.F.; Sato, M.V.; Romero, D.J.; Lacerda, M.P.C. Multi-Temporal Satellite Images on Topsoil Attribute Quantification and the Relationship with Soil Classes and Geology. Remote Sens. 2018, 10, 1571. [Google Scholar] [CrossRef]
- Bautista, A.S.; Fita, D.; Franch, B.; Castiñeira-Ibáñez, S.; Arizo, P.; Sánchez-Torres, M.J.; Becker-Reshef, I.; Uris, A.; Rubio, C. Crop Monitoring Strategy Based on Remote Sensing Data (Sentinel-2 and Planet), Study Case in a Rice Field after Applying Glycinebetaine. Agronomy 2022, 12, 708. [Google Scholar] [CrossRef]
- Ayalew, D.A.; Deumlich, D.; Šarapatka, B.; Doktor, D. Quantifying the Sensitivity of NDVI-Based C Factor Estimation and Potential Soil Erosion Prediction Using Spaceborne Earth Observation Data. Remote Sens. 2020, 12, 1136. [Google Scholar] [CrossRef]
- Attarzadeh, R.; Amini, J.; Notarnicola, C.; Greifeneder, F. Synergetic Use of Sentinel-1 and Sentinel-2 Data for Soil Moisture Mapping at Plot Scale. Remote Sens. 2018, 10, 1285. [Google Scholar] [CrossRef]
- Copernicu Open Access Hub. Available online: https://scihub.copernicus.eu/dhus/#/home (accessed on 20 December 2022).
- Hejmanowska, B.; Kramarczyk, P.; Głowienka, E.; Mikrut, S. Reliable Crops Classification Using Limited Number of Sentinel-2 and Sentinel-1 Images. Remote Sens. 2021, 13, 3176. [Google Scholar] [CrossRef]
- Panek, E.; Gozdowski, D.; Stępień, M.; Samborski, S.; Ruciński, D.; Buszke, B. Within-Field Relationships between Satellite-Derived Vegetation Indices, Grain Yield and Spike Number of Winter Wheat and Triticale. Agronomy 2020, 10, 1842. [Google Scholar] [CrossRef]
- Solon, J.; Borzyszkowski, J.; Bidłasik, M.; Richling, A.; Badora, K.; Balon, J.; Brzezińska-Wójcik, T.; Chabudziński, Ł.; Dobrowolski, R.; Grzegorczyk, I.; et al. Physico-Geographical Mesoregions of Poland: Verification and Adjustment of Boundaries on the Basis of Contemporary Spatial Data. Geogr. Pol. 2018, 91, 143–170. [Google Scholar] [CrossRef]
- Marks, L. Pleistocene Glacial Limits in the Territory of Poland. Przegląd Geol. 2005, 53, 988–993. [Google Scholar]
- Dzięciołowski, W. The soil forming environment and soils of the Wielkopolska Lowlands [in Polish—Środowisko glebotwórcze i gleby Niziny Wielkopolskiej]. Rocz. Glebozn. 1979, XXX, 11–33. [Google Scholar]
- Local Data Repository, Statistics Poland. Available online: https://bdl.stat.gov.pl/bdl (accessed on 20 December 2022).
- ADMS—Agricultural Drought Monitoring System. Available online: https://susza.iung.pulawy.pl/en/ (accessed on 20 December 2022).
- Ślusarczyk, E. Identification of the Useful Retention of Mineral Soils for Forecasting and Irrigation Planning [in Polish—Określenie Retencji Użytecznej Gleb Mineralnych Dla Prognozowania i Projektowania Nawodnień]. Melior. Rolne 1979, 3, 1–10. [Google Scholar]
- Szewczak, K.; Łoś, H.; Pudełko, R.; Doroszewski, A.; Gluba, Ł.; Łukowski, M.; Rafalska-Przysucha, A.; Słomiński, J.; Usowicz, B. Agricultural Drought Monitoring by MODIS Potential Evapotranspiration Remote Sensing Data Application. Remote Sens. 2020, 12, 3411. [Google Scholar] [CrossRef]
- Zotarelli, L.; Dukes, M.D.; Romero, C.C.; Migliaccio, K.W.; Kelly, T.M. Step by Step Calculation of the Penman-Monteith Evapotranspiration (FAO-56 Method). Inst. Food Agric. Sci. Univ. Fla. 2015, AE459, 1–10. Available online: https://www.agraria.unirc.it/documentazione/materiale_didattico/1462_2016_412_24509.pdf (accessed on 12 January 2023).
