DLRW: Dual-Link Weight Random Walk Model for Aquaculture Boundary Extraction by Single-Polarized SAR Imagery
Abstract
1. Introduction
2. Materials
2.1. Study Area
2.2. Data
2.3. Pre-Processing
3. Methods
3.1. Overview of RW
3.2. Dual-Link Weight Random Walk
3.2.1. Automatic Seed Points Generation
3.2.2. An RW on Dual-Link Weight
3.3. Architecture of Aquaculture Boundary Extraction
3.3.1. Coarse Extraction of Shoreline
3.3.2. Sub-Images Cutting
3.3.3. Fine Extraction of Shoreline for the Whole Image
3.4. Accuracy Assessment
4. Results
4.1. Performance Comparison
4.2. Performance Evaluation of Whole Image
5. Discussion
5.1. Discussion of DLRW Applied to GF-3 Images
5.2. Discussion of DLRW Applied to Other Types of Shoreline
5.3. Discussion of Three Algorithms on Bedrock Shoreline Extraction
5.4. Discussion of DLRW Applied to Cross-Polarization Images
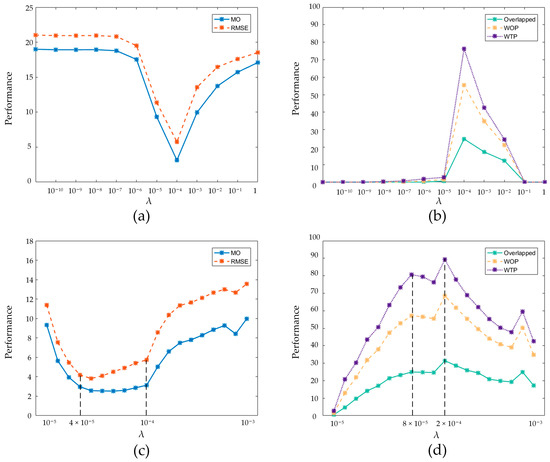
5.5. Parametric Sensitivity Analysis
5.6. Limitation Analysis
5.7. Future Improvement
6. Conclusions
Author Contributions
Funding
Data Availability Statement
Acknowledgments
Conflicts of Interest
References
- Crain, C.M.; Halpern, B.S.; Beck, M.W.; Kappel, C.V. Understanding and Managing Human Threats to The Coastal Marine Environment. Ann. N. Y. Acad. Sci. 2009, 1162, 39–62. [Google Scholar] [CrossRef]
- Zhang, S.; Xu, Q.; Wang, H.; Kang, Y.; Li, X. Automatic Waterline Extraction and Topographic Mapping of Tidal Flats from SAR Images Based on Deep Learning. Geophys. Res. Lett. 2022, 49, e2021GL096007. [Google Scholar] [CrossRef]
- Pelich, R.; Chini, M.; Hostache, R.; Matgen, P.; Lopez-Martinez, C. Coastline Detection Based on Sentinel-1 Time Series for Ship- and Flood-Monitoring Applications. IEEE Geosci. Remote Sens. Lett. 2020, 18, 1771–1775. [Google Scholar] [CrossRef]
- Li, N.; Wang, R.; Deng, Y.; Chen, J.; Liu, Y.; Du, K.; Lu, P.; Zhang, Z.; Zhao, F. Waterline Mapping and Change Detection of Tangjiashan Dammed Lake After Wenchuan Earthquake from Multitemporal High-Resolution Airborne SAR Imagery. IEEE J. Sel. Top. Appl. Earth Observ. Remote Sens. 2014, 7, 3200–3209. [Google Scholar] [CrossRef]
- Wu, T.; Hou, X.Y. Review of Research on Coastline Changes. Acta Ecol. Sin. 2016, 4, 1170–1182. [Google Scholar]
- Wu, Y.Q.; Liu, Z.L. Research Progress on Methods of Automatic Coastline Extraction Based on Remote Sensing Images. J. Remote Sens. 2019, 23, 582–602. [Google Scholar]
- Ryu, J.H.; Won, J.S.; Min, K.D. Waterline Extraction from Landsat TM Data in A Tidal Flat: A Case Study in Gomso Bay, Korea. Remote Sens. Environ. 2002, 83, 442–456. [Google Scholar] [CrossRef]
- Pardo-Pascual, J.E.; Almonacid-Ca Ba Ller, J.; Ruiz, L.A.; Palomar-Vázquez, J. Automatic Extraction of Shorelines from Landsat TM and ETM+ Multi-Temporal Images with Subpixel Precision. Remote Sens. Environ. 2012, 123, 1–11. [Google Scholar] [CrossRef]
- Tajima, Y.; Wu, L.; Fuse, T.; Shimozono, T.; Sato, S. Study on Shoreline Monitoring System Based on Satellite SAR Imagery. Coast. Eng. J. 2019, 61, 401–421. [Google Scholar] [CrossRef]
- Xu, J.; Zhang, Z.; Zhao, X.; Wen, Q.; Zuo, L.; Wang, X.; Yi, L. Spatial and Temporal Variations of Coastlines in Northern China (2000–2012). J. Geogr. Sci. 2014, 24, 18–32. [Google Scholar] [CrossRef]
