Identifying the Effects of Vegetation on Urban Surface Temperatures Based on Urban–Rural Local Climate Zones in a Subtropical Metropolis
Abstract
:1. Introduction
2. Materials and Methods
2.1. Study Area
2.2. Study Framework
2.3. Land Surface Temperature
2.4. Seasonal NDVI Values
2.5. Local Climate Zones
2.6. Local Climate Zone–Land Cover (LCZ-LC) Subdivision Vegetation Classification
2.7. Urban–Rural Gradients
2.8. Statistical Analysis
3. Results
3.1. Spatial Variations in LST Depending on Local Climate Zone Scheme and Urban–Rural Gradients
3.2. Correlations between the LST and NDVI Values
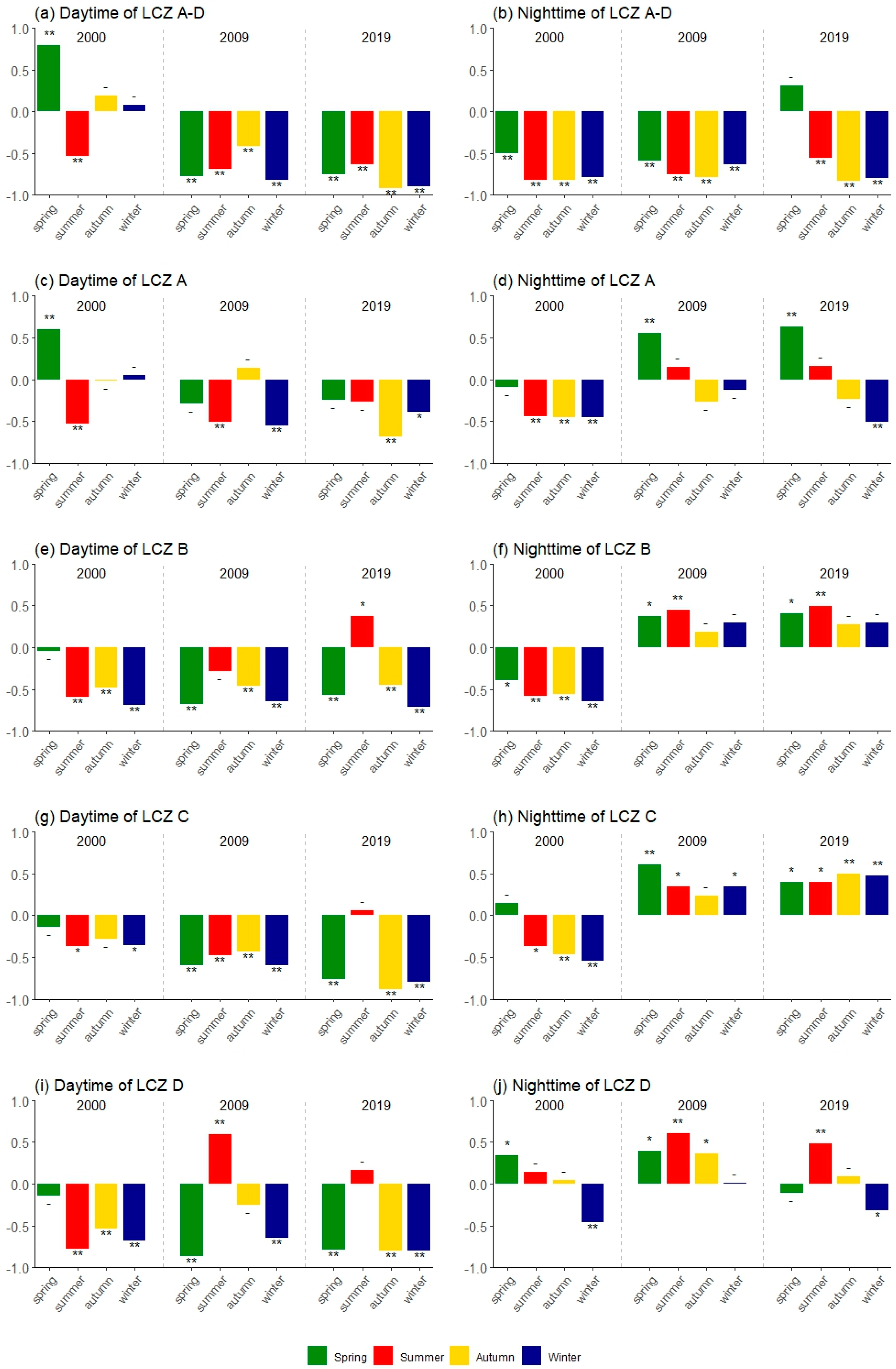
3.3. Mitigation Effect of Subdivided Vegetation Types on Land Surface Temperature Based on Local Climate Zone–Land Cover (LCZ-LC) Classification
4. Discussion
4.1. Spatial Variations in the LST across Local Climate Zones and Urban–Rural Gradients
4.2. Associations between the Land Surface Temperature and NDVI Values
4.3. Cooling Effect of Vegetation Types on the Urban Thermal Environment
4.4. Limitations and Outlook
5. Conclusions
Author Contributions
Funding
Data Availability Statement
Acknowledgments
Conflicts of Interest
References
- Ahmed, Z.; Asghar, M.M.; Malik, M.N.; Nawaz, K. Moving towards a Sustainable Environment: The Dynamic Linkage between Natural Resources, Human Capital, Urbanization, Economic Growth, and Ecological Footprint in China. Resour. Policy 2020, 67, 101677. [Google Scholar] [CrossRef]
- Fan, Y.; Fang, C.; Zhang, Q. Coupling Coordinated Development between Social Economy and Ecological Environment in Chinese Provincial Capital Cities-Assessment and Policy Implications. J. Clean. Prod. 2019, 229, 289–298. [Google Scholar] [CrossRef]
- Liu, X.; He, J.; Xiong, K.; Liu, S.; He, B.-J. Identification of Factors Affecting Public Willingness to Pay for Heat Mitigation and Adaptation: Evidence from Guangzhou, China. Urban Clim. 2023, 48, 101405. [Google Scholar] [CrossRef]
- Wang, R.; Cai, M.; Ren, C.; Bechtel, B.; Xu, Y.; Ng, E. Detecting Multi-Temporal Land Cover Change and Land Surface Temperature in Pearl River Delta by Adopting Local Climate Zone. Urban Clim. 2019, 28, 100455. [Google Scholar] [CrossRef]
- Zhou, J.; Liu, J.; Chu, Q.; Wang, H.; Shao, W.; Luo, Z.; Zhang, Y. Mechanisms and Empirical Modeling of Evaporation from Hardened Surfaces in Urban Areas. Int. J. Environ. Res. Public Health 2021, 18, 1790. [Google Scholar] [CrossRef] [PubMed]
- Huang, X.; Huang, J.; Wen, D.; Li, J. An Updated MODIS Global Urban Extent Product (MGUP) from 2001 to 2018 Based on an Automated Mapping Approach. Int. J. Appl. Earth Obs. Geoinf. 2021, 95, 102255. [Google Scholar] [CrossRef]
- Yim, S.H.L.; Wang, M.; Gu, Y.; Yang, Y.; Dong, G.; Li, Q. Effect of Urbanization on Ozone and Resultant Health Effects in the Pearl River Delta Region of China. J. Geophys. Res. Atmos. 2019, 124, 11568–11579. [Google Scholar] [CrossRef]
