Identifying Corn Lodging in the Mature Period Using Chinese GF-1 PMS Images
Abstract
1. Introduction
- (1)
- Exploring the potential of texture features calculated from GF-1 PMS images for corn lodging classification, including non-lodged, moderately lodged, and severely lodged areas.
- (2)
- Finding the optimized spectral bands, vegetation indexes, and textural features to improve corn lodging classification accuracy.
- (3)
- Improving the efficiency and robustness of corn lodging classification based on GF-1 PMS images using an optimized machine learning approach.
2. Study Area and Data Sources
2.1. Study Area and In Situ Measurements
2.1.1. Study Area
2.1.2. In Situ Measurements
2.1.3. UAV Collection
2.2. GF-1 PMS Images and Pre-Processing
3. Methodology
3.1. Image Features
3.1.1. Spectral Features
3.1.2. Vegetation Indexes
3.1.3. Textural Features
3.2. Machine Learning Algorithms
4. Results and Analysis
4.1. Spectral Difference Analysis
4.2. Vegetation Index Difference Analysis
4.3. Textural Difference Analysis
4.3.1. Quantization of Gray Level
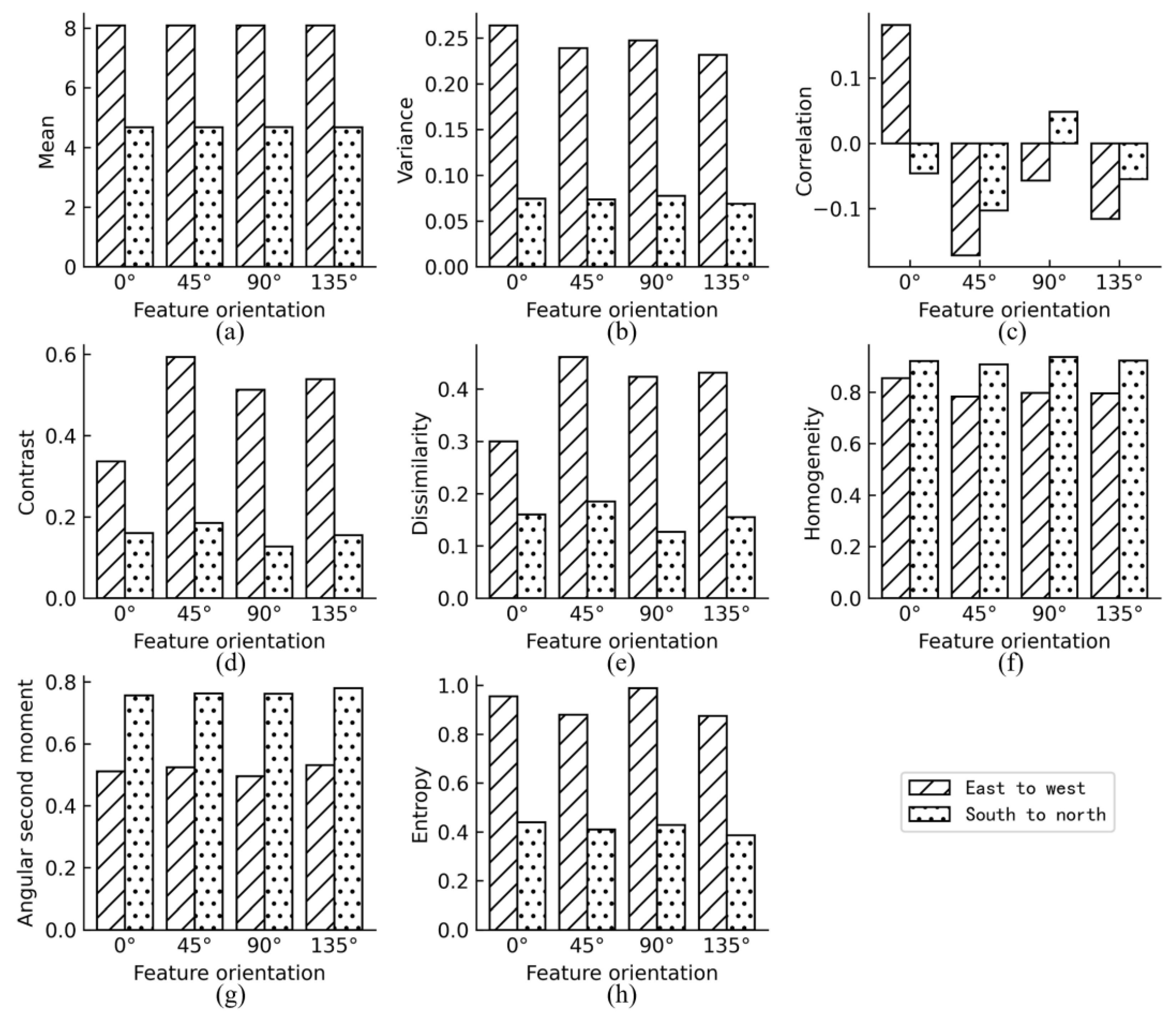
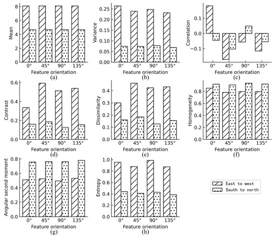
4.3.2. Analysis of Textural Directions
4.3.3. Window Size for Texture Computation
4.3.4. Selection of Textural Features
4.4. Optimization of Machine Learning Methods
4.5. Classification Results of Non-Lodged, Moderately Lodged, and Severely Lodged Areas
5. Discussion
6. Conclusions
- (1)
- The optimized textural features for corn lodging identification using GF-1 PMS images are calculated with the gray level of 16, the average textural features using the direction of 0°, 45°, 90°, and 135°, a window size of 3 × 3, and the combination of textural features including Mean, COR, VAR, CON, and ENT.
- (2)
- The combination of spectral bands, optimized vegetation index, and textural features can improve the classification accuracy of high-spatial-resolution GF-1 PMS images for corn non-lodging, moderate lodging, and severe lodging areas compared with the other three feature combinations.
- (3)
- Compared with the other four classifiers, random forest has excellent performance. It is efficient, robust, and easily identified corn non-lodging, moderate lodging, and severe lodging areas.
Author Contributions
Funding
Data Availability Statement
Acknowledgments
Conflicts of Interest
References
- Islam, M.S.; Peng, S.; Visperas, R.M.; Ereful, N.; Bhuiya, M.S.U.; Julfiquar, A. Lodging-related morphological traits of hybrid rice in a tropical irrigated ecosystem. Field Crop. Res. 2007, 101, 240–248. [Google Scholar] [CrossRef]
- Chauhan, S.; Darvishzadeh, R.; Boschetti, M.; Nelson, A. Discriminant analysis for lodging severity classification in wheat using RADARSAT-2 and Sentinel-1 data. ISPRS J. Photogramm. Remote Sens. 2020, 164, 138–151. [Google Scholar] [CrossRef]
- Pinthus, M.J. Lodging in wheat, barley, and oats: The phenomenon, its causes, and preventive measures. Adv. Agron. 1974, 25, 209–263. [Google Scholar]
