Inversion of the Lunar Subsurface Rock Abundance Using CE-2 Microwave Brightness Temperature Data
Abstract
:1. Introduction
2. Data Sets
3. Models
3.1. Heat Conduction Model
3.2. Physical Parameters of the Mixed Layer
3.3. Loss Tangent Model
4. Method
4.1. Determination of the Parameter
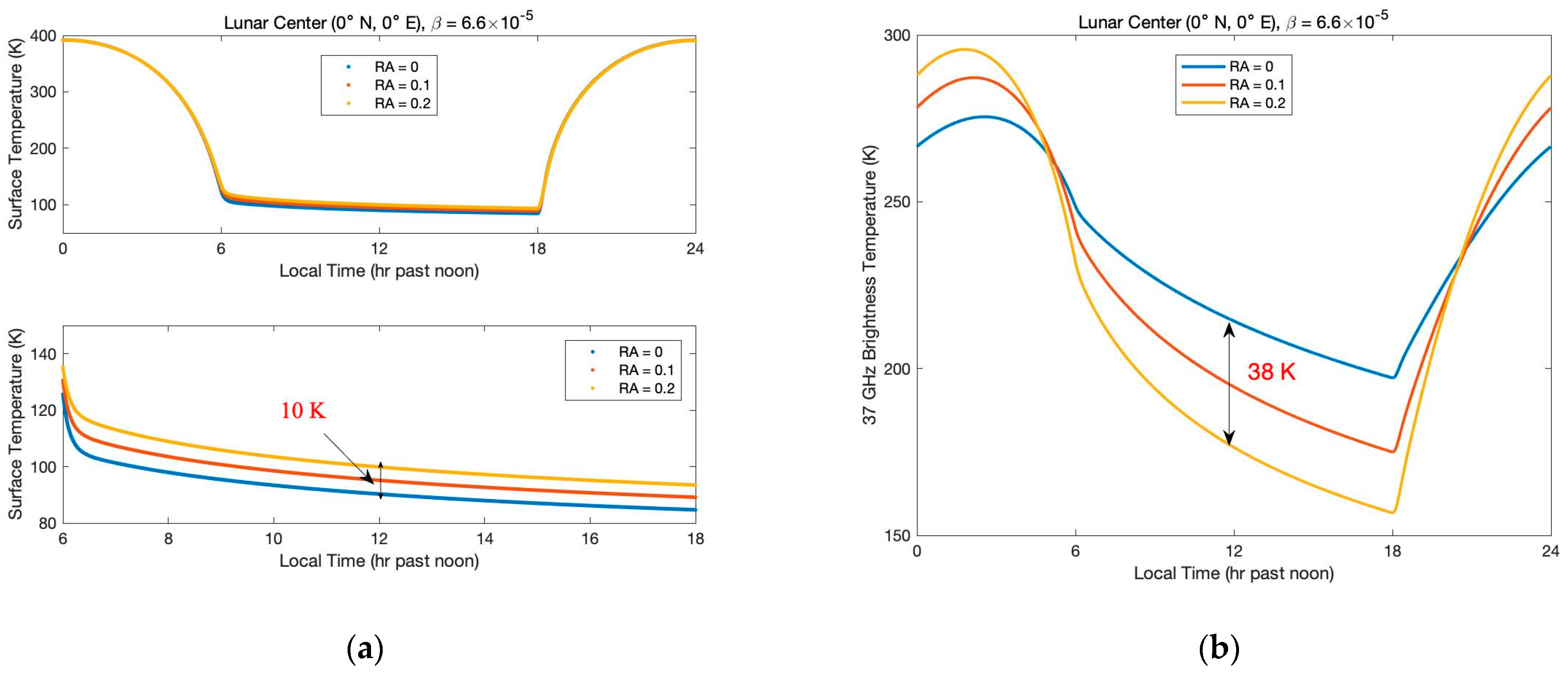
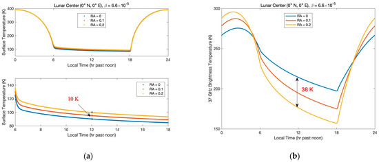
4.2. Effects of Subsurface RA on the Surface Temperature and Microwave TB
4.3. Subsurface RA Inversion
5. Results
6. Discussion
6.1. Uncertainty Generated by H-Parameter
6.2. Uncertainty Generated by Loss Tangent of Rocks
7. Conclusions
Author Contributions
Funding
Institutional Review Board Statement
Informed Consent Statement
Data Availability Statement
Acknowledgments
Conflicts of Interest
References
- Zheng, Y.; Ouyang, Z.; Li, C.; Liu, J.; Zou, Y. China’s Lunar Exploration Program: Present and future. Planet. Space Sci. 2008, 56, 881–886. [Google Scholar] [CrossRef]
- De Rosa, D.; Bussey, B.; Cahill, J.T.; Lutz, T.; Crawford, I.A.; Hackwill, T.; van Gasselt, S.; Neukum, G.; Witte, L.; McGovern, A.; et al. Characterisation of potential landing sites for the European Space Agency’s Lunar Lander project. Planet. Space Sci. 2012, 74, 224–246. [Google Scholar] [CrossRef]
- Greenhagen, B.T.; Neish, C.D.; Williams, J.-P.; Cahill, J.T.; Ghent, R.R.; Hayne, P.O.; Lawrence, S.J.; Petro, N.E.; Bandfield, J.L. Origin of the anomalously rocky appearance of Tsiolkovskiy crater. Icarus 2016, 273, 237–247. [Google Scholar] [CrossRef]
- Li, Y.; Wu, B. Analysis of Rock Abundance on Lunar Surface from Orbital and Descent Images Using Automatic Rock Detection. J. Geophys. Res. Planets 2018, 123, 1061–1088. [Google Scholar] [CrossRef]
- Bandfield, J.L.; Cahill, J.T.; Carter, L.M.; Neish, C.D.; Patterson, G.W.; Williams, J.-P.; Paige, D.A. Distal ejecta from lunar impacts: Extensive regions of rocky deposits. Icarus 2017, 283, 282–299. [Google Scholar] [CrossRef]
- Basilevsky, A.; Head, J.; Horz, F. Survival times of meter-sized boulders on the surface of the Moon. Planet. Space Sci. 2013, 89, 118–126. [Google Scholar] [CrossRef]
- Ghent, R.R.; Hayne, P.O.; Bandfield, J.L.; Campbell, B.A.; Allen, C.C.; Carter, L.M.; Paige, D.A. Constraints on the recent rate of lunar ejecta breakdown and implications for crater ages. Geology 2014, 42, 1059–1062. [Google Scholar] [CrossRef]
- Bandfield, J.L.; Ghent, R.R.; Vasavada, A.R.; Paige, D.A.; Lawrence, S.J.; Robinson, M.S. Lunar surface rock abundance and regolith fines temperatures derived from LRO Diviner Radiometer data. J. Geophys. Res. Atmos. 2011, 116, 3866. [Google Scholar] [CrossRef]
