DirecTES: A Direct Method for Land and Sea Surface Temperature and Emissivity Separation for Thermal Infrared Sensors—Application to TRISHNA and ECOSTRESS
Abstract
1. Introduction
2. DirecTES Algorithm Principle
- : the TOA radiation reaching the satellite,
- : surface emissivity, which depends on the surface material,
- and are the downwelling and upwelling atmospheric radiations, respectively,
- : the upward atmospheric transmittance,
- : the emitted surface radiation, expressed as by the Planck’s Law, which depends on the surface temperature .
- : Planck’s constant
- : Boltzmann’s constant
- : light speed in a vacuum
- : wavelength of the spectral band
3. Application to TRISHNA
3.1. TRISHNA Mission
3.2. Spectral Library
4. DirecTES Theoretical Performance for TRISHNA
- Suppose a surface reference dataset, i.e., temperature and emissivity in the TIR.
- This dataset is transposed to the top of the atmosphere using direct radiative transfer with representative atmospheric data, which yields a top-of-atmosphere (TOA) reference dataset.
- This TOA reference dataset is processed by an instrument module, which performs the spectral integration in TRISHNA bands and may apply an uncertainty, leading to a TOA dataset which is representative of the future TRISHNA measurements.
- DirecTES is applied on this TOA “measured” dataset to retrieve surface temperature and emissivity values.
4.1. Performance with TIR Bands Only
4.2. Performance with Both TIR and VNIR-SWIR Bands
4.3. Performance on Water Using Water Spectra
- Bias: −0.025 K
- RMSE: 0.55 K
- Percentage of retrieved temperatures: 98.0%
4.4. Estimated Emissivity
- TIR bands only, sensor and atmospheric noise, , all materials in the emissivity spectral library;
- TIR and VNIR-SWIR bands, sensor and atmospheric noise, , , all materials in the emissivity spectral library;
- TIR bands and only water in the emissivity spectral library (water mask).
4.5. Discussion on the Spectral Library