- Chauhan, S.; Darvishzadeh, R.; Boschetti, M.; Pepe, M.; Nelson, A. Remote sensing-based crop lodging assessment: Current status and perspectives. ISPRS J. Photogramm. Remote Sens. 2019, 151, 124–140. [Google Scholar] [CrossRef]
- Zhang, M.; Su, W.; Fu, Y.; Zhu, D.; Xue, J.; Huang, J.; Wang, W.; Wu, J.; Yao, C. Super-resolution enhancement of Sentinel-2 image for retrieving LAI and chlorophyll content of summer corn. Eur. J. Agron. 2019, 111, 125938. [Google Scholar] [CrossRef]
- Xuan, F.; Dong, Y.; Li, J.; Li, X.; Su, W.; Huang, X.; Huang, J.; Xie, Z.; Li, Z.; Liu, H.; et al. Mapping crop type in Northeast China during 2013–2021 using automatic sampling and tile-based image classification. Int. J. Appl. Earth Obs. Geoinf. 2023, 117, 103178. [Google Scholar] [CrossRef]
- Gerten, D.M.; Wiese, M.V. Microcomputer-assisted video image analysis of lodging in winter wheat. Photogramm. Eng. Remote Sens. 1987, 53, 83–88. [Google Scholar]
- Fitch, B.W.; Walraven, R.L.; Bradley, D.E. Polarization of light reflected from grain crops during the heading growth stage. Remote Sens. Environ. 1984, 15, 263–268. [Google Scholar] [CrossRef]
- Bouman, B.A.; van Kasteren, H.W. Ground-based X-band (3-cm wave) radar backscattering of agricultural crops. I. Sugar beet and potato; backscattering and crop growth. Remote Sens. Environ. 1990, 34, 93–105. [Google Scholar] [CrossRef]
- Sakamoto, T.; Shibayama, M.; Takada, E.; Inoue, A.; Morita, K.; Takahashi, W.; Miura, S.; Kimura, A. Detecting seasonal changes in crop community structure using day and night digital images. Photogramm. Eng. Remote Sens. 2010, 76, 713–726. [Google Scholar] [CrossRef]
- Li, Z.; Chen, Z.; Wang, L.; Liu, J.; Zhou, Q. Area extraction of maize lodging based on remote sensing by small unmanned aerial vehicle. Trans. Chin. Soc. Agric. Eng. 2014, 30, 207–213. [Google Scholar]
- Chu, T.; Starek, M.J.; Brewer, M.J.; Murray, S.C.; Pruter, L.S. Assessing lodging severity over an experimental maize (Zea mays L.) field using UAS images. Remote Sens. 2017, 9, 923. [Google Scholar] [CrossRef]
- Wilke, N.; Siegmann, B.; Klingbeil, L.; Burkart, A.; Kraska, T.; Muller, O.; van Doorn, A.; Heinemann, S.; Rascher, U. Quantifying lodging percentage and lodging severity using a UAV-based canopy height model combined with an objective threshold approach. Remote Sens. 2019, 11, 515. [Google Scholar] [CrossRef]
- Sun, Q.; Sun, L.; Shu, M.; Gu, X.; Yang, G.; Zhou, L. Monitoring maize lodging grades via unmanned aerial vehicle multispectral image. Plant Phenomics 2019, 2019, 5704154. [Google Scholar] [CrossRef] [PubMed]
- Han, L.; Yang, G.; Yang, X.; Song, X.; Xu, B.; Li, Z.; Wu, J.; Yang, H.; Wu, J. An explainable XGBoost model improved by SMOTE-ENN technique for maize lodging detection based on multi-source unmanned aerial vehicle images. Comput. Electron. Agric. 2022, 194, 106804. [Google Scholar] [CrossRef]
