Mapping Lantana camara and Leucaena leucocephala in Protected Areas of Pakistan: A Geo-Spatial Approach
Abstract
1. Introduction
2. Materials and Methods
2.1. Site Description
2.2. Selection of Target Species
2.3. Field Data Collection
2.4. Satellite Data Acquisition
2.4.1. Sentinel-2
2.4.2. PlanetScope
2.5. Data Processing
2.5.1. Field Data Processing
2.5.2. Satellite Data Processing
2.6. Species Distribution Mapping
2.6.1. Machine Learning Algorithms
2.6.2. Dzetsaka Plugin in QGIS
2.7. Accuracy Assessment
2.8. Cover Percentages of Classes
2.9. Distribution Map
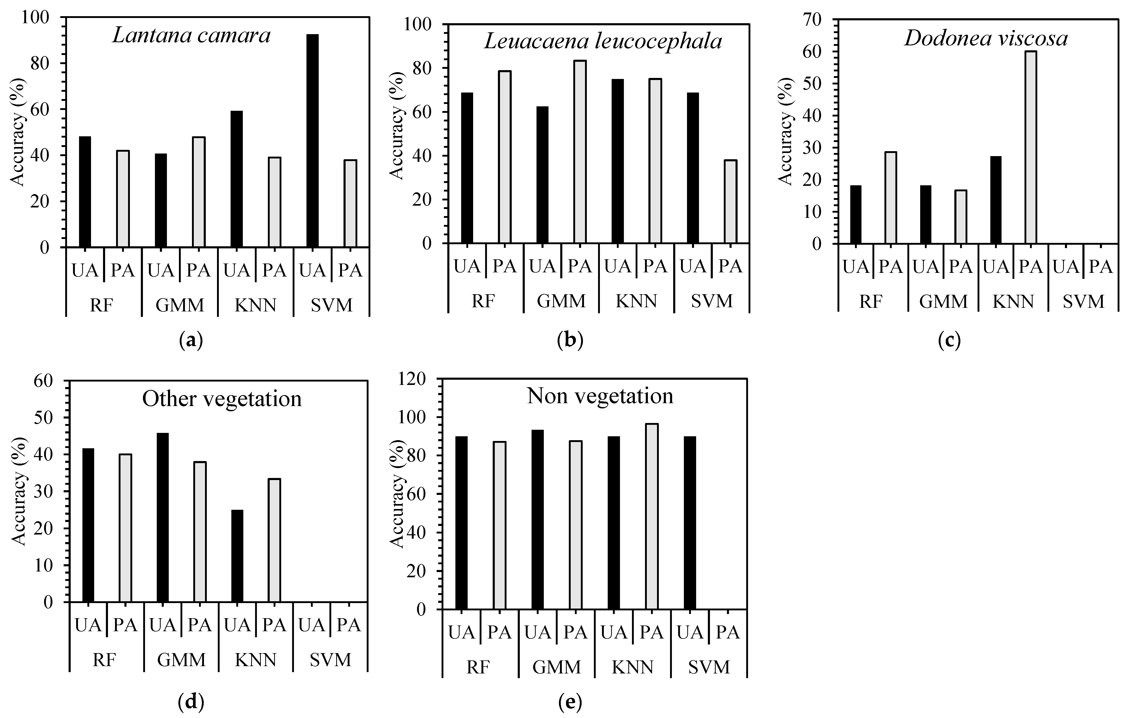
3. Results
3.1. Classification with PlanetScope Satellite (3 m)
3.2. Classification with Sentinel-2 Satellite (10 m)
3.3. Comparison between PlanetScope and Sentinel-2
4. Discussion
5. Conclusions
Supplementary Materials
Author Contributions
Funding
Data Availability Statement
Acknowledgments
Conflicts of Interest
Appendix A
| PlanetScope (3 m) | ||||||||
|---|---|---|---|---|---|---|---|---|
| Plant species | RF | GMM | KNN | SVM | ||||
| Area (ha) | Cover (%) | Area (ha) | Cover (%) | Area (ha) | Cover (%) | Area (ha) | Cover (%) | |
| Lantana camara | 1633 | 24 | 1698 | 25 | 1773 | 26 | 1127 | 17 |
| Leuacaena leucocephala | 447 | 7 | 417 | 6 | 427 | 6 | 319 | 5 |
| Dodonaea viscosa | 494 | 7 | 549 | 8 | 533 | 8 | 313 | 5 |
| Other vegetation | 1656 | 24 | 2031 | 30 | 2420 | 35 | 2816 | 41 |
| Non-vegetation | 2595 | 38 | 2130 | 31 | 1672 | 24 | 2250 | 33 |
| Sentinel (10 m) | ||||||||
| Plant species | RF | GMM | KNN | SVM | ||||
| Area (ha) | Cover (%) | Area (ha) | Cover (%) | Area (ha) | Cover (%) | Area (ha) | Cover (%) | |
| Lantana camara | 2063 | 30 | 2310 | 34 | 2954 | 43 | 4760 | 70 |
| Leuacaena leucocephala | 367 | 5 | 203 | 3 | 258 | 4 | 144 | 2 |
| Dodonaea viscosa | 550 | 8 | 530 | 8 | 428 | 6 | 0 | 0 |
| Other vegetation | 2026 | 30 | 1441 | 21 | 1418 | 21 | 0 | 0 |
| Non-vegetation | 1820 | 27 | 2345 | 34 | 1770 | 26 | 1924 | 28 |
References
- Blackburn, T.M.; Essl, F.; Evans, T.; Hulme, P.E.; Jeschke, J.M.; Kühn, I.; Kumschick, S.; Marková, Z.; Mrugała, A.; Nentwig, W.; et al. A Unified Classification of Alien Species Based on the Magnitude of Their Environmental Impacts. PLoS Biol. 2014, 12, e1001850. [Google Scholar] [CrossRef] [PubMed]
- Pardo-Primoy, D.; Fagúndez, J. Assessment of the Distribution and Recent Spread of the Invasive Grass Cortaderia Selloana in Industrial Sites in Galicia, NW Spain. Flora 2019, 259, 151465. [Google Scholar] [CrossRef]
