Joint Communication and Jamming System Design Based on Filter Bank Multicarrier Chirp Waveform: Using for Curvilinear Flight Scenario
Abstract
1. Introduction
- A novel signal model and application scenario are established, and a novel joint communication jamming signal based on the FBMC chirp is designed.
- This paper discusses the constraints of the novel joint waveform and simulates the performance of the proposed waveform by studying common guidelines for jamming waveform design and the selection of prototype filters in communication systems.
- The suppression effect of multi-false-target jamming of the FBMC chirp signal was verified, ensuring a low BER of the communication subsystem.
- Feasibility was demonstrated by implementing the proposed approach on a software-defined radio (SDR) device.
2. Model Construction
3. Joint System Implementation
3.1. Filter Bank Multicarrier
3.2. Joint Signal Design
3.3. Joint System Implementation
4. Extension to Constrained Designs
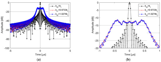
4.1. Design of Frequency Modulation Rate
4.2. Influence of Prototype Filter
- Maximum symbol density TF = 1;
- Time-localization ;
- Frequency-localization ;
4.3. Minimum False Target SNR and Matching Gain Ratio
4.4. Design of False Target Delay Interval
4.5. Setting Number of False Targets
5. Simulation Experiment Analysis
5.1. Experimental Settings
5.2. Communication Performance
5.3. Jamming Performance
6. Hardware Implementation
7. Conclusions
Author Contributions
Funding
Data Availability Statement
Acknowledgments
Conflicts of Interest
References
- Cohen, D.; Mishra, K.V.; Eldar, Y.C. Spectrum sharing radar: Coexistence via xampling. IEEE Trans. Aerosp. Electron. Syst. 2017, 54, 1279–1296. [Google Scholar] [CrossRef]
- Labib, M.; Reed, J.H.; Martone, A.F.; Zaghloul, A.I. Coexistence between radar and LTE-U systems: Survey on the 5 GHz band. In Proceedings of the 2016 United States National Committee of URSI National Radio Science Meeting (USNC-URSI NRSM), Boulder, CO, USA, 6–9 January 2016; pp. 6–9. [Google Scholar]
- Mahal, J.A.; Khawar, A.; Abdelhadi, A.; Clancy, T.C. Spectral coexistence of MIMO radar and MIMO cellular system. IEEE Trans. Aerosp. Electron. Syst. 2017, 53, 655–668. [Google Scholar] [CrossRef]
- Zheng, L.; Lops, M.; Eldar, Y.C.; Wang, X. Radar and communication coexistence: An overview: A Review of Recent Methods. IEEE Signal Process. Mag. 2019, 36, 85–99. [Google Scholar] [CrossRef]
- Hassanien, A.; Amin, M.G.; Zhang, Y.D.; Ahmad, F. Signaling strategies for dual-function radar communications: An overview. IEEE Aerosp. Electron. Syst. Mag. 2016, 31, 36–45. [Google Scholar] [CrossRef]
- Han, L.; Wu, K. Joint wireless communication and radar sensing systems-state of the art and future prospects. IET Microwaves Antennas Propag. 2013, 7, 876–885. [Google Scholar] [CrossRef]
- Blunt, S.D.; Yatham, P.; Stiles, J. Intrapulse radar-embedded communications. IEEE Trans. Aerosp. Electron. Syst. 2010, 46, 1185–1200. [Google Scholar] [CrossRef]
- Ahmed, A.; Zhang, Y.D.; Hassanien, A. Joint radar-communications exploiting optimized OFDM waveforms. Remote Sens. 2021, 13, 4376. [Google Scholar] [CrossRef]
- Zhang, Z.; Nowak, M.J.; Wicks, M.; Wu, Z. Bio-inspired RF steganography via linear chirp radar signals. IEEE Commun. Mag. 2016, 54, 82–86. [Google Scholar] [CrossRef]
- Zhang, Z.; Qu, Y.; Wu, Z.; Nowak, M.J.; Ellinger, J.; Wicks, M.C. RF steganography via LFM chirp radar signals. IEEE Trans. Aerosp. Electron. Syst. 2017, 54, 1221–1236. [Google Scholar] [CrossRef]