- Sheik, M. A Shoreline Change Analysis Along the Coast Between Kanyakumari and Tuticorin, India, Using Digital Shoreline Analysis System. Geo-Spat. Inf. Sci. 2011, 14, 282–293. [Google Scholar] [CrossRef]
- Shu, Y.; Jonathan, L.I.; Gomes, G. Shoreline Extraction from RADARSAT-2 Intensity Imagery Using a Narrow Band Level Set Segmentation Approach. Mar. Geod. 2010, 33, 187–203. [Google Scholar] [CrossRef]
- Modava, M.; Akbarizadeh, G.; Soroosh, M. Integration of Spectral Histogram and Level Set for Coastline Detection in SAR Images. IEEE Trans. Aerosp. Electron. Syst. 2018, 55, 810–819. [Google Scholar] [CrossRef]
- Lee, J.S.; Jurkevich, I. Coastline Detection and Tracing in SAR Images. IEEE Trans. Geosci. Remote Sens. 1990, 28, 662–668. [Google Scholar]
- Baghdadi, N.; Pedreros, R.; Lenotre, N.; Dewez, T.; Paganini, M. Impact of Polarization and Incidence of The ASAR Sensor on Coastline Mapping: Example of Gabon. Int. J. Remote Sens. 2007, 28, 3841–3849. [Google Scholar] [CrossRef]
- Ferrentino, E.; Buono, A.; Nunziata, F.; Marino, A.; Migliaccio, M. On the Use of Multipolarization Satellite SAR Data for Coastline Extraction in Harsh Coastal Environments: The Case of Solway Firth. IEEE J. Sel. Top. Appl. Earth Observ. Remote Sens. 2021, 14, 249–257. [Google Scholar] [CrossRef]
- Wu, L.; Tajima, Y.; Yamanaka, Y.; Shimozono, T.; Sato, S. Study on Characteristics of Synthetic Aperture Radar (SAR) Imagery Around the Coast for Shoreline Detection. Coast. Eng. J. 2019, 61, 152–170. [Google Scholar] [CrossRef]
- Kim, D.J.; Moon, W.M.; Park, S.E.; Kim, J.E.; Lee, H.S. Dependence of Waterline Mapping on Radar Frequency Used for SAR Images in Intertidal Areas. IEEE Geosci. Remote Sens. Lett. 2007, 4, 269–273. [Google Scholar] [CrossRef]
- Mason, D.C.; Davenport, I.J. Accurate and Efficient Determination of The Shoreline in ERS-1 SAR Images. IEEE Trans. Geosci. Remote Sens. 2002, 34, 1243–1253. [Google Scholar] [CrossRef]
- Taha, E.D.; Elbeih, S.F. Investigation of Fusion of SAR And Landsat Data for Shoreline Super Resolution Mapping: The Northeastern Mediterranean Sea Coast in Egypt. Appl. Geomat. 2010, 2, 177–186. [Google Scholar] [CrossRef]
- Braga, F.; Tosi, L.; Prat, C.; Alberotanza, L. Shoreline Detection: Capability of COSMO-SkyMed and High-Resolution Multispectral Images. Eur. J. Remote Sens. 2013, 46, 837–853. [Google Scholar] [CrossRef]
- Demir, N.; Bayram, B.; Şeker, D.Z.; Oy, S.; İnce, A.; Bozkurt, S. Advanced Lake Shoreline Extraction Approach by Integration of SAR Image and LIDAR Data. Mar. Geod. 2019, 42, 166–185. [Google Scholar] [CrossRef]
- Demir, N.; Bayram, B.; Şeker, D.Z.; Oy, S.; Erdem, F. A Nonparametric Fuzzy Shoreline Extraction Approach from Sentinel-1A By Integration of RASAT Pan-Sharpened Imagery. Geo-Mar. Lett. 2019, 39, 401–415. [Google Scholar] [CrossRef]
- Yang, W.; Sha, J.; Bao, Z.; Dong, J.; Hanchiso, T. Monitoring Tidal Flats Boundaries Through Combining Sentinel-1 and Sentinel-2 Imagery. Environ. Technol. Innov. 2021, 22, 101401. [Google Scholar] [CrossRef]