- Yang, H.; Chen, E.; Li, Z.; Zhao, C.; Yang, G.; Pignatti, S.; Casa, R.; Zhao, L. Wheat lodging monitoring using polarimetric index from RADARSAT-2 data. Int. J. Appl. Earth Observation Geoinf. 2015, 34, 157–166. [Google Scholar] [CrossRef]
- Chen, J.; Li, H.; Han, Y. Potential of RADARSAT-2 data on identifying sugarcane lodging caused by typhoon. In Proceedings of the 2016 Fifth International Conference on Agro-Geoinformatics (Agro-Geoinformatics), Tianjin, China, 18–20 July 2016. [Google Scholar]
- Zhao, L.; Yang, J.; Li, P.; Shi, L.; Zhang, L. Characterizing lodging damage in wheat and canola using Radarsat-2 polarimetric SAR data. Remote Sens. Lett. 2017, 8, 667–675. [Google Scholar] [CrossRef]
- Rajapaksa, S.; Eramian, M.; Duddu, H.; Wang, M.; Shirtliffe, S.; Ryu, S.; Josuttes, A.; Zhang, T.; Vail, S.; Pozniak, C.; et al. Classification of crop lodging with gray level co-occurrence matrix. In Proceedings of the 2018 IEEE Winter Conference on Applications of Computer Vision (WACV), Lake Tahoe, NV, USA, 12–15 March 2018. [Google Scholar]
- Gu, X.; Sun, Q.; Yang, G.; Song, X.; Xu, X. Monitoring Maize Lodging Disaster Via Multi-Temporal Remote Sensing Images. In Proceedings of the IGARSS 2019–2019 IEEE International Geoscience and Remote Sensing Symposium, Yokohama, Japan, 28 July–2 August 2019. [Google Scholar]
- Tian, M.; Ban, S.; Yuan, T.; Ji, Y.; Ma, C.; Li, L. Assessing rice lodging using UAV visible and multispectral image. Int. J. Remote Sens. 2021, 42, 8840–8857. [Google Scholar] [CrossRef]
- Guan, H.; Huang, J.; Li, X.; Zeng, Y.; Su, W.; Ma, Y.; Dong, J.; Niu, Q.; Wang, W. An improved approach to estimating crop lodging percentage with Sentinel-2 imagery using machine learning. Int. J. Appl. Earth Observation Geoinf. 2022, 113, 102992. [Google Scholar] [CrossRef]
- Liu, P.; Chen, X. Intercropping classification from GF-1 and GF-2 satellite imagery using a rotation forest based on an SVM. ISPRS Int. J. Geo-Inf. 2019, 8, 86. [Google Scholar] [CrossRef]
- Zhou, Q.; Yu, Q.-Y.; Liu, J.; Wu, W.-B.; Tang, H.-J. Perspective of Chinese GF-1 high-resolution satellite data in agricultural remote sensing monitoring. J. Integr. Agric. 2017, 16, 242–251. [Google Scholar] [CrossRef]
- Zhou, L.; Cheng, S.; Sun, Q.; Gu, X.; Yang, G.; Shu, M.; Feng, H. Remote sensing of regional-scale maize lodging using multitemporal GF-1 images. J. Appl. Remote Sens. 2020, 14, 014514. [Google Scholar] [CrossRef]
- Chen, Y.; Sun, L.; Pei, Z.; Sun, J.; Li, H.; Jiao, W.; You, J. A Simple and Robust Spectral Index for Identifying Lodged Maize Using Gaofen1 Satellite Data. Sensors 2022, 22, 989. [Google Scholar] [CrossRef] [PubMed]
- Qu, X.; Shi, D.; Gu, X.; Sun, Q.; Hu, X.; Yang, X.; Pan, Y. Monitoring Lodging Extents of Maize Crop Using Multitemporal GF-1 Images. IEEE J. Sel. Top. Appl. Earth Obs. Remote Sens. 2022, 15, 3800–3814. [Google Scholar] [CrossRef]
- Guan, H.; Liu, H.; Meng, X.; Luo, C.; Bao, Y.; Ma, Y.; Yu, Z.; Zhang, X. A quantitative monitoring method for determining Maize lodging in different growth stages. Remote Sens. 2020, 12, 3149. [Google Scholar] [CrossRef]