- Liu, S.; Wang, Y.; Liu, X.; Yang, L.; Zhang, Y.; He, J. How Does Future Climatic Uncertainty Affect Multi-Objective Building Energy Retrofit Decisions? Evidence from Residential Buildings in Subtropical Hong Kong. Sustain. Cities Soc. 2023, 92, 104482. [Google Scholar] [CrossRef]
- Morakinyo, T.E.; Kong, L.; Lau, K.K.-L.; Yuan, C.; Ng, E. A Study on the Impact of Shadow-Cast and Tree Species on in-Canyon and Neighborhood’s Thermal Comfort. Build Environ. 2017, 115, 1–17. [Google Scholar] [CrossRef]
- Kaufmann, R.K.; Zhou, L.; Myneni, R.B.; Tucker, C.J.; Slayback, D.; Shabanov, N.V.; Pinzon, J. The Effect of Vegetation on Surface Temperature: A Statistical Analysis of NDVI and Climate Data. Geophys. Res. Lett. 2003, 30. [Google Scholar] [CrossRef]
- Peng, S.-S.; Piao, S.; Zeng, Z.; Ciais, P.; Zhou, L.; Li, L.Z.X.; Myneni, R.B.; Yin, Y.; Zeng, H. Afforestation in China Cools Local Land Surface Temperature. Proc. Natl. Acad. Sci. USA 2014, 111, 2915–2919. [Google Scholar] [CrossRef] [PubMed]
- Li, Y.; Zhao, M.; Motesharrei, S.; Mu, Q.; Kalnay, E.; Li, S. Local Cooling and Warming Effects of Forests Based on Satellite Observations. Nat. Commun. 2015, 6, 6603. [Google Scholar] [CrossRef] [PubMed]
- Estoque, R.C.; Murayama, Y.; Myint, S.W. Effects of Landscape Composition and Pattern on Land Surface Temperature: An Urban Heat Island Study in the Megacities of Southeast Asia. Sci. Total Environ. 2017, 577, 349–359. [Google Scholar] [CrossRef] [PubMed]
- Avissar, R. Potential Effects of Vegetation on the Urban Thermal Environment. Atmos Environ. 1996, 30, 437–448. [Google Scholar] [CrossRef]
- Kawashima, S. Effect of Vegetation on Surface Temperature in Urban and Suburban Areas in Winter. Energy Build 1990, 15, 465–469. [Google Scholar] [CrossRef]
- Yu, Z.; Guo, X.; Jørgensen, G.; Vejre, H. How Can Urban Green Spaces Be Planned for Climate Adaptation in Subtropical Cities? Ecol. Indic. 2017, 82, 152–162. [Google Scholar] [CrossRef]
- Peng, S.; Piao, S.; Ciais, P.; Friedlingstein, P.; Ottle, C.; Bréon, F.-M.; Nan, H.; Zhou, L.; Myneni, R.B. Surface Urban Heat Island Across 419 Global Big Cities. Environ. Sci. Technol. 2012, 46, 696–703. [Google Scholar] [CrossRef]
- Bokaie, M.; Zarkesh, M.K.; Arasteh, P.D.; Hosseini, A. Assessment of Urban Heat Island Based on the Relationship between Land Surface Temperature and Land Use/ Land Cover in Tehran. Sustain. Cities Soc. 2016, 23, 94–104. [Google Scholar] [CrossRef]
- Amiri, R.; Weng, Q.; Alimohammadi, A.; Alavipanah, S.K. Spatial–Temporal Dynamics of Land Surface Temperature in Relation to Fractional Vegetation Cover and Land Use/Cover in the Tabriz Urban Area, Iran. Remote Sens. Environ. 2009, 113, 2606–2617. [Google Scholar] [CrossRef]
- Tran, D.X.; Pla, F.; Latorre-Carmona, P.; Myint, S.W.; Caetano, M.; Kieu, H.V. Characterizing the Relationship between Land Use Land Cover Change and Land Surface Temperature. ISPRS J. Photogramm. Remote Sens. 2017, 124, 119–132. [Google Scholar] [CrossRef]
