Retrieval Consistency between LST CCI Satellite Data Products over Europe and Africa
Abstract
1. Introduction
- (a)
- (b)
- Satellite–satellite intercomparison, in which the satellite product being assessed is compared with a second well-characterized satellite product. Although this method cannot be considered as a validation source itself when validating a new satellite product, it provides useful information regarding spatial differences and consistency between the intercompared sensors [16,17];
- (c)
- (d)
2. Data
2.1. Operational LST Products
2.1.1. MODIS LST Product
2.1.2. AATSR LST Product
2.2. LST CCI Data
2.2.1. EOS-AQUA/TERRA–MODIS and MSG–SEVIRI
2.2.2. Envisat–AATSR and Sentinel3–SLSTR
2.3. LST_cci Land Cover Classification
3. Methodology
3.1. Satellite–Satellite Matching Data
3.2. Data Analysis
4. Results and Discussion
4.1. Continental Intercomparisons Stratified by Seasons
4.2. Monthly Time Series
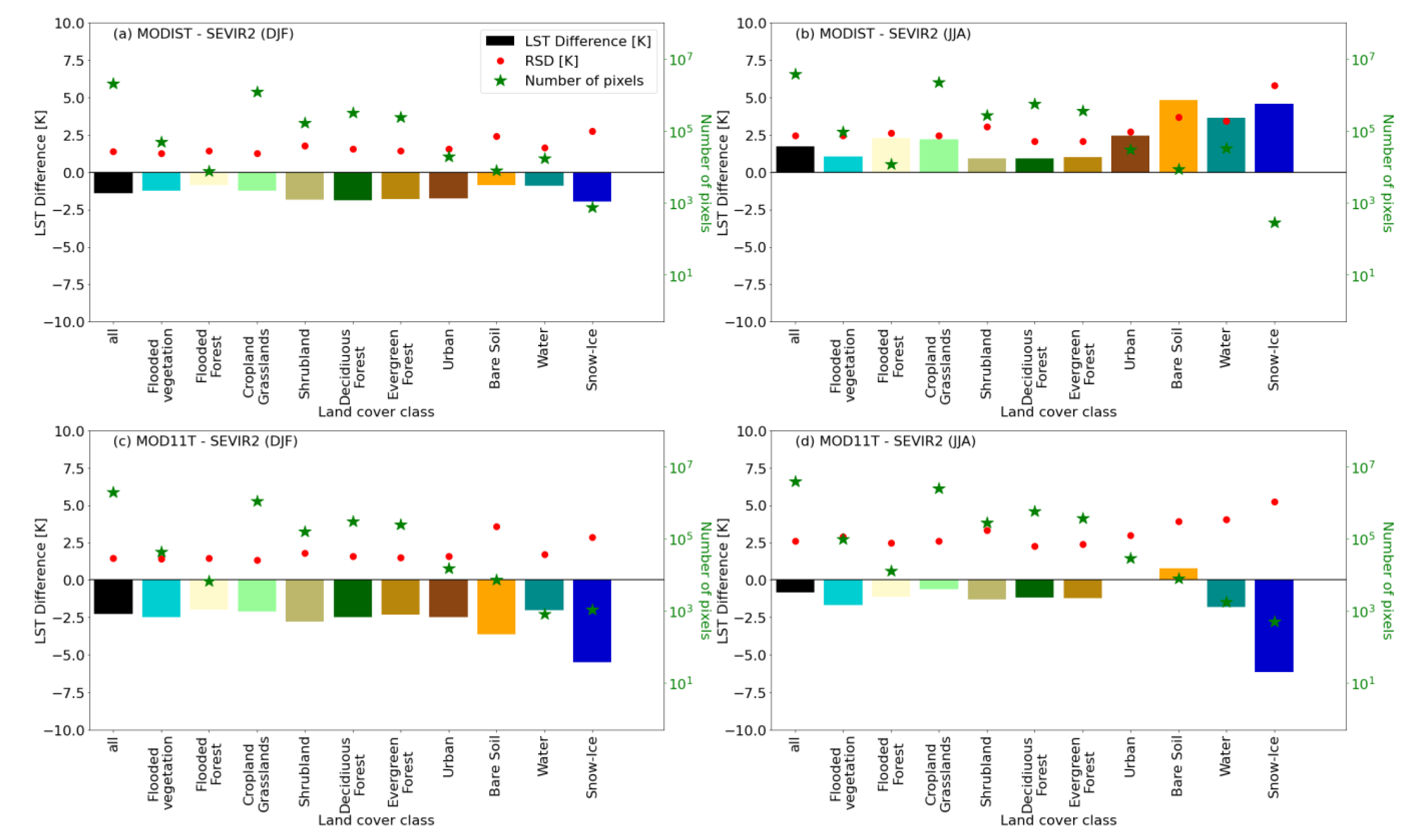
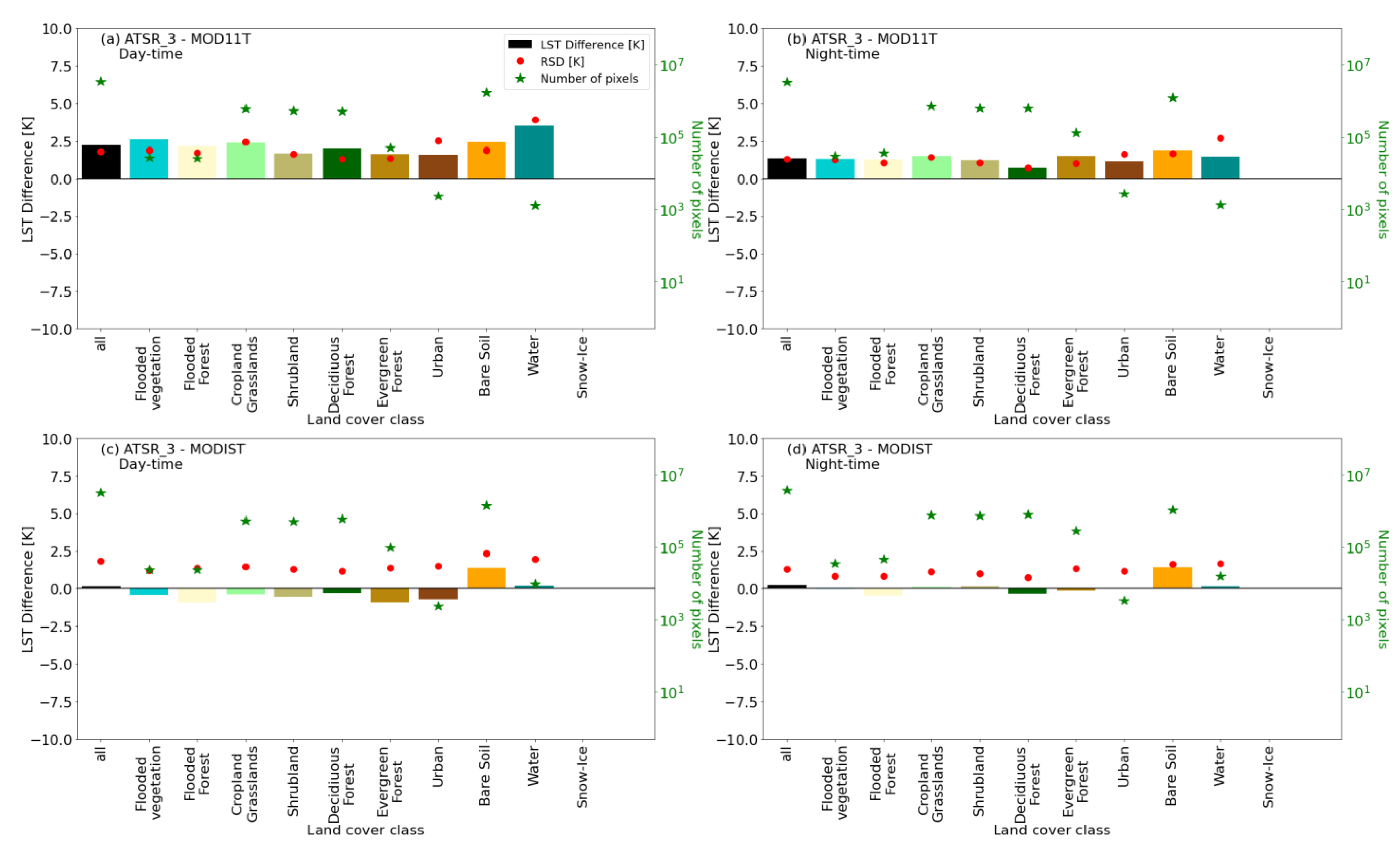
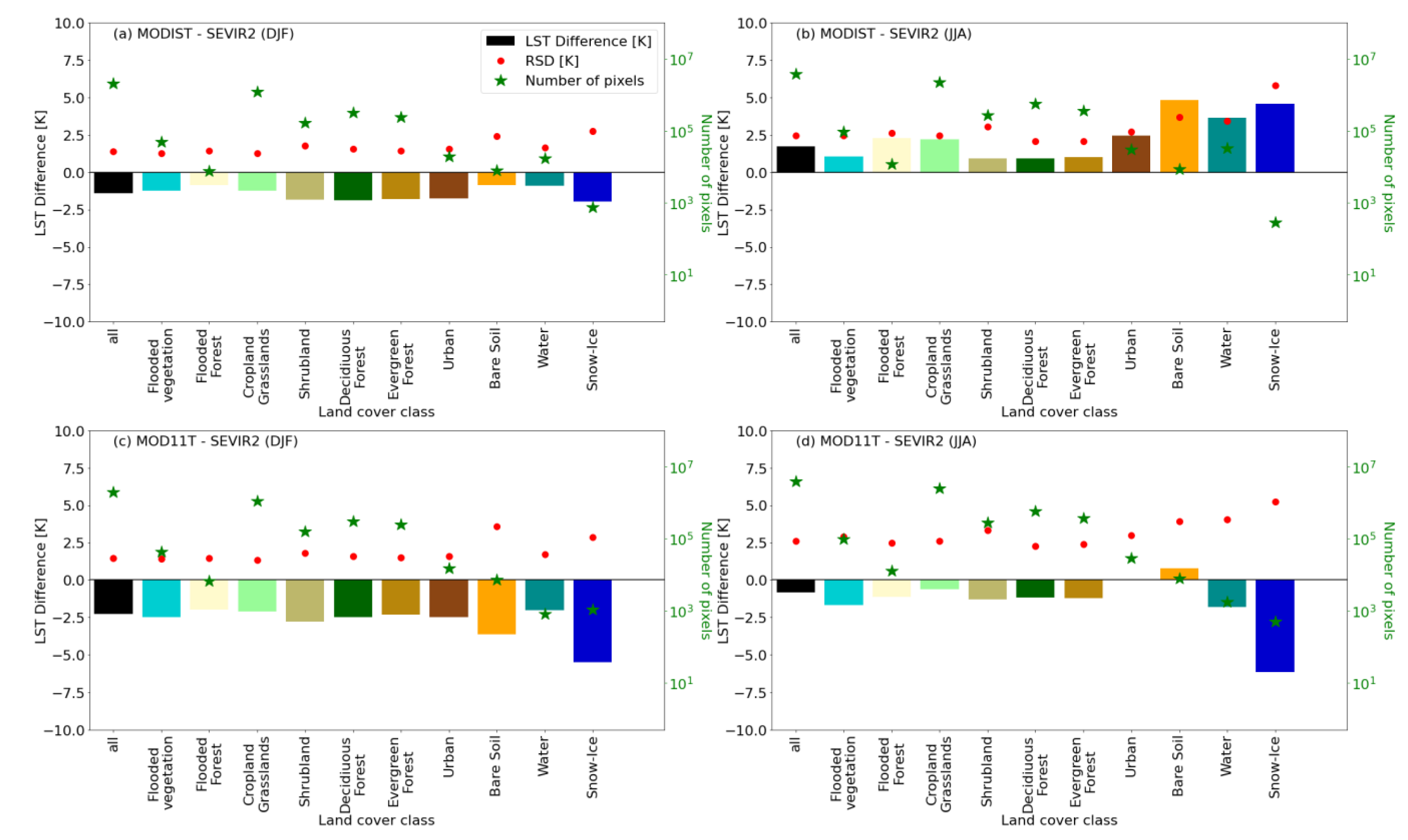
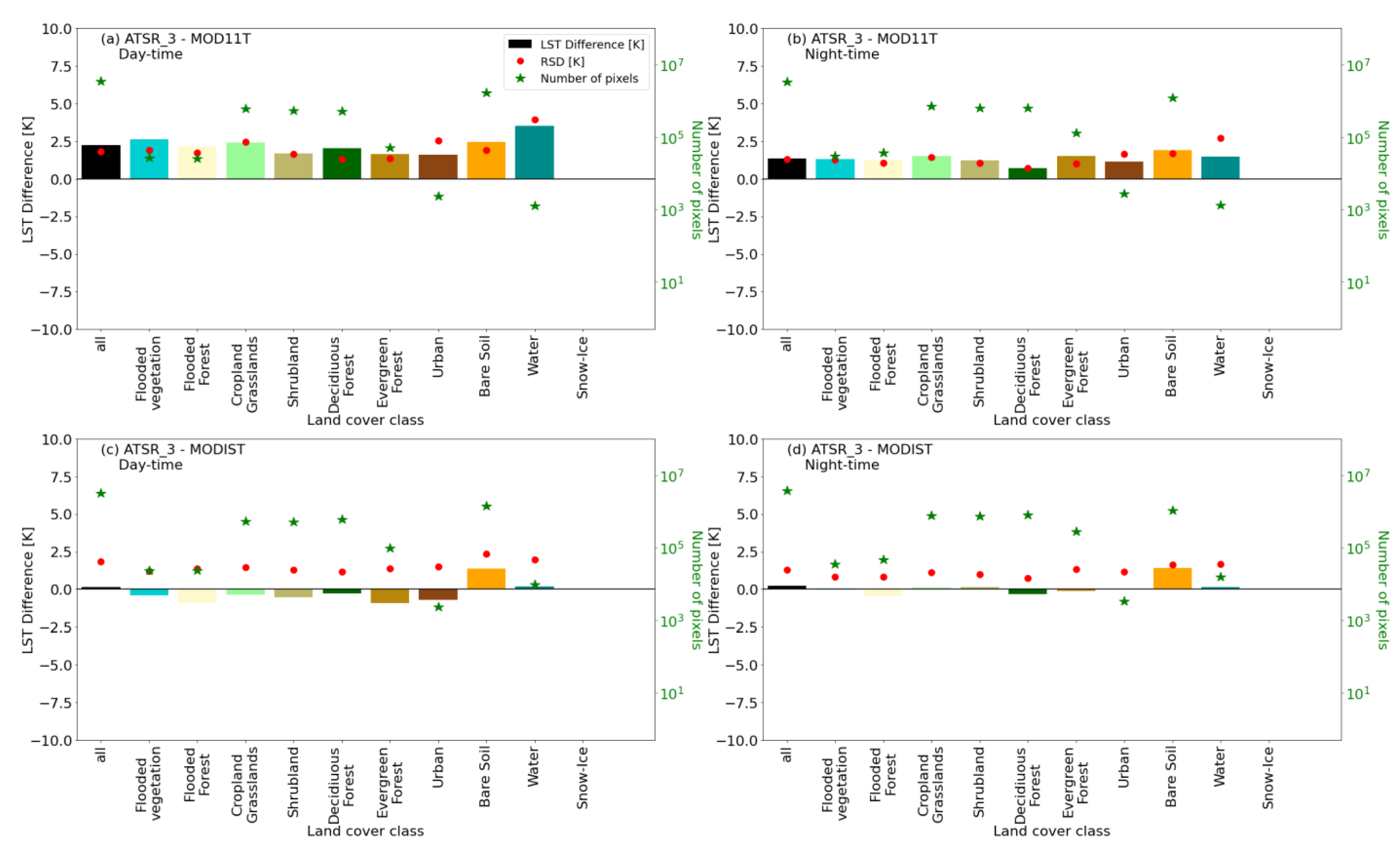
4.3. Land Cover Analysis
4.4. Intercomparison Analysis Considering the Viewing Geometry
5. Conclusions
Author Contributions
Funding
Data Availability Statement
Acknowledgments
Conflicts of Interest
References
