Isolating the Source Region of Infrasound Travel Time Variability Using Acoustic Sensors on High-Altitude Balloons
Abstract
1. Introduction
1.1. High-Altitude Infrasound Platforms
1.2. Variability of Infrasound at Elevated Receivers
2. Experiment
3. Infrasound Detections
4. Ray Tracing
5. Perturbations Due to Gravity Waves
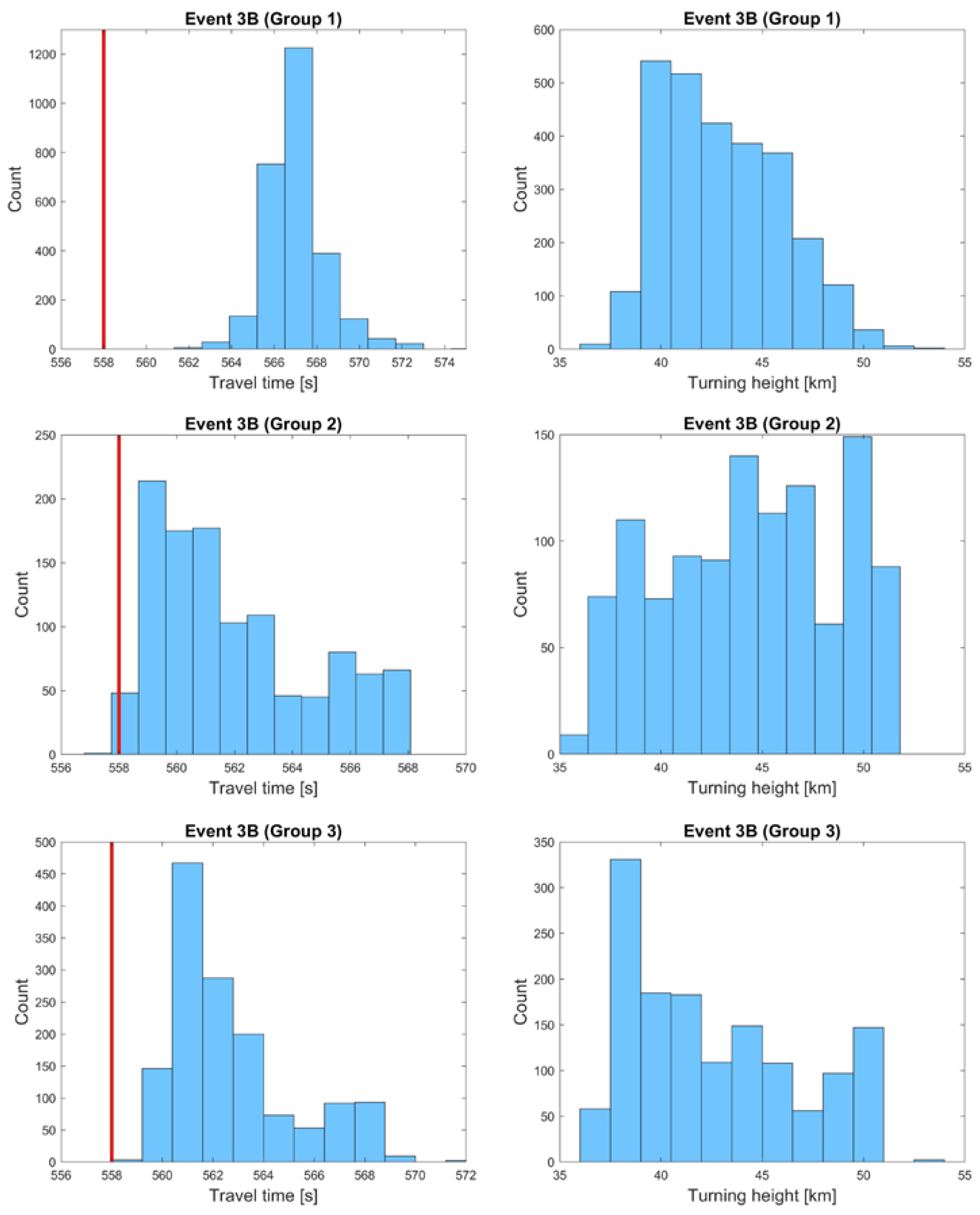
6. Event 3 Propagation Modeling with Gravity Wave Perturbations
7. Conclusions
Author Contributions
Funding
Data Availability Statement
Acknowledgments
Conflicts of Interest
References
- Bedard, A.; Georges, T. Atmospheric infrasound. Acoust. Aust. 2000, 28, 47–52. [Google Scholar] [CrossRef]
- Garcés, M.; Willis, M.; Hetzer, C.; Le Pichon, A.; Drob, D. On using ocean swells for continuous infrasonic measurements of winds and temperature in the lower, middle, and upper atmosphere. Geophys. Res. Lett. 2004, 31, L19304. [Google Scholar] [CrossRef]
- Pilger, C.; Hupe, P.; Gaebler, P.; Ceranna, L. 1001 Rocket Launches for Space Missions and Their Infrasonic Signature. Geophys. Res. Lett. 2021, 48, e2020GL092262. [Google Scholar] [CrossRef]
- Negraru, P.T.; Golden, P.; Herrin, E.T. Infrasound Propagation in the “Zone of Silence”. Seismol. Res. Lett. 2010, 81, 614–624. [Google Scholar] [CrossRef]
- Matoza, R.; Fee, D.; Green, D.; Mialle, P. Volcano Infrasound and the International Monitoring System. In Infrasound Monitoring for Atmospheric Studies: Challenges in Middle Atmosphere Dynamics and Societal Benefits; Le Pichon, A., Blanc, E., Hauchecorne, A., Eds.; Springer International Publishing: Cham, Switzerland, 2019; pp. 1023–1077. [Google Scholar]
- Silber, E.A.; ReVelle, D.O.; Brown, P.G.; Edwards, W.N. An estimate of the terrestrial influx of large meteoroids from infrasonic measurements. J. Geophys. Res. 2009, 114, E08006. [Google Scholar] [CrossRef]
- Evans, L.B.; Bass, H.E.; Sutherland, L.C. Atmospheric Absorption of Sound: Theoretical Predictions. J. Acoust. Soc. Am. 1972, 51, 1565–1575. [Google Scholar] [CrossRef]
- de Groot-Hedlin, C.D.; Hedlin, M.A.H.; Drob, D. Atmospheric variability and infrasound monitoring. In Infrasound Monitoring for Atmospheric Studies; Le Pichon, E.B.A., Hauchecorne, A., Eds.; Springer: New York, NY, USA, 2010. [Google Scholar]
- Hedlin, M.A.H.; Garces, M.; Bass, H.; Hayward, C.; Herrin, G.; Olson, J.; Wilson, C. Listening to the secret sounds of Earth’s atmosphere. Eos Trans. AGU 2002, 83, 557–565. [Google Scholar] [CrossRef]
- Bowman, D.C.; Lees, J.M. Infrasound in the middle stratosphere measured with a free-flying acoustic array. Geophys. Res. Lett. 2015, 42, 10010–10017. [Google Scholar] [CrossRef]
