Investigation of Turbulent Dissipation Rate Profiles from Two Radar Wind Profilers at Plateau and Plain Stations in the North China Plain
Abstract
:1. Introduction
2. Meteorological Observations and Methods
2.1. RWP and Surface Meteorological Measurements
2.2. Retrieval of ε
3. Results and Discussion
3.1. Climatology of ε Profile at Plateau and Plain Stations
3.2. Potential Factors Influencing ε
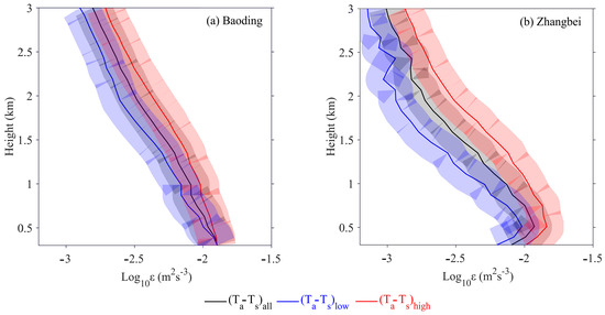
3.2.1. Influence of Sensible Heat Flux on ε
3.2.2. Influence of Vertical Wind Shear on ε
3.2.3. Joint Influence of Vertical Wind Shear and Sensible Heat Flux on ε
4. Concluding Remarks
Author Contributions
Funding
Data Availability Statement
Acknowledgments
Conflicts of Interest
References
- Cimini, D.; Haeffelin, M.; Kotthaus, S.; Löhnert, U.; Martinet, P.; O’connor, E.; Walden, C.; Coen, M.C.; Preissler, J. Towards the profiling of the atmospheric boundary layer at European scale—Introducing the COST Action PROBE. Bull. Atmos. Sci. Technol. 2020, 1, 23–42. [Google Scholar] [CrossRef]
- Teixeira, J.; Piepmeier, J.R.; Nehrir, A.R.; Ao, C.O.; Chen, S.S.; Clayson, C.A.; Fridlind, A.M.; Lebsock, M.; McCarty, W.; Salmun, H.; et al. Toward a Global Planetary Boundary Layer Observing System: The NASA PBL Incubation Study Team Report; NASA PBL Incubation Study Team: Washington, DC, USA, 2021; 134p.
- Solanki, R.; Guo, J.; Lv, Y.; Zhang, J.; Wu, J.; Tong, B.; Li, J. Elucidating the atmospheric boundary layer turbulence by combining UHF radar wind profiler and radiosonde measurements over urban area of Beijing. Urban Clim. 2022, 43, 101151. [Google Scholar] [CrossRef]
- Stull, R.B. An Introduction to Boundary Layer Meteorology; Kluwer Academic Publishers: Dordrecht, The Netherlands, 1988. [Google Scholar]
- Li, J.; Guo, J.; Xu, H.; Li, J.; Lv, Y. Assessing the Surface-Layer Stability over China Using Long-Term Wind-Tower Network Observations. Bound.-Layer Meteorol. 2021, 180, 155–171. [Google Scholar] [CrossRef]
- Deardorff, J.W. Numerical Investigation of Neutral and Unstable Planetary Boundary Layers. J. Atmos. Sci. 1972, 29, 91–115. [Google Scholar] [CrossRef]
- Moeng, C.-H.; Sullivan, P.P. A Comparison of Shear- and Buoyancy-Driven Planetary Boundary Layer Flows. J. Atmos. Sci. 1994, 51, 999–1022. [Google Scholar] [CrossRef]
- Das, S.S.; Ghosh, A.K.; Satheesan, K.; Jain, A.R.; Uma, K.N. Characteristics of atmospheric turbulence in terms of background atmospheric parameters inferred using MST radar at Gadanki (13.5°N, 79.2°E). Radio Sci. 2010, 45, 1–14. [Google Scholar] [CrossRef]
- Sharman, R.D.; Trier, S.B.; Lane, T.P.; Doyle, J.D. Sources and dynamics of turbulence in the upper troposphere and lower stratosphere: A review. Geophys. Res. Lett. 2012, 39, L12803. [Google Scholar] [CrossRef]
- Wallace, J.M.; Hobbs, P.V. Atmospheric Science an Introductory Survey, 2nd ed.; Academic Press: San Deigo, CA, USA, 2006. [Google Scholar]
- Wu, H.; Li, Z.; Li, H.; Luo, K.; Wang, Y.; Yan, P.; Hu, F.; Zhang, F.; Sun, Y.; Shang, D.; et al. The impact of the atmospheric turbulence-development tendency on new particle formation: A common finding on three continents. Natl. Sci. Rev. 2020, 8, nwaa157. [Google Scholar] [CrossRef]
