Distinguishing Dominant Drivers on LST Dynamics in the Qinling-Daba Mountains in Central China from 2000 to 2020
Abstract
1. Introduction
2. Materials and Methods
2.1. Study Area
2.2. Data Sources
2.2.1. TRIMS LST
2.2.2. Supplementary Data
2.3. Research Methodology
2.3.1. Analysis of the LST Time Series Trend
2.3.2. Optimal Parameter Geographic Detector (OPGD)
- (1)
- Variable selection. We used correlation analysis to study the correlation between LST and the independent variables, and selected the variance inflation factor (VIF) method to determine the collinearity of all independent variables (Figure S1 and Table S1). The VIF values of elevation and SR were still higher than the other variables after screening, but they were all less than 10, indicating that there was no strong collinear relationship with other driving factors. Therefore, the precipitation (X1), cloud cover (X2), Ws (X3), RH (X4), albedo (X5), SR (X6), elevation (X7), slope (X8), aspect (X9), NDVI (X10), vegetation types (X11), and LUCC (X12) were incorporated into the OPGD model as driving factors.
- (2)
- Optimal parameter selection. The OPGD model is a quantitative method used to detect spatial heterogeneity and reveal the driving forces behind it [45]. Determining the optimal scale of spatial hierarchical heterogeneity through spatial data discretization is a key point in the use of the OPGD model. Here, methods, such as equal breaks, natural breaks, quantile breaks, geometric breaks, standard and deviation breaks, were compared. The number of levels was selected to filter out the optimal parameters for the analysis in order to carry out the LST driving factor correlation analysis.
- (3)
- Factor Detector. To detect the spatial differentiation of LST (Y) and the extent to which the driving factors (X) explained the spatial differentiation of Y, the factor detector revealed the relative importance of the explanatory variables through q statistics. Among them, X1, X2, X3, X4, X5, X6, X7, X8, X9, and X10 refer to the average annual temperature, precipitation, cloud cover, NDVI, elevation, aspect, slope, LUCC, vegetation type, and snowfall, respectively. The q value of each explanatory variable was calculated using Equation (5):where i = 1, 2, …, L are the strata of Y or X, i.e., classification or partition; and are the variances of units in local strata i and global strata, respectively; Ni and N are the numbers of units in local strata i and global strata, respectively; SSW is the within sum of squares; and SST is the total sum of squares. The q value ranges from 0 to 1; the higher the q value, the stronger the explanatory power.
- (4)
- Risk Detector. This is used to determine whether there is a significant difference in the attribute mean between two sub-regions. The sub-region with a higher mean value has a higher LST value and can be used to determine which areas are high-temperature areas of the LST. The risk detector was tested with the t-test and calculated by Equation (6):where is the average value of the observations of the subregion i, ni is the number of observations, and Var is the variance.
- (5)
- Interaction Detector. While considering a single influencing factor, the interaction between different drivers was identified, that is, the explanatory power of the combined (enhanced or weakened) and independent effects of the drivers on LST was assessed. Five types of interactions between the two factors were observed and are shown in Table 1.