- Garcia, R.F.; Martire, L.; Chaigneau, Y.; Cadu, A.; Mimoun, D. An active source seismo-acoustic experiment using tethered balloons to validate instrument concepts and modelling tools for atmospheric seismology. Geophys. J. Int. 2020, 225, 186. [Google Scholar] [CrossRef]
- Krishnamoorthy, S.; Komjathy, A.; Pauken, M.T.; Cutts, J.A.; Garcia, R.F.; Mimoun, D.; Cadu, A.; Sournac, A.; Jackson, J.M.; Lai, V.H.; et al. Detection of Artificially Generated Seismic Signals Using Balloon-Borne Infrasound Sensors. Geophys. Res. Lett. 2018, 45, 3393–3403. [Google Scholar] [CrossRef]
- Weaver, R.L.; McAndrew, J. The Roswell Report: Fact Versus Fiction in the New Mexico Desert; 1428994920; Diane Publishing: Collingdale, PA, USA, 1995; p. 881. [Google Scholar]
- Wescott, J.W. Acoustic Detection of High-Altitude Turbulence; Michigan Univ Ann Arbor: Ann Arbor, MI, USA, 1964; p. 62. [Google Scholar]
- Bowman, D.C.; Lees, J.M. Upper atmosphere heating from ocean-generated acoustic wave energy. Geophys. Res. Lett. 2018, 45, 5144. [Google Scholar] [CrossRef]
- Stevenson, D.J.; Cutts, J.A.; Mimoun, D.; Arrowsmith, S.; Banerdt, W.B.; Blom, P.; Brageot, E.; Brissaud, Q.; Chin, G.; Gao, P. Probing the Interior Structure of Venus; Keck Institute for Space Studies: Pasadena, CA, USA, 2015. [Google Scholar]
- Krishnamoorthy, S.; Bowman, D.C. A “Floatilla” of Airborne Seismometers for Venus. Geophys. Res. Lett. 2023, 50, e2022GL100978. [Google Scholar] [CrossRef]
- Bowman, D.C. Airborne Infrasound Makes a Splash. Geophys. Res. Lett. 2021, 48, e2021GL096326. [Google Scholar] [CrossRef]
- Krishnamoorthy, S.; Bowman, D.C.; Komjathy, A.; Pauken, M.T.; Cutts, J.A. Origin and mitigation of wind noise on balloon-borne infrasound microbarometers. J. Acoust. Soc. Am. 2020, 148, 2361. [Google Scholar] [CrossRef] [PubMed]
- Silber, E.A.; Bownman, D.C.; Ronac Giannone, M. Detection of the Large Surface Explosion Coupling Experiment by a sparse network of balloon-borne infrasound sensors. Remote Sens. 2023, 15, 542. [Google Scholar] [CrossRef]
- Bowman, D.C.; Lees, J.M. A Comparison of the Ocean Microbarom Recorded on the Ground and in the Stratosphere. J. Geophys. Res. Atmos. 2017, 122, 9773–9782. [Google Scholar] [CrossRef]
- Bowman, D.; Lees, J.; Cutts, J.; Komjathy, A.; Young, E.; Seiffert, K.; Boslough, M.; Arrowsmith, S. Geoacoustic observations on drifting balloon-borne sensors. In Infrasound Monitoring for Atmospheric Studies; Springer: Berlin/Heidelberg, Germany, 2019; pp. 125–171. [Google Scholar]