- Stewart, I.D.; Oke, T.R. Local Climate Zones for Urban Temperature Studies. Bull. Am. Meteorol. Soc. 2012, 93, 1879–1900. [Google Scholar] [CrossRef]
- Bechtel, B.; Demuzere, M.; Mills, G.; Zhan, W.; Sismanidis, P.; Small, C.; Voogt, J. SUHI Analysis Using Local Climate Zones—A Comparison of 50 Cities. Urban Clim. 2019, 28, 100451. [Google Scholar] [CrossRef]
- Xia, H.; Chen, Y.; Song, C.; Li, J.; Quan, J.; Zhou, G. Analysis of Surface Urban Heat Islands Based on Local Climate Zones via Spatiotemporally Enhanced Land Surface Temperature. Remote Sens. Environ. 2022, 273, 112972. [Google Scholar] [CrossRef]
- Geletič, J.; Lehnert, M.; Dobrovolný, P. Land Surface Temperature Differences within Local Climate Zones, Based on Two Central European Cities. Remote Sens. 2016, 8, 788. [Google Scholar] [CrossRef]
- Shi, L.; Ling, F.; Foody, G.M.; Yang, Z.; Liu, X.; Du, Y. Seasonal SUHI Analysis Using Local Climate Zone Classification: A Case Study of Wuhan, China. Int. J. Environ. Res. Public Health 2021, 18, 7242. [Google Scholar] [CrossRef] [PubMed]
- Chen, J.; Chen, J.; Liao, A.; Cao, X.; Chen, L.; Chen, X.; He, C.; Han, G.; Peng, S.; Lu, M.; et al. Global Land Cover Mapping at 30 m Resolution: A POK-Based Operational Approach. ISPRS J. Photogramm. Remote Sens. 2015, 103, 7–27. [Google Scholar] [CrossRef]
- Gong, P.; Liu, H.; Zhang, M.; Li, C.; Wang, J.; Huang, H.; Clinton, N.; Ji, L.; Li, W.; Bai, Y.; et al. Stable Classification with Limited Sample: Transferring a 30-m Resolution Sample Set Collected in 2015 to Mapping 10-m Resolution Global Land Cover in 2017. Sci. Bull. 2019, 64, 370–373. [Google Scholar] [CrossRef]
- Zhang, X.; Liu, L.; Chen, X.; Gao, Y.; Xie, S.; Mi, J. GLC_FCS30: Global Land-Cover Product with Fine Classification System at 30 m Using Time-Series Landsat Imagery. Earth Syst. Sci. Data 2021, 13, 2753–2776. [Google Scholar] [CrossRef]
- van Vliet, J.; Birch-Thomsen, T.; Gallardo, M.; Hemerijckx, L.-M.; Hersperger, A.M.; Li, M.; Tumwesigye, S.; Twongyirwe, R.; van Rompaey, A. Bridging the Rural-Urban Dichotomy in Land Use Science. J. Land Use Sci. 2020, 15, 585–591. [Google Scholar] [CrossRef]
- Kroll, F.; Müller, F.; Haase, D.; Fohrer, N. Rural–Urban Gradient Analysis of Ecosystem Services Supply and Demand Dynamics. Land Use Policy 2012, 29, 521–535. [Google Scholar] [CrossRef]
- Radford, K.G.; James, P. Changes in the Value of Ecosystem Services along a Rural–Urban Gradient: A Case Study of Greater Manchester, UK. Landsc. Urban Plan. 2013, 109, 117–127. [Google Scholar] [CrossRef]
- Li, M.; van Vliet, J.; Ke, X.; Verburg, P.H. Mapping Settlement Systems in China and Their Change Trajectories between 1990 and 2010. Habitat Int. 2019, 94, 102069. [Google Scholar] [CrossRef]