3. Results
3.1. Spatiotemporal Variation Characteristics of LST
3.2. Seasonal Spatiotemporal Variation Characteristics of LST
3.3. Impacts of Driving Factors on LST Spatial Distribution
3.3.1. Contribution from Individual Factors
3.3.2. The Dominant Factors of the Spatial Differentiation of LST Change between Geomorphic Types
3.3.3. Driving Factors Indicate Function
3.3.4. Interaction between the Driving Factors
4. Discussion
5. Conclusions
- (1)
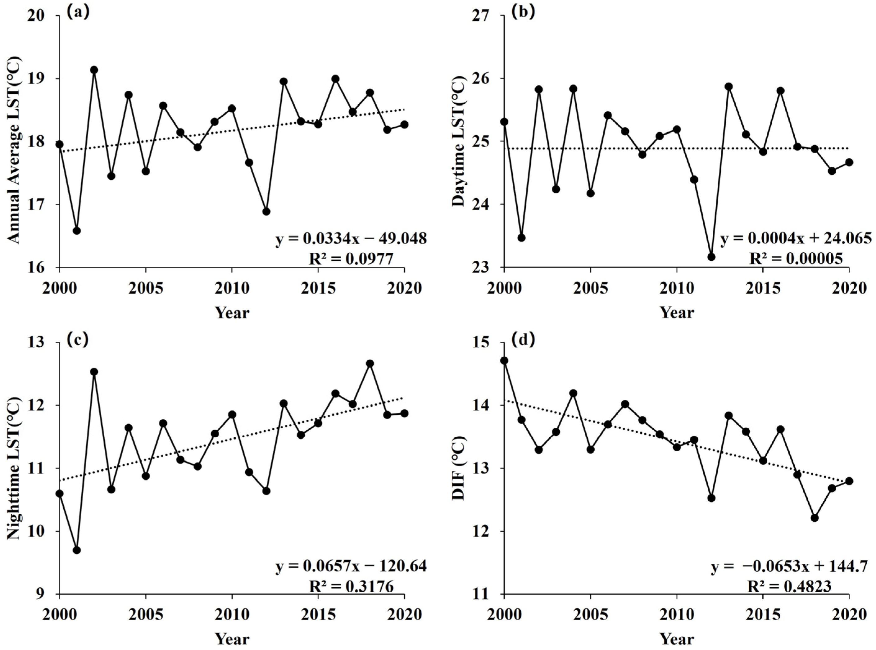
- From 2000 to 2020, the average annual LST in the Qinling-Daba Mountains showed a significant upward trend; the warming area accounted for 82.5% of the total area, while the cooling area accounted for 17.5%. During the study period, both daytime and nighttime LST in the Qinling-Daba Mountains showed an upward trend, but the nighttime warming effect was stronger than that of the daytime, and the difference between day and night temperature continued to decrease. Meanwhile, the trend of LST changed significantly in different seasons, with the most obvious warming trend in the summer.
- (2)
- Differences in the influence of various driving factors on LST were observed. Among them, elevation was the main factor driving the spatial distribution of LST. Elevation had the greatest explanatory power both in the daytime and nighttime, followed by albedo in the daytime and precipitation in the nighttime, and the explanatory power for LST changes was higher at nighttime than during daytime. The mean LST of different ranges or types of driving factors was different, and the maximum LST corresponded to different ranges or types of drivers.
- (3)
- The interaction analysis found that the impact of driving factors on LST was not independent, but rather the result of a combination of factors. Compared with the influence of a single factor on LST, the interaction effect was quite different. The interaction among driving factors was significant. The effect of multi-factor interaction on LST is not a simple superposition process, but has bivariate enhancement or nonlinear enhancement.