- Wang, H.; Chen, K.; Li, Z.; Liu, Y. Quantitative Analysis of Shoreline Changes in Western Taiwan Coast Using Time-Series SAR Images. IEEE J. Sel. Top. Appl. Earth Observ. Remote Sens. 2016, 9, 4898–4907. [Google Scholar] [CrossRef]
- Nunziata, F.; Migliaccio, M.; Li, X.; Ding, X. Coastline Extraction Using Dual-Polarimetric COSMO-SkyMed PingPong Mode SAR Data. IEEE Geosci. Remote Sens. Lett. 2014, 11, 104–108. [Google Scholar] [CrossRef]
- Liu, C.; Jian, Y.; Yin, J.; An, W. Coastline Detection in SAR Images Using a Hierarchical Level Set Segmentation. IEEE J. Sel. Top. Appl. Earth Observ. Remote Sens. 2016, 9, 4908–4920. [Google Scholar] [CrossRef]
- Nunziata, F.; Migliaccio, M.; Li, X. Dual-Polarized COSMO-SkyMed SAR Data for Coastline Detection. In Proceedings of the 2012 IEEE International Geoscience and Remote Sensing Symposium, Munich, Germany, 22–27 July 2012; IEEE: New York, NY, USA, 2012; pp. 5109–5112. [Google Scholar]
- Ferrentino, E.; Nunziata, F.; Migliaccio, M. Full-Polarimetric SAR Measurements for Coastline Extraction and Coastal Area Classification. Int. J. Remote Sens. 2017, 38, 7405–7421. [Google Scholar] [CrossRef]
- Ferrentino, E.; Nunziata, F.; Migliaccio, M. Monitoring Waterline Variation of The Monte Cotugno Lake Using Dual-Polarimetric SAR Data. In Proceedings of the 2017 IEEE 3rd International Forum on Research and Technologies for Society and Industry (RTSI), Modena, Italy, 11–13 September 2017. [Google Scholar]
- Shi, X.; Zhu, C.; Ding, X.; Du, Q.; Younan, N.H.; Li, L. A Superpixel-Based Coastline Extraction Algorithm for Single-Polarized ENVISAT and ERS Imagery. IEEE J. Sel. Top. Appl. Earth Observ. Remote Sens. 2019, 12, 5118–5133. [Google Scholar] [CrossRef]
- Niedermeier, A.; Romaneessen, E.; Lehner, S. Detection of Coastlines in SAR Images Using Wavelet Methods. IEEE Trans. Geosci. Remote Sens. 2000, 38, 2270–2281. [Google Scholar] [CrossRef]
- Fugura, A.A.; Billa, L.; Pradhan, B. Semi-Automated Procedures for Shoreline Extraction Using Single RADARSAT-1 SAR Image. Estuar. Coast. Shelf Sci. 2011, 95, 395–400. [Google Scholar] [CrossRef]
- Tzeng, Y.C.; Chen, D.; Chen, K.S. Integration of Spatial Chaotic Model and Type-2 Fuzzy Sets to Coastline Detection in SAR Images. In Proceedings of the IGARSS 2008—IEEE International Geoscience & Remote Sensing Symposium, Boston, MA, USA, 8–11 July 2008. [Google Scholar]
- Dellepiane, S.; Laurentiis, R.D.; Giordano, F. Coastline Extraction from SAR Images and A Method for The Evaluation of The Coastline Precision. Pattern Recognit. Lett. 2004, 25, 1461–1470. [Google Scholar] [CrossRef]
- Liu, Z.; Fei, L.; Ning, L.; Wang, R.; Zhang, H. A Novel Region-Merging Approach for Coastline Extraction from Sentinel-1A IW Mode SAR Imagery. IEEE Geosci. Remote Sens. Lett. 2016, 13, 324–328. [Google Scholar] [CrossRef]
- Jiaojing, H.U.; Zhang, J.; Junyi, X.U.; Zhao, Z. Approach for Rapid Segmentation of Coastline Based on the C-V Model Using the Exponential Sequence of Multi-Scale SAR Images. J. Remote Sens. 2018, 22, 478–486. [Google Scholar]
- Heidler, K.; Mou, L.; Baumhoer, C.; Dietz, A.; Zhu, X.X. HED-UNET: Combined Segmentation and Edge Detection for Monitoring the Antarctic Coastline. IEEE Trans. Geosci. Remote Sens. 2021, 60, 1–14. [Google Scholar] [CrossRef]