- Bodenschatz, E.; Malinowski, S.P.; Shaw, R.A.; Stratmann, F. Can we understand clouds without turbulence? Science 2010, 327, 970–971. [Google Scholar] [CrossRef]
- Nuijens, L.; Siebesma, A.P. Boundary Layer Clouds and Convection over Subtropical Oceans in our Current and in a Warmer Climate. Curr. Clim. Chang. Rep. 2019, 5, 80–94. [Google Scholar] [CrossRef]
- Zhang, Y.; Guo, J.; Yang, Y.; Wang, Y.; Yim, S.H. Vertical Wind Shear Modulates Particulate Matter Pollutions: A Perspective from Radar Wind Profiler Observations in Beijing, China. Remote Sens. 2020, 12, 546. [Google Scholar] [CrossRef]
- Kim, J.-H.; Chun, H.-Y. Statistics and Possible Sources of Aviation Turbulence over South Korea. J. Appl. Meteorol. Clim. 2011, 50, 311–324. [Google Scholar] [CrossRef]
- Gultepe, I.; Sharman, R.; Williams, P.D.; Zhou, B.; Ellrod, G.; Minnis, P.; Trier, S.; Griffin, S.; Yum, S.S.; Gharabaghi, B.; et al. A Review of High Impact Weather for Aviation Meteorology. Pure Appl. Geophys. 2019, 176, 1869–1921. [Google Scholar] [CrossRef]
- Guo, X.; Guo, J.; Zhang, D.; Yun, Y. Vertical divergence profiles as detected by two wind-profiler mesonets over East China: Implications for nowcasting convective storms. Q. J. R. Meteorol. Soc. 2023, 149, 1629–1649. [Google Scholar] [CrossRef]
- Garratt, J.R. The atmospheric boundary layer. Earth-Sci. Rev. 1994, 37, 89–134. [Google Scholar] [CrossRef]
- Cohn, S.A. Radar Measurements of Turbulent Eddy Dissipation Rate in the Troposphere: A Comparison of Techniques. J. Atmos. Ocean. Technol. 1995, 12, 85–95. [Google Scholar] [CrossRef]
- Wilson, R.; Luce, H.; Hashiguchi, H.; Nishi, N.; Yabuki, Y. Energetics of persistent turbulent layers underneath mid-level clouds estimated from concurrent radar and radiosonde data. J. Atmos. Solar-Terr. Phys. 2014, 118, 78–89. [Google Scholar] [CrossRef]
- Hooper, D.A.; Thomas, L. Complementary criteria for identifying regions of intense atmospheric turbulenc e using lower VHF radar. J. Atmos. Sol.-Terr. Phys. 1998, 60, 49–61. [Google Scholar] [CrossRef]
- Frehlich, R.; Meillier, Y.; Jensen, M.L.; Balsley, B. Turbulence measurements with the CIRES tethered liftin g system during CASES-99: Calibration and spectral analysis of temperature and velocity. J. Atmos. Sci. 2003, 60, 2487–2495. [Google Scholar] [CrossRef]
- Clayson, C.A.; Kantha, L. On Turbulence and Mixing in the Free Atmosphere Inferred from High-Resolution Soundings. J. Atmos. Ocean. Technol. 2008, 25, 833–852. [Google Scholar] [CrossRef]
- Balsley, B.B.; Svensson, G.; Tjernström, M. On the Scale-dependence of the Gradient Richardson Number in the Residual Layer. Bound.-Layer Meteorol. 2008, 127, 57–72. [Google Scholar] [CrossRef]
- Thorpe, S.A. Turbulence and mixing in a Scottish Loch. Philos. Trans. R. Soc. Lond. Ser. A Math. Phys. Sci. 1977, 286, 125–181. [Google Scholar] [CrossRef]
- Kaimal, J. Sonic anemometer measurement of atmospheric turbulence. In Proceedings of the Dynamic Flow Conference 1978 on Dynamic Measurements in Unsteady Flows; Springer: Dordrecht, The Netherlands, 1978; pp. 551–565. [Google Scholar]