- Vilà, M.; Espinar, J.L.; Hejda, M.; Hulme, P.E.; Jarošík, V.; Maron, J.L.; Pergl, J.; Schaffner, U.; Sun, Y.; Pyšek, P. Ecological Impacts of Invasive Alien Plants: A Meta-Analysis of Their Effects on Species, Communities and Ecosystems. Ecol. Lett. 2011, 14, 702–708. [Google Scholar] [CrossRef]
- Matongera, T.N.; Mutanga, O.; Dube, T.; Sibanda, M. Detection and Mapping the Spatial Distribution of Bracken Fern Weeds Using the Landsat 8 OLI New Generation Sensor. Int. J. Appl. Earth Obs. Geoinf. 2017, 57, 93–103. [Google Scholar] [CrossRef]
- Carlier, J.; Davis, E.; Ruas, S.; Byrne, D.; Caffrey, J.M.; Coughlan, N.E.; Dick, J.T.; Lucy, F.E. Using open-source software and digital imagery to efficiently and objectively quantify cover density of an invasive alien plant species. J. Environ. Manag. 2020, 266, 110519. [Google Scholar] [CrossRef]
- Dick, J.T.A.; Alexander, M.E.; Ricciardi, A.; Laverty, C.; Downey, P.O.; Xu, M.; Jeschke, J.M.; Saul, W.C.; Hill, M.P.; Wasserman, R.; et al. Functional Responses Can Unify Invasion Ecology. Biol. Invasions 2017, 19, 1667–1672. [Google Scholar] [CrossRef]
- Caffrey, J.M.; Baars, J.R.; Barbour, J.H.; Boets, P.; Boon, P.; Davenport, K.; Dick, J.T.A.; Early, J.; Edsman, L.; Gallagher, C.; et al. Tackling Invasive Alien Species in Europe: The Top 20 Issues. Manag. Biol. Invasions 2014, 5, 1–20. [Google Scholar] [CrossRef]
- Wang, R.; Gamon, J.A. Remote Sensing of Terrestrial Plant Biodiversity. Remote Sens. Environ. 2019, 231, 111218. [Google Scholar] [CrossRef]
- Juanes, F. Visual and Acoustic Sensors for Early Detection of Biological Invasions: Current Uses and Future Potential. J. Nat. Conserv. 2018, 42, 7–11. [Google Scholar] [CrossRef]
- Müllerová, J.; Brůna, J.; Bartaloš, T.; Dvořák, P.; Vítková, M.; Pyšek, P. Timing Is Important: Unmanned Aircraft vs. Satellite Imagery in Plant Invasion Monitoring. Front. Plant Sci. 2017, 8, 887. [Google Scholar] [CrossRef]
- Bazzichetto, M.; Malavasi, M.; Bartak, V.; Acosta, A.T.R.; Rocchini, D.; Carranza, M.L. Plant Invasion Risk: A Quest for Invasive Species Distribution Modelling in Managing Protected Areas. Ecol. Indic. 2018, 95, 311–319. [Google Scholar] [CrossRef]
- Martinez, B.; Reaser, J.K.; Dehgan, A.; Zamft, B.; Baisch, D.; McCormick, C.; Giordano, A.J.; Aicher, R.; Selbe, S. Technology Innovation: Advancing Capacities for the Early Detection of and Rapid Response to Invasive Species. Biol. Invasions 2019, 22, 75–100. [Google Scholar] [CrossRef]
- Huang, C.; Asner, G.P. Applications of Remote Sensing to Alien Invasive Plant Studies. Sensors 2009, 9, 4869–4889. [Google Scholar] [CrossRef] [PubMed]
- Ismail, R.; Mutanga, O.; Peerbhay, K. The Identification and Remote Detection of Alien Invasive Plants in Commercial Forests: An Overview. S. Afr. J. Geomat. 2016, 5, 49–67. [Google Scholar] [CrossRef]
