Seasonal and Diurnal Characteristics of the Vertical Profile of Aerosol Optical Properties in Urban Beijing, 2017–2021
Abstract
1. Introduction
2. Data and Methods
2.1. Sun Photometer and LiDAR Measurements and Site Descriptions
2.2. Meteorological and Pollutant Data
3. Results and Discussion
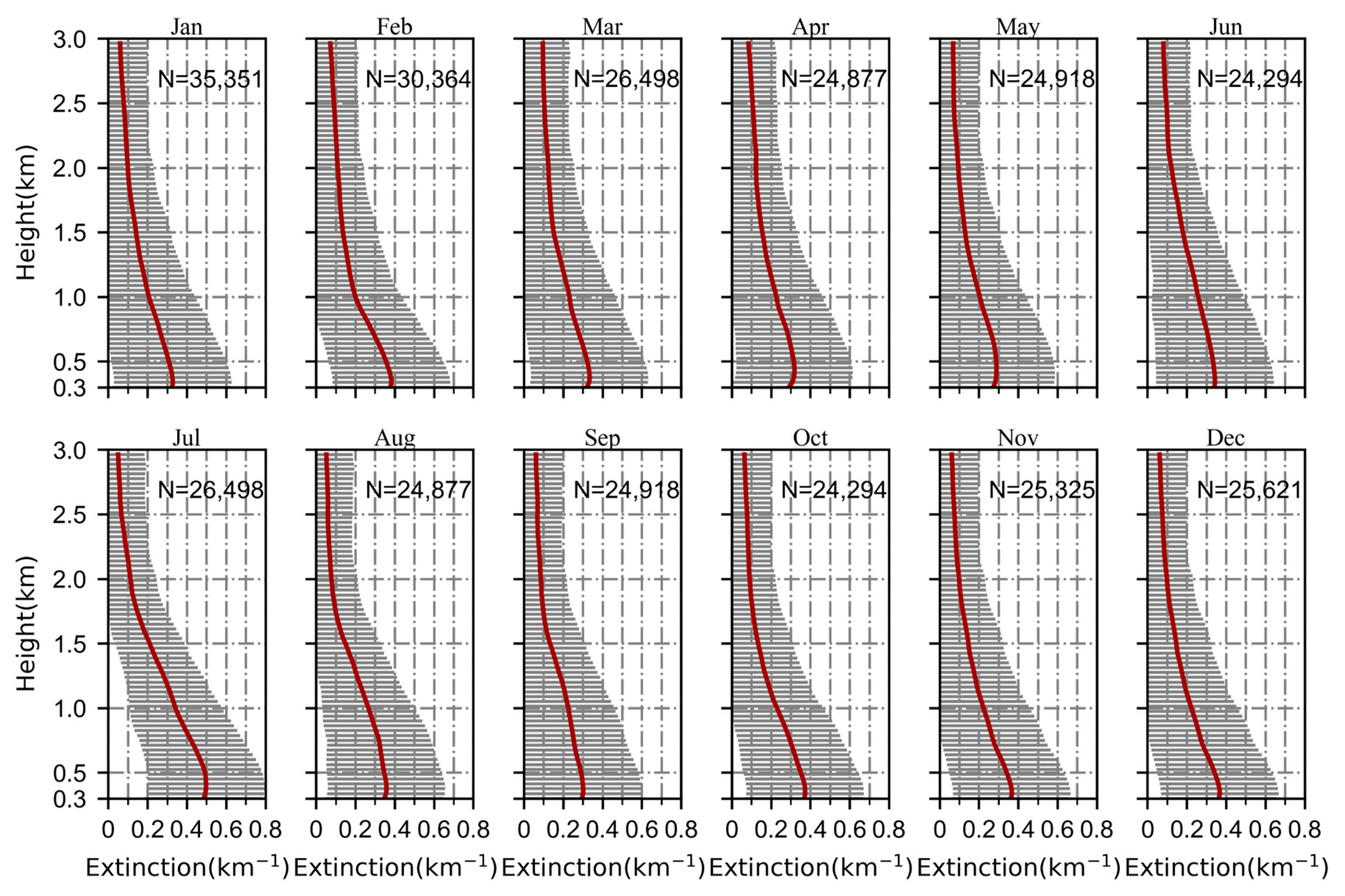
3.1. Climatological Characteristics of the Vertical Distribution of Aerosols
3.2. Case Study of Haze Pollution from 8 to 15 February 2020
3.2.1. Meteorological Conditions within the Boundary Layer
3.2.2. Aerosol Optical Properties
3.3. Characteristics of Changes in Aerosol Precursors
4. Conclusions
Supplementary Materials
Author Contributions
Funding
Data Availability Statement
Acknowledgments
Conflicts of Interest
References
- Zhang, X. Study of atmospheric aerosols and their climate effects in China. Adv. Earth Sci. 2007, 1, 12–16. [Google Scholar]
- Zhang, J.; Gong, C.; Huang, C.; Li, J. Raman LiDAR detection of aerosol optical properties. J. Photonics 2010, 39, 1340–1344. [Google Scholar]
- Samoli, E.; Peng, R.; Ramsay, T.; Pipikou, M.; Touloumi, G.; Dominici, F.; Burnett, R.; Cohen, A.; Krewski, D.; Samet, J.; et al. Acute Effects of Ambient Particulate Matter on Mortality in Europe and North America: Results from the APHENA Study. Environ. Health Perspect. 2008, 116, 1480–1486. [Google Scholar] [CrossRef] [PubMed]
- Zhang, X.; Sun, J.; Wang, Y.; Li, W.; Zhang, Q.; Wang, W.; Quan, J.; Cao, G.; Wang, J.; Yang, Y.; et al. Thinking about the causes of fog and haze in China and its management. Chin. Sci. Bull. 2013, 58, 1178–1187. [Google Scholar]
- Smith, J.D.; Mitsakou, C.; Kitwiroon, N.; Barratt, B.M.; Walton, H.A.; Taylor, J.G.; Anderson, H.R.; Kelly, F.J.; Beevers, S.D. London Hybrid Exposure Model: Improving Human Exposure Estimates to NO2 and PM2.5 in an Urban Setting. Environ. Sci. Technol. 2016, 50, 11760–11768. [Google Scholar] [CrossRef] [PubMed]
- Pang, Y.; Huang, W.; Luo, X.-S.; Chen, Q.; Zhao, Z.; Tang, M.; Hong, Y.; Chen, J.; Li, H. In-Vitro Human Lung Cell Injuries Induced by Urban PM2.5 during a Severe Air Pollution Episode: Variations Associated with Particle Components. Ecotoxicol. Environ. Saf. 2020, 206, 111406. [Google Scholar] [CrossRef]
- Zhao, H.; Gui, K.; Ma, Y.; Wang, Y.; Wang, Y.; Wang, H.; Dou, Y.; Zheng, Y.; Li, L.; Zhang, L.; et al. Effects of Different Aerosols on the Air Pollution and Their Relationship With Meteorological Parameters in North China Plain. Front. Environ. Sci. 2022, 54, 814736. [Google Scholar] [CrossRef]
- Xing, C.; Liu, C.; Wang, S.; Chan, K.L.; Gao, Y.; Huang, X.; Su, W.; Zhang, C.; Dong, Y.; Fan, G.; et al. Observations of the Vertical Distributions of Summertime Atmospheric Pollutants and the Corresponding Ozone Production in Shanghai, China. Atmos. Chem. Phys. 2017, 17, 14275–14289. [Google Scholar] [CrossRef]
- Xing, C.; Liu, C.; Hu, Q.; Fu, Q.; Wang, S.; Lin, H.; Zhu, Y.; Wang, S.; Wang, W.; Javed, Z.; et al. Vertical Distributions of Wintertime Atmospheric Nitrogenous Compounds and the Corresponding OH Radicals Production in Leshan, Southwest China. J. Environ. Sci. 2021, 105, 44–55. [Google Scholar] [CrossRef]