- GCOS. The 2022 GCOS ECVs Requirements (GCOS 245); World Meteorological Organization: Geneva, Switzerland, 2022. [Google Scholar]
- GCOS. The Global Observing System for Climate: Implementation Needs; World Meteorological Organization: Geneva, Switzerland, 2016; Volume 200, p. 341. [Google Scholar]
- Hollmann, R.; Merchant, C.J.; Saunders, R.; Downy, C.; Buchwitz, M.; Cazenave, A.; Chuvieco, E.; Defourny, P.; De Leeuw, G.; Forsberg, R.; et al. The ESA Climate Change Initiative: Satellite Data Records for Essential Climate Variables. Bull. Am. Meteorol. Soc. 2013, 94, 1541–1552. [Google Scholar] [CrossRef]
- Plummer, S.; Lecomte, P.; Doherty, M. The ESA Climate Change Initiative (CCI): A European Contribution to the Generation of the Global Climate Observing System. Remote Sens. Environ. 2017, 203, 2–8. [Google Scholar] [CrossRef]
- Perry, M.; Ghent, D.J.; Jiménez, C.; Dodd, E.M.A.; Ermida, S.L.; Trigo, I.F.; Veal, K.L. Multisensor Thermal Infrared and Microwave Land Surface Temperature Algorithm Intercomparison. Remote Sens. 2020, 12, 4164. [Google Scholar] [CrossRef]
- Cheval, S.; Dumitrescu, A.; Amihăesei, V.; Irașoc, A.; Paraschiv, M.G.; Ghent, D. A Country Scale Assessment of the Heat Hazard-Risk in Urban Areas. Build. Environ. 2023, 229, 109892. [Google Scholar] [CrossRef]
- Cheval, S.; Dumitrescu, A.; Irașoc, A.; Paraschiv, M.G.; Perry, M.; Ghent, D. MODIS-Based Climatology of the Surface Urban Heat Island at Country Scale (Romania). Urban Clim. 2022, 41, 101056. [Google Scholar] [CrossRef]