Supplementary Materials
Author Contributions
Funding
Data Availability Statement
Acknowledgments
Conflicts of Interest
References
- Eleftheriou, D.; Kiachidis, K.; Kalmintzis, G.; Kalea, A.; Bantasis, C.; Koumadoraki, P.; Spathara, M.E.; Tsolaki, A.; Tzampazidou, M.I.; Gemitzi, A. Determination of annual and seasonal daytime and nighttime trends of MODIS LST over Greece—Climate change implications. Sci. Total Environ. 2018, 616, 937–947. [Google Scholar] [CrossRef]
- Li, Q.; Sun, W.; Huang, B.; Dong, W.; Wang, X.; Zhai, P.; Jones, P. Consistency of global warming trends strengthened since 1880s. Sci. Bull. 2020, 65, 1709–1712. [Google Scholar] [CrossRef] [PubMed]
- Stocker, T.F.; Qin, D.; Plattner, G.K.; Tignor, M.M.; Allen, S.K.; Boschung, J.; Nauels, A.; Xia, Y.; Bex, V.; Midgley, P.M. Climate Change 2013: The Physical Science Basis: Intergovernmental Panel on Climate Change Working Group I Contribution to the Fifth Assessment Report (AR5); Cambridge University Press: New York, NY, USA, 2013. [Google Scholar]
- Rao, Y.; Dai, J.; Dai, D.; He, Q. Effect of urban growth pattern on land surface temperature in China: A multi-scale landscape analysis of 338 cities. Land Use Policy 2021, 103, 105314. [Google Scholar] [CrossRef]
- Tayyebi, A.; Shafizadeh-Moghadam, H.; Tayyebi, A.H. Analyzing long-term spatio-temporal patterns of land surface temperature in response to rapid urbanization in the mega-city of Tehran. Land Use Policy 2018, 71, 459–469. [Google Scholar] [CrossRef]
- He, B.J.; Zhao, Z.Q.; Shen, L.D.; Wang, H.B.; Li, L.G. An approach to examining performances of cool/hot sources in mitigating/enhancing land surface temperature under different temperature backgrounds based on landsat 8 image. Sustain. Cities Soc. 2019, 44, 416–427. [Google Scholar] [CrossRef]
- Li, J.; Feng, X.; Yin, J.; Chen, F. Change Analysis of Spring Vegetation Green-Up Date in Qinba Mountains under the Support of Spatiotemporal Data Cube. J. Sens. 2020, 2020, 6413654. [Google Scholar] [CrossRef]
- Song, Z.; Yang, H.; Huang, X.; Yu, W.; Huang, J.; Ma, M. The spatiotemporal pattern and influencing factors of land surface temperature change in China from 2003 to 2019. Int. J. Appl. Earth Obs. Geoinf. 2021, 104, 102537. [Google Scholar] [CrossRef]
- Guo, A.; Yang, J.; Sun, W.; Xiao, X.; Cecilia, J.X.; Jin, C.; Li, X. Impact of urban morphology and landscape characteristics on spatiotemporal heterogeneity of land surface temperature. Sustain. Cities Soc. 2020, 63, 102443. [Google Scholar] [CrossRef]
- Peng, J.; Jia, J.; Liu, Y.; Li, H.; Wu, J. Seasonal contrast of the dominant factors for spatial distribution of land surface temperature in urban areas. Remote Sens. Environ. 2018, 215, 255–267. [Google Scholar] [CrossRef]
- Peng, J.; Ma, J.; Liu, Q.; Liu, Y.; Hu, Y.; Li, Y.; Yue, Y. Spatial-temporal change of land surface temperature across 285 cities in China: An urban-rural contrast perspective. Sci. Total Environ. 2018, 635, 487–497. [Google Scholar] [CrossRef]
- Yuan, G.; Tang, W.; Zuo, T.; Li, E.; Zhang, L.; Liu, Y. Impacts of afforestation on land surface temperature in different regions of China. Agric. For. Meteorol. 2022, 318, 108901. [Google Scholar] [CrossRef]