- Hedlin, M.A.H.; Walker, K.; Drob, D.P.; de Groot-Hedlin, C.D. Infrasound: Connecting the solid earth, oceans, and atmosphere. Annu. Rev. Earth Planet. Sci. 2012, 40, 327–354. [Google Scholar] [CrossRef]
- Wilson, D.K.; Ostashev, V.E.; Shaw, M.J.; Muhlestein, M.B.; Weatherly, J.W.; Swearingen, M.E.; McComas, S.L. Infrasound Propagation in the Arctic; Cold Regions Research and Engineering Laboratory (U.S.): Hanover, NH, USA, 2021; p. 90. [Google Scholar]
- de Groot-Hedlin, C.D. Infrasound propagation in tropospheric ducts and acoustic shadow zones. J. Acoust. Soc. Am. 2017, 142, 1816–1827. [Google Scholar] [CrossRef]
- Drob, D.P.; Garces, M.; Hedlin, M.; Brachet, N. The Temporal Morphology of Infrasound Propagation. Pure Appl. Geophys. 2010, 167, 437–453. [Google Scholar] [CrossRef]
- Sutherland, L.C.; Bass, H.E. Atmospheric absorption in the atmosphere up to 160 km. J. Acoust. Soc. Am. 2004, 115, 1012–1032. [Google Scholar] [CrossRef]
- Hedlin, M.A.H.; Walker, K.T. A study of infrasonic anisotropy and multipathing in the atmosphere using seismic networks. Philos. Trans. R. Soc. A: Math. Phys. Eng. Sci. 2013, 371, 20110542. [Google Scholar] [CrossRef]
- Kulichkov, S. On the Prospects for Acoustic Sounding of the Fine Structure of the Middle Atmosphere. In Infrasound Monitoring for Atmospheric Studies; Le Pichon, A., Blanc, E., Hauchecorne, A., Eds.; Springer: Dordrecht, The Netherlands, 2010; pp. 511–540. [Google Scholar]
- Garces, M.A.; Hansen, R.A.; Lindquist, K.G. Traveltimes for infrasonic waves propagating in a stratified atmosphere. Geophys. J. Int. 1998, 135, 255–263. [Google Scholar] [CrossRef]
- Norris, D.; Gibson, R.; Bongiovanni, K. Numerical Methods to Model Infrasonic Propagation Through Realistic Specifications of the Atmosphere. In Infrasound Monitoring for Atmospheric Studies; Le Pichon, A., Blanc, E., Hauchecorne, A., Eds.; Springer: Dordrecht, The Netherlands, 2010; pp. 541–573. [Google Scholar]
- Sabatini, R.; Marsden, O.; Bailly, C.; Gainville, O. Three-dimensional direct numerical simulation of infrasound propagation in the Earth’s atmosphere. J. Fluid Mech. 2019, 859, 754–789. [Google Scholar] [CrossRef]
- Fritts, D.C.; Alexander, M.J. Gravity wave dynamics and effects in the middle atmosphere. Rev. Geophys. 2003, 41, 1–124. [Google Scholar]
- Nappo, C.J. An Introduction to Atmospheric Gravity Waves, 2nd ed.; Academic Press: Cambridge, MA, USA, 2013; Volume 102. [Google Scholar]
- Ostashev, V.E.; Chunchuzov, I.P.; Wilson, D.K. Sound propagation through and scattering by internal gravity waves in a stably stratified atmosphere. J. Acoust. Soc. Am. 2005, 118, 3420–3429. [Google Scholar] [CrossRef]