- Sismanidis, P.; Bechtel, B.; Perry, M.; Ghent, D. The Seasonality of Surface Urban Heat Islands across Climates. Remote Sens. 2022, 14, 2318. [Google Scholar] [CrossRef]
- Karagali, I.; Barfod Suhr, M.; Mottram, R.; Nielsen-Englyst, P.; Dybkjær, G.; Ghent, D.; Høyer, J.L. A New Level 4 Multi-Sensor Ice Surface Temperature Product for the Greenland Ice Sheet. Cryosphere 2022, 16, 3703–3721. [Google Scholar] [CrossRef]
- Good, E.J.; Aldred, F.M.; Ghent, D.J.; Veal, K.L.; Jimenez, C. An Analysis of the Stability and Trends in the LST_cci Land Surface Temperature Datasets Over Europe. Earth Space Sci. 2022, 9, e2022EA002317. [Google Scholar] [CrossRef]
- Mallick, K.; Baldocchi, D.; Jarvis, A.; Hu, T.; Trebs, I.; Sulis, M.; Bhattarai, N.; Bossung, C.; Eid, Y.; Cleverly, J.; et al. Insights Into the Aerodynamic Versus Radiometric Surface Temperature Debate in Thermal-Based Evaporation Modeling. Geophys. Res. Lett. 2022, 49, e2021GL097568. [Google Scholar] [CrossRef]
- Guillevic, P.; Göttsche, F.; Nickeson, J.; Hulley, G.; Ghent, D.; Yu, Y.; Trigo, I.; Hook, S.; Sobrino, J.A.; Remedios, J.; et al. Land Surface Temperature Product Validation Best Practice Protocol. Version 1.1. In Best Practice for Satellite-Derived Land Product Validation; Land Product Validation Subgroup (WGCV/CEOS): London, UK, 2018; p. 58. [Google Scholar] [CrossRef]