- Zhou, S.; Liu, D.; Zhu, M.; Tang, W.; Chi, Q.; Ye, S.; Xu, S.; Cui, Y. Temporal and Spatial Variation of Land Surface Temperature and Its Driving Factors in Zhengzhou City in China from 2005 to 2020. Remote Sens. 2022, 14, 4281. [Google Scholar] [CrossRef]
- Zhao, W.; Duan, S.-B.; Li, A.; Yin, G. A practical method for reducing terrain effect on land surface temperature using random forest regression. Remote Sens. Environ. 2019, 221, 635–649. [Google Scholar] [CrossRef]
- Urbanski, J.A.; Wochna, A.; Bubak, I.; Grzybowski, W.; Lukawska-Matuszewska, K.; Łącka, M.; Śliwińska, S.; Wojtasiewicz, B.; Zajączkowski, M. Application of Landsat 8 imagery to regional-scale assessment of lake water quality. Int. J. Appl. Earth Obs. Geoinf. 2016, 51, 28–36. [Google Scholar]
- He, J.; Zhao, W.; Li, A.; Wen, F.; Yu, D. The impact of the terrain effect on land surface temperature variation based on Landsat-8 observations in mountainous areas. Int. J. Remote Sens. 2018, 40, 1808–1827. [Google Scholar] [CrossRef]
- Jamali, A.A.; Kalkhajeh, R.G.; Randhir, T.O.; He, S. Modeling relationship between land surface temperature anomaly and environmental factors using GEE and Giovanni. J. Environ. Manag. 2022, 302, 113970. [Google Scholar] [CrossRef] [PubMed]
- Du, J.; Xiang, X.; Zhao, B.; Zhou, H. Impact of urban expansion on land surface temperature in Fuzhou, China using Landsat imagery. Sustain. Cities Soc. 2020, 61, 102346. [Google Scholar] [CrossRef]
- Shafrina, W.M.J.W.; Nizam, A.M.K.; Marliza, M.K.A.; Asif, R.; Syarina, M.S.; Azizah, A.; Maizah, S.S.N.; Tarmizi, M.A.A.; Ayuni, J.S.N.K.; Waseem, R.K. The Influence of Deforestation on Land Surface Temperature—A Case Study of Perak and Kedah, Malaysia. Forests 2020, 11, 670. [Google Scholar]
- Masoudi, M.; Tan, P.Y. Multi-year comparison of the effects of spatial pattern of urban green spaces on urban land surface temperature. Landscape Urban Plan. 2019, 184, 44–58. [Google Scholar] [CrossRef]
- Peng, W.; Yuan, X.; Gao, W.; Wang, R.; Chen, W. Assessment of urban cooling effect based on downscaled land surface temperature: A case study for Fukuoka, Japan. Urban Clim. 2021, 36, 100790. [Google Scholar] [CrossRef]
- Jung, M.C.; Dyson, K.; Alberti, M. Urban Landscape Heterogeneity Influences the Relationship between Tree Canopy and Land Surface Temperature. Urban For. Urban Green. 2021, 57, 126930. [Google Scholar] [CrossRef]
- Peng, X.; Wu, W.; Zheng, Y.; Sun, J.; Hu, T.; Wang, P. Correlation analysis of land surface temperature and topographic elements in Hangzhou, China. Sci. Rep. 2020, 10, 10451. [Google Scholar] [CrossRef]
- Pegau, W.S.; Paulson, C.A. The albedo of Arctic leads in summer. Ann. Glaciol. 2017, 33, 221–224. [Google Scholar] [CrossRef]
- Lai, J.; Zhan, W.; Huang, F.; Quan, J.; Hu, L.; Gao, L.; Ju, W. Does quality control matter? Surface urban heat island intensity variations estimated by satellite-derived land surface temperature products. ISPRS J. Photogramm. Remote Sens. 2018, 139, 212–227. [Google Scholar] [CrossRef]