- Twomey, S. The Influence of Pollution on the Shortwave Albedo of Clouds. J. Atmos. Sci. 1977, 34, 1149–1152. [Google Scholar] [CrossRef]
- Dubovik, O.; King, M.D. A Flexible Inversion Algorithm for Retrieval of Aerosol Optical Properties from Sun and Sky Radiance Measurements. J. Geophys. Res.-Atmos. 2000, 105, 20673–20696. [Google Scholar] [CrossRef]
- Eck, T.F.; Holben, B.N.; Reid, J.S.; Giles, D.M.; Rivas, M.A.; Singh, R.P.; Tripathi, S.N.; Bruegge, C.J.; Platnick, S.; Arnold, G.T.; et al. Fog- and Cloud-Induced Aerosol Modification Observed by the Aerosol Robotic Network (AERONET). J. Geophys. Res.-Atmos. 2012, 117, D07206. [Google Scholar] [CrossRef]
- Che, H.; Xia, X.; Zhu, J.; Wang, H.; Wang, Y.; Sun, J.; Zhang, X.; Shi, G. Aerosol Optical Properties under the Condition of Heavy Haze over an Urban Site of Beijing, China. Environ. Sci. Pollut. Res. 2015, 22, 1043–1053. [Google Scholar] [CrossRef] [PubMed]
- Che, H.; Zhang, X.-Y.; Xia, X.; Goloub, P.; Holben, B.; Zhao, H.; Wang, Y.; Zhang, X.-C.; Wang, H.; Blarel, L.; et al. Ground-Based Aerosol Climatology of China: Aerosol Optical Depths from the China Aerosol Remote Sensing Network (CARSNET) 2002–2013. Atmos. Chem. Phys. 2015, 15, 7619–7652. [Google Scholar] [CrossRef]
- Che, H.; Zhao, H.; Wu, Y.; Xia, X.; Zhu, J.; Wang, H.; Wang, Y.; Sun, J.; Yu, J.; Zhang, X.; et al. Analyses of Aerosol Optical Properties and Direct Radiative Forcing over Urban and Industrial Regions in Northeast China. Meteorol. Atmos. Phys. 2015, 127, 345–354. [Google Scholar] [CrossRef]
- Zheng, Y.; Che, H.; Zhao, T.; Zhao, H.; Gui, K.; Sun, T.; An, L.; Yu, J.; Liu, C.; Jiang, Y.; et al. Aerosol Optical Properties Observation and Its Relationship to Meteorological Conditions and Emission during the Chinese National Day and Spring Festival Holiday in Beijing. Atmos. Res. 2017, 197, 188–200. [Google Scholar] [CrossRef]
- Ackerman, A.S.; Kirkpatrick, M.P.; Stevens, D.E.; Toon, O.B. The Impact of Humidity above Stratiform Clouds on Indirect Aerosol Climate Forcing. Nature 2004, 432, 1014–1017. [Google Scholar] [CrossRef] [PubMed]
- Wu, D.; Liu, B.; Qi, F.; Fan, A.; Wang, B.; Zhong, Z.; Bo, G.; Liu, D.; Zhou, J.; Wang, Y. Raman-Mie LiDAR measurements of tropospheric atmospheric aerosol optical properties. J. Atmos. Environ. Opt. 2011, 6, 18–26. [Google Scholar]
- Yang, X.; Zhao, C.; Guo, J.; Wang, Y. Intensification of Aerosol Pollution Associated with Its Feedback with Surface Solar Radiation and Winds in Beijing. J. Geophys. Res.-Atmos. 2016, 121, 4093–4099. [Google Scholar] [CrossRef]
- IPCC. IPCC Sixth Assessment Report: Climate Change 2022; IPCC: Geneva, Switzerland, 2022. [Google Scholar]
- Zheng, Y.; Che, H.; Xia, X.; Wang, Y.; Wang, H.; Wu, Y.; Tao, J.; Zhao, H.; An, L.; Li, L.; et al. Five-Year Observation of Aerosol Optical Properties and Its Radiative Effects to Planetary Boundary Layer during Air Pollution Episodes in North China: Intercomparison of a Plain Site and a Mountainous Site in Beijing. Sci. Total Environ. 2019, 674, 140–158. [Google Scholar] [CrossRef]
- Che, H.; Zhang, X.; Chen, H.; Damiri, B.; Goloub, P.; Li, Z.; Zhang, X.; Wei, Y.; Zhou, H.; Dong, F.; et al. Instrument Calibration and Aerosol Optical Depth Validation of the China Aerosol Remote Sensing Network. J. Geophys. Res.-Atmos. 2009, 114, D03206. [Google Scholar] [CrossRef]