- Xie, Y.; Sha, Z.; Yu, M. Remote Sensing Imagery in Vegetation Mapping: A Review. J. Plant Ecol. 2008, 1, 9–23. [Google Scholar] [CrossRef]
- Oumar, Z. Assessing the Utility of the Spot 6 Sensor in Detecting and Mapping Lantana camara for a Community Clearing Project in KwaZulu-Natal, South Africa. S. Afr. J. Geomat. 2016, 5, 214–226. [Google Scholar] [CrossRef]
- Iqbal, I.M.; Balzter, H.; Firdaus-e-Bareen; Shabbir, A. Identifying the Spectral Signatures of Invasive and Native Plant Species in Two Protected Areas of Pakistan through Field Spectroscopy. Remote Sens. 2021, 13, 4009. [Google Scholar] [CrossRef]
- Transon, J.; d’Andrimont, R.; Maugnard, A.; Defourny, P. Survey of Hyperspectral Earth Observation Applications from Space in the Sentinel-2 Context. Remote Sens. 2018, 10, 157. [Google Scholar] [CrossRef]
- Martin, F.M.; Müllerová, J.; Borgniet, L.; Dommanget, F.; Breton, V.; Evette, A. Using Single- and Multi-Date UAV and Satellite Imagery to Accurately Monitor Invasive Knotweed Species. Remote Sens. 2018, 10, 1662. [Google Scholar] [CrossRef]
- Kopeć, D.; Sabat-Tomala, A.; Michalska-Hejduk, D.; Jarocińska, A.; Niedzielko, J. Application of Airborne Hyperspectral Data for Mapping of Invasive Alien Spiraea tomentosa L.: A Serious Threat to Peat Bog Plant Communities. Wetl. Ecol. Manag. 2020, 28, 357–373. [Google Scholar] [CrossRef]
- Skowronek, S.; Ewald, M.; Isermann, M.; van de Kerchove, R.; Lenoir, J.; Aerts, R.; Warrie, J.; Hattab, T.; Honnay, O.; Schmidtlein, S.; et al. Mapping an Invasive Bryophyte Species Using Hyperspectral Remote Sensing Data. Biol. Invasions 2017, 19, 239–254. [Google Scholar] [CrossRef]
- Chen, Y.; Guerschman, J.P.; Cheng, Z.; Guo, L. Remote Sensing for Vegetation Monitoring in Carbon Capture Storage Regions: A Review. Appl. Energy 2019, 240, 312–326. [Google Scholar] [CrossRef]
- Al-Doski, J.; Mansorl, S.B.; Shafri, H.Z.M. Image Classification in Remote Sensing; University Putra: Serdang, Malaysia, 2013. [Google Scholar]
- Breiman, L. Random Forests. Mach. Learn. 2001, 45, 5–32. [Google Scholar] [CrossRef]
- Dube, T.; Shoko, C.; Sibanda, M.; Madileng, P.; Maluleke, X.G.; Mokwatedi, V.R.; Tibane, L.; Tshebesebe, T. Remote Sensing of Invasive Lantana camara (Verbenaceae) in Semiarid Savanna Rangeland Ecosystems of South Africa. Rangel. Ecol. Manag. 2020, 73, 411–419. [Google Scholar] [CrossRef]
- Rajah, P.; Odindi, J.; Mutanga, O.; Kiala, Z. The Utility of Sentinel-2 Vegetation Indices (VIs) and Sentinel-1 Synthetic Aperture Radar (SAR) for Invasive Alien Species Detection and Mapping. Nat. Conserv. 2019, 35, 41–61. [Google Scholar] [CrossRef]