- Hayne, P.O.; Bandfield, J.L.; Siegler, M.A.; Vasavada, A.R.; Ghent, R.R.; Williams, J.; Greenhagen, B.T.; Aharonson, O.; Elder, C.M.; Lucey, P.G.; et al. Global Regolith Thermophysical Properties of the Moon from the Diviner Lunar Radiometer Experiment. J. Geophys. Res. Planets 2017, 122, 2371–2400. [Google Scholar] [CrossRef]
- Elder, C.M.; Hayne, P.O.; Piqueux, S.; Bandfield, J.; Williams, J.P.; Ghent, R.R.; Paige, D.A. The Lunar Rock Size Frequency Distribution from Diviner Infrared Measurements. In AGU Fall Meeting Abstracts; American Geophysical Union: Washington, DC, USA, 2016; p. P24A-04. [Google Scholar]
- Gong, X.; Jin, Y.-Q. Diurnal change of MW and IR thermal emissions from lunar craters with relevance to rock abundance. Acta Astronaut. 2013, 86, 237–246. [Google Scholar] [CrossRef]
- Di, K.; Xu, B.; Peng, M.; Yue, Z.; Liu, Z.; Wan, W.; Li, L.; Zhou, J. Rock size-frequency distribution analysis at the Chang’E-3 landing site. Planet. Space Sci. 2016, 120, 103–112. [Google Scholar] [CrossRef]
- Li, B.; Ling, Z.; Zhang, J.; Chen, J. Rock size-frequency distributions analysis at lunar landing sites based on remote sensing and in-situ imagery. Planet. Space Sci. 2017, 146, 30–39. [Google Scholar] [CrossRef]
- Fa, W.; Zhu, M.; Liu, T.; Plescia, J.B. Regolith stratigraphy at the Chang’E-3 landing site as seen by lunar penetrating radar. Geophys. Res. Lett. 2015, 42, 179–187. [Google Scholar] [CrossRef]
- Fa, W. Bulk Density of the Lunar Regolith at the Chang’E-3 Landing Site as Estimated from Lunar Penetrating Radar. Earth Space Sci. 2020, 7, e2019EA000801. [Google Scholar] [CrossRef]
- Keihm, S.J. Effects of subsurface volume scattering on the lunar microwave brightness temperature spectrum. Icarus 1982, 52, 570–584. [Google Scholar] [CrossRef]
- Hu, G.-P.; Chan, K.L.; Zheng, Y.-C.; Xu, A.-A. A Rock Model for the Cold and Hot Spots in the Chang’E Microwave Brightness Temperature Map. IEEE Trans. Geosci. Remote Sens. 2018, 56, 5471–5480. [Google Scholar] [CrossRef]
- Wei, G.; Byrne, S.; Li, X.; Hu, G. Lunar Surface and Buried Rock Abundance Retrieved from Chang’E-2 Microwave and Diviner Data. Planet. Sci. J. 2020, 1, 56. [Google Scholar] [CrossRef]
- Keihm, S.J. Interpretation of the lunar microwave brightness temperature spectrum: Feasibility of orbital heat flow mapping. Icarus 1984, 60, 568–589. [Google Scholar] [CrossRef]
- Siegler, M.A.; Feng, J.; Lucey, P.G.; Ghent, R.R.; Hayne, P.O.; White, M.N. Lunar Titanium and Frequency-Dependent Microwave Loss Tangent as Constrained by the Chang’E-2 MRM and LRO Diviner Lunar Radiometers. J. Geophys. Res. Planets 2020, 125, e2020JE006405. [Google Scholar] [CrossRef]