- Göttsche, F.M.; Olesen, F.S.; Trigo, I.F.; Bork-Unkelbach, A.; Martin, M.A. Long Term Validation of Land Surface Temperature Retrieved from MSG/SEVIRI with Continuous in-Situ Measurements in Africa. Remote Sens. 2016, 8, 410. [Google Scholar] [CrossRef]
- Martin, M.A.; Ghent, D.; Pires, A.C.; Göttsche, F.M.; Cermak, J.; Remedios, J.J. Comprehensive in Situ Validation of Five Satellite Land Surface Temperature Data Sets over Multiple Stations and Years. Remote Sens. 2019, 11, 479. [Google Scholar] [CrossRef]
- Pérez-Planells, L.; Niclòs, R.; Puchades, J.; Coll, C.; Göttsche, F.M.; Valiente, J.A.; Valor, E.; Galve, J.M. Validation of Sentinel-3 Slstr Land Surface Temperature Retrieved by the Operational Product and Comparison with Explicitly Emissivity-Dependent Algorithms. Remote Sens. 2021, 13, 2228. [Google Scholar] [CrossRef]
- Ghent, D.; Corlett, G.K.; Göttsche, F.M.; Remedios, J.J. Global Land Surface Temperature From the Along-Track Scanning Radiometers. J. Geophys. Res. Atmos. 2017, 122, 12167–12193. [Google Scholar] [CrossRef]
- Martins, J.P.A.; Trigo, I.F.; Ghilain, N.; Jimenez, C.; Göttsche, F.-M.; Ermida, S.L.; Olesen, F.-S.; Gellens-Meulenberghs, F.; Arboleda, A. An All-Weather Land Surface Temperature Product Based on MSG/SEVIRI Observations. Remote Sens. 2019, 11, 3044. [Google Scholar] [CrossRef]