- Barthlott, C.; Fiedler, F. Turbulence Structure in the Wake Region of a Meteorological Tower. Bound.-Layer Meteorol. 2003, 108, 175–190. [Google Scholar] [CrossRef]
- Harvey, N.J.; Hogan, R.J.; Dacre, H.F. A method to diagnose boundary-layer type using Doppler lidar. Q. J. R. Meteorol. Soc. 2013, 139, 1681–1693. [Google Scholar] [CrossRef]
- Borque, P.; Luke, E.; Kollias, P. On the unified estimation of turbulence eddy dissipation rate using Doppler cloud radars and lidars: Radar and lidar turbulence estimation. J. Geophys. Res. Atmos. 2016, 121, 5972–5989. [Google Scholar] [CrossRef]
- Satheesan, K.; Krishna Murthy, B.V. Turbulence parameters in the tropical troposphere and lower stratosphere. J. Gephys. Res. Atmos. 2002, 107, ACL-2. [Google Scholar] [CrossRef]
- Ko, H.; Chun, H.; Wilson, R.; Geller, M.A. Characteristics of Atmospheric Turbulence Retrieved From High Vertical-Resolution Radiosonde Data in the United States. J. Geophys. Res. Atmos. 2019, 124, 7553–7579. [Google Scholar] [CrossRef]
- Zhang, J.; Zhang, S.D.; Huang, C.M.; Huang, K.M.; Gong, Y.; Gan, Q.; Zhang, Y.H. Statistical Study of Atmospheric Turbulence by Thorpe Analysis. J. Geophys. Res. Atmos. 2019, 124, 2897–2908. [Google Scholar] [CrossRef]
- Lv, Y.; Guo, J.; Li, J.; Cao, L.; Chen, T.; Wang, D.; Chen, D.; Han, Y.; Guo, X.; Xu, H.; et al. Spatiotemporal characteristics of atmospheric turbulence over China estimated using operational high-resolution soundings. Environ. Res. Lett. 2021, 16, 054050. [Google Scholar] [CrossRef]
- LeMone, M.A.; Angevine, W.M.; Bretherton, C.S.; Chen, F.; Dudhia, J.; Fedorovich, E.; Katsaros, K.B.; Lenschow, D.H.; Mahrt, L.; Patton, E.G.; et al. 100 Years of Progress in Boundary Layer Meteorology. Meteorol. Monogr. 2019, 59, 9.1–9.85. [Google Scholar] [CrossRef]
- Liu, B.; Guo, J.; Gong, W.; Shi, Y.; Jin, S. Boundary Layer Height as Estimated from Radar Wind Profilers in Four Cities in China: Relative Contributions from Aerosols and Surface Features. Remote Sens. 2020, 12, 1657. [Google Scholar] [CrossRef]
- Liu, B.; Guo, J.; Gong, W.; Shi, L.; Zhang, Y.; Ma, Y. Characteristics and performance of wind profiles as observed by the radar wind profiler network of China. Atmos. Meas. Tech. 2020, 13, 4589–4600. [Google Scholar] [CrossRef]
- Wang, S.; Guo, J.; Xian, T.; Li, N.; Meng, D.; Li, H.; Cheng, W. Investigation of low-level supergeostrophic wind and Ekman spiral as observed by a radar wind profiler in Beijing. Front. Environ. Sci. 2023, 11, 1195750. [Google Scholar] [CrossRef]
- Jacoby-Koaly, S.; Campistron, B.; Bernard, S.; Bénech, B.; Girard-Ardhuin, F.; Dessens, J.; Dupont, E.; Carissimo, B. Turbulent dissipation rate in the boundary layer via UHF wind profiler Doppler spectral width measurements. Bound.-Layer Meteorol. 2002, 103, 361–389. [Google Scholar] [CrossRef]
- Fukao, S.; Hamazu, K. Radar Observations of the Clear Atmosphere, Radar for Meteorological and Atmospheric Observations; Springer: Tokyo, Japan, 2014; pp. 237–242. [Google Scholar]