- Feng, J.; Su, Y.; Zou, Y.; Bian, W.; Zheng, Y.; Li, C. Review on physical models of lunar brightness temperature. Chin. J. Geochem. 2010, 29, 204–211. [Google Scholar] [CrossRef]
- Zhang, H.; Zhang, X.; Yang, J. The analysis of affections to the cold space calibration source of ChangE-1 payload Microwave Detector. Adv. Space Res. 2008, 42, 350–357. [Google Scholar] [CrossRef]
- Wang, Z.; Li, Y.; Zhang, X.; JingShan, J.; Xu, C.; Zhang, D.; Zhang, W. Calibration and brightness temperature algorithm of CE-1 Lunar Microwave Sounder (CELMS). Sci. China Earth Sci. 2010, 53, 1392–1406. [Google Scholar] [CrossRef]
- Chan, K.L.; Tsang, K.T.; Kong, B.; Zheng, Y.-C. Lunar regolith thermal behavior revealed by Chang’E-1 microwave brightness temperature data. Earth Planet. Sci. Lett. 2010, 295, 287–291. [Google Scholar] [CrossRef]
- Hu, G.-P.; Chan, K.L.; Zheng, Y.-C.; Tsang, K.T.; Xu, A.-A. Comparison and evaluation of the Chang’E microwave radiometer data based on theoretical computation of brightness temperatures at the Apollo 15 and 17 sites. Icarus 2017, 294, 72–80. [Google Scholar] [CrossRef]
- Hu, G.P.; Keihm, S.J. Effect of the Lunar Radiation on the Cold Sky Horn Antennas of the Chang’E-1 and -2 Microwave Radiometers. IEEE Geosci. Remote Sens. Lett. 2021, 18, 1781–1785. [Google Scholar] [CrossRef]
- Yang, F.; Hu, G.-P.; Chan, K.L.; Tsang, K.-T.; Zheng, Y.-C.; Xu, Y.; Yu, L.H.S. A Recalibration Model Based on the Statistical Regression Analysis Method to Align the Microwave Data of Chang’E-1 and Chang’E-2. IEEE Trans. Geosci. Remote Sens. 2021, 60, 5001211. [Google Scholar] [CrossRef]
- Yang, F.; Xu, Y.; Chan, K.L.; Zhang, X.; Hu, G.; Li, Y. Study of Chang’E-2 Microwave Radiometer Data in the Lunar Polar Region. Adv. Astron. 2019, 2019, 3940837. [Google Scholar] [CrossRef]
- Meng, Z.; Xu, Y.; Zheng, Y.; Zhu, Y.; Jia, Y.; Chen, S. Inversion of lunar regolith layer thickness with CELMS data using BPNN method. Planet. Space Sci. 2014, 101, 1–11. [Google Scholar] [CrossRef]
- Fa, W.; Jin, Y.-Q. A primary analysis of microwave brightness temperature of lunar surface from Chang-E 1 multi-channel radiometer observation and inversion of regolith layer thickness. Icarus 2010, 207, 605–615. [Google Scholar] [CrossRef]
- Paige, D.A.; Foote, M.C.; Greenhagen, B.T.; Schofield, J.T.; Calcutt, S.; Vasavada, A.R.; Preston, D.J.; Taylor, F.W.; Allen, C.C.; Snook, K.J.; et al. The Lunar Reconnaissance Orbiter Diviner Lunar Radiometer Experiment. Space Sci. Rev. 2010, 150, 125–160. [Google Scholar] [CrossRef]
- Vasavada, A.R.; Bandfield, J.L.; Greenhagen, B.T.; Hayne, P.O.; Siegler, M.A.; Williams, J.-P.; Paige, D.A. Lunar equatorial surface temperatures and regolith properties from the Diviner Lunar Radiometer Experiment. J. Geophys. Res. Atmos. 2012, 117, 2011JE003987. [Google Scholar] [CrossRef]