- Doroszewski, A.; Górski, T. A Simple Index of Potential Evapotranspiration [in Polish—Prosty Wskaźnik Ewapotranspiracji Potencjalnej]. Rocz. Akad. Rol. W Poznaniu. Melior. I Inżynieria Sr. 1995, 16, 3–8. [Google Scholar]
- Meier, U. Growth Stages of Mono- and Dicotyledonous Plants: BBCH Monograph; Open Agrar Repositorium: Quedlinburg, Germany, 2018. [Google Scholar] [CrossRef]
- User Guides—Sentinel-2 MSI—Sentinel Online—Sentinel Online. Available online: https://sentinels.copernicus.eu/web/sentinel/user-guides/sentinel-2-msi (accessed on 20 December 2022).
- Ranghetti, L.; Boschetti, M.; Nutini, F.; Busetto, L. “Sen2r”: An R Toolbox for Automatically Downloading and Preprocessing Sentinel-2 Satellite Data. Comput. Geosci. 2020, 139, 104473. [Google Scholar] [CrossRef]
- IDB—Index DataBase. Available online: https://www.indexdatabase.de/ (accessed on 22 December 2020).
- Lin, Y.; Zhu, Z.; Guo, W.; Sun, Y.; Yang, X.; Kovalskyy, V. Continuous Monitoring of Cotton Stem Water Potential Using Sentinel-2 Imagery. Remote Sens. 2020, 12, 1176. [Google Scholar] [CrossRef]
- Waqas, M.A.; Wang, X.; Zafar, S.A.; Noor, M.A.; Hussain, H.A.; Azher Nawaz, M.; Farooq, M. Thermal Stresses in Maize: Effects and Management Strategies. Plants 2021, 10, 293. [Google Scholar] [CrossRef]
- Mezera, J.; Lukas, V.; Horniaček, I.; Smutný, V.; Elbl, J. Comparison of Proximal and Remote Sensing for the Diagnosis of Crop Status in Site-Specific Crop Management. Sensors 2021, 22, 19. [Google Scholar] [CrossRef] [PubMed]
- Tucker, C.J. Red and Photographic Infrared Linear Combinations for Monitoring Vegetation. Remote Sens. Environ. 1979, 8, 127–150. [Google Scholar] [CrossRef]
- Barnes, E.; Clarke, T.; Richards, S.; Colaizzi, P.; Haberland, J.; Kostrzewski, M.; Waller, P.; Choi, C.; Riley, E.; Thompson, T.; et al. Coincident Detection Of Crop Water Stress, Nitrogen Status And Canopy Density Using Ground-Based Multispectral Data. In Proceedings of the Fifth International Conference on Precision Agriculture, Bloomington, MN, USA, 16–19 July 2000. [Google Scholar]
- Daughtry, C.S.T.; Walthall, C.L.; Kim, M.S.; de Colstoun, E.B.; McMurtrey, J.E. Estimating Corn Leaf Chlorophyll Concentration from Leaf and Canopy Reflectance. Remote Sens. Environ. 2000, 74, 229–239. [Google Scholar] [CrossRef]
- Żelazny, W.R.; Lukáš, J. Drought Stress Detection in Juvenile Oilseed Rape Using Hyperspectral Imaging with a Focus on Spectra Variability. Remote Sens. 2020, 12, 3462. [Google Scholar] [CrossRef]
- Hunt, E.R.; Rock, B.N. Detection of Changes in Leaf Water Content Using Near- and Middle-Infrared Reflectances. Remote Sens. Environ. 1989, 30, 43–54. [Google Scholar] [CrossRef]
- Gao, B.C. NDWI—A Normalized Difference Water Index for Remote Sensing of Vegetation Liquid Water from Space. Remote Sens. Environ. 1996, 58, 257–266. [Google Scholar] [CrossRef]