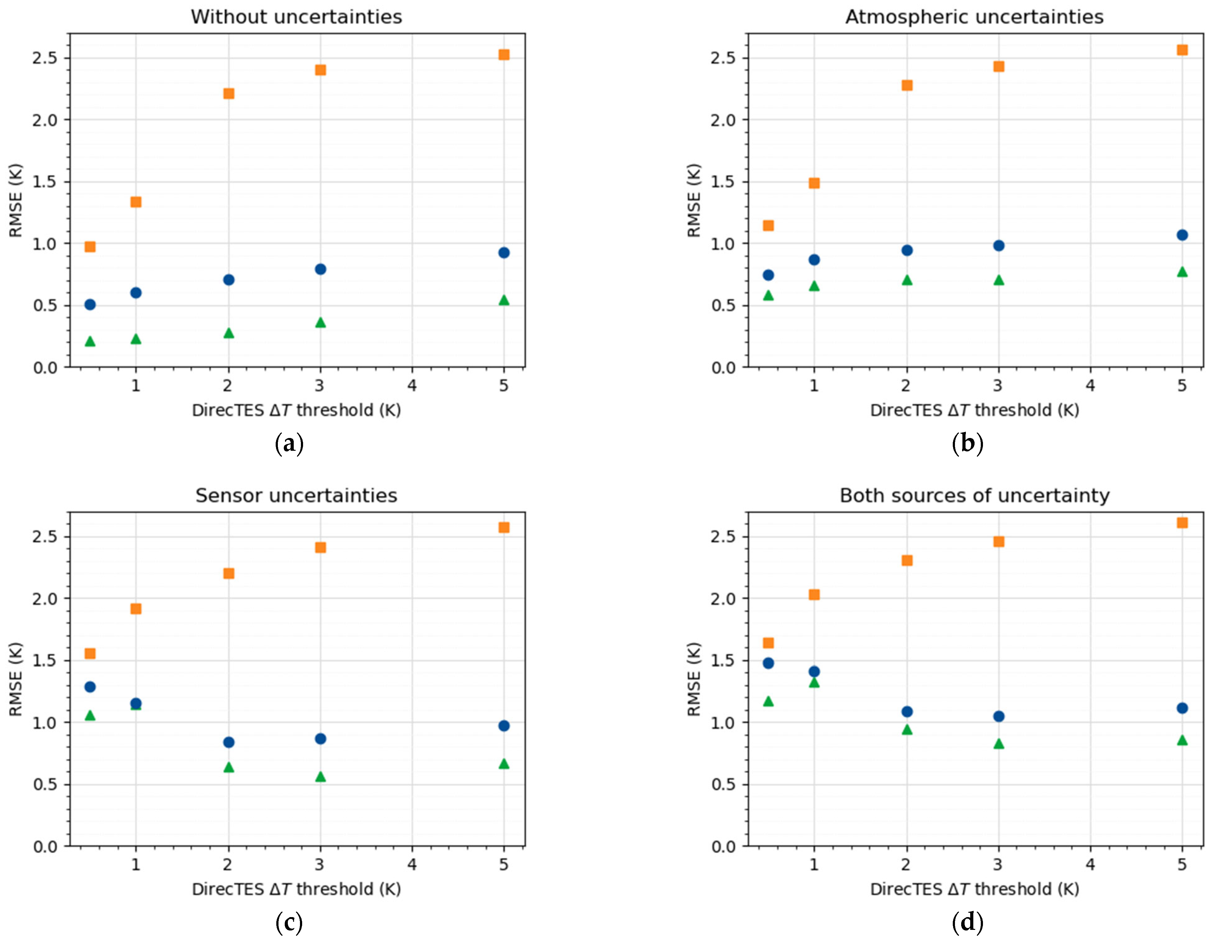
5. Application of DirecTES to ECOSTRESS Images
6. Discussion
7. Conclusions
Author Contributions
Funding
Data Availability Statement
Acknowledgments
Conflicts of Interest
References
- Belward, A. The Global Observing System for Climate: Implementation Needs, GCOS Steering Committee, Guayaquil, Ecuador. 2016. Available online: https://library.wmo.int/doc_num.php?explnum_id=3417 (accessed on 1 June 2022).
- Zhou, L.; Dickinson, R.E.; Tian, Y.; Jin, M.; Ogawa, K.; Yu, H.; Scmugge, T. A sensitivity study of climate and energy balance simulations with use of satellite-derived emissivity data over Northern Africa and the Arabian Peninsula. J. Geophys. Res. 2003, 108, 4795. [Google Scholar] [CrossRef]
- Anderson, M.C.; Allen, R.G.; Morse, A.; Kustas, W.P. Use of Landsat thermal imagery in monitoring evapotranspiration and managing water resources. Remote Sens. Environ. 2012, 122, 50–65. [Google Scholar] [CrossRef]
- Salisbury, J.W.; D’Aria, D.M. Emissivity of terrestrial materials in the 8–14 μm atmospheric window. Remote Sens. Environ. 1992, 42, 83–106. [Google Scholar] [CrossRef]
- Li, Z.L.; Tang, B.H.; Wu, H.; Ren, H.; Yan, G.; Wan, Z.; Trigo, I.F.; Sobrino, J.A. Satellite-derived land surface temperature: Current status and perspectives. Remote Sens. Environ. 2013, 131, 14–37. [Google Scholar] [CrossRef]
- Jacob, F.; Schmugge, T.; Olioso, A.; French, A.; Courault, D.; Ogawa, K.; Petitcolin, F.; Chehbouni, G.; Pinheiro, A.; Privette, J. Modeling and inversion in thermal infrared remote sensing over vegetated land surfaces. In Advances in Land Remote Sensing; Springer: Berlin, Germany, 2008; pp. 245–291. [Google Scholar] [CrossRef]
- Brown, O.B.; Minnett, P.J.; Evans, R.; Kearns, E.; Kilpatrick, K.; Kumar, A.; Sikorski, R.; Závody, A. MODIS Infrared Sea Surface Temperature Algorithm Algorithm Theoretical Basis Document Version 2.0. 1999. Available online: https://modis.gsfc.nasa.gov/data/atbd/atbd_mod25.pdf (accessed on 1 June 2022).
