Using Nighttime Lights Data to Assess the Resumption of Religious and Socioeconomic Activities Post-COVID-19
Abstract
1. Introduction
2. Materials and Methods
2.1. Study Area
2.2. Data
2.2.1. Nighttime Satellite Data
2.2.2. Land-Use/Cover Data
2.2.3. Socioeconomic Data and Administrative Boundaries
2.3. Bare Adjusted NTL Index (BANTLI)
2.4. Procedures of Hajj and Umrah Resumption
2.5. Data Processing
3. Results
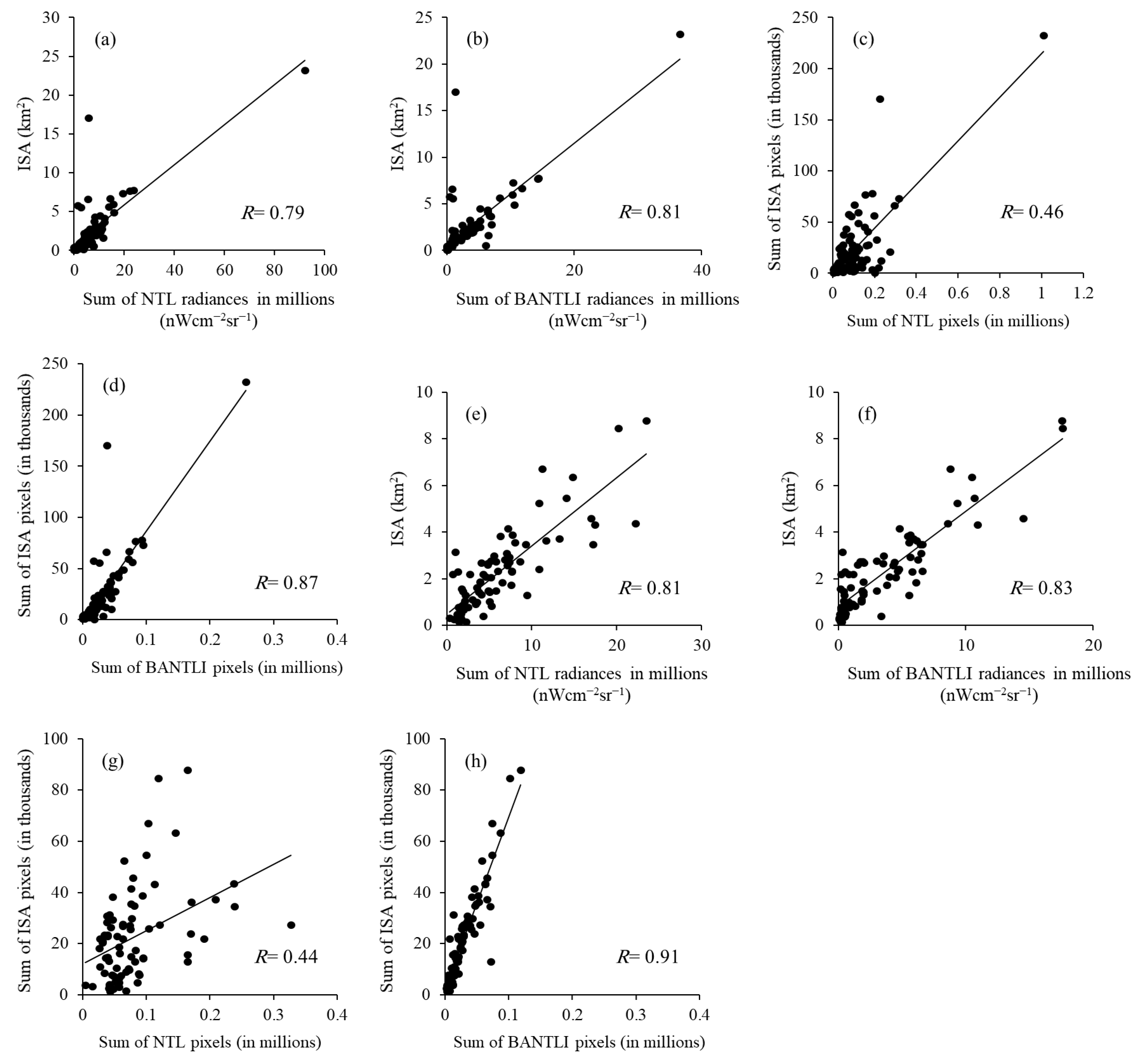
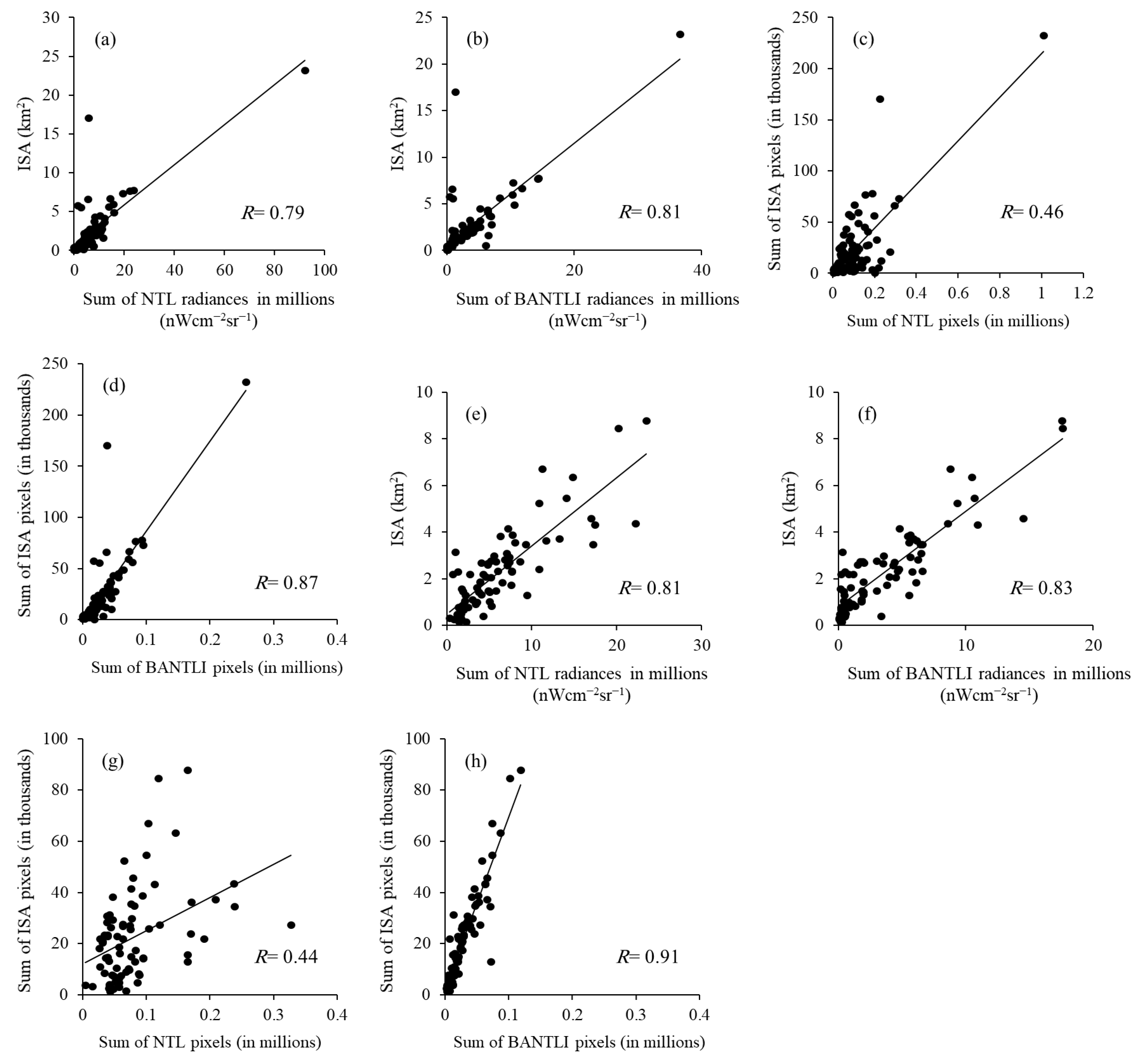
3.1. BANTLI vs. NTL
3.2. Change of BANTLI Radiances at the City Level
3.3. Change of BANTLI Radiances at the Ward Level
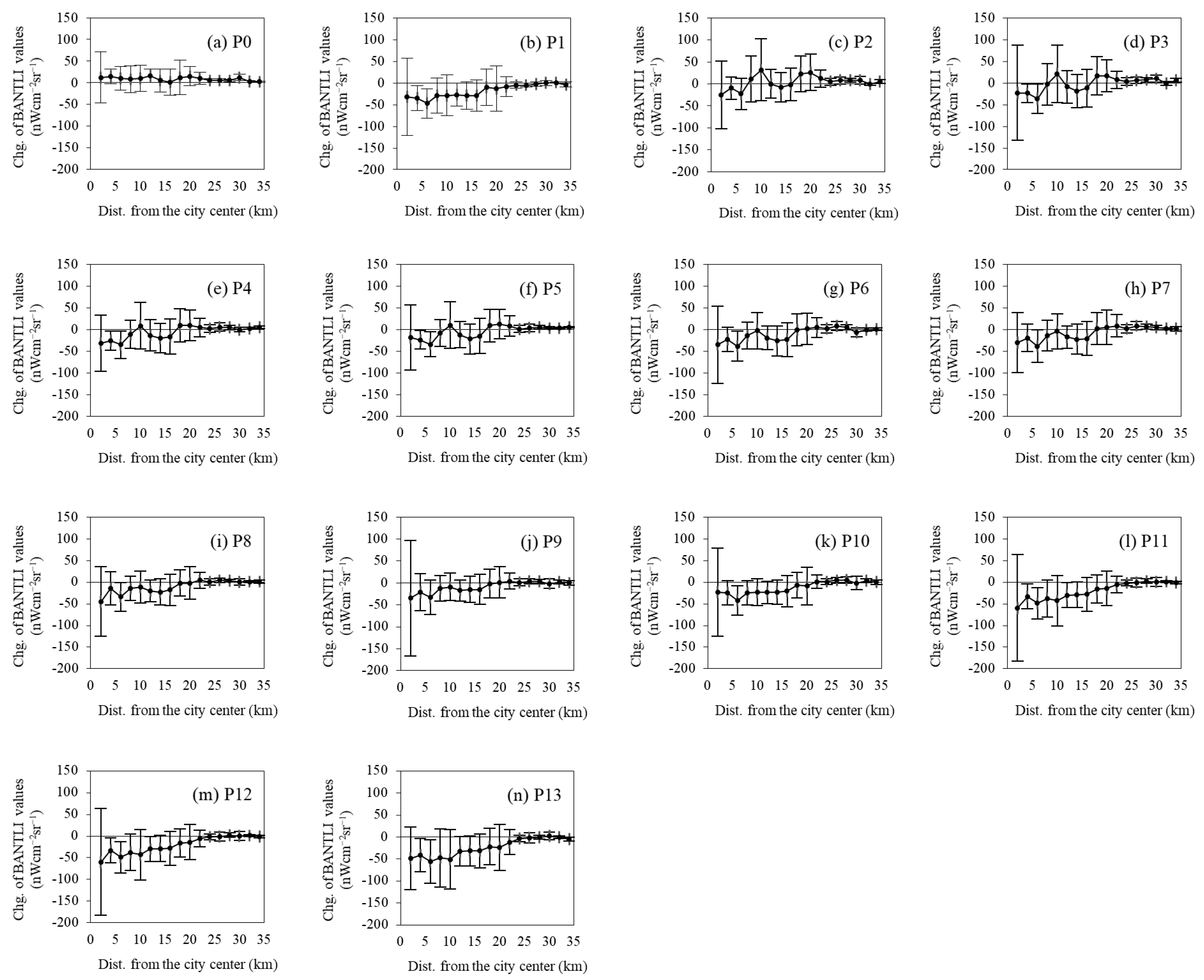
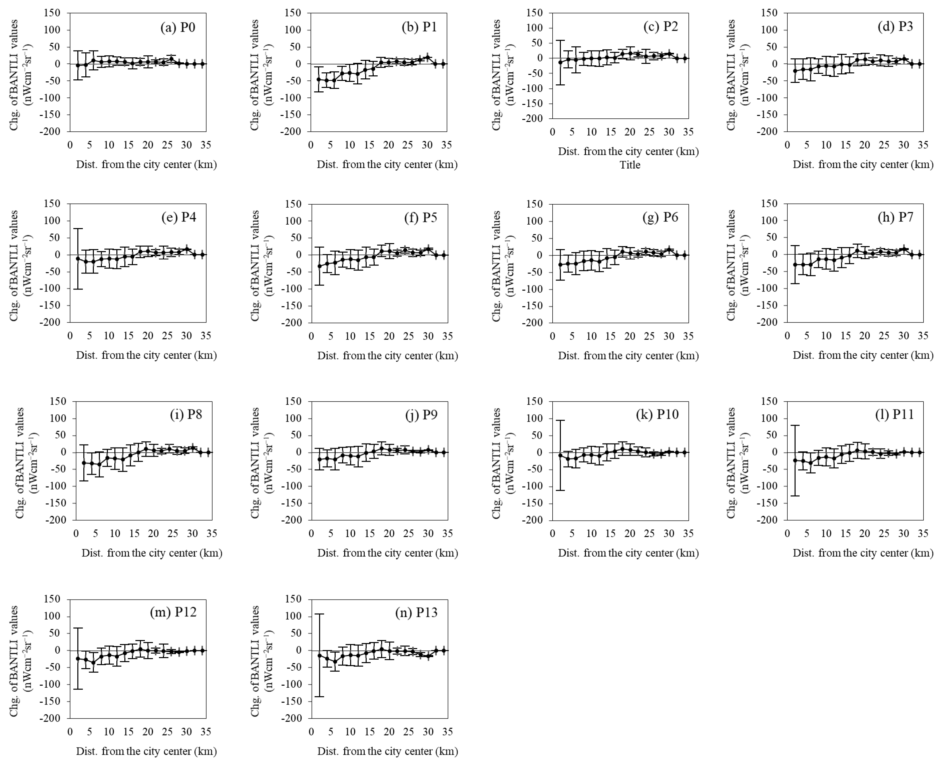
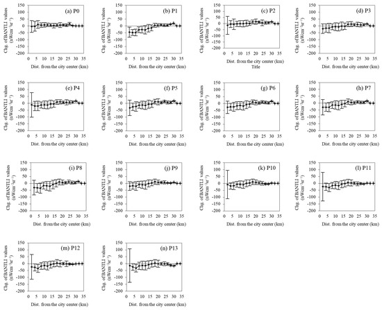
3.4. Change of BANTLI Radiances at the Concentric-Ring Level
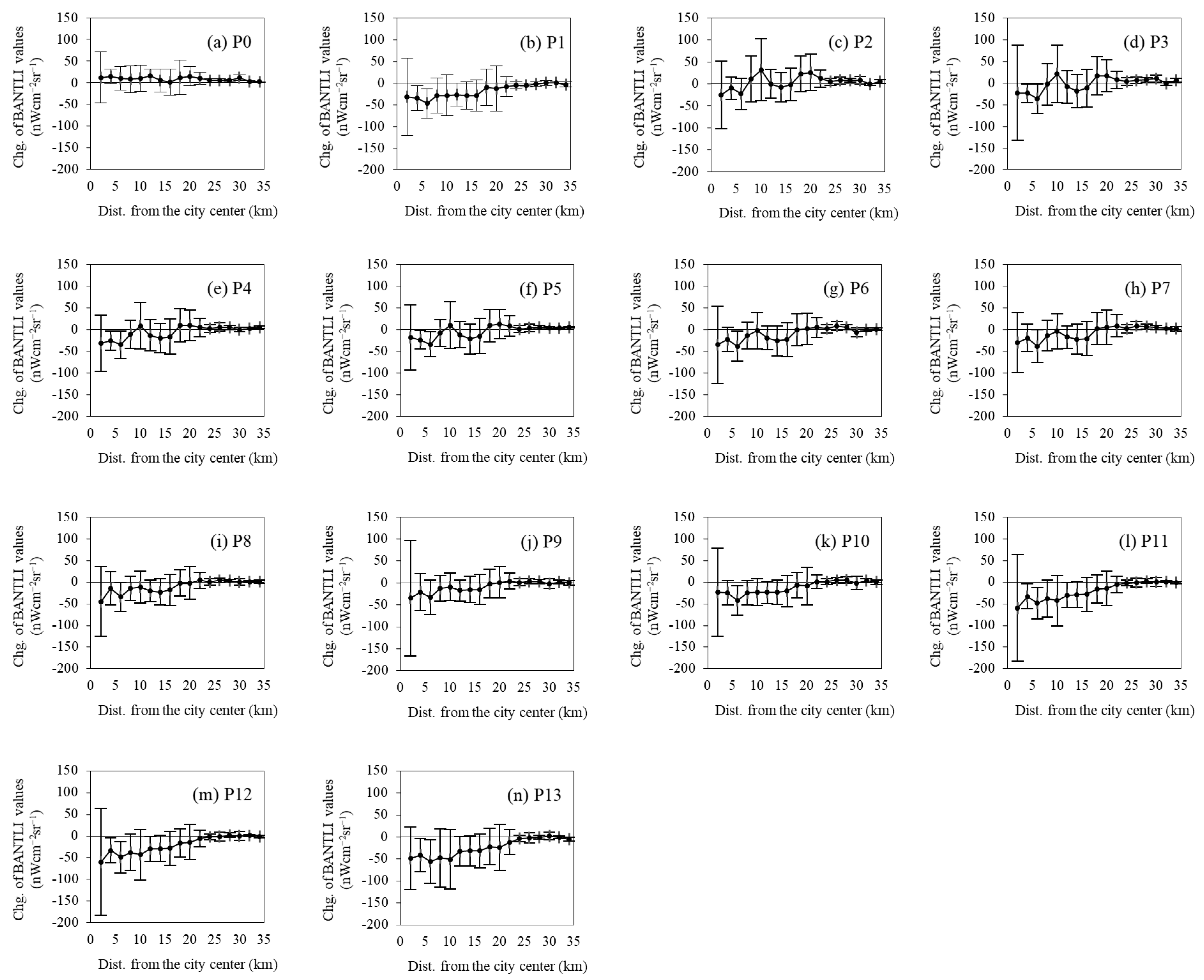
3.5. Change of BANTLI Radiances at the Pixel Level
4. Discussion
5. Conclusions
Author Contributions
Funding
Data Availability Statement
Acknowledgments
Conflicts of Interest
References
- Shao, Z.; Tang, Y.; Huang, X.; Li, D. Monitoring work resumption of Wuhan in the COVID-19 epidemic using daily nighttime light. Photogramm. Eng. Remote Sens. 2021, 87, 195–204. [Google Scholar] [CrossRef]
- World Bank. Global Economic Prospects, January 2022; World Bank: Washington, DC, USA, 2022. [Google Scholar]
- CCSA. How COVID-19 Is Changing the World: A Statistical Perspective; CCSA: Ottawa, ON, Canada, 2021; Volume III. [Google Scholar]
- Papazoglou, A.S.; Moysidis, D.V.; Tsagkaris, C.; Dorosh, M.; Karagiannidis, E.; Mazin, R. Spiritual health and the COVID-19 pandemic: Impacts on Orthodox Christianity devotion practices, rituals, and religious pilgrimages. J. Relig. Health 2021, 60, 3217–3229. [Google Scholar] [CrossRef]
- Mamdouh, M.N. Hajj & Umrah from A to Z; Dar Eshbelia: Riyadh, Saudi Arabia, 1996. [Google Scholar]
- Alaska, Y.A.; Aldawas, A.D.; Aljerian, N.A.; Memish, Z.A.; Suner, S. The impact of crowd control measures on the occurrence of stampedes during Mass Gatherings: The Hajj experience. Travel Med. Infect. Dis. 2017, 15, 67–70. [Google Scholar] [CrossRef]
- GAS. Hajj Statistics in 2020 and 2021. 2022. Available online: https://www.stats.gov.sa/ar/28 (accessed on 5 February 2022).
- Li, J.; Chu, B.; Chai, N.; Wu, B.; Shi, B.; Ou, F. Work Resumption Rate and Migrant Workers’ Income during the COVID-19 Pandemic. Front. Public Health 2021, 9, 678934. [Google Scholar] [CrossRef]
- Zhang, H.; Song, H.; Wen, L.; Liu, C. Forecasting tourism recovery amid COVID-19. Ann. Tour. Res. 2021, 87, 103149. [Google Scholar] [CrossRef]