- Wang, L.; Qu, J.J. NMDI: A Normalized Multi-Band Drought Index for Monitoring Soil and Vegetation Moisture with Satellite Remote Sensing. Geophys. Res. Lett. 2007, 34, L20405. [Google Scholar] [CrossRef]
- Leys, C.; Ley, C.; Klein, O.; Bernard, P.; Licata, L. Detecting Outliers: Do Not Use Standard Deviation around the Mean, Use Absolute Deviation around the Median. J. Exp. Soc. Psychol. 2013, 49, 764–766. [Google Scholar] [CrossRef]
- Łopatka, A.; Stuczyński, T.; Czyż, E.; Kozyra, J.; Jadczyszyn, J. Analysis the Water Conditions of Soils and Drought-Related Hazards on the Example of Podlaskie Voivodeship (in Polish Analiza Warunków Wodnych Gleb i Zagrożeń Związanych z Suszą Na Przykładzie Województwa Podlaskiego). Stud. Rap. IUNG-PIB 2007, 5, 79–105. [Google Scholar]
- Pudełko, R.; Niedźwiecki, J.; Debaene, G.; Igras, J.; Kubsik, K. The Remote Sensing Assessment of Potential Productivity of a Field with Soil Spatial Variability. J. Food Agric. Environ. 2012, 10, 790–793. [Google Scholar]
- Pudełko, R.; Stuczynski, T.; Borzecka, M. The Suitability of an Unmanned Aerial Vehicle (UAV) for the Evaluation of Experimental Fields and Crops. Zemdirbyste 2012, 990014, 431–436. [Google Scholar]
- Recovery and Resilience Plan for Poland. Available online: https://commission.europa.eu/business-economy-euro/economic-recovery/recovery-and-resilience-facility/recovery-and-resilience-plan-poland_en (accessed on 20 December 2022).







| Name | Description | Available Water Capacity (AWC) |
|---|---|---|
| category I | Highly sensitive to drought | <127.5 mm |
| category II | Sensitive to drought | 127.5–169.9 mm |
| category III | Moderately sensitive to drought | 170.0–202.5 mm |
| category IV | Slightly sensitive to drought | >202.5 mm |
| BAND | Description | Wavelength (µm) | Resolution (m) |
|---|---|---|---|
| B3 | Green (GREEN) | 0.543–0.578 | 10 |
| B4 | Red (RED) | 0.650–0.680 | 10 |
| B5 | Vegetation Red Edge (VRE) | 0.698–0.713 | 20 |
| B8 | Near Infrared (NIR) | 0.785–0.900 | 10 |
| B11 | Short Wave Infrared (SWIR1) | 1.565–1.655 | 20 |
| B12 | Short Wave Infrared (SWIR2) | 2.100–2.280 | 20 |
| Old Values | New Values (Soils Category) |
|---|---|
| 1 | |
| 2 | |
| 3 |
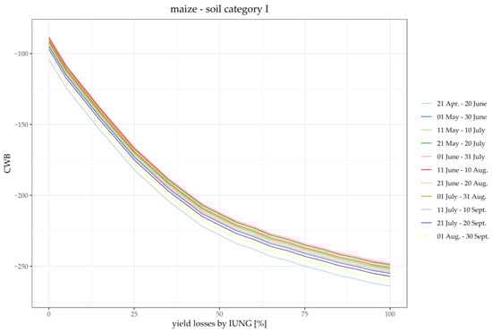
| Start Day | Duration (No. of Days) | Sum of Precipitation (mm) | avg. max. Temperature (°C) | avg. min. Temperature (°C) | avg. Temperature (°C) | Sum of CWB (-) | CBW per Day (-) | Sum of Precipitation (mm) | Precipitation per Day (mm) | |
|---|---|---|---|---|---|---|---|---|---|---|
| BBCH 00 | 21 April 2020 | |||||||||
| 31 | 24.1 | 17.4 | 4.2 | 11.2 | −87.7 | −2.8 | 108.9 | 1.2 | ||
| BBCH 1 | 21 May 2020 | |||||||||