- Masuda, K.; Takashima, T.; Takayama, Y. Emissivity of pure and sea waters for the model sea surface in the infrared window regions. Remote Sens. Environ. 1988, 24, 313–329. [Google Scholar] [CrossRef]
- Gillespie, A.; Rokugawa, S.; Matsunaga, T.; Cothern, J.S.; Hook, S.J.; Kahle, A.B. A temperature and emissivity separation algorithm for Advanced Spaceborne Thermal Emission and Reflection Radiometer (ASTER) images. IEEE Trans. Geosci. Remote Sens. 1998, 36, 1113–1126. [Google Scholar] [CrossRef]
- Gillespie, A.; Matsunaga, T.; Rokugawa, S.; Hook, S.J. Temperature and Emissivity Separation from Advanced Spaceborne Thermal Emission and Reflection Radiometer (ASTER) Images. In Proceedings of the SPIE’s 1996 International Symposium on Optical Science, Engineering, and Instrumentation, Infrared Spaceborne Remote Sensing IV, Denver, CO, USA, 5–9 August 1996. [Google Scholar] [CrossRef]
- Sawabe, Y.; Matstunaga, T.; Rokugawa, S.; Hoyano, A. Temperature and emissivity separation for multi-band radiometer and validation ASTER TES algorithm. J. Remote Sens. Soc. Jpn. 2003, 23, 364–375. [Google Scholar] [CrossRef]
- Coll, C.; Caselles, V.; Valor, E.; Niclòs, R.; Sánchez, J.M.; Galve, J.M.; Mira, M. Temperature and emissivity separation from ASTER data for low spectral contrast surfaces. Remote Sens. Environ. 2007, 110, 162–175. [Google Scholar] [CrossRef]
- Gillespie, A.R.; Abbott, E.; Gilson, L.; Hulley, G.; Jiménez-Muñoz, J.; Sobrino, J.A. Residual errors in ASTER temperature and emissivity standard products AST08 and AST05. Remote Sens. Environ. 2011, 115, 3681–3694. [Google Scholar] [CrossRef]
- Hulley, G.C.; Hook, S.J. The North American ASTER Land Surface Emissivity Database (NAALSED) Version 2.0. Remote Sens. Environ. 2009, 113, 1967–1975. [Google Scholar] [CrossRef]
- Hulley, G.C.; Hook, S.J. Generating consistent land surface temperature and emissivity products between ASTER and MODIS data for earth science research. IEEE Trans. Geosci. Remote Sens. 2011, 49, 1304–1315. [Google Scholar] [CrossRef]
- Berk, A.; Conforti, P.; Kennett, R.; Perkins, T.; Hawes, F.; van den Bosch, J. MODTRAN6: A major upgrade of the MODTRAN radiative transfer code. In Proceedings of the 2014 6th Workshop on Hyperspectral Image and Signal Processing: Evolution in Remote Sensing (WHISPERS), Lausanne, Switzerland, 24–27 June 2014. [Google Scholar] [CrossRef]
- Saunders, R.; Hocking, J.; Turner, E.; Rayer, P.; Rundle, D.; Brunel, P.; Vidot, J.; Roquet, P.; Matricardi, M.; Geer, A.; et al. An update on the RTTOV fast radiative transfer model (currently at version 12). Geosci. Model. Dev. 2018, 11, 2717–2737. [Google Scholar] [CrossRef]
- Hersbach, H.; Bell, B.; Berrisford, P.; Hirahara, S.; Horányi, A.; Muñoz-Sabater, J.; Nicolas, J.; Peubey, C.; Radu, R.; Schepers, D.; et al. The ERA5 global reanalysis, Q.J.R. Meteorol. Soc. 2020, 146, 1999–2049. [Google Scholar] [CrossRef]
- Meerdink, S.K.; Hook, S.J.; Roberts, D.A.; Abbot, E.A. The ECOSTRESS Spectral library version 1.0. Remote Sens. Environ. 2019, 1230, 111196. [Google Scholar] [CrossRef]
- Hagolle, O.; Huc, M.; Villa Pascual, D.; Dedieu, G. A Multi-Temporal and Multi-Spectral Method to Estimate Aerosol Optical Thickness over Land, for the Atmospheric Correction of FormoSat-2, LandSat, VENμS and Sentinel-2 Images. Remote Sens. 2015, 7, 2668–2691. [Google Scholar] [CrossRef]
- Vermote, E.F.; El Saleous, N.Z.; Justice, C.O. Atmospheric correction of MODIS data in the visible to middle infrared: First results. Remote Sens. Environ. 2002, 83, 97–111. [Google Scholar] [CrossRef]