- Xu, P.; Li, W.; Hu, X.; Wu, H.; Li, J. Spatiotemporal analysis of urban road congestion during and post COVID-19 pandemic in Shanghai, China. Transp. Res. Interdiscip. Perspect. 2022, 13, 100555. [Google Scholar] [CrossRef]
- Lan, T.; Shao, G.; Tang, L.; Xu, Z.; Zhu, W.; Liu, L. Quantifying spatiotemporal changes in human activities induced by COVID-19 pandemic using daily nighttime light data. IEEE J. Sel. Top. Appl. Earth Obs. Remote Sens. 2021, 14, 2740–2753. [Google Scholar] [CrossRef]
- Alahmadi, M.; Atkinson, P.M. Three-fold urban expansion in Saudi Arabia from 1992 to 2013 observed using calibrated DMSP-OLS night-time lights imagery. Remote Sens. 2019, 11, 2266. [Google Scholar] [CrossRef]
- Huang, Q.; Yang, X.; Gao, B.; Yang, Y.; Zhao, Y. Application of DMSP/OLS nighttime light images: A meta-analysis and a systematic literature review. Remote Sens. 2014, 6, 6844–6866. [Google Scholar] [CrossRef]
- Xiao, H.; Ma, Z.; Mi, Z.; Kelsey, J.; Zheng, J.; Yin, W.; Yan, M. Spatio-temporal simulation of energy consumption in China’s provinces based on satellite night-time light data. Appl. Energy 2018, 231, 1070–1078. [Google Scholar] [CrossRef]
- Yue, Y.; Tian, L.; Yue, Q.; Wang, Z. Spatiotemporal variations in energy consumption and their influencing factors in China based on the integration of the DMSP-OLS and NPP-VIIRS nighttime light datasets. Remote Sens. 2020, 12, 1151. [Google Scholar] [CrossRef]
- Wang, J.; Lu, F. Modeling the electricity consumption by combining land use types and landscape patterns with nighttime light imagery. Energy 2021, 234, 121305. [Google Scholar] [CrossRef]
- Dai, Z.; Hu, Y.; Zhao, G. The Suitability of Different Nighttime Light Data for GDP Estimation at Different Spatial Scales and Regional Levels. Sustainability 2017, 9, 305. [Google Scholar] [CrossRef]
- Chen, X.; Nordhaus, W.D. VIIRS Nighttime Lights in the Estimation of Cross-Sectional and Time-Series GDP. Remote Sens. 2019, 11, 1057. [Google Scholar] [CrossRef]
- Xiao, Q.-L.; Wang, Y.; Zhou, W.-X. Regional economic convergence in China: A comparative study of nighttime light and GDP. Front. Phys. 2021, 9, 89. [Google Scholar] [CrossRef]
- Su, Y.; Chen, X.; Wang, C.; Zhang, H.; Liao, J.; Ye, Y.; Wang, C. A new method for extracting built-up urban areas using DMSP-OLS nighttime stable lights: A case study in the Pearl River Delta, southern China. GISci. Remote Sens. 2015, 52, 218–238. [Google Scholar] [CrossRef]
- Hu, X.; Qian, Y.; Pickett, S.T.; Zhou, W. Urban mapping needs up-to-date approaches to provide diverse perspectives of current urbanization: A novel attempt to map urban areas with nighttime light data. Landsc. Urban Plan. 2020, 195, 103709. [Google Scholar] [CrossRef]