- Gong, Z.; Zhang, C.; Zhang, L.; Bai, J.; Zhou, D. Assessing Spatiotemporal Characteristics of Native and Invasive Species with Multi-Temporal Remote Sensing Images in the Yellow River Delta, China. Land Degrad. Dev. 2021, 32, 1338–1352. [Google Scholar] [CrossRef]
- Labonté, J.; Drolet, G.; Sylvain, J.D.; Thiffault, N.; Hébert, F.; Girard, F. Phenology-Based Mapping of an Alien Invasive Species Using Time Series of Multispectral Satellite Data: A Case-Study with Glossy Buckthorn in Québec, Canada. Remote Sens. 2020, 12, 922. [Google Scholar] [CrossRef]
- Karasiak, N. Dzetsaka: Classification Plugin for Qgis. Available online: https://github.com/nkarasiak/dzetsaka (accessed on 3 August 2022).
- Potić, I.; Potić, M. Remote sensing machine learning algorithms in environmental stress detection—Case study of pan-european south section of corridor 10 in serbia. Bull. Nat. Sci. Res. 2017, 7, 41–46. [Google Scholar] [CrossRef]
- Karasiak, N.; Perbet, P. Remote Sensing of Distinctive Vegetation in Guiana Amazonian Park. QGIS Appl. Agric. For. 2018, 2, 215–245. [Google Scholar] [CrossRef]
- Phorn, N.; Lu, J.; Petchprayoon, P. Mangrove Forests Changes and Responses to Sea Level Rise Based on Remote Sensing and GIS in PKWS, Cambodia. Intercont. Geoinf. Days 2021, 2, 147–150. [Google Scholar]
- Arantes, J.G. Avaliação da Invasão de Hedychium Coronarium J. König (Zingiberaceae) em Florestas Ripárias Usando Algoritmos de Aprendizagem de Máquina e Imagens de Veículo Aéreo Não Tripulado (VANT). Ph.D. Thesis, Universidade Federal de São Carlos, São Carlos, Brazil, 2020. [Google Scholar]
- Bano, S.; Afsar, S. Monitoring the plant species through geo-informatics: A case study of karachi university campus, karachi. Int. J. Biol. Biotech. 2014, 11, 273–285. [Google Scholar]
- Shahzad, A.; Jamil Hasan Kazmi, S.; Shahid Shaukat, S.; bin Farhan, S. Survey of Hyperspectral Earth Observation Applications from Space in the Sentinel-2 Context. Int. J. Biol. Biotech. 2017, 14, 479–484. [Google Scholar]
- Kazmi, J.H.; Haase, D.; Shahzad, A.; Shaikh, S.; Zaidi, S.M.; Qureshi, S. Mapping Spatial Distribution of Invasive Alien Species through Satellite Remote Sensing in Karachi, Pakistan: An Urban Ecological Perspective. Int. J. Environ. Sci. Technol. 2022, 19, 3637–3654. [Google Scholar] [CrossRef]
- Huchinson, D. When Astronomers Meet Ecologists: How Remote Sensing Can Tackle Parthenium in Pakistan. Available online: https://blog.invasive-species.org/2018/10/12/when-astronomers-meet-ecologists-how-remote-sensing-can-tackle-parthenium-in-pakistan/ (accessed on 10 January 2022).