- Kalapureddy, M.C.R.; Kumar, K.K.; Sivakumar, V.; Ghosh, A.; Jain, A.; Reddy, K.K. Diurnal and seasonal variability of TKE dissipation rate in the ABL over a tropical station using UHF wind profiler. J. Atmos. Solar-Terr. Phys. 2007, 69, 419–430. [Google Scholar] [CrossRef]
- Hocking, W.K. Two years of continuous measurements of turbulence parameters in the upper mesosphere and lower thermosphere made with a 2-MHz radar. J. Geophys. Res. 1988, 93, 2475–2491. [Google Scholar] [CrossRef]
- Xu, X.; Zhou, M.; Chen, J.; Bian, L.; Zhang, G.; Liu, H.; Li, S.; Zhang, H.; Zhao, Y.; Suolongduoji; et al. A comprehensive physical pattern of land-air dynamic and thermal structure on the Qinghai-Xizang Plateau. Sci. China Ser. D Earth Sci. 2002, 45, 577–594. [Google Scholar] [CrossRef]
- Markowski, P.; Richardson, Y. Mesoscale Meteorology in Midlatitudes; John Wiley and Sons: Hoboken, NJ, USA, 2010; 407p. [Google Scholar] [CrossRef]
- Bellenger, H.; Wilson, R.; Davison, J.L.; Duvel, J.P.; Xu, W.; Lott, F.; Katsumata, M. Tropospheric Turbulence over the Tropical Open Ocean: Role of Gravity Waves. J. Atmos. Sci. 2017, 74, 1249–1271. [Google Scholar] [CrossRef]
- Xue, H.; Giorgetta, M.A.; Guo, J. The daytime trapped lee wave pattern and evolution induced by two small-scale mountains of different heights. Q. J. R. Meteorol. Soc. 2022, 148, 1300–1318. [Google Scholar] [CrossRef]
- Oke, T.R. Boundary Layer Climates, 2nd ed.; Routledge: New York, NY, USA, 1992; 464p. [Google Scholar]
- Wang, Y.; Xu, X.; Liu, H.; Li, Y.; Li, Y.; Hu, Z.; Gao, X.; Ma, Y.; Sun, J.; Lenschow, D.H.; et al. Analysis of land surface parameters and turbulence characteristics over the Tibetan Plateau and surrounding region. J. Geophys. Res. Atmos. 2016, 121, 9540–9560. [Google Scholar] [CrossRef]
- Shen, X.S.; Masahide, K. Studies of the interannual variability of springtime Eurasian surface air temperature. Chin. J. Atmos. Sci. 2007, 31, 19–27. [Google Scholar]
- Zhou, L.-T.; Huang, R.-H. Interdecadal variability of summer rainfall in Northwest China and its possible causes. Int. J. Clim. 2010, 30, 549–557. [Google Scholar] [CrossRef]
- Tong, B.; Guo, J.; Wang, Y.; Li, J.; Yun, Y.; Solanki, R.; Hu, N.; Yang, H.; Li, H.; Su, J.; et al. The near-surface turbulent kinetic energy characteristics under the different convection regimes at four towers with contrasting underlying surfaces. Atmos. Res. 2022, 270, 106073. [Google Scholar] [CrossRef]
- Csanady, G.T. The Free Surface Turbulent Shear layer. J. Phys. Oceanogr. 1984, 14, 402–411. [Google Scholar] [CrossRef]
- Banta, R.M.; Pichugina, Y.L.; Brewer, W.A. Turbulent Velocity-Variance Profiles in the Stable Boundary Layer Generated by a Nocturnal Low-Level Jet. J. Atmos. Sci. 2006, 63, 2700–2719. [Google Scholar] [CrossRef]
- Tuononen, M.; O’Connor, E.J.; Sinclair, V.A.; Vakkari, V. Low-level jets over Utö, Finland, based on Doppler lidar observations. J. Appl. Meteorol. Climatol. 2017, 56, 2577–2594. [Google Scholar] [CrossRef]
- Liu, T.; Chen, T.; Salazar, D.M.; Miozzi, M. Skin friction and surface optical flow in viscous flows. Phys. Fluids 2022, 34, 067101. [Google Scholar] [CrossRef]