- Mukherjee, F.; Singh, D. Assessing Land Use–Land Cover Change and Its Impact on Land Surface Temperature Using LANDSAT Data: A Comparison of Two Urban Areas in India. Earth Syst. Environ. 2020, 4, 385–407. [Google Scholar] [CrossRef]
- Wu, W.; Li, L.; Li, C. Seasonal variation in the effects of urban environmental factors on land surface temperature in a winter city. J. Clean. Prod. 2021, 299, 126897. [Google Scholar] [CrossRef]
- Chen, C.; Li, D.; Li, Y.; Piao, S.; Wang, X.; Huang, M.; Gentine, P.; Nemani, R.R.; Myneni, R.B. Biophysical impacts of Earth greening largely controlled by aerodynamic resistance. Sci. Adv. 2020, 6, eabb1981. [Google Scholar] [CrossRef] [PubMed]
- Lemoine-Rodriguez, R.; Inostroza, L.; Zepp, H. Does urban climate follow urban form? Analysing intraurban LST trajectories versus urban form trends in 3 cities with different background climates. Sci. Total Environ. 2022, 830, 154570. [Google Scholar] [CrossRef] [PubMed]
- Xiao, J. Satellite evidence for significant biophysical consequences of the “Grain for Green” Program on the Loess Plateau in China. J. Geophys. Res. Biogeosci. 2014, 119, 2261–2275. [Google Scholar] [CrossRef]
- Tan, J.; Yu, D.; Li, Q.; Tan, X.; Zhou, W. Spatial relationship between land-use/land-cover change and land surface temperature in the Dongting Lake area, China. Sci. Rep. 2020, 10, 9245. [Google Scholar] [CrossRef] [PubMed]
- Wang, L.; Chen, S.; Zhu, W.; Ren, H.; Zhang, L.; Zhu, L. Spatiotemporal variations of extreme precipitation and its potential driving factors in China’s North-South Transition Zone during 1960–2017. Atmos. Res. 2021, 252, 105429. [Google Scholar] [CrossRef]
- Li, S.; Lu, J.; Yan, J.; Liu, X.; Kong, F.; Wang, J. Spatiotemporal variability of temperature in northern and southern Qinling Mountains and its influence on climatic boundary. Acta. Geogr. Sin. 2018, 73, 13–24. [Google Scholar]
- Jia, W.; Zhao, S. Trends and drivers of land surface temperature along the urban-rural gradients in the largest urban agglomeration of China. Sci. Total Environ. 2020, 711, 134579. [Google Scholar] [CrossRef]
- Zhang, X.; Zhang, B.; Yao, Y.; Liu, J.; Wang, J.; Yu, F.; Li, J. Variation model of north-south plant species diversity in the Qinling-Daba Mountains in China. Glob. Ecol. Conserv. 2022, 38, e02190. [Google Scholar] [CrossRef]
- Zhang, B. Ten major scientific issues concerning the study of China’s north- south transitional zone. Prog. Geogr. 2019, 38, 305–311. [Google Scholar]
- Zhang, X.; Zhou, J.; Liang, S.; Wang, D. A practical reanalysis data and thermal infrared remote sensing data merging (RTM) method for reconstruction of a 1-km all-weather land surface temperature. Remote Sens. Environ. 2021, 260, 112437. [Google Scholar] [CrossRef]
- Wei, B.; Bao, Y.; Yu, S.; Yin, S.; Zhang, Y. Analysis of land surface temperature variation based on MODIS data a case study of the agricultural pastural ecotone of northern China. Int. J. Appl. Earth Obs. Geoinf. 2021, 100, 102342. [Google Scholar] [CrossRef]
- Wang, Y.-R.; Hessen, D.O.; Samset, B.H.; Stordal, F. Evaluating global and regional land warming trends in the past decades with both MODIS and ERA5-Land land surface temperature data. Remote Sens. Environ. 2022, 280, 113181. [Google Scholar] [CrossRef]