- Saad, M.; Anwar, M.; Waseem, M.; Salim, M. Distribution Range and Population Status of Indian Grey Wolf (Canis lupus Pallipes) and Asiatic Jackal (Canis aureus) in Lehri Nature Park, District Jhelum, Pakistan. Pak. J. Anim. Plant Sci. 2015, 25, 433–440. [Google Scholar]
- Nawaz, T.; Hameed, M.; Ahmad, F.; Sajid Aqeel Ahmad, M.; Hussain, M.; Ahmad, I.; Younis, A. Khawaja Shafique Ahmad Diversity and Conservation Status of Economically Important Flora of the Salt Range, Pakistan. Pak. J. Bot. 2012, 44, 203–211. [Google Scholar]
- Iqbal, I.M.; Bareen, F.; Shabbir, A. Plant Invasions and Their Impacts on Some Protected Areas of Pakistan. In Proceedings of the Research and Development Congress on Invasive Alien Species (IAS) in the Asia-Pacific, Manila, Phillipines, 8 July 2019; pp. 10–12. [Google Scholar]
- Ng, W.T.; Rima, P.; Einzmann, K.; Immitzer, M.; Atzberger, C.; Eckert, S. Assessing the Potential of Sentinel-2 and Pléiades Data for the Detection of Prosopis and Vachellia Spp. in Kenya. Remote Sens. 2017, 9, 74. [Google Scholar] [CrossRef]
- Wessel, M.; Brandmeier, M.; Tiede, D. Evaluation of Different Machine Learning Algorithms for Scalable Classification of Tree Types and Tree Species Based on Sentinel-2 Data. Remote Sens. 2018, 10, 1419. [Google Scholar] [CrossRef]
- Obregón, M.Á.; Rodrigues, G.; Costa, M.J.; Potes, M.; Silva, A.M. Validation of ESA Sentinel-2 L2A Aerosol Optical Thickness and Columnar Water Vapour during 2017–2018. Remote Sens. 2019, 11, 1649. [Google Scholar] [CrossRef]
- Marta, S. Planet Planet Imagery Product Specification. Available online: https://assets.planet.com/docs/Combined-Imagery-Product-Spec-Dec-2018.pdf. (accessed on 11 February 2023).