- Sun, W.; Zhang, X.; Wang, N.; Cen, Y. Estimating population density using DMSP-OLS night-time imagery and land cover data. IEEE J. Sel. Top. Appl. Earth Obs. Remote Sens. 2017, 10, 2674–2684. [Google Scholar] [CrossRef]
- Li, X.; Zhou, W. Dasymetric mapping of urban population in China based on radiance corrected DMSP-OLS nighttime light and land cover data. Sci. Total Environ. 2018, 643, 1248–1256. [Google Scholar] [CrossRef]
- Alahmadi, M.; Mansour, S.; Martin, D.; Atkinson, P. An improved index for urban population distribution mapping based on nighttime lights (DMSP-OLS) data: An experiment in Riyadh Province, Saudi Arabia. Remote Sens. 2021, 13, 1171. [Google Scholar] [CrossRef]
- Jiang, W.; He, G.; Long, T.; Wang, C.; Ni, Y.; Ma, R. Assessing Light Pollution in China Based on Nighttime Light Imagery. Remote Sens. 2017, 9, 135. [Google Scholar] [CrossRef]
- Liu, X.; Ou, J.; Wang, S.; Li, X.; Yan, Y.; Jiao, L.; Liu, Y. Estimating spatiotemporal variations of city-level energy-related CO2 emissions: An improved disaggregating model based on vegetation adjusted nighttime light data. J. Clean. Prod. 2018, 177, 101–114. [Google Scholar] [CrossRef]
- Zhao, J.; Ji, G.; Yue, Y.; Lai, Z.; Chen, Y.; Yang, D.; Yang, X.; Wang, Z. Spatio-temporal dynamics of urban residential CO2 emissions and their driving forces in China using the integrated two nighttime light datasets. Appl. Energy 2019, 235, 612–624. [Google Scholar] [CrossRef]
- Qiang, Y.; Huang, Q.; Xu, J. Observing community resilience from space: Using nighttime lights to model economic disturbance and recovery pattern in natural disaster. Sustain. Cities Soc. 2020, 57, 102115. [Google Scholar] [CrossRef]
- Liu, Z.; Zhang, J.; Li, X.; Chen, X. Long-Term Resilience Curve Analysis of Wenchuan Earthquake-Affected Counties Using DMSP-OLS Nighttime Light Images. IEEE J. Sel. Top. Appl. Earth Obs. Remote Sens. 2021, 14, 10854–10874. [Google Scholar] [CrossRef]
- Elvidge, C.D.; Ghosh, T.; Hsu, F.-C.; Zhizhin, M.; Bazilian, M. The dimming of lights in China during the COVID-19 pandemic. Remote Sens. 2020, 12, 2851. [Google Scholar] [CrossRef]
- Ghosh, T.; Elvidge, C.D.; Hsu, F.-C.; Zhizhin, M.; Bazilian, M. The dimming of lights in India during the COVID-19 pandemic. Remote Sens. 2020, 12, 3289. [Google Scholar] [CrossRef]
- Alahmadi, M.; Mansour, S.; Dasgupta, N.; Abulibdeh, A.; Atkinson, P.M.; Martin, D.J. Using Daily Nighttime Lights to Monitor Spatiotemporal Patterns of Human Lifestyle under COVID-19: The Case of Saudi Arabia. Remote Sens. 2021, 13, 4633. [Google Scholar] [CrossRef]
- Xu, G.; Xiu, T.; Li, X.; Liang, X.; Jiao, L. Lockdown induced night-time light dynamics during the COVID-19 epidemic in global megacities. Int. J. Appl. Earth Obs. Geoinf. 2021, 102, 102421. [Google Scholar] [CrossRef] [PubMed]