- Green, D.N.; Vergoz, J.; Gibson, R.; Le Pichon, A.; Ceranna, L. Infrasound radiated by the Gerdec and Chelopechene explosions: Propagation along unexpected paths. Geophys. J. Int. 2011, 185, 890–910. [Google Scholar] [CrossRef]
- Ceranna, L.; Le Pichon, A.; Green, D.N.; Mialle, P. The Buncefield explosion: A benchmark for infrasound analysis across Central Europe. Geophys. J. Int. 2009, 177, 491–508. [Google Scholar] [CrossRef]
- Kulichkov, S.N.; Bush, G.A.; Svertilov, A.I. New type of infrasonic arrivals in the geometric shadow region at long distances from explosions. Izv. Atmos. Ocean. Phys. 2002, 38, 397–402. [Google Scholar]
- Averbuch, G.; Ronac-Giannone, M.; Arrowsmith, S.; Anderson, J.F. Evidence for Short Temporal Atmospheric Variations Observed by Infrasonic Signals: 1. The Troposphere. Earth Space Sci. 2022, 9, e2021EA002036. [Google Scholar] [CrossRef]
- Bowman, D.C.; Krishnamoorthy, S. Infrasound from a buried chemical explosion recorded on a balloon in the lower stratosphere. Geophys. Res. Lett. 2021, 48, e2021GL094861. [Google Scholar] [CrossRef]
- Silber, E.A.; Brown, P.G. Optical observations of meteors generating infrasound—I: Acoustic signal identification and phenomenology. J. Atmos. Sol. Terr. Phys. 2014, 119, 116–128. [Google Scholar] [CrossRef]
- Bird, E.J.; Lees, J.M.; Kero, J.; Bowman, D.C. Topographically Scattered Infrasound Waves Observed on Microbarometer Arrays in the Lower Stratosphere. Earth Space Sci. 2022, 9, e2022EA002226. [Google Scholar] [CrossRef]
- Young, E.F.; Bowman, D.C.; Lees, J.M.; Klein, V.; Arrowsmith, S.J.; Ballard, C. Explosion-generated infrasound recorded on ground and airborne microbarometers at regional distances. Seismol. Res. Lett. 2018, 89, 1497–1506. [Google Scholar] [CrossRef]
- Bowman, D.C.; Albert, S.A. Acoustic event location and background noise characterization on a free flying infrasound sensor network in the stratosphere. Geophys. J. Int. 2018, 213, 1524–1535. [Google Scholar] [CrossRef]
- Poler, G.; Garcia, R.F.; Bowman, D.C.; Martire, L. Infrasound and Gravity Waves Over the Andes Observed by a Pressure Sensor on Board a Stratospheric Balloon. J. Geophys. Res. Atmos. 2020, 125, e2019JD031565. [Google Scholar] [CrossRef]
- Bowman, D.C.; Rouse, J.W.; Krishnamoorthy, S.; Silber, E.A. Infrasound direction of arrival determination using a balloon-borne aeroseismometer. JASA Express Lett. 2022, 2, 054001. [Google Scholar] [CrossRef]
- Silber, E.; Brown, P. Infrasound Monitoring as a Tool to Characterize Impacting Near-Earth Objects (NEOs). In Infrasound Monitoring for Atmospheric Studies: Challenges in Middle Atmosphere Dynamics and Societal Benefits; Le Pichon, A., Blanc, E., Hauchecorne, A., Eds.; Springer International Publishing: Cham, Switzerland, 2019; pp. 939–986. [Google Scholar]