- Carrier, W.D., III; Olhoeft, G.R.; Mendell, W. Physical properties of the lunar surface. In Lunar Sourcebook, a User’s Guide to the Moon; Cambridge University Press: Cambridge, UK, 1991; pp. 475–594. [Google Scholar]
- Lawrence, D.J.; Feldman, W.C.; Barraclough, B.L.; Binder, A.B.; Elphic, R.C.; Maurice, S.; Thomsen, D.R. Global Elemental Maps of the Moon: The Lunar Prospector Gamma-Ray Spectrometer. Science 1998, 281, 1484–1489. [Google Scholar] [CrossRef] [PubMed]
- Sato, H.; Robinson, M.S.; Lawrence, S.J.; Denevi, B.W.; Hapke, B.; Jolliff, B.L.; Hiesinger, H. Lunar mare TiO2 abundances estimated from UV/Vis reflectance. Icarus 2017, 296, 216–238. [Google Scholar] [CrossRef]
- Lucey, P.G.; Taylor, G.J.; Malaret, E. Abundance and Distribution of Iron on the Moon. Science 1995, 268, 1150–1153. [Google Scholar] [CrossRef] [PubMed]
- Lucey, P.G.; Blewett, D.T.; Johnson, J.L.; Taylor, G.J.; Hawke, B.R. Lunar titanium content from UV-VIS measurements. Lunar Planet. Sci. 1996, 27, 781. [Google Scholar]
- Lucey, P.G.; Blewett, D.T.; Hawke, B.R. Mapping the FeO and TiO2 content of the lunar surface with multispectral imagery. J. Geophys. Res. Earth Surf. 1998, 103, 3679–3699. [Google Scholar] [CrossRef]
- Lucey, P.G.; Blewett, D.T.; Jolliff, B.L. Lunar iron and titanium abundance algorithms based on final processing of Clementine ultraviolet-visible images. J. Geophys. Res. Atmos. 2000, 105, 20297–20305. [Google Scholar] [CrossRef]
- Hu, G.-P.; Zheng, Y.-C.; Xu, A.-A.; Tang, Z.-S. Qualitative Verification of CE-2’s Microwave Measurement: Relative Calibration Based on Brightness Temperature Model and Data Fusion. IEEE Trans. Geosci. Remote Sens. 2016, 54, 1598–1609. [Google Scholar] [CrossRef]
- Feng, J.; Su, Y.; Liu, J.; Zou, Y.; Li, C. Data processing and error analysis for the CE-1 Lunar microwave radiometer. Res. Astron. Astrophys. 2013, 13, 359–372. [Google Scholar] [CrossRef]
- Mitchell, D.; Pater, I. Microwave Imaging of Mercury’s Thermal Emission at Wavelengths from 0.3 to 20.5 cm. Icarus 1994, 110, 2–32. [Google Scholar] [CrossRef]
- Keihm, S.J.; Langseth, M.G. Lunar microwave brightness temperature observations reevaluated in the light of Apollo program findings. Icarus 1975, 24, 211–230. [Google Scholar] [CrossRef]
- Vasavada, A. Near-Surface Temperatures on Mercury and the Moon and the Stability of Polar Ice Deposits. Icarus 1999, 141, 179–193. [Google Scholar] [CrossRef]
- Keihm, S.J.; Langseth, M.G., Jr. Surface brightness temperatures at the Apollo 17 heat flow site: Thermal conductivity of the upper 15 cm of regolith. Lunar Planet. Sci. Conf. Proc. 1973, 4, 2503. [Google Scholar]