- Beyer, R.C.; Franco-Bedoya, S.; Galdo, V. Examining the economic impact of COVID-19 in India through daily electricity consumption and nighttime light intensity. World Dev. 2021, 140, 105287. [Google Scholar] [CrossRef] [PubMed]
- Yin, R.; He, G.; Jiang, W.; Peng, Y.; Zhang, Z.; Li, M.; Gong, C. Night-Time Light Imagery Reveals China’s City Activity during the COVID-19 Pandemic Period in Early 2020. IEEE J. Sel. Top. Appl. Earth Obs. Remote Sens. 2021, 14, 5111–5122. [Google Scholar] [CrossRef]
- Straka, W.; Kondragunta, S.; Wei, Z.; Zhang, H.; Miller, S.D.; Watts, A. Examining the Economic and Environmental Impacts of COVID-19 Using Earth Observation Data. Remote Sens. 2021, 13, 5. [Google Scholar] [CrossRef]
- Liu, Q.; Sha, D.; Liu, W.; Houser, P.; Zhang, L.; Hou, R.; Lan, H.; Flynn, C.; Lu, M.; Hu, T. Spatiotemporal patterns of COVID-19 impact on human activities and environment in mainland China using nighttime light and air quality data. Remote Sens. 2020, 12, 1576. [Google Scholar] [CrossRef]
- Roberts, M. Tracking economic activity in response to the COVID-19 crisis using nighttime lights–The case of Morocco. Dev. Eng. 2021, 6, 100067. [Google Scholar] [CrossRef] [PubMed]
- Tian, S.; Feng, R.; Zhao, J.; Wang, L. An Analysis of the Work Resumption in China under the COVID-19 Epidemic Based on Night Time Lights Data. ISPRS Int. J. Geo-Inf. 2021, 10, 614. [Google Scholar] [CrossRef]
- Wu, M.; Ye, H.; Niu, Z.; Huang, W.; Hao, P.; Li, W.; Yu, B. Operation Status Comparison Monitoring of China’s Southeast Asian Industrial Parks before and after COVID-19 Using Nighttime Lights Data. ISPRS Int. J. Geo-Inf. 2022, 11, 122. [Google Scholar] [CrossRef]
- Zhuo, L.; Zheng, J.; Zhang, X.; Li, J.; Liu, L. An improved method of night-time light saturation reduction based on EVI. Int. J. Remote Sens. 2015, 36, 4114–4130. [Google Scholar] [CrossRef]
- Sanchez de Miguel, A.; Kyba, C.; Zamorano, J.; Gallego, J.; Gaston, K.J. The nature of the diffuse light near cities detected in nighttime satellite imagery. Sci. Rep. 2020, 10, 7829. [Google Scholar] [CrossRef]
- GAS. Umrah Statistics in 2016 to 2021. 2022. Available online: https://www.stats.gov.sa/ar/862 (accessed on 5 February 2022).
- Román, M.O.; Wang, Z.; Sun, Q.; Kalb, V.; Miller, S.D.; Molthan, A.; Schultz, L.; Bell, J.; Stokes, E.C.; Pandey, B. NASA’s Black Marble nighttime lights product suite. Remote Sens. Environ. 2018, 210, 113–143. [Google Scholar] [CrossRef]
- Ekim, B.; Dong, Z.; Rashkovetsky, D.; Schmitt, M. The naturalness index for the identification of natural areas on regional scale. Int. J. Appl. Earth Obs. Geoinf. 2021, 105, 102622. [Google Scholar] [CrossRef]