- Brissaud, Q.; Martin, R.; Garcia, R.F.; Komatitsch, D. Hybrid Galerkin numerical modelling of elastodynamics and compressible Navier–Stokes couplings: Applications to seismo-gravito acoustic waves. Geophys. J. Int. 2017, 210, 1047–1069. [Google Scholar] [CrossRef]
- Waxler, R.; Assink, J.; Velea, D. Modal expansions for infrasound propagation and their implications for ground-to-ground propagation. J. Acoust. Soc. Am. 2017, 141, 1290–1307. [Google Scholar] [CrossRef] [PubMed]
- Assink, J.; Waxler, R.; Velea, D. A wide-angle high Mach number modal expansion for infrasound propagation. J. Acoust. Soc. Am. 2017, 141, 1781–1792. [Google Scholar] [CrossRef]
- Collins, M.D.; Evans, R.B. A two-way parabolic equation for acoustic backscattering in the ocean. J. Acoust. Soc. Am. 1992, 91, 1357–1368. [Google Scholar] [CrossRef]
- Ostashev, V.E.; Muhlestein, M.B.; Wilson, D.K. Extra-wide-angle parabolic equations in motionless and moving media. J. Acoust. Soc. Am. 2019, 145, 1031–1047. [Google Scholar] [CrossRef]
- Wilson, D.K.; Shaw, M.J.; Ostashev, V.E.; Muhlestein, M.B.; Alter, R.E.; Swearingen, M.E.; McComas, S.L. Numerical modeling of mesoscale infrasound propagation in the Arctic. J. Acoust. Soc. Am. 2022, 151, 138–157. [Google Scholar] [CrossRef]
- Blom, P. GeoAc: Numerical Tools to Model Acoustic Propagation in the Geometric Limit; Los Alamos National Laboratory: Los Alamos, NM, USA, 2014. [Google Scholar]
- Koch, K.; Pilger, C.; Czanik, C.; Bondár, I. The 12 December 2017 Baumgarten Gas Hub Explosion: A Case Study on Understanding the Occurrence of a Large Infrasound Azimuth Residual and a Lack of Seismic Observations. Pure Appl. Geophys. 2020, 177, 4957–4970. [Google Scholar] [CrossRef]
- Park, J.; Hayward, C.; Stump, B.W. Assessment of infrasound signals recorded on seismic stations and infrasound arrays in the western United States using ground truth sources. Geophys. J. Int. 2018, 213, 1608–1628. [Google Scholar] [CrossRef]
- Smink, M.M.E.; Assink, J.D.; Bosveld, F.C.; Smets, P.S.M.; Evers, L.G. A Three-Dimensional Array for the Study of Infrasound Propagation Through the Atmospheric Boundary Layer. J. Geophys. Res. Atmos. 2019, 124, 9299–9313. [Google Scholar] [CrossRef]
- De Negri, R.; Matoza, R.S. Rapid Location of Remote Volcanic Infrasound Using 3D Ray Tracing and Empirical Climatologies: Application to the 2011 Cordón Caulle and 2015 Calbuco Eruptions, Chile. J. Geophys. Res. Solid Earth 2023, 128, e2022JB025735. [Google Scholar] [CrossRef]