- dos Reis, A.A.; Silva, B.C.; Werner, J.P.S.; Silva, Y.F.; Rocha, J.v.; Figueiredo, G.K.D.A.; Antunes, J.F.G.; Esquerdo, J.C.D.M.; Coutinho, A.C.; Lamparelli, R.A.C.; et al. Exploring the potential of high-resolution planetscope imagery for pasture biomass estimation in an integrated crop-livestock system. In Proceedings of the 2020 IEEE Latin American GRSS & ISPRS Remote Sensing Conference (LAGIRS), Santiago, Chile, 22–26 March 2020. [Google Scholar] [CrossRef]
- Hang, N.T.T.; Thai Hoa, N.; Phuoc, T.; Son, H.; Nguyen-Ngoc, L. Vegetation Biomass of Sargassum Meadows in An Chan Coastal Waters, Phu Yen Province, Vietnam Derived from PlanetScope Image. J. Environ. Sci. Eng. B 2019, 8, 81–92. [Google Scholar] [CrossRef]
- Ghosh, A.; Sharma, R.; Joshi, P.K. Random Forest Classification of Urban Landscape Using Landsat Archive and Ancillary Data: Combining Seasonal Maps with Decision Level Fusion. Appl. Geogr. 2014, 48, 31–41. [Google Scholar] [CrossRef]
- Pal, M. Random Forest Classifier for Remote Sensing Classification. Int. J. Remote Sens. 2007, 26, 217–222. [Google Scholar] [CrossRef]
- Cortes, C.; Vapnik, V. Support-Vector Networks. Mach. Learn. 1995, 20, 273–297. [Google Scholar] [CrossRef]
- Mountrakis, G.; Im, J.; Ogole, C. Support Vector Machines in Remote Sensing: A Review. ISPRS J. Photogramm. Remote Sens. 2011, 66, 247–259. [Google Scholar] [CrossRef]
- Pedregosa Fabianpedregosa, F.; Michel, V.; Grisel Oliviergrisel, O.; Blondel, M.; Prettenhofer, P.; Weiss, R.; Vanderplas, J.; Cournapeau, D.; Pedregosa, F.; Varoquaux, G.; et al. Scikit-Learn: Machine Learning in Python. J. Mach. Learn. Res. 2011, 12, 2825–2830. [Google Scholar]
- Support Vector Machines—Scikit-Learn 1.2.0 Documentation. Available online: https://scikit-learn.org/stable/modules/svm.html#svm-mathematical-formulation (accessed on 17 January 2023).
- Reynolds, D. Gaussian Mixture Models. Encycl. Biom. 2009, 741, 659–663. [Google Scholar]
- Jordan, M.I.; Mitchell, T.M. Machine Learning: Trends, Perspectives, and Prospects. Science 2015, 349, 255–260. [Google Scholar] [CrossRef]
- Mudereri, B.T.; Dube, T.; Adel-Rahman, E.M.; Niassy, S.; Kimathi, E.; Khan, Z.; Landmann, T. A Comparative Analysis of PlanetScope and Sentinel-2 Space-Borne Sensors in Mapping Striga Weed Using Guided Regularised Random Forest Classification. Int. Arch. Photogramm. Remote Sens. Spat. Inf. Sci. 2019, 42, 701–708. [Google Scholar] [CrossRef]
- Royimani, L.; Mutanga, O.; Odindi, J.; Dube, T.; Matongera, T.N. Advancements in Satellite Remote Sensing for Mapping and Monitoring of Alien Invasive Plant Species (AIPs). Phys. Chem. Earth Parts A/B/C 2019, 112, 237–245. [Google Scholar] [CrossRef]
- Gil, A.; Yu, Q.; Abadi, M.; Árvore, H.C. Using ASTER Multispectral Imagery for Mapping Woody Invasive Species in Pico Da Vara Natural Reserve (Azores Islands, Portugal). SciELO Brasil. 2014, 38, 391–401. [Google Scholar] [CrossRef]
- Müllerová, J.; Pergl, J.; Pyšek, P. Remote Sensing as a Tool for Monitoring Plant Invasions: Testing the Effects of Data Resolution and Image Classification Approach on the Detection of a Model Plant Species Heracleum Mantegazzianum (Giant Hogweed). Int. J. Appl. Earth Obs. Geoinf. 2013, 25, 55–65. [Google Scholar] [CrossRef]