- Coll, C.; Wan, Z.; Galve, J.M. Temperature-Based and Radiance-Based Validations of the V5 MODIS Land Surface Temperature Product. J. Geophys. Res. Atmos. 2009, 114, 1–15. [Google Scholar] [CrossRef]
- Wan, Z. New Refinements and Validation of the Collection-6 MODIS Land-Surface Temperature/Emissivity Product. Remote Sens. Environ. 2014, 140, 36–45. [Google Scholar] [CrossRef]
- Perez-Planells, L.; Niclos, R.; Valor, E.; Gottsche, F.-M. Retrieval of Land Surface Emissivities Over Partially Vegetated Surfaces From Satellite Data Using Radiative Transfer Models. IEEE Trans. Geosci. Remote Sens. 2022, 60, 1–21. [Google Scholar] [CrossRef]
- Hook, S.J.; Vaughan, R.G.; Tonooka, H.; Schladow, S.G. Absolute Radiometric In-Flight Validation of Mid Infrared and Thermal Infrared Data From ASTER and MODIS on the Terra Spacecraft Using the Lake Tahoe, CA/NV, USA, Automated Validation Site. IEEE Trans. Geosci. Remote Sens. 2007, 45, 1798–1807. [Google Scholar] [CrossRef]
- Hook, S.J.; Cawse-Nicholson, K.; Barsi, J.; Radocinski, R.; Hulley, G.C.; Johnson, W.R.; Rivera, G.; Markham, B. In-Flight Validation of the ECOSTRESS, Landsats 7 and 8 Thermal Infrared Spectral Channels Using the Lake Tahoe CA/NV and Salton Sea CA Automated Validation Sites. IEEE Trans. Geosci. Remote Sens. 2020, 58, 1294–1302. [Google Scholar] [CrossRef]