- Sheng, Z.; Che, H.; Chen, Q.; Xia, X.; Liu, D.; Wang, Z.; Zhao, H.; Gui, K.; Zheng, Y.; Sun, T.; et al. Aerosol Vertical Distribution and Optical Properties of Different Pollution Events in Beijing in Autumn 2017. Atmos. Res. 2019, 215, 193–207. [Google Scholar] [CrossRef]
- Luo, X.-S.; Zhao, Z.; Chen, Y.; Ge, X.; Huang, Y.; Suo, C.; Sun, X.; Zhang, D. Effects of Emission Control and Meteorological Parameters on Urban Air Quality Showed by the 2014 Youth Olympic Games in China. Fresenius Environ. Bull. 2017, 26, 4798–4807. [Google Scholar]
- Li, J.; Gao, W.; Cao, L.; Xiao, Y.; Zhang, Y.; Zhao, S.; Liu, Z.; Liu, Z.; Tang, G.; Ji, D.; et al. Significant Changes in Autumn and Winter Aerosol Composition and Sources in Beijing from 2012 to 2018: Effects of Clean Air Actions. Environ. Pollut. 2021, 268, 115855. [Google Scholar] [CrossRef]
- Liang, Y.; Che, H.; Wang, H.; Peng, Y.; Zhang, Y.; Tao, F. Aerosol optical properties and radiation effects of primary pollution processes in Beijing. J. Appl. Meteorol. Sci. 2020, 31, 583–594. [Google Scholar]
- Liang, Y.; Che, H.; Wang, H.; Zhang, W.; Li, L.; Zheng, Y.; Gui, K.; Zhang, P.; Zhang, X. Aerosols Direct Radiative Effects Combined Ground-Based Lidar and Sun-Photometer Observations: Cases Comparison between Haze and Dust Events in Beijing. Remote Sens. 2022, 14, 266. [Google Scholar] [CrossRef]
- Pace, G.; Junkermann, W.; Vitali, L.; Di Sarra, A.; Meloni, D.; Cacciani, M.; Cremona, G.; Iannarelli, A.M.; Zanini, G. On the Complexity of the Boundary Layer Structure and Aerosol Vertical Distribution in the Coastal Mediterranean Regions: A Case Study. Tellus Ser. B-Chem. Phys. Meteorol. 2015, 67, 27721. [Google Scholar] [CrossRef]
- Huige, D.; Siwen, L.; Yun, Y.; Dengxin, H.; Jianyu, W. Observational Study of the Vertical Aerosol and Meteorological Factor Distributions with Respect to Particulate Pollution in Xi’an. Atmos. Environ. 2021, 247, 118215. [Google Scholar] [CrossRef]
- Zhu, J.; Zhu, B.; Huang, Y.; An, J.; Xu, J. PM2.5 Vertical Variation during a Fog Episode in a Rural Area of the Yangtze River Delta, China. Sci. Total Environ. 2019, 685, 555–563. [Google Scholar] [CrossRef]
- Liu, C.; Huang, J.; Wang, Y.; Tao, X.; Hu, C.; Deng, L.; Xu, J.; Xiao, H.-W.; Luo, L.; Xiao, H.-Y.; et al. Vertical Distribution of PM2.5 and Interactions with the Atmospheric Boundary Layer during the Development Stage of a Heavy Haze Pollution Event. Sci. Total Environ. 2020, 704, 135329. [Google Scholar] [CrossRef]
- Xia, X.; Li, Z.; Holben, B.; Wang, P.; Eck, T.; Chen, H.; Cribb, M.; Zhao, Y. Aerosol Optical Properties and Radiative Effects in the Yangtze Delta Region of China. J. Geophys. Res.-Atmos. 2007, 112, D22S12. [Google Scholar] [CrossRef]
- Xia, X.; Chen, H.; Goloub, P.; Zong, X.; Zhang, W.; Wang, P. Climatological Aspects of Aerosol Optical Properties in North China Plain Based on Ground and Satellite Remote-Sensing Data. J. Quant. Spectrosc. Radiat. Transf. 2013, 127, 12–23. [Google Scholar] [CrossRef]