- Salem, M.; Tsurusaki, N.; Divigalpitiya, P. Land Use/Land Cover Change Detection and Urban Sprawl in the Peri-Urban Area of Greater Cairo since the Egyptian Revolution of 2011. J. Land Use Sci. 2020, 15, 592–606. [Google Scholar] [CrossRef]
- Guo, A.; Yue, W.; Yang, J.; He, T.; Zhang, M.; Li, M. Divergent Impact of Urban 2D/3D Morphology on Thermal Environment along Urban Gradients. Urban Clim. 2022, 45, 101278. [Google Scholar] [CrossRef]
- Liu, Y.; Cao, X.; Li, T. Identifying Driving Forces of Built-Up Land Expansion Based on the Geographical Detector: A Case Study of Pearl River Delta Urban Agglomeration. Int. J. Environ. Res. Public Health 2020, 17, 1759. [Google Scholar] [CrossRef]
- Xie, J.; Ren, C.; Li, X.; Chung, L.C.H. Investigate the Urban Growth and Urban-Rural Gradients Based on Local Climate Zones (1999–2019) in the Greater Bay Area, China. Remote Sens. Appl. 2022, 25, 100669. [Google Scholar] [CrossRef]
- Zhou, D.; Xiao, J.; Bonafoni, S.; Berger, C.; Deilami, K.; Zhou, Y.; Frolking, S.; Yao, R.; Qiao, Z.; Sobrino, J. Satellite Remote Sensing of Surface Urban Heat Islands: Progress, Challenges, and Perspectives. Remote Sens. 2018, 11, 48. [Google Scholar] [CrossRef]
- Hansen, J.; Ruedy, R.; Sato, M.; Lo, K. Global Surface Temperature Change. Rev. Geophys. 2010, 48, RG4004. [Google Scholar] [CrossRef]
- Sun, D.; Kafatos, M. Note on the NDVI-LST Relationship and the Use of Temperature-Related Drought Indices over North America. Geophys. Res. Lett. 2007, 34, L24406. [Google Scholar] [CrossRef]
- Ye, Y.; Bryan, B.A.; Zhang, J.; Connor, J.D.; Chen, L.; Qin, Z.; He, M. Changes in Land-Use and Ecosystem Services in the Guangzhou-Foshan Metropolitan Area, China from 1990 to 2010: Implications for Sustainability under Rapid Urbanization. Ecol. Indic. 2018, 93, 930–941. [Google Scholar] [CrossRef]
- Chen, H.; Chen, B.; Chen, W.; Chang, M.; Wang, X.; Wang, W. Contribution of Future Urbanization to Summer Regional Warming in the Pearl River Delta. Urban Clim. 2023, 49, 101476. [Google Scholar] [CrossRef]
- Nichol, J.E.; Choi, S.Y.; Wong, M.S.; Abbas, S. Temperature Change and Urbanisation in a Multi-Nucleated Megacity: China’s Pearl River Delta. Urban Clim. 2020, 31, 100592. [Google Scholar] [CrossRef]
- Deng, F.; Yang, Y.; Zhao, E.; Xu, N.; Li, Z.; Zheng, P.; Han, Y.; Gong, J. Urban Heat Island Intensity Changes in Guangdong-Hong Kong-Macao Greater Bay Area of China Revealed by Downscaling MODIS LST with Deep Learning. Int. J. Environ. Res. Public Health 2022, 19, 17001. [Google Scholar] [CrossRef] [PubMed]
- Bechtel, B.; Alexander, P.; Böhner, J.; Ching, J.; Conrad, O.; Feddema, J.; Mills, G.; See, L.; Stewart, I. Mapping Local Climate Zones for a Worldwide Database of the Form and Function of Cities. ISPRS Int. J. Geoinf. 2015, 4, 199–219. [Google Scholar] [CrossRef]