- Merchant, C.J.; Matthiesen, S.; Rayner, N.A.; Remedios, J.J.; Jones, P.D.; Olesen, F.; Trewin, B.; Thorne, P.W.; Auchmann, R.; Corlett, G.K.; et al. The Surface Temperatures of Earth: Steps towards Integrated Understanding of Variability and Change. Geosci. Instrum. Methods Data Syst. 2013, 2, 305–321. [Google Scholar] [CrossRef]
- Martin, M. CCI Land. Surface Temperature Product. Validation and Intercomparison Report (PVIR). 2020. Available online: https://admin.climate.esa.int/media/documents/LST-CCI-D4.1-PVIR_-_i1r0_-_Product_Validation_and_Intercomparison_Report.pdf (accessed on 26 June 2022).
- Wan, Z.; Dozier, J. A Generalized Split-Window Algorithm for Retrieving Land-Surface Temperature from Space. IEEE Trans. Geosci. Remote Sens. 1996, 34, 892–905. [Google Scholar] [CrossRef]
- Prata, F. Land Surface Temperature Measurement from Space: AATSR Algorithm Theoretical Basis Document. In Contract Report to ESA; CSIRO Atmospheric Research: Aspendale, VIC, Australia, 2002; Volume 2002, pp. 1–34. [Google Scholar]
- Kirches, G.; Brockman, C.; Boettcher, M.; Peters, M.; Bontemps, S.; Lamarche, C.; Schlerf, M.; Santoro, M.; Defourny, P. Land Cover CCI Product User Guide; Version 2. 2017. Available online: https://maps.elie.ucl.ac.be/CCI/viewer/download/ESACCI-LC-Ph2-PUGv2_2.0 (accessed on 26 June 2022).