- Obenberger, K.S.; Bowman, D.C.; Dao, E. Identification of Acoustic Wave Signatures in the Ionosphere From Conventional Surface Explosions Using MF/HF Doppler Sounding. Radio Sci. 2022, 57, e2021RS007413. [Google Scholar] [CrossRef]
- Albert, S.A. Atmospheric Structure Prediction for Infrasound Propagation Modeling Using Deep Learning. Earth Space Sci. 2022, 9, e2022EA002233. [Google Scholar] [CrossRef]
- Blom, P.; Waxler, R. Modeling and observations of an elevated, moving infrasonic source: Eigenray methods. J. Acoust. Soc. Am. 2017, 141, 2681–2692. [Google Scholar] [CrossRef] [PubMed]
- Blom, P.; Waxler, R. Impulse propagation in the nocturnal boundary layer: Analysis of the geometric component. J. Acoust. Soc. Am. 2012, 131, 3680–3690. [Google Scholar] [CrossRef]
- Drob, D.P.; Picone, J.M.; Garces, M. Global morphology of infrasound propagation. J. Geophys. Res. 2003, 108, 1–12. [Google Scholar] [CrossRef]
- Edwards, W.N.; Brown, P.G.; Weryk, R.J.; ReVelle, D.O. Infrasonic Observations of Meteoroids: Preliminary Results from a Coordinated Optical-radar-infrasound Observing Campaign. In Advances in Meteoroid and Meteor Science; Trigo-Rodríguez, J.M., Rietmeijer, F.J.M., Llorca, J., Janches, D., Eds.; Springer: New York, NY, USA, 2008; pp. 221–229. [Google Scholar]
- Pilger, C.; Streicher, F.; Ceranna, L.; Koch, K. Application of propagation modeling to verify and discriminate ground-truth infrasound signals at regional distances. InfraMatics 2013, 2013, 39–55. [Google Scholar] [CrossRef][Green Version]
- Le Pichon, A.; Assink, J.D.; Heinrich, P.; Blanc, E.; Charlton-Perez, A.; Lee, C.F.; Keckhut, P.; Hauchecorne, A.; Rüfenacht, R.; Kämpfer, N.; et al. Comparison of co-located independent ground-based middle atmospheric wind and temperature measurements with numerical weather prediction models. J. Geophys. Res. Atmos. 2015, 120, 8318–8331. [Google Scholar] [CrossRef]
- Chunchuzov, I.; Kulichkov, S.; Perepelkin, V.; Ziemann, A.; Arnold, K.; Kniffka, A. Mesoscale variations in acoustic signals induced by atmospheric gravity waves. J. Acoust. Soc. Am. 2009, 125, 651–663. [Google Scholar] [CrossRef] [PubMed]
- Hedlin, M.A.; Drob, D.P. Statistical characterization of atmospheric gravity waves by seismoacoustic observations. J. Geophys. Res. Atmos. 2014, 119, 5345–5363. [Google Scholar] [CrossRef]
- Drob, D.P.; Broutman, D.; Hedlin, M.A.; Winslow, N.W.; Gibson, R.G. A method for specifying atmospheric gravity wavefields for long-range infrasound propagation calculations. J. Geophys. Res. 2013, 118, 3933. [Google Scholar] [CrossRef]