- Cai, M.; Ren, C.; Xu, Y.; Lau, K.K.-L.; Wang, R. Investigating the Relationship between Local Climate Zone and Land Surface Temperature Using an Improved WUDAPT Methodology—A Case Study of Yangtze River Delta, China. Urban Clim. 2018, 24, 485–502. [Google Scholar] [CrossRef]
- Li, L.; Zhao, Z.; Wang, H.; Shen, L.; Liu, N.; He, B.-J. Variabilities of Land Surface Temperature and Frontal Area Index Based on Local Climate Zone. IEEE J. Sel. Top. Appl. Earth Obs. Remote Sens. 2022, 15, 2166–2174. [Google Scholar] [CrossRef]
- Eldesoky, A.H.M.; Gil, J.; Pont, M.B. The Suitability of the Urban Local Climate Zone Classification Scheme for Surface Temperature Studies in Distinct Macroclimate Regions. Urban Clim. 2021, 37, 100823. [Google Scholar] [CrossRef]
- Chandler, T.J. London’s Urban Climate. Geogr. J. 1962, 128, 279–298. [Google Scholar] [CrossRef]
- Aginta, F.; Damayanti, A.; Dimyati, M. Impact of Vegetation Density Change on Land Surface Temperature in Kuta Utara Subdistrict, Badung Regency, Bali Province. J. Phys. Conf. Ser. 2021, 1811, 012077. [Google Scholar] [CrossRef]
- Shi, Z.; Yang, J.; Zhang, Y.; Xiao, X.; Xia, J.C. Urban Ventilation Corridors and Spatiotemporal Divergence Patterns of Urban Heat Island Intensity: A Local Climate Zone Perspective. Environ. Sci. Pollut. Res. 2022, 29, 74394–74406. [Google Scholar] [CrossRef]
- Marzban, F.; Sodoudi, S.; Preusker, R. The Influence of Land-Cover Type on the Relationship between NDVI–LST and LST-Tair. Int. J. Remote Sens. 2018, 39, 1377–1398. [Google Scholar] [CrossRef]
- Guo, G.; Zhou, X.; Wu, Z.; Xiao, R.; Chen, Y. Characterizing the Impact of Urban Morphology Heterogeneity on Land Surface Temperature in Guangzhou, China. Environ. Model. Softw. 2016, 84, 427–439. [Google Scholar] [CrossRef]
- Jamei, Y.; Rajagopalan, P.; Sun, Q. Spatial Structure of Surface Urban Heat Island and Its Relationship with Vegetation and Built-up Areas in Melbourne, Australia. Sci. Total Environ. 2019, 659, 1335–1351. [Google Scholar] [CrossRef]
- Yang, J.; Luo, X.; Jin, C.; Xiao, X.; Xia, J. Spatiotemporal Patterns of Vegetation Phenology along the Urban–Rural Gradient in Coastal Dalian, China. Urban For. Urban Green. 2020, 54, 126784. [Google Scholar] [CrossRef]
- Weng, Q.; Lu, D.; Schubring, J. Estimation of Land Surface Temperature–Vegetation Abundance Relationship for Urban Heat Island Studies. Remote Sens. Environ. 2004, 89, 467–483. [Google Scholar] [CrossRef]
- Lo, C.P.; Quattrochi, D.A.; Luvall, J.C. Application of High-Resolution Thermal Infrared Remote Sensing and GIS to Assess the Urban Heat Island Effect. Int. J. Remote Sens. 1997, 18, 287–304. [Google Scholar] [CrossRef]
- Bayarjargal, Y.; Karnieli, A.; Bayasgalan, M.; Khudulmur, S.; Gandush, C.; Tucker, C. A Comparative Study of NOAA–AVHRR Derived Drought Indices Using Change Vector Analysis. Remote Sens. Environ. 2006, 105, 9–22. [Google Scholar] [CrossRef]