- Liang, D.; Zuo, Y.; Huang, L.; Zhao, J.; Teng, L.; Yang, F. Evaluation of the consistency of MODIS Land Cover Product (MCD12Q1) based on Chinese 30 m GlobeLand30 datasets: A case study in Anhui Province, China. ISPRS Int. J. Geo-Inf. 2015, 4, 2519–2541. [Google Scholar] [CrossRef]
- Salama, D.S.; Yousif, M.; Gedamy, Y.; Ahmed, H.M.; Ali, M.E.; Shoukry, E.M. Satellite observations for monitoring atmospheric NO2 in correlation with the existing pollution sources under arid environment. Model. Earth Syst. Environ. 2022, 8, 4103–4121. [Google Scholar] [CrossRef]
- Tavus, B.; Kocaman, S.; Gokceoglu, C. Flood damage assessment with Sentinel-1 and Sentinel-2 data after Sardoba dam break with GLCM features and Random Forest method. Sci. Total Environ. 2022, 816, 151585. [Google Scholar] [CrossRef] [PubMed]
- ESA. WorldCover: Product User Manual (V1.1); ESA: Paris, France, 2021. [Google Scholar]
- Zhang, X.; Liu, L.; Zhao, T.; Gao, Y.; Chen, X.; Mi, J. GISD30: Global 30-m impervious surface dynamic dataset from 1985 to 2020 using time-series Landsat imagery on the Google Earth Engine platform. Earth Syst. Sci. Data Discuss. 2021, 14, 1831–1856. [Google Scholar] [CrossRef]
- Li, F.; Li, E.; Zhang, C.; Samat, A.; Liu, W.; Li, C.; Atkinson, P.M. Estimating artificial impervious surface percentage in Asia by fusing multi-temporal MODIS and VIIRS nighttime light data. Remote Sens. 2021, 13, 212. [Google Scholar] [CrossRef]
- Zhang, Q.; Schaaf, C.; Seto, K.C. The vegetation adjusted NTL urban index: A new approach to reduce saturation and increase variation in nighttime luminosity. Remote Sens. Environ. 2013, 129, 32–41. [Google Scholar] [CrossRef]
- Chen, X.; Jia, X.; Pickering, M. A nighttime lights adjusted impervious surface index (NAISI) with integration of Landsat imagery and nighttime lights data from International Space Station. Int. J. Appl. Earth Obs. Geoinf. 2019, 83, 101889. [Google Scholar] [CrossRef]
- Li, F.; Yan, Q.; Bian, Z.; Liu, B.; Wu, Z. A POI and LST adjusted NTL urban index for urban built-up area extraction. Sensors 2020, 20, 2918. [Google Scholar] [CrossRef]
- Li, G.; Li, L.; Lu, D.; Guo, W.; Kuang, W. Mapping impervious surface distribution in China using multi-source remotely sensed data. GISci. Remote Sens. 2020, 57, 543–552. [Google Scholar] [CrossRef]
- Liu, C.; Yang, K.; Bennett, M.M.; Guo, Z.; Cheng, L.; Li, M. Automated extraction of built-up areas by fusing VIIRS nighttime lights and Landsat-8 data. Remote Sens. 2019, 11, 1571. [Google Scholar] [CrossRef]
- Zheng, Y.; Tang, L.; Wang, H. An improved approach for monitoring urban built-up areas by combining NPP-VIIRS nighttime light, NDVI, NDWI, and NDBI. J. Clean. Prod. 2021, 328, 129488. [Google Scholar] [CrossRef]