- Lagouarde, J.P.; Bhattacharya, B.K.; Crébassol, P.; Gamet, P.; Babu, S.S.; Boulet, G.; Briottet, X.; Buddhiraju, K.M.; Cherchali, S.; Dadou, I.; et al. The Indian-French Trishna Mission: Earth Observation in the Thermal Infrared with High Spatio-Temporal Resolution. In Proceedings of the IGARSS 2018—2018 IEEE International Geoscience and Remote Sensing Symposium, Valencia, Spain, 22–27 July 2018; IEEE: Piscataway, NY, USA, 2018; pp. 4078–4081. [Google Scholar] [CrossRef]
- Hagolle, O.; Colin, J.; Coustance, S.; Kettig, P.; D’Angelo, P.; Auer, S.; Doxani, G.; Desjardins, C. Sentinel2 surface reflectance products generated by CNES and DLR: Methods, Validation and Applications. ISPRS Ann. Photogramm. Remote Sens. Spat. Inf. Sci. 2021, 51, 9–15. [Google Scholar] [CrossRef]
- Colin, J.; Hagolle, O.; Landier, L.; Coustance, S.; Kettig, P.; Marcq, S.; Meygret, A.; Ossman, J.; Vermote, E. Assessment of the performance of the atmospheric correction algorithm MAJA for Sentinel-2 surface reflectance estimates. 2023; (in preparation). [Google Scholar]
- Charvet, D.; Gnata, X.; Toulemont, A.; Rizzolo, S.; Clénet, A.; Litouban, C.; Gossant, A.; Chassat, F.; Buffet, L.; Salcedo, C.; et al. TRISHNA TIR instrument development and performance status. In Proceedings of the International Conference on Space Optics—ICSO, Nice, France, 3–7 October 2022. [Google Scholar]
- Olioso, A. Simulating the relationship between thermal emissivity and the normalized difference vegetation index. Int. J. Remote Sens. 1995, 16, 3211–3216. [Google Scholar] [CrossRef]
- Olioso, A.; Jacob, F.; Weiss, M. First evaluation of land surface emissivity spectra simulated with the sail-thermique model. In Proceedings of the IGARSS 2018—2018 IEEE International Geoscience and Remote Sensing Symposium, Valencia, Spain, 22–27 July 2018; pp. 3951–3954. [Google Scholar] [CrossRef]
- Neyret, A. Evaluation de différentes approaches visant à estimer l’émissivité de surface à partir d’informations du domaine visible, internal internship report. ISAE-CESBIO 2021, unpublished. [Google Scholar]
- Michel, A.; Roupioz, L.; Granero-Belinchon, C.; Briottet, X. Land Surface Temperature Retrieval over Urban areas from simulated TRISHNA data. In Proceedings of the 2019 Joint Urban Remote Sensing Event (JURSE), Vannes, France, 22–24 May 2019; pp. 1–4. [Google Scholar] [CrossRef]
- Chen, S.; Ren, H.; Ye, X.; Dong, J.; Zheng, Y. Geometry and adjacency effects in urban land surface temperature retrieval from high-spatial-resolution thermal infrared images. Remote Sens. Environ. 2021, 262, 112518. [Google Scholar] [CrossRef]
- Chevallier, F.; Chédin, A.; Chéruy, F.; Morcrette, J.J. TIGR-like atmospheric-profile databases for accurate radiative-flux computation, Q.J.R. Meteorol. Soc. 2000, 126, 777–785. [Google Scholar] [CrossRef]
- Barsi, J.A.; Barker, J.L.; Schott, J.R. An atmospheric correction parameter calculator for a single thermal band earth-sensing instrument. In Proceedings of the IGARSS 2003. 2003 IEEE International Geoscience and Remote Sensing Symposium. Proceedings (IEEE Cat. No.03CH37477), Toulouse, France, 21–25 July 2003; pp. 3014–3016. [Google Scholar] [CrossRef]
- Palluconi, F.; Hoover, G.; Alley, R.; Jentoft-Nilsen, M.; Thompson, T. An Atmospheric Correction Method for ASTER Thermal Radiometry Over Land, Algorithm Theoretical Basis Document. 1999. Available online: https://lpdaac.usgs.gov/documents/1153/AST_09T_User_Guide_V4.pdf (accessed on 1 June 2022).