- Hassanien, A.; Amin, M.G.; Zhang, Y.D.; Ahmad, F. Phase-modulation based dual-function radar-communications. IET Radar Sonar Navig. 2016, 10, 1411–1421. [Google Scholar] [CrossRef]
- Pappu, C.S.; Beal, A.N.; Flores, B.C. Chaos based frequency modulation for joint monostatic and bistatic radar-communication systems. Remote Sens. 2021, 13, 4113. [Google Scholar] [CrossRef]
- Bekar, M.; Baker, C.J.; Hoare, E.G.; Gashinova, M. Joint MIMO radar and communication system using a PSK-LFM waveform with TDM and CDM approaches. IEEE Sens. J. 2021, 21, 6115–6124. [Google Scholar] [CrossRef]
- Hassanien, A.; Amin, M.G.; Aboutanios, E.; Himed, B. Dual-function radar communication systems: A solution to the spectrum congestion problem. IEEE Signal Process. Mag. 2019, 36, 115–126. [Google Scholar] [CrossRef]
- Banelli, P.; Buzzi, S.; Colavolpe, G.; Modenini, A.; Rusek, F.; Ugolini, A. Modulation formats and waveforms for 5G networks: Who will be the heir of OFDM? An overview of alternative modulation schemes for improved spectral efficiency. IEEE Signal Process. Mag. 2014, 31, 80–93. [Google Scholar] [CrossRef]
- Bellanger, M.G. FBMC Physical Layer: A Primer. PHYDYAS FP7 Project Document. 2010. Available online: http://www.ict-phydyas.org/teamspace/internal-folder/special-session-at-crowncom-2010 (accessed on 5 May 2022).
- Zhu, K.; Wang, J.; Liang, X.; Wu, Y. Filter bank multicarrier waveform used for integrated SAR and communication systems. J. Radars 2018, 7, 602–612. [Google Scholar]
- Liu, N.; Zhang, Y. A survey of radar ECM and ECCM. IEEE Trans. Aerosp. Electron. Syst. 1995, 31, 1110–1120. [Google Scholar]
- Zou, S.; Jin, X.; Li, L. Airborne AESA radar’s ECCM and self-defense jamming analysis. In Proceedings of the 2011 IEEE CIE International Conference on Radar, Chengdu, China, 24–27 October 2011; pp. 1082–1085. [Google Scholar]
- Schroer, R. Electronic warfare. [A century of powered flight: 1903–2003]. IEEE Aerosp. Electron. Syst. Mag. 2003, 18, 49–54. [Google Scholar] [CrossRef]
- Deligiannis, A.; Rossetti, G.; Panoui, A.; Lambotharan, S.; Chambers, J.A. Power allocation game between a radar network and multiple jammers. In Proceedings of the 2016 IEEE Radar Conference (RadarConf), Philadelphia, PA, USA, 2–6 May 2016; pp. 1–5. [Google Scholar]
- Zhao, D.; Wei, Y.; Liu, Y. Spectrum optimization via FFT-based conjugate gradient method for unimodular sequence design. Signal Process. 2018, 142, 354–365. [Google Scholar] [CrossRef]
- Tang, B.; Liang, J. Efficient algorithms for synthesizing probing waveforms with desired spectral shapes. IEEE Trans. Aerosp Electron. Syst. 2019, 3, 1174–1189. [Google Scholar] [CrossRef]
- Liu, G.; Yang, W.; Wang, Y.; Wang, Z.; Huang, D.; Li, P.; Bao, D.; Man, X.; Wu, B. Joint communication interference system design based on parameter modulation. Appl. Opt. 2022, 61, 1057–1067. [Google Scholar] [CrossRef]
- Sahin, A.; Guvenc, I.; Arslan, H. A survey on multicarrier communications: Prototype filters, lattice structures, and implementation aspects. IEEE Commun. Surveys Tuts. 2012, 16, 1312–1338. [Google Scholar] [CrossRef]
- Liu, G.; Yang, W.; Bao, Y.; Wang, Y.; Li, P.; He, Z. Joint radar communication system design based on filter bank multicarrier modulation scheme. IET Radar Sonar Navig. 2023, 17, 47–62. [Google Scholar] [CrossRef]
- Nam, H.; Choi, M.; Han, S.; Kim, C.; Choi, S.; Hong, D. A new filter-bank multicarrier system with two prototype filters for QAM symbols transmission and reception. IEEE Trans. Wireless Commun. 2016, 15, 5998–6009. [Google Scholar] [CrossRef]