- Wang, H.; Shi, G.Y.; Zhang, X.Y.; Gong, S.L.; Tan, S.C.; Chen, B.; Che, H.Z.; Li, T. Mesoscale Modelling Study of the Interactions between Aerosols and PBL Meteorology during a Haze Episode in China Jing–Jin–Ji and Its near Surrounding Region–Part 2: Aerosols’ Radiative Feedback Effects. Atmos. Chem. Phys. 2015, 15, 3277–3287. [Google Scholar] [CrossRef]
- Zhao, H.; Wu, Z.; Liu, J.; Wu, G. Two Air Pollution Events in the Coastal City of Tianjin, North China Plain. Atmos. Pollut. Res. 2019, 10, 1780–1794. [Google Scholar] [CrossRef]
- Yang, X.; Lu, Y.; Zhu, X.; He, J.; Jiang, Q.; Wu, K.; Wang, H.; Zhang, X.; Wang, S. Formation and Evolution Mechanisms of Severe Haze Pollution in the Sichuan Basin, Southwest China. Aerosol. Air Qual. Res. 2020, 20, 2557–2567. [Google Scholar] [CrossRef]
- Liu, Y.; Zhao, H.; Ma, Y.; Yang, H.; Wang, Y.; Wang, H.; Zhang, Y.; Zou, X.; Wang, H.; Wen, R.; et al. Characteristics of Particulate Matter and Meteorological Conditions of a Typical Air-Pollution Episode in Shenyang, Northeastern China, in Winter 2017. Atmos. Pollut. Res. 2021, 12, 316–327. [Google Scholar] [CrossRef]
- Xing, C.; Liu, C.; Hong, Q.; Liu, H.; Wu, H.; Lin, J.; Song, Y.; Chen, Y.; Liu, T.; Hu, Q.; et al. Vertical Distributions and Potential Sources of Wintertime Atmospheric Pollutants and the Corresponding Ozone Production on the Coast of Bohai Sea. J. Environ. Manag. 2022, 319, 115721. [Google Scholar] [CrossRef]
- Zhang, H.; Wang, Y.; Hu, J.; Ying, Q.; Hu, X.-M. Relationships between Meteorological Parameters and Criteria Air Pollutants in Three Megacities in China. Environ. Res. 2015, 140, 242–254. [Google Scholar] [CrossRef]
- Wang, P.; Cao, J.; Tie, X.; Wang, G.; Li, G.; Hu, T.; Wu, Y.; Xu, Y.; Xu, G.; Zhao, Y.; et al. Impact of Meteorological Parameters and Gaseous Pollutants on PM2.5 and PM10 Mass Concentrations during 2010 in Xi’an, China. Aerosol. Air Qual. Res. 2015, 15, 1844–1854. [Google Scholar] [CrossRef]
- Shi, Z.; Huang, L.; Li, J.; Ying, Q.; Zhang, H.; Hu, J. Sensitivity Analysis of the Surface Ozone and Fine Particulate Matter to Meteorological Parameters in China. Atmos. Chem. Phys. 2020, 20, 13455–13466. [Google Scholar] [CrossRef]
- Chen, Y.; Xie, S. Long-Term Trends and Characteristics of Visibility in Two Megacities in Southwest China: Chengdu and Chongqing. J. Air Waste Manag. Assoc. 2013, 63, 1058–1069. [Google Scholar] [CrossRef]
- Chen, W.; Zhang, S.; Tong, Q.; Zhang, X.; Zhao, H.; Ma, S.; Xiu, A.; He, Y. Regional Characteristics and Causes of Haze Events in Northeast China. Chin. Geogr. Sci. 2018, 28, 836–850. [Google Scholar] [CrossRef]
- Qiao, Z.; Wu, F.; Xu, X.; Yang, J.; Liu, L. Mechanism of Spatiotemporal Air Quality Response to Meteorological Parameters: A National-Scale Analysis in China. Sustainability 2019, 11, 3957. [Google Scholar] [CrossRef]
- Ji, M.; Jiang, Y.; Han, X.; Liu, L.; Xu, X.; Qiao, Z.; Sun, W. Spatiotemporal Relationships between Air Quality and Multiple Meteorological Parameters in 221 Chinese Cities. Complexity 2020, 2020, e6829142. [Google Scholar] [CrossRef]
- Zhang, X.; Zhong, J.; Wang, J.; Wang, Y.; Liu, Y. The Interdecadal Worsening of Weather Conditions Affecting Aerosol Pollution in the Beijing Area in Relation to Climate Warming. Atmos. Chem. Phys. 2018, 18, 5991–5999. [Google Scholar] [CrossRef]