- Descombes, X.; Moctezuma, M.; Maître, H.; Rudant, J.P. Coastline Detection by A Markovian Segmentation on SAR Images. Signal Process. 1996, 55, 123–132. [Google Scholar] [CrossRef]
- Moctezuma, M.; Escalante, B.; Mendez, R.; Lopez, J.R.; Garcia, F. Coastline Detection with Polynomial Transforms and Markovian Segmentations. In Proceedings of the IGARSS’97—1997 IEEE International Geoscience and Remote Sensing Symposium Proceedings. Remote Sensing—A Scientific Vision for Sustainable Development, Singapore, 3–8 August 1997; IEEE International: New York, NY, USA, 1997. [Google Scholar]
- Liu, X.; Hong, J.; Cao, L.; Cheng, W.; Ming, C. Superpixel-Based Coastline Extraction in SAR Images with Speckle Noise Removal. In Proceedings of the 2016 IEEE International Geoscience and Remote Sensing Symposium (IGARSS), Beijing, China, 10–15 July 2016. [Google Scholar]
- Zhang, T.; Yang, X.; Hu, S.; Su, F. Extraction of Coastline in Aquaculture Coast from Multispectral Remote Sensing Images: Object-Based Region Growing Integrating Edge Detection. Remote Sens. 2013, 5, 4470–4487. [Google Scholar] [CrossRef]
- Zhu, Z.; Tang, Y.; Hu, J.; An, M. Coastline Extraction from High-Resolution Multispectral Images by Integrating Prior Edge Information with Active Contour Model. IEEE J. Sel. Top. Appl. Earth Observ. Remote Sens. 2019, 12, 4099–4109. [Google Scholar] [CrossRef]
- She, X.; Qiu, X.; Lei, B. Accurate Sea–Land Segmentation Using Ratio of Average Constrained Graph Cut for Polarimetric Synthetic Aperture Radar Data. J. Appl. Remote Sens. 2017, 11, 26023. [Google Scholar] [CrossRef]
- Tan, W.; Li, J.; Xu, L.; Chapman, M.A. Semiautomated Segmentation of Sentinel-1 SAR Imagery for Mapping Sea Ice in Labrador Coast. IEEE J. Sel. Top. Appl. Earth Observ. Remote Sens. 2018, 11, 1419–1432. [Google Scholar] [CrossRef]
- Ding, X.; Zou, X.; Yu, T. Coastline Detection in SAR Images Using Discriminant Cuts Segmentation. IOP Publ. 2016, 46, 012035. [Google Scholar] [CrossRef]
- Ding, X.; Nunziata, F.; Li, X.; Migliaccio, M. Performance Analysis and Validation of Waterline Extraction Approaches Using Single- and Dual-Polarimetric SAR Data. IEEE J. Sel. Top. Appl. Earth Observ. Remote Sens. 2015, 8, 1019–1027. [Google Scholar] [CrossRef]
- Gillis, D.; Messinger, D. An Introduction to Spectral Graph Techniques for The Analysis of Hyperspectral Image Data. In Proceedings of the 2014 6th Workshop on Hyperspectral Image and Signal Processing: Evolution in Remote Sensing (WHISPERS), Lausanne, Switzerland, 24–27 June 2014; IEEE: New York, NY, USA, 2014; pp. 1–4. [Google Scholar]
- Grady, L. Random Walks for Image Segmentation. IEEE Trans. Pattern Anal. Mach. Intell. 2006, 28, 1768–1783. [Google Scholar] [CrossRef]
- Grady, L. Multilabel Random Walker Image Segmentation Using Prior Models. In Proceedings of the 2005 IEEE Computer Society Conference on Computer Vision and Pattern Recognition (CVPR’05), San Diego, CA, USA, 20–25 June 2005. [Google Scholar]
- Kim, T.; Lee, K.; Lee, S. Generative Image Segmentation Using Random Walks with Restart. In Proceedings of the European Conference on Computer Vision, Marseille, France, 12–18 October 2008. [Google Scholar]