- Xue, J.; Su, B. Significant remote sensing vegetation indices: A review of developments and applications. J. Sens. 2017, 2017, 1353691. [Google Scholar] [CrossRef]
- Xiao, X.; Boles, S.; Liu, J.; Zhuang, D.; Frolking, S.; Li, C.; Salas, W.; Moore, B., III. Mapping paddy rice agriculture in southern China using multi-temporal MODIS images. Remote Sens. Environ. 2005, 95, 480–492. [Google Scholar] [CrossRef]
- Goel, N.S.; Qin, W. Influences of canopy architecture on relationships between various vegetation indices and LAI and FPAR: A computer simulation. Remote Sens. Rev. 1994, 10, 309–347. [Google Scholar] [CrossRef]
- James, G.; Witten, D.; Hastie, T.; Tibshirani, R. An Introduction to Statistical Learning; Springer: Berlin/Heidelberg, Germany, 2013; Volume 112. [Google Scholar]
- Su, W.; Li, J.; Chen, Y.; Liu, Z.; Zhang, J.; Low, T.M.; Suppiah, I.; Hashim, S.A.M. Textural and local spatial statistics for the object-oriented classification of urban areas using high resolution imagery. Int. J. Remote Sens. 2008, 29, 3105–3117. [Google Scholar] [CrossRef]
- Haralick, R.M.; Shanmugam, K.; Dinstein, I. Textural features for image classification. IEEE Trans. Syst. Man Cybern. 1973, 6, 610–621. [Google Scholar] [CrossRef]
- Gong, P.; Marceau, D.J.; Howarth, P.J. A comparison of spatial feature extraction algorithms for land-use classification with SPOT HRV data. Remote Sens. Environ. 1992, 40, 137–151. [Google Scholar] [CrossRef]
- Zhang, Y. Optimisation of building detection in satellite images by combining multispectral classification and texture filtering. ISPRS J. Photogramm. Remote Sens. 1999, 54, 50–60. [Google Scholar] [CrossRef]
- Burges, C.J. A tutorial on support vector machines for pattern recognition. Data Min. Knowl. Discov. 1998, 2, 121–167. [Google Scholar] [CrossRef]
- Feng, G. Parameter optimizing for support vector machines classification. Jisuanji Gongcheng Yu Yingyong (Comput. Eng. Appl.) 2011, 47, 123–124. [Google Scholar]
- Breiman, L. Random Forests. Mach. Learn. 2001, 45, 5–32. [Google Scholar] [CrossRef]
- Belgiu, M.; Drăguţ, L. Random forest in remote sensing: A review of applications and future directions. ISPRS J. Photogramm. Remote Sens. 2016, 114, 24–31. [Google Scholar] [CrossRef]
- Mukashema, A.; Veldkamp, A.; Vrieling, A. Automated high resolution mapping of coffee in Rwanda using an expert Bayesian network. Int. J. Appl. Earth Obs. Geoinf. 2014, 33, 331–340. [Google Scholar] [CrossRef]
- Chen, T.; He, T.; Benesty, M.; Khotilovich, V.; Tang, Y.; Cho, H. Xgboost: Extreme Gradient Boosting. R Package Version 0.4-2 2015, 1, 1–4. [Google Scholar]
- Liu, H.; Li, Q.; Bai, Y.; Yang, C.; Wang, J.; Zhou, Q.; Hu, S.; Shi, T.; Liao, X.; Wu, G. Improving satellite retrieval of oceanic particulate organic carbon concentrations using machine learning methods. Remote Sens. Environ. 2021, 256, 112316. [Google Scholar] [CrossRef]