- Jin, L.; Luo, X.; Fu, P.; Li, X. Airborne Particulate Matter Pollution in Urban China: A Chemical Mixture Perspective from Sources to Impacts. Natl. Sci. Rev. 2017, 4, 593–610. [Google Scholar] [CrossRef]
- Zhong, J.; Zhang, X.; Wang, Y. Relatively Weak Meteorological Feedback Effect on PM2.5 Mass Change in Winter 2017/18 in the Beijing Area: Observational Evidence and Machine-Learning Estimations. Sci. Total Environ. 2019, 664, 140–147. [Google Scholar] [CrossRef]
- Yang, S.; Duan, F.; Ma, Y.; Li, H.; Ma, T.; Zhu, L.; Huang, T.; Kimoto, T.; He, K. Mixed and Intensive Haze Pollution during the Transition Period between Autumn and Winter in Beijing, China. Sci. Total Environ. 2020, 711, 134745. [Google Scholar] [CrossRef] [PubMed]
- Zhong, J.; Zhang, X.; Dong, Y.; Wang, Y.; Liu, C.; Wang, J.; Zhang, Y.; Che, H. Feedback Effects of Boundary-Layer Meteorological Factors on Cumulative Explosive Growth of PM2.5 during Winter Heavy Pollution Episodes in Beijing from 2013 to 2016. Atmos. Chem. Phys. 2018, 18, 247–258. [Google Scholar] [CrossRef]
- Zhong, J.; Zhang, X.; Wang, Y.; Liu, C.; Dong, Y. Heavy Aerosol Pollution Episodes in Winter Beijing Enhanced by Radiative Cooling Effects of Aerosols. Atmos. Res. 2018, 209, 59–64. [Google Scholar] [CrossRef]
- Zhong, J.; Zhang, X.; Wang, Y.; Sun, J.; Shen, X.; Xia, C.; Zhang, W. Attribution of the Worse Aerosol Pollution in March 2018 in Beijing to Meteorological Variability. Atmos. Res. 2021, 250, 105294. [Google Scholar] [CrossRef]
- Xu, Q.; Wang, S.; Jiang, J.; Bhattarai, N.; Li, X.; Chang, X.; Qiu, X.; Zheng, M.; Hua, Y.; Hao, J. Nitrate Dominates the Chemical Composition of PM2.5 during Haze Event in Beijing, China. Sci. Total Environ. 2019, 689, 1293–1303. [Google Scholar] [CrossRef] [PubMed]
- Zhang, T.; Che, H.; Gong, Z.; Wang, Y.; Wang, J.; Yang, Y.; Gui, K.; Guo, B. The Two-Way Feedback Effect between Aerosol Pollution and Planetary Boundary Layer Structure on the Explosive Rise of PM2.5 after the “Ten Statements of Atmosphere” in Beijing. Sci. Total Environ. 2020, 709, 136259. [Google Scholar] [CrossRef]
- Zhang, T.; Che, H.; Gong, Z.; Wang, Y.; Wang, J.; Yang, Y. The Dominant Mechanism of the Explosive Rise of PM2.5 after Significant Pollution Emissions Reduction in Beijing from 2017 to the COVID-19 Pandemic in 2020. Atmos. Pollut. Res. 2021, 12, 272–281. [Google Scholar] [CrossRef]
- Sheng, Z. Detection of Aerosol Optical-Radiometric Properties in Urban Beijing Based on Multi-Band Photometry and LiDAR. Master’s Thesis, Chengdu University of Information Technology, Chengdu, China, 2019. [Google Scholar]
- Che, H.; Yang, Z.; Zhang, X.; Zhu, C.; Ma, Q.; Zhou, H.; Wang, P. Study on the Aerosol Optical Properties and Their Relationship with Aerosol Chemical Compositions over Three Regional Background Stations in China. Atmos. Environ. 2009, 43, 1093–1099. [Google Scholar] [CrossRef]
- Zhao, H. Study on the Optical Properties of Atmospheric Aerosols and Their Direct Radiation Effects in Urban Areas of Northeastern China. Ph.D. Dissertation, Chinese Academy of Meteorological Sciences, Beijing, China, 2014. [Google Scholar]