- Baugh, K.; Hsu, F.-C.; Elvidge, C.D.; Zhizhin, M. Nighttime lights compositing using the VIIRS day-night band: Preliminary results. Proc. Asia-Pac. Adv. Netw. 2013, 35, 70–86. [Google Scholar] [CrossRef]
- Zhang, J. Multi-source remote sensing data fusion: Status and trends. Int. J. Image Data Fusion 2010, 1, 5–24. [Google Scholar] [CrossRef]
- Guérois, M.; Pumain, D. Built-up encroachment and the urban field: A comparison of forty European cities. Environ. Plan. A 2008, 40, 2186–2203. [Google Scholar] [CrossRef]
- Wu, S.; Sumari, N.S.; Dong, T.; Xu, G.; Liu, Y. Characterizing urban expansion combining concentric-ring and grid-based analysis for Latin American Cities. Land 2021, 10, 444. [Google Scholar] [CrossRef]
- Pradhan, R.P.; Bagchi, T.P. Effect of transportation infrastructure on economic growth in India: The VECM approach. Res. Transp. Econ. 2013, 38, 139–148. [Google Scholar] [CrossRef]
- Cigu, E.; Agheorghiesei, D.T.; Gavriluță, A.F.; Toader, E. Transport infrastructure development, public performance and long-run economic growth: A case study for the Eu-28 countries. Sustainability 2018, 11, 67. [Google Scholar] [CrossRef]
- Czerny, A.I.; Fu, X.; Lei, Z.; Oum, T.H. Post pandemic aviation market recovery: Experience and lessons from China. J. Air Transp. Manag. 2021, 90, 101971. [Google Scholar] [CrossRef]
- Qinawy, E. Analysis of the economic effects of religious tourism (Hajj and Umrah) on the Saudi economy during the period (1990–2017). J. Politics Econ. 2019, 3, 143–178. [Google Scholar]
- Elvidge, C.D.; Hsu, F.-C.; Zhizhin, M.; Ghosh, T.; Taneja, J.; Bazilian, M. Indicators of electric power instability from satellite observed nighttime lights. Remote Sens. 2020, 12, 3194. [Google Scholar] [CrossRef]
- Elvidge, C.D.; Zhizhin, M.; Keith, D.; Miller, S.D.; Hsu, F.C.; Ghosh, T.; Anderson, S.J.; Monrad, C.K.; Bazilian, M.; Taneja, J. The VIIRS Day/Night Band: A Flicker Meter in Space? Remote Sens. 2022, 14, 1316. [Google Scholar] [CrossRef]
- Elvidge, C.D.; Hsu, F.C.; Zhizhin, M.; Ghosh, T.; Sparks, T. Statistical moments of VIIRS night-time lights. Int. J. Remote Sens. 2023, 1–25. [Google Scholar] [CrossRef]
- Kyba, C.C.; Kuester, T.; Sánchez de Miguel, A.; Baugh, K.; Jechow, A.; Hölker, F.; Bennie, J.; Elvidge, C.D.; Gaston, K.J.; Guanter, L. Artificially lit surface of Earth at night increasing in radiance and extent. Sci. Adv. 2017, 3, e1701528. [Google Scholar] [CrossRef] [PubMed]
- Hung, L.-W.; Anderson, S.J.; Pipkin, A.; Fristrup, K. Changes in night sky brightness after a countywide LED retrofit. J. Environ. Manag. 2021, 292, 112776. [Google Scholar] [CrossRef] [PubMed]