- Tan, J.; Piao, S.; Chen, A.; Zeng, Z.; Ciais, P.; Janssens, I.A.; Mao, J.; Myneni, R.B.; Peng, S.; Peñuelas, J.; et al. Seasonally Different Response of Photosynthetic Activity to Daytime and Night-time Warming in the Northern Hemisphere. Glob. Chang. Biol. 2015, 21, 377–387. [Google Scholar] [CrossRef]
- Lindberg, F.; Grimmond, C.S.B. The Influence of Vegetation and Building Morphology on Shadow Patterns and Mean Radiant Temperatures in Urban Areas: Model Development and Evaluation. Theor. Appl. Clim. 2011, 105, 311–323. [Google Scholar] [CrossRef]
- Zellweger, F.; Coomes, D.; Lenoir, J.; Depauw, L.; Maes, S.L.; Wulf, M.; Kirby, K.J.; Brunet, J.; Kopecký, M.; Máliš, F.; et al. Seasonal Drivers of Understorey Temperature Buffering in Temperate Deciduous Forests across Europe. Glob. Ecol. Biogeogr. 2019, 28, 1774–1786. [Google Scholar] [CrossRef]
- Shashua-Bar, L.; Pearlmutter, D.; Erell, E. The Cooling Efficiency of Urban Landscape Strategies in a Hot Dry Climate. Landsc. Urban Plan. 2009, 92, 179–186. [Google Scholar] [CrossRef]
- Su, Y.; Wu, J.; Zhang, C.; Wu, X.; Li, Q.; Liu, L.; Bi, C.; Zhang, H.; Lafortezza, R.; Chen, X. Estimating the Cooling Effect Magnitude of Urban Vegetation in Different Climate Zones Using Multi-Source Remote Sensing. Urban Clim. 2022, 43, 101155. [Google Scholar] [CrossRef]
- Chung, L.C.H.; Xie, J.; Ren, C. Improved Machine-Learning Mapping of Local Climate Zones in Metropolitan Areas Using Composite Earth Observation Data in Google Earth Engine. Build Environ. 2021, 199, 107879. [Google Scholar] [CrossRef]








| Example | Building Types | Example | Land Cover Types |
|---|---|---|---|
![]() | LCZ 1: Compact high-rise | ![]() | LCZ A: Dense trees |
![]() | LCZ 2: Compact mid-rise | ![]() | LCZ B: Scattered trees |
![]() | LCZ 3: Compact low-rise | ![]() | LCZ C: Bush, scrub |
![]() | LCZ 4: Open high-rise | ![]() | LCZ D: Low plants |
![]() | LCZ 5: Open mid-rise | ![]() | LCZ E: Bare rock or paved |
![]() | LCZ 6: Open low-rise | ![]() | LCZ F: Bare soil or sand |
![]() | LCZ 7: Lightweight low-rise | ![]() | LCZ G: Water |
![]() | LCZ 8: Large low-rise | ![]() | LCZ H: Wetlands |
![]() | LCZ 9: Sparsely built | ||
![]() | LCZ 10: Heavy industry | ||
| First-Class | Subclass | Definition |
|---|---|---|
| LCZ A | LCZ A1 | Dense evergreen broadleaf forest |
| LCZ A2 | Dense evergreen coniferous forest | |
| LCZ B | LCZ B1 | Scattered evergreen broadleaf forest |
| LCZ B2 | Scattered evergreen coniferous forest | |
| LCZ C | LCZ C1 | Shrubland–rainfed cropland |
| LCZ C2 | Shrubland–irrigated cropland | |
| LCZ C3 | Evergreen shrubland | |
| LCZ D | LCZ D1 | Low rainfed cropland |
| LCZ D2 | Low irrigated cropland |
| Daytime | Nighttime | ||||||
|---|---|---|---|---|---|---|---|
| Year | season | The log-fit formula | R2 | Year | season | The log-fit formula | R2 |
| 2000 | Spring | y= −0.360ln(x) + 28.698 (**) | 0.347 | 2000 | Spring | y = −1.261ln(x) + 21.110 (**) | 0.872 |