| 38 | 44.2 | 22.0 | 10.5 | 16.3 | −108.6 | −2.9 | ||||
| BBCH 3 | 27 June 2020 | |||||||||
| 19 | 40.6 | 24.1 | 12.5 | 18.2 | −41.0 | −2.2 | ||||
| BBCH 5 | 16 July 2020 | |||||||||
| 10 | 12.1 | 25.9 | 12.3 | 19.1 | −33.3 | −3.3 | 24.7 | 0.7 | ||
| BBCH 6 | 26 July 2020 | |||||||||
| 9 | 7.5 | 25.4 | 12.1 | 19.3 | −31.5 | −3.5 | ||||
| BBCH 7 | 4 August 2020 | |||||||||
| 17 | 5.1 | 29.6 | 13.8 | 22.1 | −78.9 | −4.4 | ||||
| BBCH 8 | 22 August 2020 | |||||||||
| 52 | 81.1 | 20.5 | 10.1 | 15.2 | −47.0 | −0.9 | ||||
| BBCH 9 | 12 October 2020 | |||||||||
| 7 | 26.1 | 10.6 | 5.6 | 8.0 | 19.8 | 2.8 | ||||
| BBCH 99 | 19 October 2020 | |||||||||
| Sentinel-2 Date | CWB 60 Days | CWB 15 Days | BBCH |
|---|---|---|---|
| 4 June 2020 | −178.6 | −42.5 | BBCH 17 |
| 17 June 2020 | −179.6 | −57.0 | BBCH 19 |
| 24 July 2020 | −181.5 | −45.5 | BBCH 55 |
| 1 August 2020 | −185.8 | −61.0 | BBCH 65 |
| 6 August 2020 | −183.4 | −58.0 | BBCH 71 |
| 11 August 2020 | −193.8 | −62.7 | BBCH 73 |
| 16 August 2020 | −191.7 | −62.9 | BBCH 75 |
| 21 August 2020 | −206.3 | −72.2 | BBCH 79 |
| 22 September 2020 | −163.2 | −44.6 | BBCH 89 |
Disclaimer/Publisher’s Note: The statements, opinions and data contained in all publications are solely those of the individual author(s) and contributor(s) and not of MDPI and/or the editor(s). MDPI and/or the editor(s) disclaim responsibility for any injury to people or property resulting from any ideas, methods, instructions or products referred to in the content. |
© 2023 by the authors. Licensee MDPI, Basel, Switzerland. This article is an open access article distributed under the terms and conditions of the Creative Commons Attribution (CC BY) license (https://creativecommons.org/licenses/by/4.0/).
Share and Cite
Jędrejek, A.; Jadczyszyn, J.; Pudełko, R. Increasing Accuracy of the Soil-Agricultural Map by Sentinel-2 Images Analysis—Case Study of Maize Cultivation under Drought Conditions. Remote Sens. 2023, 15, 1281. https://doi.org/10.3390/rs15051281
Jędrejek A, Jadczyszyn J, Pudełko R. Increasing Accuracy of the Soil-Agricultural Map by Sentinel-2 Images Analysis—Case Study of Maize Cultivation under Drought Conditions. Remote Sensing. 2023; 15(5):1281. https://doi.org/10.3390/rs15051281
Chicago/Turabian StyleJędrejek, Anna, Jan Jadczyszyn, and Rafał Pudełko. 2023. "Increasing Accuracy of the Soil-Agricultural Map by Sentinel-2 Images Analysis—Case Study of Maize Cultivation under Drought Conditions" Remote Sensing 15, no. 5: 1281. https://doi.org/10.3390/rs15051281
APA StyleJędrejek, A., Jadczyszyn, J., & Pudełko, R. (2023). Increasing Accuracy of the Soil-Agricultural Map by Sentinel-2 Images Analysis—Case Study of Maize Cultivation under Drought Conditions. Remote Sensing, 15(5), 1281. https://doi.org/10.3390/rs15051281