- Silber, E.A.; Boslough, M.; Hocking, W.K.; Gritsevich, M.; Whitaker, R.W. Physics of meteor generated shock waves in the Earth’s atmosphere—A review. Adv. Space Res. 2018, 62, 489–532. [Google Scholar] [CrossRef]
- Zhang, S.D.; Yi, F.; Huang, C.M.; Huang, K.M. High vertical resolution analyses of gravity waves and turbulence at a midlatitude station. J. Geophys. Res. Atmos. 2012, 117, D02103. [Google Scholar] [CrossRef]
- Chunchuzov, I.; Kulichkov, S.; Perepelkin, V.; Popov, O.; Firstov, P.; Assink, J.D.; Marchetti, E. Study of the wind velocity-layered structure in the stratosphere, mesosphere, and lower thermosphere by using infrasound probing of the atmosphere. J. Geophys. Res. Atmos. 2015, 120, 8828–8840. [Google Scholar] [CrossRef]
- Norris, D.; Gibson, R. Integration of Enhanced Propagation, Environmental Variability, and Network Performance Models into the InfraMAP Software Toolkit; BBN Technologies: Arlington, VA, USA, 2007; p. 69. [Google Scholar]
- Norris, D.; Gibson, R. InfraMAP Enhancements: Environmental/Propagation Variability and Localization Accuracy of Infrasonic Networks. In Proceedings of the 24th Seismic Research Review—Nuclear Explosion Monitoring: Innovation and Integration, Ponte Vedra Beach, FL, USA, 17–19 September 2002. [Google Scholar]
- Gardner, C.S.; Hostetler, C.A.; Franke, S.J. Gravity wave models for the horizontal wave number spectra of atmospheric velocity and density fluctuations. J. Geophys. Res. Atmos. 1993, 98, 1035–1049. [Google Scholar] [CrossRef]
- Peitgen, H.-O.; Saupe, D. The Science of Fractal Images; Springer: Berlin/Heidelberg, Germany, 1988. [Google Scholar]
- Blom, P. Modeling infrasonic propagation through a spherical atmospheric layer—Analysis of the stratospheric pair. J. Acoust. Soc. Am. 2019, 145, 2198–2208. [Google Scholar] [CrossRef] [PubMed]
- Smets, P.S.M.; Evers, L.G.; Näsholm, S.P.; Gibbons, S.J. Probabilistic infrasound propagation using realistic atmospheric perturbations. Geophys. Res. Lett. 2015, 42, 6510–6517. [Google Scholar] [CrossRef]







| Event | Latitude [°N] | Longitude [°E] | Time [MDT] | Time [UTC] |
|---|---|---|---|---|
| 1A | 34.0595 | −106.990 | 9:40:00 | 15:40:00 |
| 1B | 34.0595 | −106.991 | 9:40:30 | 15:40:30 |
| 2A | 34.0596 | −106.991 | 10:40:00 | 16:40:00 |
| 2B | 34.0596 | −106.991 | 10:40:30 | 16:40:30 |
| 3A | 34.0596 | −106.990 | 13:30:00 | 19:30:00 |
| 3B | 34.0596 | −106.991 | 13:30:30 | 19:30:30 |
| Event | Arrival Time [UTC] | Travel Time [s] | Horizontal Range [km] | Signal Celerity [m/s] | Latitude [°N] | Longitude [°E] | Alt |
|---|---|---|---|---|---|---|---|
| [km] | |||||||
| 1A | 15:41:09 | 69 | 10.4 | 297 | 34.144 | −106.941 | 20.487 |