- Kim, C.; Yun, Y.H.; Kim, K.; Seol, J.-Y. Introduction to QAM-FBMC: From waveform optimization to system design. IEEE Commun. Mag. 2016, 54, 66–73. [Google Scholar] [CrossRef]
- Kim, J.H.; Younis, M.; Moreira, A.; Wiesbeck, W. Spaceborne MIMO synthetic aperture radar for multimodal operation. IEEE Trans. Geosci. Remote Sens. 2015, 53, 2453–2466. [Google Scholar] [CrossRef]
- Kim, J.H.; Younis, M.; Moreira, A.; Wiesbeck, W. A novel OFDM chirp waveform scheme for use of multiple transmitters in SAR. IEEE Trans. Geosci. Remote Sens Lett. 2013, 10, 568–572. [Google Scholar] [CrossRef]
- Wang, J.; Liang, X.; Chen, L. MIMO SAR system using digital implemented OFDM waveforms. In Proceedings of the 2012 IEEE International Geoscience and Remote Sensing Symposium (IGARSS), Munich, Germany, 22–27 July 2012; pp. 7428–7431. [Google Scholar]
- Fan, W.; Zhou, F.; Tao, M.; Bai, X.; Rong, P.; Yang, S.; Tian, T. Interference mitigation for synthetic aperture radar based on deep residual network. Remote Sens. 2019, 11, 1654. [Google Scholar] [CrossRef]
- Zhou, F.; Zhao, B.; Tao, M.; Bai, X.; Chen, B.; Sun, G. A large scene deceptive jamming method for space-borne SAR. IEEE Trans. Geosci. Remote Sens. 2013, 51, 4486–4495. [Google Scholar] [CrossRef]
- Butt, F.A.; Jalil, M. An overview of electronic warfare in radar systems. In Proceedings of the International Conference on Technological Advances in Electrical, Electronics and Computer Engineering (TAEECE), Konya, Turkey, 9–11 May 2013; pp. 213–217. [Google Scholar]
- Shi, L.; Zhou, Y.; Li, D.; Wang, X.; Xiao, S. Multi-false-target jamming effects on the LFM pulsed radar’s CFAR detection. Syst. Eng. Electron. 2005, 27, 818–822. [Google Scholar]
- Liu, X.; Li, D. Analysis of cooperative jamming against pulse compression radar based on CFAR. EURASIP J. Adv. Signal Process. 2018, 69. [Google Scholar] [CrossRef]
- Weiss, M. Analysis of some modified cell-averaging CFAR processors in multiple target situations. IEEE Trans. Aerosp. Electron. Syst. 1982, 18, 102–114. [Google Scholar] [CrossRef]
- Žáčik, N.; Novák, A.; Soto, A.; Drupka, G. SASS-C processing capability of MSPSR data. Transport. Res. Procedia 2017, 28, 79–88. [Google Scholar] [CrossRef]
- Feichtinger, H.G.; Strohmer, T. Gabor Analysis and Algorithms: Theory and Applications; Springer: New York, NY, USA, 2012. [Google Scholar]
- Haas, R.; Belfiore, J.-C. A time-frequency well-localized pulse for multiple carrier transmission. Wireless Pers. Commun. 1997, 5, 1–18. [Google Scholar] [CrossRef]
- Bellanger, M.G. Specification and design of a prototype filter for filter bank based multicarrier transmission. In Proceedings of the 2011 IEEE International Conference on Acoustics, Speech, and Signal Processing (ICASSP), Salt Lake City, UT, USA, 7–11 May 2001; pp. 2417–2420. [Google Scholar]
- Husam, A. Optimization of FBMC-OQAM Transceiver Architectures. Ph.D. Thesis, Budapest University of Technology and Economics, Budapest, Hungary, 2021. [Google Scholar]
- Liu, X.; Li, D.; Hu, R. Research on blanking shift-frequency-multi-carrier jamming against pulse-compression radar based on OS-CFAR. Acta Armamentarii 2017, 38, 2134–2142. [Google Scholar] [CrossRef]
- Liu, X.; Li, D.; Liu, Q. Jamming technique of multiple false targets against linear frequency modulated pulse compression radar based on OS-CFAR. Syst. Eng. Electron. 2017, 39, 1486–1492. [Google Scholar]



















| Category | Reference | Model | Main Contributions |
|---|---|---|---|