- Cash, J.S.; Anderson, C.J.; Marzen, L. Evaluating Free and Simple Remote Sensing Methods for Mapping Chinese Privet (Ligustrum sinense) Invasions in Hardwood Forests. SN Appl. Sci. 2020, 2, 789. [Google Scholar] [CrossRef]
- Cornejo-Denman, L.; Romo-Leon, J.R.; Hartfield, K.; van Leeuwen, W.J.D.; Ponce-Campos, G.E.; Castellanos-Villegas, A. Landscape Dynamics in an Iconic Watershed of Northwestern Mexico: Vegetation Condition Insights Using Landsat and PlanetScope Data. Remote Sens. 2020, 12, 2519. [Google Scholar] [CrossRef]
- Sabat-Tomala, A.; Raczko, E.; Zagajewski, B. Comparison of Support Vector Machine and Random Forest Algorithms for Invasive and Expansive Species Classification Using Airborne Hyperspectral Data. Remote Sens. 2020, 12, 516. [Google Scholar] [CrossRef]
- Baron, J.; Hill, D.J.; Elmiligi, H. Combining Image Processing and Machine Learning to Identify Invasive Plants in High-Resolution Images. Int. J. Remote Sens. 2018, 39, 5099–5118. [Google Scholar] [CrossRef]
- Sejati, A.W.; Buchori, I.; Kurniawati, S.; Brana, Y.C.; Fariha, T.I. Quantifying the Impact of Industrialization on Blue Carbon Storage in the Coastal Area of Metropolitan Semarang, Indonesia. Appl. Geogr. 2020, 124, 102319. [Google Scholar] [CrossRef]
- Akar, Ö.; Güngör, O. Determination and Analysis of The Agricultural Crops in East Blacksea Region Using Remote Sensing Techonologies. J. Geod. Geoinf. 2012, 1, 105–112. [Google Scholar] [CrossRef]
- Corcoran, J.; Knight, J.; Sensing, A.G.-R. Influence of multi-source and multi-temporal remotely sensed and ancillary data on the accuracy of random forest classification of wetlands in Northern Minnesota. Remote Sens. 2013, 5, 3212–3238. [Google Scholar] [CrossRef]
- Ndlovu, H.S.; Sibanda, M.; Odindi, J.; Buthelezi, S.; Mutanga, O. Detecting and Mapping the Spatial Distribution of Chromoleana Odorata Invasions in Communal Areas of South Africa Using Sentinel-2 Multispectral Remotely Sensed Data. Phys. Chem. Earth Parts A/B/C 2022, 126, 103081. [Google Scholar] [CrossRef]
- Mattivi, P.; Pappalardo, S.E.; Nikolić, N.; Mandolesi, L.; Persichetti, A.; de Marchi, M.; Masin, R. Can Commercial Low-Cost Drones and Open-Source GIS Technologies Be Suitable for Semi-Automatic Weed Mapping for Smart Farming? A Case Study in NE Italy. Remote Sens. 2021, 13, 1869. [Google Scholar] [CrossRef]
- Rashid, K.J.; Hoque, M.A.; Esha, T.A.; Rahman, M.A.; Paul, A. Spatiotemporal Changes of Vegetation and Land Surface Temperature in the Refugee Camps and Its Surrounding Areas of Bangladesh after the Rohingya Influx from Myanmar. Environ. Dev. Sustain. 2021, 23, 3562–3577. [Google Scholar] [CrossRef]
- Fitz, P.R.; Vieira, J.C.; Soares, M.C. The Use of Sampling Polygons in Supervised Classifications of Satellite Images. Rev. Entre-Lugar 2019, 10, 319–341. [Google Scholar] [CrossRef]
- Ngubane, Z.; Odindi, J.; Mutanga, O.; Slotow, R. Assessment of the Contribution of WorldView-2 Strategically Positioned Bands in Bracken Fern (Pteridium Aquilinum (L.) Kuhn) Mapping. S. Afr. J. Geomat. 2014, 3, 210–223. [Google Scholar] [CrossRef]
- Traganos, D.; Reinartz, P. Mapping Mediterranean Seagrasses with Sentinel-2 Imagery. Mar. Pollut. Bull. 2018, 134, 197–209. [Google Scholar] [CrossRef] [PubMed]