| 1B | 15:41:39 | 69 | 10.4 | 297 | 34.145 | −106.946 | 20.482 |
| 2A | 16:42:46 | 166 | 48.2 | 316 | 34.314 | −107.414 | 20.451 |
| 2B | 16:43:17 | 167 | 48.5 | 316 | 34.316 | −107.418 | 20.452 |
| 3A | 19:39:17 | 557 | 169.1 | 304 | 34.756 | −108.629 | 20.413 |
| 3B | 19:39:48 | 558 | 169.4 | 304 | 34.758 | −108.632 | 20.413 |
| Event | G2S Time [UTC] | Hybrid: G2S + Radiosonde | Hybrid: G2S + Radiosonde |
|---|---|---|---|
| Radiosonde Time [UTC] | Radiosonde Time [UTC] | ||
| 1 | 15:00 | 12:00 | |
| 2 | 16:00 | 12:00 | |
| 3 | 19:00 | 12:00 | 00:00 (next day) |
| Group/ Event | Average Travel Time [s] | Travel Time, Min–Max [s] | Average Turning Height [km] | Turning Height, Min–Max [km] |
|---|---|---|---|---|
| 1/3A | 567.0 ± 1.4 | 560.4–575.2 | 43.0 ± 2.9 | 36.4–53.0 |
| 1/3B | 567.0 ± 1.4 | 560.8–575.2 | 43.0 ± 2.9 | 36.4–53.0 |
| 2/3A | 562.0 ± 2.7 | 557.3–568.0 | 44.4 ± 4.2 | 35.7–50.6 |
| 2/3B | 562.0 ± 2.7 | 557.3–568.0 | 44.4 ± 4.2 | 35.7–50.6 |
| 3/3A | 562.7 ± 2.5 | 558.7–572.0 | 42.6 ± 4.3 | 36.1–53.0 |
| 3/3B | 561.8 ± 2.5 | 558.6–571.9 | 42.7 ± 4.2 | 36.1–53.0 |
Disclaimer/Publisher’s Note: The statements, opinions and data contained in all publications are solely those of the individual author(s) and contributor(s) and not of MDPI and/or the editor(s). MDPI and/or the editor(s) disclaim responsibility for any injury to people or property resulting from any ideas, methods, instructions or products referred to in the content. |
© 2023 by the authors. Licensee MDPI, Basel, Switzerland. This article is an open access article distributed under the terms and conditions of the Creative Commons Attribution (CC BY) license (https://creativecommons.org/licenses/by/4.0/).
Share and Cite
Silber, E.A.; Bowman, D.C. Isolating the Source Region of Infrasound Travel Time Variability Using Acoustic Sensors on High-Altitude Balloons. Remote Sens. 2023, 15, 3661. https://doi.org/10.3390/rs15143661
Silber EA, Bowman DC. Isolating the Source Region of Infrasound Travel Time Variability Using Acoustic Sensors on High-Altitude Balloons. Remote Sensing. 2023; 15(14):3661. https://doi.org/10.3390/rs15143661
Chicago/Turabian StyleSilber, Elizabeth A., and Daniel C. Bowman. 2023. "Isolating the Source Region of Infrasound Travel Time Variability Using Acoustic Sensors on High-Altitude Balloons" Remote Sensing 15, no. 14: 3661. https://doi.org/10.3390/rs15143661
APA StyleSilber, E. A., & Bowman, D. C. (2023). Isolating the Source Region of Infrasound Travel Time Variability Using Acoustic Sensors on High-Altitude Balloons. Remote Sensing, 15(14), 3661. https://doi.org/10.3390/rs15143661