- Wei, J.A.; Wang, D.; Gong, F.; He, X.; Bai, Y. The Influence of Increasing Water Turbidity on Sea Surface Emissivity. IEEE Trans. Geosci. Remote Sens. 2017, 55, 3501–3515. [Google Scholar] [CrossRef]
- Hook, S.J.; Cawse-Nicholson, K.; Barsi, J.; Radocinski, R.; Hulley, G.C.; Johnson, W.R.; Rivera, G.; Markham, B. In-flight validation of the ECOSTRESS, Landsats 7 and 8 thermal infrared spectral channels using the Lake Tahoe CA/NV and Salton Sea CA automated validation sites. IEEE Trans. Geosci. Remote Sens. 2020, 58, 1294–1302. [Google Scholar] [CrossRef]
- Hulley, G.C.; Göttsche, F.M.; Rivera, G.; Hook, S.J.; Freepartner, R.J.; Martin, M.A.; Cawse-Nicholson, K.; Johnson, W.R. Validation and Quality Assessment of the ECOSTRESS Level-2 Land Surface Temperature and Emissivity Product. IEEE Trans. Geosci. Remote Sens. 2022, 60, 1–23. [Google Scholar] [CrossRef]
- Hersbach, H.; Bell, B.; Berrisford, P.; Biavati, G.; Horányi, A.; Muñoz Sabater, J.; Nicolas, J.; Peubey, C.; Radu, R.; Rozum, I.; et al. ERA5 Hourly Data on Pressure Levels from 1959 to Present, Copernicus Climate Change Service (C3S) Climate Data Store (CDS). 2018. Available online: https://cds.climate.copernicus.eu/cdsapp#!/dataset/10.24381/cds.bd0915c6?tab=overview (accessed on 1 June 2022).
- Niclòs, R.; Caselles, V.; Valor, E.; Coll, C.; Sanchez, J.M. A simple equation for determining sea surface emissivity in the 3–15 μm region. Int. J. Remote Sens. 2009, 30, 1603–1619. [Google Scholar] [CrossRef]























| Band Name | Wavelength Center (μm) | FWHM (nm) | Purpose |
|---|---|---|---|
| Blue | 0.485 | 70 | Detection of low clouds |
| Green | 0.555 | 70 | Coastal, sediments, snow |
| Red | 0.670 | 60 | Vegetation (Leaf Area Index, fCOVER, NDVI, …) |
| NIR | 0.860 | 40 | Vegetation (Leaf Area Index, fCOVER, NDVI, …) |
| WV | 0.910 | 20 | Water vapor content estimation |
| Cirrus | 1.380 | 30 | Detection of thin cirrus clouds |
| SWIR | 1.610 | 100 | AOD, snow/cloud discrimination, vegetation stress, burnt areas |
| TIR1 | 8.65 | 350 | Temperature/emissivity separation |
| TIR2 | 9.00 | 350 | Temperature/emissivity separation |
| TIR3 | 10.6 | 700 | Temperature/emissivity separation |
| TIR4 | 11.6 | 1000 | Temperature/emissivity separation |
| SAIL | WATER | URBAN | |
|---|---|---|---|
| TIR only | Bias: −0.0047 RMSE: 0.031 | Bias: −0.027 RMSE: 0.041 | Bias: 0.017 RMSE: 0.068 |
| TIR and VNIR-SWIR | Bias: −0.0037 RMSE: 0.030 | Bias: −0.0087 RMSE: 0.027 | Bias: 0.013 RMSE: 0.064 |