- Shen, J.; Du, Y.; Wang, W.; Li, X. Lazy Random Walks for Superpixel Segmentation. IEEE Trans. Image Process. 2014, 23, 1451–1462. [Google Scholar] [CrossRef]
- Dong, X.; Shen, J.; Shao, L.; Van Gool, L. Sub-Markov Random Walk for Image Segmentation. IEEE Trans. Image Process. 2016, 25, 516–527. [Google Scholar] [CrossRef] [PubMed]
- Zhao, X.; Tao, R.; Kang, X.; Li, W. Hierarchical-Biased Random Walk for Urban Remote Sensing Image Segmentation. IEEE J. Sel. Top. Appl. Earth Observ. Remote Sens. 2019, 12, 1521–1533. [Google Scholar] [CrossRef]
- Li, M.; Gao, H.; Zuo, F.; Li, H. A Continuous Random Walk Model with Explicit Coherence Regularization for Image Segmentation. IEEE Trans. Image Process. 2019, 28, 1759–1772. [Google Scholar] [CrossRef] [PubMed]
- Jiang, J.; Lyu, C.; Liu, S.; He, Y.; Hao, X. RWSNet: A Semantic Segmentation Network Based on SegNet Combined with Random Walk for Remote Sensing. Int. J. Remote Sens. 2019, 41, 487–505. [Google Scholar] [CrossRef]
- Yin, L.K.; Rajeswari, M. Random Walker with Improved Weighting Function for Interactive Medical Image Segmentation. Bio-Med. Mater. Eng. 2014, 24, 3333–3341. [Google Scholar] [CrossRef]
- Guo, C.; Zheng, S.; Xie, Y.; Hao, W. An Improved Random Walk Algorithm Based on Data-Adaptive Gaussian Smoother for Image Segmentation. Proc. SPIE 2011, 8003, 38. [Google Scholar]
- Wang, Z.; Guo, L.; Wang, S.; Chen, L.; Wang, H. Review of Random Walk in Image Processing. Arch. Comput. Method Eng. 2019, 26, 17–34. [Google Scholar] [CrossRef]
- Xia, F.; Liu, J.; Nie, H.; Fu, Y.; Wan, L.; Kong, X. Random Walks: A Review of Algorithms and Applications. IEEE Trans. Emerg. Top. Comput. Intell. 2020, 4, 95–107. [Google Scholar] [CrossRef]
- Li, Z.; Heygster, G.; Notholt, J. Intertidal Topographic Maps and Morphological Changes in the German Wadden Sea between 1996–1999 and 2006–2009 from the Waterline Method and SAR Images. IEEE J. Sel. Top. Appl. Earth Observ. Remote Sens. 2014, 7, 3210–3224. [Google Scholar] [CrossRef]
- Gens, R. Remote Sensing of Coastlines: Detection, Extraction, and Monitoring. Int. J. Remote Sens. 2010, 31, 1819. [Google Scholar] [CrossRef]
- Liu, C.; Xiao, Y.; Jian, Y. A Coastline Detection Method in Polarimetric SAR Images Mixing the Region-Based and Edge-Based Active Contour Models. IEEE Trans. Geosci. Remote Sens. 2017, 55, 3735–3747. [Google Scholar] [CrossRef]
- Ottinger, M.; Clauss, K.; Kuenzer, C. Large-Scale Assessment of Coastal Aquaculture Ponds with Sentinel-1 Time Series Data. Remote Sens. 2017, 9, 440. [Google Scholar] [CrossRef]
- Wu, X.; Li, Z.; So, A.; Wright, J.; Chang, S. Learning with Partially Absorbing Random Walks. Adv. Neural Inf. Process. Syst. 2012, 25, 3077–3085. [Google Scholar]
- Yuan, H.; Wu, S.; Cheng, P.; An, P.; Bao, S. Nonlocal Random Walks Algorithm for Semi-Automatic 2D-To-3D Image Conversion. IEEE Signal Process Lett. 2014, 22, 371–374. [Google Scholar] [CrossRef]
- Achanta, R.; Shaji, A.; Smith, K.; Lucchi, A.; Fua, P.; Süsstrunk, S. SLIC Superpixels Compared to State-Of-The-Art Superpixel Methods. IEEE Trans. Pattern Anal. Mach. Intell. 2012, 34, 2274–2282. [Google Scholar] [CrossRef]