- Shaban, M.A.; Dikshit, O. Improvement of classification in urban areas by the use of textural features: The case study of Lucknow city, Uttar Pradesh. Int. J. Remote Sens. 2001, 22, 565–593. [Google Scholar] [CrossRef]














| Parameters | Value |
|---|---|
| Flight height/m | 50 |
| Speed of flight/(m · s−1) | 5 |
| Before-and-after overlap/% | 80 |
| Side overlap/% | 65 |
| Spatial resolution/(cm · px−1) | 1.4 |
| No. | Name | Acquisition Date |
|---|---|---|
| 1 | GF1_PMS1_E124.0_N43.9_20200926_L1A0005087667 | 26 September 2020 |
| 2 | GF1_PMS1_E124.0_N43.6_20200926_L1A0005087679 | |
| 3 | GF1_PMS1_E123.9_N43.3_20200926_L1A0005087685 | |
| 4 | GF1_PMS2_E124.5_N43.8_20200926_L1A0005087811 | |
| 5 | GF1_PMS2_E124.4_N43.5_20200926_L1A0005087820 | |
| 6 | GF1_PMS2_E124.3_N43.2_20200926_L1A0005087822 |
| Code | Type | Training Samples/Pixel | Validation Samples/Pixel | Total/Pixel |
|---|---|---|---|---|
| 0 | Non-lodging | 972 | 433 | 1405 |
| 1 | Moderate lodging | 1152 | 501 | 1653 |
| 2 | Severe lodging | 1045 | 423 | 1468 |
| Code | Type | True Color Image | False Color Image |
|---|---|---|---|
| 1 | Non-lodging | ![]() | ![]() |
| 2 | Moderate lodging | ![]() | ![]() |
| 3 | Severe lodging | ![]() | ![]() |
| Abbreviations | Full Names | Expressions | References |
|---|---|---|---|
| NDVI | Normalized Difference Vegetation Index | [29] | |
| EVI | Enhanced Vegetation Index | [30] | |
| RVI | Ratio Vegetation Index | [29] | |
| DVI | Difference Vegetation Index | [29] | |
| TVI | Triangular Vegetation Index | [4] | |
| ARVI | Atmospheric Resistant Vegetation Index | [29] | |
| GNDVI | Green Normalized Difference Vegetation | [4] | |
| GRVI | Green Ratio Vegetation Index | [4] | |
| VDVI | Visible-Band Difference Vegetation Index | [4] | |
| SAVI | Soil Adjusted Vegetation Index | SAVI = | [29] |
| NLI | Nonlinear Vegetation Index | NLI = | [31] |
| RDVI | Renormalized Difference Vegetation Index | RDVI = | [4] |
| SIPI | Structure Insensitive Pigment Index | [4] |
| Feature Combinations | Nodes in the Input Layer | Nodes in Hidden Layer | Nodes in the Output Layer |
|---|---|---|---|
| spectral features | 4 | 5 | 3 |
| spectral features + vegetation indexes | 13 | 8 | 3 |
| spectral + textural features | 9 | 7 | 3 |
| spectral + textural features + vegetation indexes | 18 | 9 | 3 |
| Combination of Features | SVM | RF | NB | BP | XGBoost | |||||
|---|---|---|---|---|---|---|---|---|---|---|
| OA | Kappa | OA | Kappa | OA | Kappa | OA | Kappa | OA | Kappa | |
| Spectral | 89.23% | 0.8382 | 89.24% | 0.8384 | 0.7549 | 0.6935 | 83.64% | 0.7549 | 88.59% | 0.8283 |
| Spectral + vegetation index | 91.09% | 0.8663 | 90.86% | 0.8628 | 0.7858 | 0.6438 | 85.7% | 0.7858 | 91.23% | 0.8685 |
| Spectral + texture | 91.16% | 0.8674 | 91.97% | 0.8792 | 0.8085 | 0.7285 | 87.25% | 0.8085 | 92.33% | 0.8850 |
| Spectral + vegetation index + texture | 93.23% | 0.8991 | 93.81% | 0.9069 | 0.8383 | 0.6890 | 89.24% | 0.8383 | 93.37% | 0.9005 |