- Zheng, Y.; Che, H.; Yang, L.; Chen, J.; Wang, Y.; Xia, X.; Zhao, H.; Wang, H.; Wang, D.; Gui, K.; et al. Optical and Radiative Properties of Aerosols during a Severe Haze Episode over the North China Plain in December 2016. J. Meteorol. Res. 2017, 31, 1045–1061. [Google Scholar] [CrossRef]
- Dubovik, O.; Sinyuk, A.; Lapyonok, T.; Holben, B.N.; Mishchenko, M.; Yang, P.; Eck, T.F.; Volten, H.; Muñoz, O.; Veihelmann, B.; et al. Application of Spheroid Models to Account for Aerosol Particle Nonsphericity in Remote Sensing of Desert Dust. J. Geophys. Res. Atmos. 2006, 111. [Google Scholar] [CrossRef]
- Che, H.; Xia, X.; Zhu, J.; Li, Z.; Dubovik, O.; Holben, B.; Goloub, P.; Chen, H.; Estelles, V.; Cuevas-Agulló, E.; et al. Column Aerosol Optical Properties and Aerosol Radiative Forcing during a Serious Haze-Fog Month over North China Plain in 2013 Based on Ground-Based Sunphotometer Measurements. Atmos. Chem. Phys. 2014, 14, 2125–2138. [Google Scholar] [CrossRef]
- Wang, J.; Yang, Y.; Zhang, X.; Liu, H.; Che, H.; Shen, X.; Wang, Y. On the Influence of Atmospheric Super-Saturation Layer on China’s Heavy Haze-Fog Events. Atmos. Environ. 2017, 171, 261–271. [Google Scholar] [CrossRef]
- Tao, N.; Wang, J.; Yang, Y.; Jiang, X.; Jiang, Y.; Che, H. The Impact of the Large-Scale Circulation Anomalies in the Northern Hemisphere on Air Quality in Wuhan of China during the Spring Festival in 2020. J. Atmos. Sol.-Terr. Phys. 2022, 238, 105931. [Google Scholar] [CrossRef]
- Wallace, J.M.; Hobbs, P.V. Atmosphere Science; Elsevier: Amsterdam, The Netherlands, 2008; Volume 486. [Google Scholar]
- Zhang, Y.; Guo, J.; Yang, Y.; Wang, Y.; Yim, S.H.L. Vertical Wind Shear Modulates Particulate Matter Pollutions: A Perspective from Radar Wind Profiler Observations in Beijing, China. Remote Sens. 2020, 12, 546. [Google Scholar] [CrossRef]
- Kang, B.; Liu, C.; Miao, C.; Zhang, T.; Li, Z.; Hou, C.; Li, H.; Li, C.; Zheng, Y.; Che, H. A Comprehensive Study of a Winter Haze Episode over the Area around Bohai Bay in Northeast China: Insights from Meteorological Elements Observations of Boundary Layer. Sustainability 2022, 14, 5424. [Google Scholar] [CrossRef]
- Sun, T. Study on Vertical Observation of Aerosol Optical-Radiative Properties in Hangzhou Area. Master’s Thesis, Chinese Academy of Meteorological Sciences, Beijing, China, 2018. [Google Scholar]
- Sun, J.; Zhang, L.; Shen, X.; Che, H.; Zhang, Y.; Fan, R.; Ma, Q.; Yue, Y.; Yu, X. Progress in the study of scattering hygroscopic growth characteristics of atmospheric aerosols. ACTA Meteorol. Sin. 2016, 74, 672–682. [Google Scholar]
- Qi, X. Observational Study on the Growth Characteristics of Atmospheric Aerosol Scattering Hygroscopicity in North China. Master’s Thesis, Chinese Academy of Meteorological Sciences, Beijing, China, 2018. [Google Scholar]
- Xiang, Y.; Zhang, T.; Liu, J.; Lv, L.; Dong, Y.; Chen, Z. Atmosphere Boundary Layer Height and Its Effect on Air Pollutants in Beijing during Winter Heavy Pollution. Atmos. Res. 2019, 215, 305–316. [Google Scholar] [CrossRef]
- Liu, B.; Ma, Y.; Guo, J.; Gong, W.; Zhang, Y.; Mao, F.; Li, J.; Guo, X.; Shi, Y. Boundary Layer Heights as Derived From Ground-Based Radar Wind Profiler in Beijing. IEEE Trans. Geosci. Remote Sens. 2019, 57, 8095–8104. [Google Scholar] [CrossRef]