| TIR and water mask | Bias: −0.0041 RMSE: 0.025 |
| ECOSTRESS 3 Bands | ECOSTRESS 5 Bands | TRISHNA 4 Bands | ||||
|---|---|---|---|---|---|---|
| Mean Bias (K) | RMSE (K) | Mean Bias (K) | RMSE (K) | Mean Bias (K) | RMSE (K) | |
| SAIL | 0.12 | 1.84 | −0.05 | 1.08 | 0.02 | 0.83 |
| WATER | 0.71 | 1.84 | 0.81 | 1.19 | 0.80 | 1.05 |
| URBAN | −0.54 | 2.82 | −0.67 | 2.35 | −0.74 | 2.46 |
| Site Location and Description | Date | Documented ECOSTRESS Bias (K) | DirecTES TIR Bias (K) | DirecTES TIR + VNIR-SWIR Bias (K) |
|---|---|---|---|---|
| Russell Ranch (RR) 38.56°N, 121.86°W Crops | 9 June 2019 | −0.16 | −0.3 | −0.34 |
| 7 September 2019 | −0.73 | −0.66 | ||
| 1 November 2019 | 0.03 | −0.04 | ||
| 7 August 2020 | 0.18 | 0.09 | ||
| Redwood Forest (RF) 41.4°N, 123.7°W Conifer forest | 16 August 2019 | −0.18 | −0.34 | −0.19 |
| 26 August 2019 | −0.26 | −0.03 | ||
| 25 October 2019 | 0.25 | 0.13 | ||
| 23 December 2020 | 0.1 | 0.06 | ||
| Lake Tahoe (LT) 39.15°N, 120°W Water | 28 August 2018 | −0.69 | −0.18 | −0.47 |
| 29 February 2020 | −0.12 | −0.14 | ||
| 7 August 2020 | −0.35 | −0.39 | ||
| 27 August 2020 | −0.51 | −0.58 | ||
| Gobabeb (GB) 23.55°S, 15.05°E Gravel plains | 8 August 2018 | −0.94 | −1.87 | −1.69 |
| 3 August 2019 | −1.72 | −1.68 | ||
| 13 July 2020 | −2.4 | −2.02 | ||
| 1 October 2020 | −2.77 | −1.95 | ||
| Texas Grassland (TG) 36.30°N, 102.57°W Grassland | 24 June 2020 | −0.18 | −1.72 | −0.41 |
| 30 April 2021 | −2.4 | 0.17 | ||
| 11 December 2021 | −2.77 | −1.01 |
| Site | Date | DirecTES TIR | DirecTES TIR + VNIR-SWIR | ||
|---|---|---|---|---|---|
| Bias (K) | RMSE (K) | Bias (K) | RMSE (K) | ||
| Russell Ranch (RR) | 9 June 2019 | −0.31 | 0.77 | −0.41 | 0.72 |
| 7 September 2019 | −0.12 | 0.63 | −0.14 | 0.62 | |
| 1 November 2019 | 0.28 | 0.48 | 0.25 | 0.45 | |
| 7 August 2020 | −0.20 | 0.96 | −0.18 | 0.89 | |
| Redwood Forest (RF) | 16 August 2019 | 0.17 | 0.42 | 0.06 | 0.41 |
| 26 August 2019 | 0.41 | 0.70 | 0.34 | 0.62 | |
| 25 October 2019 | 0.27 | 0.57 | 0.21 | 0.52 | |
| 23 December 2020 | 0.13 | 0.48 | 0.08 | 0.46 | |
| Lake Tahoe (LT) | 28 August 2018 | 0.09 | 0.87 | 0.04 | 0.85 |
| 29 February 2020 | 0.25 | 0.54 | 0.25 | 0.56 | |
| 7 August 2020 | 0.38 | 0.94 | 0.35 | 0.91 | |
| 27 August 2020 | 0.48 | 0.82 | 0.43 | 0.78 | |
| Gobabeb (GB) | 8 August 2018 | −0.64 | 0.88 | −0.27 | 0.68 |
| 3 August 2019 | −0.98 | 1.21 | −0.43 | 0.81 | |
| 13 July 2020 | −1.60 | 1.72 | −1.10 | 1.23 | |