| Classifier | Combination of Features | Non-Lodged Area | Moderately Lodged Area | Severely Lodged Area |
|---|---|---|---|---|
| SVM | Spectral | 0.9167 | 0.8547 | 0.9097 |
| Spectral + vegetation index | 0.9313 | 0.8831 | 0.9208 | |
| Spectral + texture | 0.9208 | 0.8822 | 0.9326 | |
| Spectral + vegetation index + texture | 0.9358 | 0.9107 | 0.9532 | |
| RF | Spectral | 0.9152 | 0.8539 | 0.9130 |
| Spectral + vegetation index | 0.9370 | 0.8800 | 0.9122↓ | |
| Spectral + texture | 0.9285 | 0.8936 | 0.9412 | |
| Spectral + vegetation index + texture | 0.9503 | 0.9182 | 0.9492 | |
| NB | Spectral | 0.8394 | 0.6961 | 0.8503 |
| Spectral + vegetation index | 0.8367↓ | 0.6469↓ | 0.8204↓ | |
| Spectral + texture | 0.8273↓ | 0.7369 | 0.8972 | |
| Spectral + vegetation index + texture | 0.8186↓ | 0.6923↓ | 0.8691 | |
| BP | Spectral | 0.8787 | 0.7658 | 0.8682 |
| Spectral + vegetation index | 0.8876 | 0.7966 | 0.8904 | |
| Spectral + texture | 0.8809 | 0.8265 | 0.9198 | |
| Spectral + vegetation index + texture | 0.9101 | 0.8557 | 0.9164 | |
| XGBoost | Spectral | 0.9079 | 0.8433 | 0.9095 |
| Spectral + vegetation index | 0.9468 | 0.8819 | 0.9115 | |
| Spectral + texture | 0.9388 | 0.8929 | 0.9404 | |
| Spectral + vegetation index + texture | 0.9485 | 0.9052 | 0.9490 |
Disclaimer/Publisher’s Note: The statements, opinions and data contained in all publications are solely those of the individual author(s) and contributor(s) and not of MDPI and/or the editor(s). MDPI and/or the editor(s) disclaim responsibility for any injury to people or property resulting from any ideas, methods, instructions or products referred to in the content. |
© 2023 by the authors. Licensee MDPI, Basel, Switzerland. This article is an open access article distributed under the terms and conditions of the Creative Commons Attribution (CC BY) license (https://creativecommons.org/licenses/by/4.0/).
Share and Cite
Huang, X.; Xuan, F.; Dong, Y.; Su, W.; Wang, X.; Huang, J.; Li, X.; Zeng, Y.; Miao, S.; Li, J. Identifying Corn Lodging in the Mature Period Using Chinese GF-1 PMS Images. Remote Sens. 2023, 15, 894. https://doi.org/10.3390/rs15040894
Huang X, Xuan F, Dong Y, Su W, Wang X, Huang J, Li X, Zeng Y, Miao S, Li J. Identifying Corn Lodging in the Mature Period Using Chinese GF-1 PMS Images. Remote Sensing. 2023; 15(4):894. https://doi.org/10.3390/rs15040894
Chicago/Turabian StyleHuang, Xianda, Fu Xuan, Yi Dong, Wei Su, Xinsheng Wang, Jianxi Huang, Xuecao Li, Yelu Zeng, Shuangxi Miao, and Jiayu Li. 2023. "Identifying Corn Lodging in the Mature Period Using Chinese GF-1 PMS Images" Remote Sensing 15, no. 4: 894. https://doi.org/10.3390/rs15040894
APA StyleHuang, X., Xuan, F., Dong, Y., Su, W., Wang, X., Huang, J., Li, X., Zeng, Y., Miao, S., & Li, J. (2023). Identifying Corn Lodging in the Mature Period Using Chinese GF-1 PMS Images. Remote Sensing, 15(4), 894. https://doi.org/10.3390/rs15040894