| Summer | y = −0.810ln(x) + 32.764 (**) | 0.872 | Summer | y = −1.416ln(x) + 27.002 (**) | 0.913 | ||
| Autumn | y = −0.886ln(x) + 27.437 (**) | 0.876 | Autumn | y = −1.075ln(x) + 20.718 (**) | 0.916 | ||
| Winter | y = −0.852ln(x) + 23.156 (**) | 0.874 | Winter | y = −1.119ln(x) + 15.877 (**) | 0.875 | ||
| 2009 | Spring | y = −1.135ln(x) + 29.039 (**) | 0.974 | 2009 | Spring | y = −0.973ln(x) + 20.675 (**) | 0.942 |
| Summer | y = −0.992ln(x) + 33.265 (**) | 0.850 | Summer | y = −1.363ln(x) + 28.125 (**) | 0.957 | ||
| Autumn | y = −1.124ln(x) + 29.421 (**) | 0.981 | Autumn | y = −1.166ln(x) + 22.330 (**) | 0.920 | ||
| Winter | y = −0.943ln(x) + 20.559 (**) | 0.939 | Winter | y = −1.066ln(x) + 15.481 (**) | 0.890 | ||
| 2019 | Spring | y = −0.752ln(x) + 26.057 (**) | 0.685 | 2019 | Spring | y = −0.686ln(x) + 21.079 (**) | 0.902 |
| Summer | y = −1.474ln(x) + 34.224 (**) | 0.913 | Summer | y = −1.344ln(x) + 28.140 (**) | 0.948 | ||
| Autumn | y = −1.523ln(x) + 31.447 (**) | 0.969 | Autumn | y = −1.360ln(x) + 23.518 (**) | 0.947 | ||
| Winter | y = −1.210ln(x) + 23.181 (**) | 0.972 | Winter | y = −1.066ln(x) + 15.481 (**) | 0.890 | ||
Disclaimer/Publisher’s Note: The statements, opinions and data contained in all publications are solely those of the individual author(s) and contributor(s) and not of MDPI and/or the editor(s). MDPI and/or the editor(s) disclaim responsibility for any injury to people or property resulting from any ideas, methods, instructions or products referred to in the content. |
© 2023 by the authors. Licensee MDPI, Basel, Switzerland. This article is an open access article distributed under the terms and conditions of the Creative Commons Attribution (CC BY) license (https://creativecommons.org/licenses/by/4.0/).
Share and Cite
Zhou, S.; Zheng, H.; Liu, X.; Gao, Q.; Xie, J. Identifying the Effects of Vegetation on Urban Surface Temperatures Based on Urban–Rural Local Climate Zones in a Subtropical Metropolis. Remote Sens. 2023, 15, 4743. https://doi.org/10.3390/rs15194743
Zhou S, Zheng H, Liu X, Gao Q, Xie J. Identifying the Effects of Vegetation on Urban Surface Temperatures Based on Urban–Rural Local Climate Zones in a Subtropical Metropolis. Remote Sensing. 2023; 15(19):4743. https://doi.org/10.3390/rs15194743
Chicago/Turabian StyleZhou, Siyu, Hui Zheng, Xiao Liu, Quan Gao, and Jing Xie. 2023. "Identifying the Effects of Vegetation on Urban Surface Temperatures Based on Urban–Rural Local Climate Zones in a Subtropical Metropolis" Remote Sensing 15, no. 19: 4743. https://doi.org/10.3390/rs15194743
APA StyleZhou, S., Zheng, H., Liu, X., Gao, Q., & Xie, J. (2023). Identifying the Effects of Vegetation on Urban Surface Temperatures Based on Urban–Rural Local Climate Zones in a Subtropical Metropolis. Remote Sensing, 15(19), 4743. https://doi.org/10.3390/rs15194743



