| 1 October 2020 | −1.91 | 2.07 | −1.28 | 1.49 | |
| Texas Grassland (TG) | 24 June 2020 | −1.15 | 1.52 | −1.15 | 1.48 |
| 30 April 2021 | 0.15 | 0.63 | 0.15 | 0.60 | |
| 11 December 2021 | −0.13 | 0.41 | −0.15 | 0.41 | |
| Site | Band 2 | Band 4 | Band 5 | |||
|---|---|---|---|---|---|---|
| Bias | RMSE | Bias | RMSE | Bias | RMSE | |
| Russell Ranch (RR) | −0.0016 | 0.0082 | 0.0015 | 0.0074 | −0.0002 | 0.0084 |
| Redwood Forest (RF) | −0.0036 | 0.0089 | −0.0005 | 0.0066 | −0.0001 | 0.0059 |
| Lake Tahoe (LT) | −0.0027 | 0.0118 | 0.0009 | 0.0102 | 0.0037 | 0.0098 |
| Gobabeb (GB) | −0.0019 | 0.0093 | 0.0052 | 0.0107 | 0.0073 | 0.0127 |
| Texas Grassland (TG) | −0.0006 | 0.0094 | 0.0028 | 0.0099 | 0.0012 | 0.0091 |
Disclaimer/Publisher’s Note: The statements, opinions and data contained in all publications are solely those of the individual author(s) and contributor(s) and not of MDPI and/or the editor(s). MDPI and/or the editor(s) disclaim responsibility for any injury to people or property resulting from any ideas, methods, instructions or products referred to in the content. |
© 2023 by the authors. Licensee MDPI, Basel, Switzerland. This article is an open access article distributed under the terms and conditions of the Creative Commons Attribution (CC BY) license (https://creativecommons.org/licenses/by/4.0/).
Share and Cite
Marcq, S.; Delogu, E.; Chapelier, M.; Vidal, T.H.G. DirecTES: A Direct Method for Land and Sea Surface Temperature and Emissivity Separation for Thermal Infrared Sensors—Application to TRISHNA and ECOSTRESS. Remote Sens. 2023, 15, 517. https://doi.org/10.3390/rs15020517
Marcq S, Delogu E, Chapelier M, Vidal THG. DirecTES: A Direct Method for Land and Sea Surface Temperature and Emissivity Separation for Thermal Infrared Sensors—Application to TRISHNA and ECOSTRESS. Remote Sensing. 2023; 15(2):517. https://doi.org/10.3390/rs15020517
Chicago/Turabian StyleMarcq, Sébastien, Emilie Delogu, Morgane Chapelier, and Thomas H. G. Vidal. 2023. "DirecTES: A Direct Method for Land and Sea Surface Temperature and Emissivity Separation for Thermal Infrared Sensors—Application to TRISHNA and ECOSTRESS" Remote Sensing 15, no. 2: 517. https://doi.org/10.3390/rs15020517
APA StyleMarcq, S., Delogu, E., Chapelier, M., & Vidal, T. H. G. (2023). DirecTES: A Direct Method for Land and Sea Surface Temperature and Emissivity Separation for Thermal Infrared Sensors—Application to TRISHNA and ECOSTRESS. Remote Sensing, 15(2), 517. https://doi.org/10.3390/rs15020517