- Peng, S.; Gang, C.; Cao, Y.; Chen, Y. Assessment of climate change trends over the Loess Plateau in China from 1901 to 2100. Int. J. Climatol. 2018, 38, 2250–2264. [Google Scholar] [CrossRef]
- He, J.; Yang, K.; Tang, W.; Lu, H.; Qin, J.; Chen, Y.; Li, X. The first high-resolution meteorological forcing dataset for land process studies over China. Sci. Data 2020, 7, 25. [Google Scholar] [CrossRef]
- Chen, J.; Chen, J.; Liao, A.; Cao, X.; Chen, L.; Chen, X.; He, C.; Han, G.; Peng, S.; Lu, M.; et al. Global land cover mapping at 30m resolution: A POK-based operational approach. ISPRS J. Photogramm. Remote Sens. 2015, 103, 7–27. [Google Scholar] [CrossRef]
- Zheng, K.; Tan, L.; Sun, Y.; Wu, Y.; Duan, Z.; Xu, Y.; Gao, C. Impacts of climate change and anthropogenic activities on vegetation change: Evidence from typical areas in China. Ecol. Indic. 2021, 126, 107648. [Google Scholar] [CrossRef]
- Zhao, B.; Mao, K.; Cai, Y.; Meng, X. Study of the temporal and spatial evolution law of land surface temperature in China. Remote Sens. Land Resour. 2020, 32, 233–240. [Google Scholar]
- Wang, J.F.; Li, X.H.; Christakos, G.; Liao, Y.L.; Zhang, T.; Gu, X.; Zheng, X.Y. Geographical Detectors-Based Health Risk Assessment and its Application in the Neural Tube Defects Study of the Heshun Region, China. Int. J. Geogr. Inf. Sci. 2010, 24, 107–127. [Google Scholar] [CrossRef]
- He, W.; Meng, H.; Han, J.; Zhou, G.; Zheng, H.; Zhang, S. Spatiotemporal PM2.5 estimations in China from 2015 to 2020 using an improved gradient boosting decision tree. Chemosphere 2022, 296, 134003. [Google Scholar] [CrossRef]
- Chen, W.; Meng, H.; Song, H.; Zheng, H. Progress in Dust Modelling, Global Dust Budgets, and Soil Organic Carbon Dynamics. Land 2022, 11, 176. [Google Scholar] [CrossRef]
- Abera, T.A.; Heiskanen, J.; Pellikka, P.; Rautiainen, M.; Maeda, E.E. Clarifying the role of radiative mechanisms in the spatio-temporal changes of land surface temperature across the Horn of Africa. Remote Sens. Environ. 2019, 221, 210–224. [Google Scholar] [CrossRef]
- Zhang, T.; Barry, R.G.; Gilichinsky, D.; Bykhovets, S.; Sorokovikov, V.; Ye, J. An amplified signal of climatic change in soil temperatures during the last century at Irkutsk, Russia. Clim. Chang. 2001, 49, 41–76. [Google Scholar]
- Wang, Z.; Sun, D.; Hu, C.; Wang, Y.; Zhang, J. Seasonal Contrast and Interactive Effects of Potential Drivers on Land Surface Temperature in the Sichuan Basin, China. Remote Sens. 2022, 14, 1292. [Google Scholar]
- Tian, H.; Liu, L.; Zhang, Z.; Chen, H.; Zhang, X.; Wang, T.; Kang, Z. Spatiotemporal diversity of land surface temperature in China from 2001 to 2020. Acta Geogr. Sin. 2022, 77, 1713–1729. [Google Scholar]
- Cao, J.; Zhou, W.; Zheng, Z.; Ren, T.; Wang, W. Within-city spatial and temporal heterogeneity of air temperature and its relationship with land surface temperature. Landsc. Urban Plan. 2021, 206, 103979. [Google Scholar] [CrossRef]
- Dong, J.; Liu, P.; Song, H.; Yang, D.; Yang, J.; Song, G.; Miao, C.; Zhang, J.; Zhang, L. Effects of anthropogenic precursor emissions and meteorological conditions on PM2.5 concentrations over the “2+26” cities of northern China. Environ. Pollut. 2022, 315, 120392. [Google Scholar] [CrossRef] [PubMed]