- Hersbach, H.; Bell, B.; Berrisford, P.; Hirahara, S.; Horányi, A.; Muñoz-Sabater, J.; Nicolas, J.; Peubey, C.; Radu, R.; Schepers, D.; et al. The ERA5 Global Reanalysis. Q. J. R. Meteorol. Soc. 2020, 146, 1999–2049. [Google Scholar] [CrossRef]
- Ghent, D.; Veal, K.; Trent, T.; Dodd, E.; Sembhi, H.; Remedios, J. A New Approach to Defining Uncertainties for MODIS Land Surface Temperature. Remote Sens. 2019, 11, 1021. [Google Scholar] [CrossRef]
- Borbas, E.; Hulley, G.; Feltz, M.; Knuteson, R.; Hook, S. The Combined ASTER MODIS Emissivity over Land (CAMEL) Part 1: Methodology and High Spectral Resolution Application. Remote Sens. 2018, 10, 643. [Google Scholar] [CrossRef]
- Ghent, D.; Dodd, E.; Veal, U.K.; Perry, M.; Carlos, U.; Estellus, J.; Ermida, S. CCI Land. Surface Temperature Algorithm Theoretical Basis Document; Institute for Computational Earth System Science: Santa Barbara, CA, USA, 2021. [Google Scholar]
- Bicheron, P.; Defourny, P.; Brockmann, C.; Schouten, L.; Vancutsem, C.; Huc, M.; Bontemps, S.; Leroy, M.; Achard, F.; Herold, M.; et al. GLOBCOVER 2009 Products Description and Validation Report; Medias France: Paris, France, 2011; Volume 136. [Google Scholar]
- Caselles, E.; Valor, E.; Abad, F.; Caselles, V. Automatic classification-based generation of thermal infrared land surface emissivity maps using AATSR data over Europe. Remote Sens. Environ. 2012, 124, 321–333. [Google Scholar] [CrossRef]
- Goldberg, M.; Ohring, G.; Butler, J.; Cao, C.; Datla, R.; Doelling, D.; Gärtner, V.; Hewison, T.; Iacovazzi, B.; Kim, D.; et al. The Global Space-Based Inter-Calibration System. Bull. Am. Meteorol. Soc. 2011, 92, 467–475. [Google Scholar] [CrossRef]
- Wilrich, P.T. Robust Estimates of the Theoretical Standard Deviation to Be Used in Interlaboratory Precision Experiments. Accredit. Qual. Assur. 2007, 12, 231–240. [Google Scholar] [CrossRef]
- Duan, S.-B.; Li, Z.-L.; Li, H.; Göttsche, F.-M.; Wu, H.; Zhao, W.; Leng, P.; Zhang, X.; Coll, C. Validation of Collection 6 MODIS Land Surface Temperature Product Using in Situ Measurements. Remote Sens. Environ. 2019, 225, 16–29. [Google Scholar] [CrossRef]
- Ermida, S.L.; Trigo, I.F.; Hulley, G.; DaCamara, C.C. A Multi-Sensor Approach to Retrieve Emissivity Angular Dependence over Desert Regions. Remote Sens. Environ. 2020, 237, 111559. [Google Scholar] [CrossRef]
- Trigo, I.F.; Ermida, S.L.; Martins, J.P.A.; Gouveia, C.M.; Göttsche, F.-M.; Freitas, S.C. Validation and Consistency Assessment of Land Surface Temperature from Geostationary and Polar Orbit Platforms: SEVIRI/MSG and AVHRR/Metop. ISPRS J. Photogramm. Remote Sens. 2021, 175, 282–297. [Google Scholar] [CrossRef]











| Product | Sensor | Producer | Satellite Orbit | Spatial Resolution | Intercompared Years |
|---|---|---|---|---|---|
| ATSR_3 | AATSR | LST_cci | Polar | 0.01° | 2008–2010 |
| MODISA | Modis/Aqua | LST_cci | Polar | 0.01° | 2008–2010 |
| MODIST | Modis/Terra | LST_cci | Polar | 0.01° | 2008–2010 |
| SLSTRA | SLSTR/Sentinel-3A | LST_cci | Polar | 0.01° | 2018–2020 |
| SLSTRB | SLSTR/Sentinel-3B | LST_cci | Polar | 0.01° | 2018–2020 |
| SEVIR2 | SEVIRI/MSG-2 | LST_cci | Geostationary | 0.05° | 2008–2010 |
| SEVIR4 | SEVIRI/MSG-4 | LST_cci | Geostationary | 0.05° | 2018–2020 |
| ATSOP_ | AATSR | ESA | Polar | 0.01° | 2008–2010 |