- Keihm, S.J.; Peters, K.; Langseth, M.G.; Chute, J.L., Jr. Apollo 15 measurement of lunar surface brightness temperatures thermal conductivity of the upper 1 1/2 meters of regolith. Earth Planet. Sci. Lett. 1973, 19, 337–351. [Google Scholar] [CrossRef]
- Feng, J.; Siegler, M.A.; Hayne, P.O. New Constraints on Thermal and Dielectric Properties of Lunar Regolith from LRO Diviner and CE-2 Microwave Radiometer. J. Geophys. Res. Planets 2020, 125, 2019JE006130. [Google Scholar] [CrossRef]
- FroHlich, C.; Lean, J. Solar radiative output and its variability: Evidence and mechanisms. Astron. Astrophys. Rev. 2004, 12, 273–320. [Google Scholar] [CrossRef]
- Williams, J.-P.; Paige, D.; Greenhagen, B.; Sefton-Nash, E. The global surface temperatures of the Moon as measured by the Diviner Lunar Radiometer Experiment. Icarus 2017, 283, 300–325. [Google Scholar] [CrossRef]
- Horai, K.; Simmons, G. Thermal property measurements on lunar material returned by Apollo 11 and 12 missions. Moon 1972, 4, 447–475. [Google Scholar] [CrossRef]
- Horai, K.; Winkler, J., Jr. Thermal diffusivity of two Apollo 11 samples, 10020, 44 and 10065, 23 Effect of petrofabrics on the thermal conductivity of porous lunar rocks under vacuum. In Proceedings of the Lunar and Planetary Science Conference, Houston, TX, USA, 17–21 March 1980; pp. 1777–1788. [Google Scholar]
- Gary, B.L.; Keihm, S.J. Interpretation of ground-based microwave measurements of the moon using a detailed regolith properties model. In Proceedings of the Lunar and Planetary Science Conference, Houston, TX, USA, 13–17 March 1978; Volume 3, pp. 2885–2900. [Google Scholar]
- Hashin, Z.; Shtrikman, S. A Variational Approach to the Theory of the Effective Magnetic Permeability of Multiphase Materials. J. Appl. Phys. 1962, 33, 3125–3131. [Google Scholar] [CrossRef]
- Shorthill, R.W.; Saari, J.M. Nonuniform Cooling of the Eclipsed Moon: A Listing of Thirty Prominent Anomalies. Science 1965, 150, 210–212. [Google Scholar] [CrossRef]
- Liu, N.; Jin, Y.-Q. A Radiative Transfer Model for MW Cold and IR Hot Spots of Chang’e and Diviner Observations. IEEE Trans. Geosci. Remote Sens. 2019, 57, 8184–8190. [Google Scholar] [CrossRef]
- Ghent, R.; Carter, L.; Bandfield, J.; Udovicic, C.T.; Campbell, B. Lunar crater ejecta: Physical properties revealed by radar and thermal infrared observations. Icarus 2016, 273, 182–195. [Google Scholar] [CrossRef]
- Lemelin, M.; Lucey, P.G.; Miljković, K.; Gaddis, L.R.; Hare, T.; Ohtake, M. The compositions of the lunar crust and upper mantle: Spectral analysis of the inner rings of lunar impact basins. Planet. Space Sci. 2019, 165, 230–243. [Google Scholar] [CrossRef]