- Venkatesh, K.; John, R.; Chen, J.; Xiao, J.; Amirkhiz, R.G.; Giannico, V.; Kussainova, M. Optimal ranges of social-environmental drivers and their impacts on vegetation dynamics in Kazakhstan. Sci. Total Environ. 2022, 847, 157562. [Google Scholar] [CrossRef] [PubMed]
- Zhao, W.; Duan, S.B. Reconstruction of daytime land surface temperatures under cloud-covered conditions using integrated MODIS/Terra land products and MSG geostationary satellite data. Remote Sens. Environ. 2020, 247, 111931. [Google Scholar] [CrossRef]
- Zeng, C.; Long, D.; Shen, H.; Wu, P.; Cui, Y.; Hong, Y. A two-step framework for reconstructing remotely sensed land surface temperatures contaminated by cloud. ISPRS J. Photogramm. Remote Sens. 2018, 141, 30–45. [Google Scholar] [CrossRef]
- Hidalgo-García, D.; Arco-Díaz, J. Modeling the Surface Urban Heat Island (SUHI) to study of its relationship with variations in the thermal field and with the indices of land use in the metropolitan area of Granada (Spain). Sustain. Cities Soc. 2022, 87, 104166. [Google Scholar] [CrossRef]
- Yang, M.; Zhao, W.; Zhan, Q.; Xiong, D. Spatiotemporal Patterns of Land Surface Temperature Change in the Tibetan Plateau Based on MODIS/Terra Daily Product From 2000 to 2018. IEEE J. Sel. Top. Appl. Earth Obs. Remote Sens. 2021, 14, 6501–6514. [Google Scholar] [CrossRef]
- Zhou, D.; Xiao, J.; Bonafoni, S.; Berger, C.; Deilami, K.; Zhou, Y.; Frolking, S.; Yao, R.; Qiao, Z.; Sobrino, J.A. Satellite remote sensing of surface urban heat islands: Progress, challenges, and perspectives. Remote Sens. 2018, 11, 48. [Google Scholar] [CrossRef]
- Mohamed, A.A.; Odindi, J.; Mutanga, O. Land surface temperature and emissivity estimation for Urban Heat Island assessment using medium- and low-resolution space-borne sensors: A review. Geocarto Int. 2016, 32, 455–470. [Google Scholar] [CrossRef]









| Interaction | Judgment Criteria |
|---|---|
| q(X1∩X2) < Min(q(X1), q(X2)) | Nonlinear weaken |
| Min(q(X1), q(X2)) < q(X1∩X2) < Max(q(X1), q(X2)) | Univariate weaken |
| q(X1∩X2) > Max(q(X1), q(X2)) | Bivariate enhance |
| q(X1∩X2) = q(X1) + q(X2) | Independent |
| q(X1∩X2) > q(X1) + q(X2) | Nonlinear enhance |
| X1 | X2 | X3 | X4 | X5 | X6 | X7 | X8 | X9 | X10 | X11 | X10 | X12 | |
|---|---|---|---|---|---|---|---|---|---|---|---|---|---|
| Daytime | 0.085 | 0.268 | 0.058 | 0.122 | 0.306 | 0.128 | 0.629 | 0.234 | 0.003 | 0.081 | 0.276 | 0.081 | 0.167 |
| Nighttime | 0.358 | 0.133 | 0.086 | 0.352 | 0.210 | 0.605 | 0.927 | 0.074 | 0.002 | 0.178 | 0.248 | 0.178 | 0.062 |
| Geomorphic Types | Influencing Factors (q) | ||||
|---|---|---|---|---|---|
| Daytime | Plain | Albedo (0.46) | Elevation (0.42) | NDVI (0.26) | Cloud cover (0.24) |
| Platform | Albedo (0.50) | Elevation (0.48) | Cloud cover (0.44) | NDVI (0.41) | |
| Hill | Albedo (0.42) | Cloud cover (0.40) | Elevation (0.36) | NDVI (0.36) | |
| Small relief landform | Elevation (0.34) | Cloud cover (0.21) | Albedo (0.20) | NDVI (0.14) | |