| MOD11A | Modis/Aqua | NASA | Polar | 0.01° | 2008–2010 |
| MOD11T | Modis/Terra | NASA | Polar | 0.01° | 2008–2010 |
| Land Cover Class | LST_cci Biomes | LST_cci Land Cover Definition |
|---|---|---|
| Flooded vegetation, crops and grasslands | 20 | Cropland irrigated |
| Flooded forest and shrublands | 160; 170; 180 | Tree cover flooded fresh or brackish water; tree cover flooded saline water; shrub or herbaceous cover flooded |
| Croplands and grasslands | 10; 11; 12; 30; 40; 130; 150; 151; 152; 153 | Cropland rainfed; cropland rainfed herbaceous cover; cropland rainfed tree or shrub cover; mosaic cropland; mosaic natural vegetation; grassland, sparse vegetation, sparse tree; sparse shrub; sparse herbaceous |
| Shrublands | 100; 110; 120; 121; 122; 140 | Mosaic tree and shrub; mosaic herbaceous; shrubland; shrubland evergreen; shrubland deciduous; lichens and mosses |
| Broadleaved/needleleaved deciduous forest | 60; 61; 62; 80; 81; 82; 90 | Tree broadleaved deciduous closed to open; tree broadleaved deciduous closed; tree broadleaved deciduous open; tree needleleaved deciduous closed to open; tree needleleaved deciduous closed; tree needleleaved deciduous open tree mixed |
| Broadleaved/needleleaved evergreen forest | 50; 70; 71; 72 | Tree broadleaved evergreen closed to open; tree needleleaved evergreen closed to open; tree needleleaved evergreen closed; tree needleleaved evergreen open |
| Urban area | 190 | Urban |
| Bare soil | 200; 201; 202; 203; 204; 205; 206; 207 | bare areas; unconsolidated bare areas; consolidated bare areas; bare areas of soil types: Entisols Orthents, Shifting sand, Aridisols Calcids, Aridisols Cambids, Gelisols Orthels |
| Water | 210 | Water |
| Snow and ice | 220; 230 | Snow and ice; sea ice |
Disclaimer/Publisher’s Note: The statements, opinions and data contained in all publications are solely those of the individual author(s) and contributor(s) and not of MDPI and/or the editor(s). MDPI and/or the editor(s) disclaim responsibility for any injury to people or property resulting from any ideas, methods, instructions or products referred to in the content. |
© 2023 by the authors. Licensee MDPI, Basel, Switzerland. This article is an open access article distributed under the terms and conditions of the Creative Commons Attribution (CC BY) license (https://creativecommons.org/licenses/by/4.0/).
Share and Cite
Pérez-Planells, L.; Ghent, D.; Ermida, S.; Martin, M.; Göttsche, F.-M. Retrieval Consistency between LST CCI Satellite Data Products over Europe and Africa. Remote Sens. 2023, 15, 3281. https://doi.org/10.3390/rs15133281
Pérez-Planells L, Ghent D, Ermida S, Martin M, Göttsche F-M. Retrieval Consistency between LST CCI Satellite Data Products over Europe and Africa. Remote Sensing. 2023; 15(13):3281. https://doi.org/10.3390/rs15133281
Chicago/Turabian StylePérez-Planells, Lluís, Darren Ghent, Sofia Ermida, Maria Martin, and Frank-M. Göttsche. 2023. "Retrieval Consistency between LST CCI Satellite Data Products over Europe and Africa" Remote Sensing 15, no. 13: 3281. https://doi.org/10.3390/rs15133281
APA StylePérez-Planells, L., Ghent, D., Ermida, S., Martin, M., & Göttsche, F.-M. (2023). Retrieval Consistency between LST CCI Satellite Data Products over Europe and Africa. Remote Sensing, 15(13), 3281. https://doi.org/10.3390/rs15133281