| Period | Target Dates | Reference Dates | Restrictions |
|---|---|---|---|
| P0 pre-pandemic period | 10/10/2018 to 08/11/2018 (D0) | 01/11/2016 to 29/11/2016 (D0-2) | P0, a pre-pandemic period with no restrictions, was incorporated in the analysis for comparison with the pandemic and post-pandemic periods. |
| P1 pandemic period | 25/03/2020 to 23/04/2020 (D1) | 17/04/2018 to 15/05/2018 (D1-2) | This period was chosen to represent the pandemic period because the curfew and city lockdowns started at the beginning of this period. In addition, religious rituals were suspended throughout this period and continued till 3 October 2020. |
| P2 post-pandemic period | 04/10/2020 to 17/10/2020 (D2) | 26/10/2018 to 08/11/2018 (D2-2) | Permission to perform Umrah for citizens and residents inside Saudi Arabia, starting from 4 October 2020, at a rate of 30% of capacity (6000 pilgrims/day), subject to health protection measures at the Holy Mosque, and 40% (starting from 30 May 2020) of the total capacity subject to health protection measures at the Prophet’s Mosque. |
| P3 post-pandemic period | 18/10/2020 to 31/10/2020 (D3) | 09/11/2018 to 22/11/2018 (D3-2) | Permission to perform Umrah, Ziarah and prayers for citizens and residents inside Saudi Arabia, starting from 18 October 2020, at 75% of capacity (15,000 pilgrims/day and 40,000 worshipers/day), subject to health protection measures at the Holy Mosque, and 75% of the total capacity subject to health protection measures at the Prophet’s Mosque and Rawdah (garden inside the Prophet’s Mosque that is often crowded with worshipers). |
| P4 post-pandemic period | 01/11/2020 to 15/11/2020 (D4) | 23/11/2018 to 07/12/218 (D4-2) | Permission to perform Umrah, Ziarah and prayers for citizens and residents from inside and outside Saudi Arabia, from 1 November 2020, until the official announcement of the end of the COVID-19 pandemic, at 100% of capacity (20,000 pilgrims/day and 60,000 worshipers/day) subject to health protection measures. IRn addition, 100% of capacity (45,000 worshipers/day) subject to the health protection measures at the Prophet’s Mosque. The Saudi government reported that the arrival of pilgrims and visitors from the outside of Saudi Arabia would be gradual, and from countries where there are no health risks related to the COVID-19 virus. |
| P5 post-pandemic period | 16/11/2020 to 15/12/2020 (D5) | 08/12/2018 to 06/01/2019 (D5-2) | As P4 period. |
| P6 post-pandemic period | 16/12/2020 to 13/01/2021 (D6) | 07/01/2019 to 05/02/2019 (D6-2) | As P4 period. |