| Multiplex two independent signals in the time domain, frequency domain, space domain, and code domain | [7] | Radar-embedded communications on an intrapulse basis | An incident radar waveform is converted into one of K communication waveforms, each of which acts as a communication symbol |
| [8] | Exploit OFDM waveforms to perform both radar and communication operations | Optimize the transmission power of different subcarriers and assign the same OFDM subcarriers to different communication receivers | |
| [10] | Joint radar and communication waveform | Hide digitally modulated communication information inside an LFM radar signal | |
| [12] | Joint monostatic and bistatic radar-communication systems via chaos-based frequency modulated | Pulse generated through a chaotic oscillator for broadband radar imaging; information embedded by chaotic shift keying in the pulse | |
| Use a single spectrum shared transmission signal | [14] | Dual-functional radar-communication | Achieved by embedding communication signals into radar pulses |
| [22] | Design of integrated shared waveforms for additional interference | Jamming method based on intermittent sampling inverse order filling for generating leading false targets | |
| [23] | Anti-jamming capability of the shared signal | Interfere with shared signals using noise convolution and RF noise | |
| [24] | Joint communication jamming | Integration signal waveform utilizing false target jamming to increase the detection threshold for constant false alarm rate |
| Parameters | Value |
|---|---|
| Pulse Repetition Time | 1.5 ms |
| Band Width | 15 MHz |
| Pulse Number | 16 |
| Pulse Width | 50 us |
| Carrier Frequency | 3 GHz |
| Target Velocity | 20 m/s |
| Parameters | Value |
|---|---|
| Overlapping Symbol | 4 |
| Simulation Length in Symbol | 100 |
| Bits per Subcarrier | 2 |
| Guard Bands on Both Sides | 212 |
| Signal Noise Rate | 12 dB |
| FFT Points | 1024 |
| Jamming Distance Gap | 100 m |
Disclaimer/Publisher’s Note: The statements, opinions and data contained in all publications are solely those of the individual author(s) and contributor(s) and not of MDPI and/or the editor(s). MDPI and/or the editor(s) disclaim responsibility for any injury to people or property resulting from any ideas, methods, instructions or products referred to in the content. |
© 2023 by the authors. Licensee MDPI, Basel, Switzerland. This article is an open access article distributed under the terms and conditions of the Creative Commons Attribution (CC BY) license (https://creativecommons.org/licenses/by/4.0/).
Share and Cite
Liu, G.; Yang, W.; Bao, Y.; Wang, Y.; Li, P. Joint Communication and Jamming System Design Based on Filter Bank Multicarrier Chirp Waveform: Using for Curvilinear Flight Scenario. Remote Sens. 2023, 15, 1239. https://doi.org/10.3390/rs15051239
Liu G, Yang W, Bao Y, Wang Y, Li P. Joint Communication and Jamming System Design Based on Filter Bank Multicarrier Chirp Waveform: Using for Curvilinear Flight Scenario. Remote Sensing. 2023; 15(5):1239. https://doi.org/10.3390/rs15051239
Chicago/Turabian StyleLiu, Gaogao, Wenbo Yang, Yuqian Bao, Youming Wang, and Peng Li. 2023. "Joint Communication and Jamming System Design Based on Filter Bank Multicarrier Chirp Waveform: Using for Curvilinear Flight Scenario" Remote Sensing 15, no. 5: 1239. https://doi.org/10.3390/rs15051239
APA StyleLiu, G., Yang, W., Bao, Y., Wang, Y., & Li, P. (2023). Joint Communication and Jamming System Design Based on Filter Bank Multicarrier Chirp Waveform: Using for Curvilinear Flight Scenario. Remote Sensing, 15(5), 1239. https://doi.org/10.3390/rs15051239