| Crater Names | Latitude (°N) | Longitude (°E) | Diameter (km) | Subsurface RA (Mean) | Surface RA (Mean) | RMS (K) |
|---|---|---|---|---|---|---|
| Aristarchus (A) | 23.7 | 312.6 | 40 | 0.0929 | 0.032 | 0.001 |
| Burg (B) | 45 | 28.2 | 40 | 0.0556 | 0.0085 | 0.003 |
| Byrgius A (BA) | −24.5 | 296.3 | 19 | 0.0636 | 0.0307 | 0.027 |
| Copernicus (CP) | 9.62 | 340 | 93 | 0.0747 | 0.0113 | 0.013 |
| Crookes (CK) | −10.4 | 194.9 | 49 | 0.0668 | 0.018 | 0.002 |
| Giordano Bruno (GB) | 36 | 102.89 | 22 | 0.2636 | 0.0959 | 0.001 |
| Glushko (G) | 8.11 | 282.33 | 40 | 0.0835 | 0.0231 | 0.004 |
| Jackson (J) | 22.05 | 196.68 | 71 | 0.1119 | 0.0257 | 0.005 |
| King (K) | 4.96 | 120.49 | 76 | 0.1423 | 0.0151 | 0.025 |
| Moore F (M) | 37.4 | 185 | 24 | 0.1192 | 0.0327 | 0.001 |
| Necho (N) | −5.25 | 123.24 | 30 | 0.1885 | 0.034 | 0.001 |
| Ohm (O) | 18.4 | 246.5 | 64 | 0.0398 | 0.0171 | 0.001 |
| Sharonov (SH) | 12.4 | 173.3 | 74 | 0.0274 | 0.0057 | 0.008 |
| Stevinus (ST) | −32.5 | 54.2 | 75 | 0.0532 | 0.0067 | 0.007 |
| Tycho (T) | −43.3 | 348.62 | 85 | 0.0757 | 0.0489 | 0.006 |
| Vavilov (V) | −0.8 | 222.1 | 98 | 0.0446 | 0.0092 | 0.012 |
Disclaimer/Publisher’s Note: The statements, opinions and data contained in all publications are solely those of the individual author(s) and contributor(s) and not of MDPI and/or the editor(s). MDPI and/or the editor(s) disclaim responsibility for any injury to people or property resulting from any ideas, methods, instructions or products referred to in the content. |
© 2023 by the authors. Licensee MDPI, Basel, Switzerland. This article is an open access article distributed under the terms and conditions of the Creative Commons Attribution (CC BY) license (https://creativecommons.org/licenses/by/4.0/).
Share and Cite
Yang, W.; Hu, G.; Yang, F.; Zheng, W. Inversion of the Lunar Subsurface Rock Abundance Using CE-2 Microwave Brightness Temperature Data. Remote Sens. 2023, 15, 4895. https://doi.org/10.3390/rs15204895
Yang W, Hu G, Yang F, Zheng W. Inversion of the Lunar Subsurface Rock Abundance Using CE-2 Microwave Brightness Temperature Data. Remote Sensing. 2023; 15(20):4895. https://doi.org/10.3390/rs15204895
Chicago/Turabian StyleYang, Wei, Guoping Hu, Fan Yang, and Wenchao Zheng. 2023. "Inversion of the Lunar Subsurface Rock Abundance Using CE-2 Microwave Brightness Temperature Data" Remote Sensing 15, no. 20: 4895. https://doi.org/10.3390/rs15204895
APA StyleYang, W., Hu, G., Yang, F., & Zheng, W. (2023). Inversion of the Lunar Subsurface Rock Abundance Using CE-2 Microwave Brightness Temperature Data. Remote Sensing, 15(20), 4895. https://doi.org/10.3390/rs15204895