- Liao, Y.; Chen, D.; Liu, Q. The spatiotemporal characteristics and long-term trends of surface-air temperatures difference in China. Adv. Clim. Chang. Res. 2019, 15, 374–384. [Google Scholar]
- Grasmick, C.; Geerts, B. Detailed Dual-Doppler Structure of Kelvin–Helmholtz Waves from an Airborne Profiling Radar over Complex Terrain. Part I: Dynamic Structure. J. Atmos. Sci. 2020, 77, 1761–1782. [Google Scholar] [CrossRef]
- Jiang, Q. Impact of elevated Kelvin–Helmholtz billows on the atmospheric boundary layer. J. Atmos. Sci. 2021, 78, 3983–3999. [Google Scholar] [CrossRef]
- Ellrod, G.P.; Knapp, D.I. An Objective Clear-Air Turbulence Forecasting Technique: Verification and Operational Use. Weather. Forecast. 1992, 7, 150–165. [Google Scholar] [CrossRef]
- Dutton, J.A.; Panofsky, H.A. Clear Air Turbulence: A Mystery May Be Unfolding. Science 1970, 167, 937–944. [Google Scholar] [CrossRef] [PubMed]
- Zhang, J.; Guo, J.; Zhang, S.; Shao, J. Inertia-gravity wave energy and instability drive turbulence: Evidence from a near-global high-resolution radiosonde dataset. Clim. Dyn. 2022, 58, 2927–2939. [Google Scholar] [CrossRef]
- Hocking, W.K. Measurement of turbulent energy dissipation rates in the middle atmosphere by radar techniques: A review. Radio Sci. 1985, 20, 1403–1422. [Google Scholar] [CrossRef]









Disclaimer/Publisher’s Note: The statements, opinions and data contained in all publications are solely those of the individual author(s) and contributor(s) and not of MDPI and/or the editor(s). MDPI and/or the editor(s) disclaim responsibility for any injury to people or property resulting from any ideas, methods, instructions or products referred to in the content. |
© 2023 by the authors. Licensee MDPI, Basel, Switzerland. This article is an open access article distributed under the terms and conditions of the Creative Commons Attribution (CC BY) license (https://creativecommons.org/licenses/by/4.0/).
Share and Cite
Yang, R.; Guo, J.; Deng, W.; Li, N.; Fan, J.; Meng, D.; Liu, Z.; Sun, Y.; Zhang, G.; Liu, L. Investigation of Turbulent Dissipation Rate Profiles from Two Radar Wind Profilers at Plateau and Plain Stations in the North China Plain. Remote Sens. 2023, 15, 4103. https://doi.org/10.3390/rs15164103
Yang R, Guo J, Deng W, Li N, Fan J, Meng D, Liu Z, Sun Y, Zhang G, Liu L. Investigation of Turbulent Dissipation Rate Profiles from Two Radar Wind Profilers at Plateau and Plain Stations in the North China Plain. Remote Sensing. 2023; 15(16):4103. https://doi.org/10.3390/rs15164103
Chicago/Turabian StyleYang, Rongfang, Jianping Guo, Weilong Deng, Ning Li, Junhong Fan, Deli Meng, Zheng Liu, Yuping Sun, Guanglei Zhang, and Lihui Liu. 2023. "Investigation of Turbulent Dissipation Rate Profiles from Two Radar Wind Profilers at Plateau and Plain Stations in the North China Plain" Remote Sensing 15, no. 16: 4103. https://doi.org/10.3390/rs15164103
APA StyleYang, R., Guo, J., Deng, W., Li, N., Fan, J., Meng, D., Liu, Z., Sun, Y., Zhang, G., & Liu, L. (2023). Investigation of Turbulent Dissipation Rate Profiles from Two Radar Wind Profilers at Plateau and Plain Stations in the North China Plain. Remote Sensing, 15(16), 4103. https://doi.org/10.3390/rs15164103