- Karasiak, N.; Dejoux, J.F.; Fauvel, M.; Willm, J.; Monteil, C.; Sheeren, D. Statistical Stability and Spatial Instability in Mapping Forest Tree Species by Comparing 9 Years of Satellite Image Time Series. Remote Sens. 2019, 11, 2512. [Google Scholar] [CrossRef]
- Congalton, R.G.; Green, K. Assessing the Accuracy of Remotely Sensed Data: Principles and Practices, 3rd ed.; CRC Press: Boca Raton, FL, USA, 2019; pp. 1–319. [Google Scholar] [CrossRef]









| Bands | Central Wavelength (nm) | Resolution (m) |
|---|---|---|
| Band 2—Blue | 490 | 10 |
| Band 3—Green | 560 | 10 |
| Band 4—Red | 665 | 10 |
| Band 5—Vegetation red edge | 705 | 20 |
| Band 6—Vegetation red edge | 740 | 20 |
| Band 7—Vegetation red edge | 783 | 20 |
| Band 8—NIR | 842 | 10 |
| Band 8A—Narrow NIR | 865 | 20 |
| Band 11—SWIR | 1610 | 20 |
| Band 12—SWIR | 2190 | 20 |
| Tile No | Acquisition Date | Sensor | Cloud Cover | Spatial Resolution |
|---|---|---|---|---|
| S2B_MSIL2A_20191008T054719_N0213_R048_T43SCS_20191008T095930 | 8 October 2019 | Sentinel-2 | 0.08% | 10 m |
| 20191009_052515_100c_3B | 9 October 2019 | PlanetScope | 0% | 3 m |
| 20191009_052516_100c_3B | 9 October 2019 | PlanetScope | 0% | 3 m |
| 20191009_052517_100c_3B | 9 October 2019 | PlanetScope | 0% | 3 m |
| 20191009_052518_100c_3B | 9 October 2019 | PlanetScope | 0% | 3 m |
| ML Algorithms | Overall Accuracy (%) | Kappa |
|---|---|---|
| Random forest (RF) | 64 | 0.53 |
| Gaussian mixture model (GMM) | 63 | 0.53 |
| K-Nearest neighbor (KNN | 57 | 0.44 |
| Support vector machine (SVM) | 58 | 0.45 |
| ML Algorithms | Overall Accuracy (%) | Kappa |
|---|---|---|
| Random forest (RF) | 58 | 0.46 |
| Gaussian mixture model (GMM) | 57 | 0.43 |
| K-Nearest neighbor (KNN) | 59 | 0.47 |
| Support vector machine (SVM) | 55 | 0.42 |
Disclaimer/Publisher’s Note: The statements, opinions and data contained in all publications are solely those of the individual author(s) and contributor(s) and not of MDPI and/or the editor(s). MDPI and/or the editor(s) disclaim responsibility for any injury to people or property resulting from any ideas, methods, instructions or products referred to in the content. |
© 2023 by the authors. Licensee MDPI, Basel, Switzerland. This article is an open access article distributed under the terms and conditions of the Creative Commons Attribution (CC BY) license (https://creativecommons.org/licenses/by/4.0/).
Share and Cite
Iqbal, I.M.; Balzter, H.; Firdaus-e-Bareen; Shabbir, A. Mapping Lantana camara and Leucaena leucocephala in Protected Areas of Pakistan: A Geo-Spatial Approach. Remote Sens. 2023, 15, 1020. https://doi.org/10.3390/rs15041020
Iqbal IM, Balzter H, Firdaus-e-Bareen, Shabbir A. Mapping Lantana camara and Leucaena leucocephala in Protected Areas of Pakistan: A Geo-Spatial Approach. Remote Sensing. 2023; 15(4):1020. https://doi.org/10.3390/rs15041020
Chicago/Turabian StyleIqbal, Iram M., Heiko Balzter, Firdaus-e-Bareen, and Asad Shabbir. 2023. "Mapping Lantana camara and Leucaena leucocephala in Protected Areas of Pakistan: A Geo-Spatial Approach" Remote Sensing 15, no. 4: 1020. https://doi.org/10.3390/rs15041020
APA StyleIqbal, I. M., Balzter, H., Firdaus-e-Bareen, & Shabbir, A. (2023). Mapping Lantana camara and Leucaena leucocephala in Protected Areas of Pakistan: A Geo-Spatial Approach. Remote Sensing, 15(4), 1020. https://doi.org/10.3390/rs15041020