- Solanki, R.; Guo, J.; Li, J.; Singh, N.; Guo, X.; Han, Y.; Lv, Y.; Zhang, J.; Liu, B. Atmospheric-Boundary-Layer-Height Variation over Mountainous and Urban Sites in Beijing as Derived from Radar Wind-Profiler Measurements. Bound.-Layer Meteor. 2021, 181, 125–144. [Google Scholar] [CrossRef]
- Miao, Y.; Che, H.; Zhang, X.; Liu, S. Integrated Impacts of Synoptic Forcing and Aerosol Radiative Effect on Boundary Layer and Pollution in the Beijing-Tianjin-Hebei Region, China. Atmos. Chem. Phys. 2020, 20, 5899–5909. [Google Scholar] [CrossRef]
- Fan, F.; Chen, Y.; Lu, J.; Zhao, Y.; Gao, J.; Chai, F.; Dong, S. LiDAR observations before and after the strong dust process in Beijing in spring. Res. Environ. Sci. 2013, 26, 1155–1161. [Google Scholar] [CrossRef]
- Yao, W.; Che, H.; Gui, K.; Wang, Y.; Zhang, X. Can MERRA-2 Reanalysis Data Reproduce the Three-Dimensional Evolution Characteristics of a Typical Dust Process in East Asia? A Case Study of the Dust Event in May 2017. Remote Sens. 2020, 12, 902. [Google Scholar] [CrossRef]
- Ren, H.; Li, A.; Xie, P.; Hu, Z.; Xu, J.; Huang, Y.; Li, X.; Zhong, H.; Zhang, H.; Tian, X.; et al. The Characterization of Haze and Dust Processes Using MAX-DOAS in Beijing, China. Remote Sens. 2021, 13, 5133. [Google Scholar] [CrossRef]
- Ma, Y.; Ye, J.; Xin, J.; Zhang, W.; de Arellano, J.V.-G.; Wang, S.; Zhao, D.; Dai, L.; Ma, Y.; Wu, X.; et al. The Stove, Dome, and Umbrella Effects of Atmospheric Aerosol on the Development of the Planetary Boundary Layer in Hazy Regions. Geophys. Res. Lett. 2020, 47, e2020GL087373. [Google Scholar] [CrossRef]
- Ma, Y. How Do Aerosols above the Residual Layer Affect the Planetary Boundary Layer Height? Sci. Total Environ. 2022, 9, 151953. [Google Scholar] [CrossRef] [PubMed]
- Li, L.; Zhou, M.; Li, X. The interaction between nocturnal urban atmospheric boundary layer and aerosols. J. Appl. Meteorol. Sci. 1992, 3, 32–41. [Google Scholar]
- Moradi, I.; Arkin, P.; Ferraro, R.; Eriksson, P.; Fetzer, E. Diurnal Variation of Tropospheric Relative Humidity in Tropical Regions. Atmos. Chem. Phys. 2016, 16, 6913–6929. [Google Scholar] [CrossRef]
- He, J. Air Pollution Characteristics and Their Relation to Meteorological Conditions during 2014–2015 in Major Chinese Cities. Environ. Pollut. 2017, 223, 484–496. [Google Scholar] [CrossRef]
- Giles, D.M.; Holben, B.N.; Eck, T.F.; Sinyuk, A.; Smirnov, A.; Slutsker, I.; Dickerson, R.R.; Thompson, A.M.; Schafer, J.S. An Analysis of AERONET Aerosol Absorption Properties and Classifications Representative of Aerosol Source Regions. J. Geophys. Res.-Atmos. 2012, 117, D17203. [Google Scholar] [CrossRef]
- Zhang, Y.; Li, Z.; Cuesta, J.; Li, D.; Wei, P.; Xie, Y.; Li, L. Aerosol Column Size Distribution and Water Uptake Observed during a Major Haze Outbreak over Beijing on January 2013. Aerosol. Air Qual. Res. 2015, 15, 945–957. [Google Scholar] [CrossRef]
- Russell, P.B.; Bergstrom, R.W.; Shinozuka, Y.; Clarke, A.D.; DeCarlo, P.F.; Jimenez, J.L.; Livingston, J.M.; Redemann, J.; Dubovik, O.; Strawa, A. Absorption Angstrom Exponent in AERONET and Related Data as an Indicator of Aerosol Composition. Atmos. Chem. Phys. 2010, 10, 1155–1169. [Google Scholar] [CrossRef]