| P7 post-pandemic period | 14/01/2021 to 12/02/2021 (D7) | 06/02/2019 to 07/03/2019 (D7-2) | As P4 period. |
| P8 post-pandemic period | 13/02/2021 to 13/03/2021 (D8) | 08/03/2019 to 05/04/2019 (D8-2) | As P4 period. |
| P9 post-pandemic period | 14/03/2021 to 12/04/2021 (D9) | 06/04/2019 to 05/05/2019 (D9-2) | As P4 period. |
| P10 post-pandemic period | 13/04/2021 to 12/05/2021 (D10) | 06/05/2019 to 03/06/2019 (D10-2) | Increasing the capacity of the Holy Mosque to 50,000 pilgrims, and 100,000 daily. |
| P11 post-pandemic period | 13/05/2021 to 10/06/2021 (D11) | 04/06/2019 to 03/07/2019 (D11-2) | As P10 period. |
| P12 post-pandemic period | 11/06/2021 to 10/07/2021 (D12) | 04/07/2019 to 01/08/2019 (D12-2) | As P10 period. |
| P13 post-pandemic period | 11/07/2021 to 08/08/2021 (D13) | 02/08/2019 to 22/08/2019 (D13-2) | Restriction of the number pilgrims in Hajj ritual to 60,000 pilgrims. |
| Mask | Dates | Corrected Dates (Month) |
|---|---|---|
| M1 | 10/10/2018 to 08/11/2018 | D0 and D0-2. |
| M2 | 26/01/2020 to 24/02/2020 | D1 and D1-2. |
| M3 | 11/07/2021 to 08/08/2021 | D2 to D13 and D2-2 to D13-2. |
Disclaimer/Publisher’s Note: The statements, opinions and data contained in all publications are solely those of the individual author(s) and contributor(s) and not of MDPI and/or the editor(s). MDPI and/or the editor(s) disclaim responsibility for any injury to people or property resulting from any ideas, methods, instructions or products referred to in the content. |
© 2023 by the authors. Licensee MDPI, Basel, Switzerland. This article is an open access article distributed under the terms and conditions of the Creative Commons Attribution (CC BY) license (https://creativecommons.org/licenses/by/4.0/).
Share and Cite
Alahmadi, M.; Mansour, S.; Dasgupta, N.; Martin, D.J. Using Nighttime Lights Data to Assess the Resumption of Religious and Socioeconomic Activities Post-COVID-19. Remote Sens. 2023, 15, 1064. https://doi.org/10.3390/rs15041064
Alahmadi M, Mansour S, Dasgupta N, Martin DJ. Using Nighttime Lights Data to Assess the Resumption of Religious and Socioeconomic Activities Post-COVID-19. Remote Sensing. 2023; 15(4):1064. https://doi.org/10.3390/rs15041064
Chicago/Turabian StyleAlahmadi, Mohammed, Shawky Mansour, Nataraj Dasgupta, and David J. Martin. 2023. "Using Nighttime Lights Data to Assess the Resumption of Religious and Socioeconomic Activities Post-COVID-19" Remote Sensing 15, no. 4: 1064. https://doi.org/10.3390/rs15041064
APA StyleAlahmadi, M., Mansour, S., Dasgupta, N., & Martin, D. J. (2023). Using Nighttime Lights Data to Assess the Resumption of Religious and Socioeconomic Activities Post-COVID-19. Remote Sensing, 15(4), 1064. https://doi.org/10.3390/rs15041064