| Medium relief landform | Elevation (0.57) | Veg (0.25) | RH (0.17) | SR (0.16) | |
| Large relief landform | Elevation (0.69) | Veg (0.24) | Pre (0.21) | Albedo (0.19) | |
| Extremely large relief landform | Albedo (0.34) | RH (0.313) | SR (0.307) | Cloud cover (0.28) | |
| Nighttime | Plain | Elevation (0.87) | SR (0.72) | Pre (0.48) | RH (0.24) |
| Platform | Elevation (0.88) | SR (0.78) | Pre (0.53) | RH (0.23) | |
| Hill | Elevation (0.89) | SR (0.79) | Pre (0.63) | RH (0.28) | |
| Small relief landform | Elevation (0.91) | SR (0.78) | Pre (0.59) | RH (0.38) | |
| Medium relief landform | Elevation (0.93) | SR (0.70) | Pre (0.52) | RH (0.43) | |
| Large relief landform | Elevation (0.93) | SR (0.55) | Albedo (0.51) | NDVI (0.46) | |
| Extremely large relief landform | RH (0.70) | SR (0.68) | Cloud cover (0.66) | Albedo (0.56) | |
| Factors | Type or Range | LST/°C | ||
|---|---|---|---|---|
| Daytime | Nighttime | Daytime | Nighttime | |
| Pre/mm | 867–936 | 951–1060 | 26.48 | 15.43 |
| Cloud cover/% | 53.7–56.4 | 53.7–60.5 | 31.49 | 14.32 |
| Ws/m·s−1 | 2.21–2.52 | 0.93–1.28 | 28.41 | 13.97 |
| RH/% | 78.8–80.1 | 84.6–88.5 | 26.44 | 14.58 |
| Albedo/% | 7.95–10.2 | 05.24–6.8 | 27.81 | 12.57 |
| SR/W·m−2 | 148–156 | 137–142 | 26.56 | 14.46 |
| Elevation/m | 54.2–484 | 54.2–477 | 30.55 | 16.88 |
| Slope/° | 0–1.65 | 0–0.51 | 28.58 | 15.25 |
| Aspect | south | southwest | 25.07 | 11.67 |
| NDVI | 0.37–0.41 | 0.52–0.55 | 27.76 | 13.34 |
| Vegetation types | Cultivated vegetation | Grass | 27.88 | 13.90 |
| LUCC | Artificial surface | Water body | 31.41 | 15.93 |
Disclaimer/Publisher’s Note: The statements, opinions and data contained in all publications are solely those of the individual author(s) and contributor(s) and not of MDPI and/or the editor(s). MDPI and/or the editor(s) disclaim responsibility for any injury to people or property resulting from any ideas, methods, instructions or products referred to in the content. |
© 2023 by the authors. Licensee MDPI, Basel, Switzerland. This article is an open access article distributed under the terms and conditions of the Creative Commons Attribution (CC BY) license (https://creativecommons.org/licenses/by/4.0/).
Share and Cite
Xi, M.; Zhang, W.; Li, W.; Liu, H.; Zheng, H. Distinguishing Dominant Drivers on LST Dynamics in the Qinling-Daba Mountains in Central China from 2000 to 2020. Remote Sens. 2023, 15, 878. https://doi.org/10.3390/rs15040878
Xi M, Zhang W, Li W, Liu H, Zheng H. Distinguishing Dominant Drivers on LST Dynamics in the Qinling-Daba Mountains in Central China from 2000 to 2020. Remote Sensing. 2023; 15(4):878. https://doi.org/10.3390/rs15040878
Chicago/Turabian StyleXi, Mengzhu, Wen Zhang, Wanlong Li, Haodong Liu, and Hui Zheng. 2023. "Distinguishing Dominant Drivers on LST Dynamics in the Qinling-Daba Mountains in Central China from 2000 to 2020" Remote Sensing 15, no. 4: 878. https://doi.org/10.3390/rs15040878
APA StyleXi, M., Zhang, W., Li, W., Liu, H., & Zheng, H. (2023). Distinguishing Dominant Drivers on LST Dynamics in the Qinling-Daba Mountains in Central China from 2000 to 2020. Remote Sensing, 15(4), 878. https://doi.org/10.3390/rs15040878