- Zhang, Y.-L.; Cao, F. Fine Particulate Matter (PM2.5) in China at a City Level. Sci. Rep. 2015, 5, 14884. [Google Scholar] [CrossRef]
- Zhang, R.; Wang, G.; Guo, S.; Zarnora, M.L.; Ying, Q.; Lin, Y.; Wang, W.; Hu, M.; Wang, Y. Formation of Urban Fine Particulate Matter. Chem. Rev. 2015, 115, 3803–3855. [Google Scholar] [CrossRef]
- Wu, L.; Zhang, X.; Sun, J.; Wang, Y.; Zhong, J.; Meng, Z. Intensified Wintertime Secondary Inorganic Aerosol Formation during Heavy Haze Pollution Episodes (HPEs) in Beijing, China. J. Environ. Sci. 2022, 114, 503–513. [Google Scholar] [CrossRef] [PubMed]
- Chi, Q. Study on the Spatial and Temporal Distribution and Transformation Mechanism of Ozone and Secondary Inorganic Aerosol Formation in North China. Ph.D. Dissertation, University of Science and Technology of China, Beijing, China, 2018. [Google Scholar]
- Wang, Q.; Yu, Y.; Meng, M.; Jiang, Q.; Zhang, T.; Chao, N.; Wu, D.; Wu, J. Analysis of the causes of atmospheric PM_(2.5) pollution in a typical city in Zhejiang during a period of heavy air pollution in the Yangtze River Delta. Environ. Pollut. Prev. 2019, 41, 1076–1081. [Google Scholar] [CrossRef]
- Han, L.; Yan, H.; Xiang, X.; Liu, X.; Shi, R.; Wang, H.; Cheng, S.; Wang, H. Characteristics, Evolution, and Potential Source Regions of Submicron Aerosol in Beijing, China. Atmos. Environ. 2021, 246, 118061. [Google Scholar] [CrossRef]










Disclaimer/Publisher’s Note: The statements, opinions and data contained in all publications are solely those of the individual author(s) and contributor(s) and not of MDPI and/or the editor(s). MDPI and/or the editor(s) disclaim responsibility for any injury to people or property resulting from any ideas, methods, instructions or products referred to in the content. |
© 2023 by the authors. Licensee MDPI, Basel, Switzerland. This article is an open access article distributed under the terms and conditions of the Creative Commons Attribution (CC BY) license (https://creativecommons.org/licenses/by/4.0/).
Share and Cite
Zhang, X.; Zheng, Y.; Che, H.; Gui, K.; Li, L.; Zhao, H.; Liang, Y.; Yao, W.; Zhang, X.; Zhao, H.; et al. Seasonal and Diurnal Characteristics of the Vertical Profile of Aerosol Optical Properties in Urban Beijing, 2017–2021. Remote Sens. 2023, 15, 475. https://doi.org/10.3390/rs15020475
Zhang X, Zheng Y, Che H, Gui K, Li L, Zhao H, Liang Y, Yao W, Zhang X, Zhao H, et al. Seasonal and Diurnal Characteristics of the Vertical Profile of Aerosol Optical Properties in Urban Beijing, 2017–2021. Remote Sensing. 2023; 15(2):475. https://doi.org/10.3390/rs15020475
Chicago/Turabian StyleZhang, Xinglu, Yu Zheng, Huizheng Che, Ke Gui, Lei Li, Hujia Zhao, Yuanxin Liang, Wenrui Yao, Xindan Zhang, Hengheng Zhao, and et al. 2023. "Seasonal and Diurnal Characteristics of the Vertical Profile of Aerosol Optical Properties in Urban Beijing, 2017–2021" Remote Sensing 15, no. 2: 475. https://doi.org/10.3390/rs15020475
APA StyleZhang, X., Zheng, Y., Che, H., Gui, K., Li, L., Zhao, H., Liang, Y., Yao, W., Zhang, X., Zhao, H., Lu, Y., & Zhang, X. (2023). Seasonal and Diurnal Characteristics of the Vertical Profile of Aerosol Optical Properties in Urban Beijing, 2017–2021. Remote Sensing, 15(2), 475. https://doi.org/10.3390/rs15020475