- Pham, M.; Mercier, G.; Michel, J. Change Detection Between SAR Images Using a Pointwise Approach and Graph Theory. IEEE Trans. Geosci. Remote Sens. 2016, 54, 2020–2032. [Google Scholar] [CrossRef]
- Ayed, I.B.; Mitiche, A.; Belhadj, Z. Multiregion Level-Set Partitioning of Synthetic Aperture Radar Images. IEEE Trans. Pattern Anal. Mach. Intell. 2005, 27, 793–800. [Google Scholar] [CrossRef] [PubMed]
- Qingjun, Z. System Design and Key Technologies of the GF-3 Satellite. Acta Geod. Cartogr. Sin. 2017, 46, 269–277. [Google Scholar]
- Jianchao, F.; Deyi, W.; Jianhua, Z.; Derui, S.; Min, H.; Dawei, J. National Sea Area Use Dynamic Monitoring Based on GF-3 SAR Imagery. J. Radars 2017, 5, 456–472. [Google Scholar]
- Hankang, F.; Bo, Z.; Weirong, C.; Fan, W.; Chao, W. Fine process method for Gaofen-3 L1A-level image. J. Univ. Chin. Acad. Sci. 2022, 39, 648–657. [Google Scholar]
- Fan, J.; Zhao, J.; An, W.; Hu, Y. Marine Floating Raft Aquaculture Detection of GF-3 PolSAR Images Based on Collective Multikernel Fuzzy Clustering. IEEE J. Sel. Top. Appl. Earth Observ. Remote Sens. 2019, 12, 2741–2754. [Google Scholar] [CrossRef]












| Mode | Incidence Angle Range (°) | Resolution (m) | Swath Width (km) | Polarization Options |
|---|---|---|---|---|
| Interferometric wide swath (IW) | 29.1–46 | 5 × 20 | 250 | Dual HH + HV, VH + VV; Single HH, VV |
| ID | Name | Polarization | Size | Time | Location |
|---|---|---|---|---|---|
| 1 | S1A_IW_GRDH_1SDV_20220924T094940_20220924T095003_045145_05653C_41A9 | VV | 10,824 × 17,736 | 2022.09 | Liaodong Bay |
| 2 | S1A_IW_GRDH_1SDV_20220912T094916_20220912T094941_044970_055F53_E42A | VV | 13,212 × 18,236 | 2022.09 | Dalian |
| Methods | Mo (Pixels) | Rmse (Pixels) | Overlapped (%) | WOP (%) | WTP (%) |
|---|---|---|---|---|---|
| MLSP | 5.66 | 13.23 | 23.23 | 58.47 | 75.71 |
| SPEC | 7.45 | 15.08 | 16.68 | 32.99 | 47.25 |
| DLRW | 1.81 | 2.68 | 15.15 | 56.15 | 82.04 |
| Methods | Mo (Pixels) | Rmse (Pixels) | Overlapped (%) | WOP (%) | WTP (%) |
|---|---|---|---|---|---|
| MLSP | 16.05 | 25.83 | 9.00 | 30.56 | 41.53 |
| SPEC | 9.60 | 16.81 | 8.08 | 26.14 | 38.03 |
| DLRW | 3.85 | 6.38 | 11.88 | 41.09 | 59.57 |
| ID | Imaging Mode | Incidence Angle Range (°) | Resolution (m) | Swath Width (km) | Polarization Options |
|---|---|---|---|---|---|
| 1 | fine strip II | 19–50 | 10 | 100 | Selectable Dual |
| 2 | standard strip | 17–50 | 25 | 130 | Selectable Dual |
Disclaimer/Publisher’s Note: The statements, opinions and data contained in all publications are solely those of the individual author(s) and contributor(s) and not of MDPI and/or the editor(s). MDPI and/or the editor(s) disclaim responsibility for any injury to people or property resulting from any ideas, methods, instructions or products referred to in the content. |
© 2023 by the authors. Licensee MDPI, Basel, Switzerland. This article is an open access article distributed under the terms and conditions of the Creative Commons Attribution (CC BY) license (https://creativecommons.org/licenses/by/4.0/).
Share and Cite
Song, D.; Zhu, C.; Tao, J.; Shi, X.; Wang, X. DLRW: Dual-Link Weight Random Walk Model for Aquaculture Boundary Extraction by Single-Polarized SAR Imagery. Remote Sens. 2023, 15, 3109. https://doi.org/10.3390/rs15123109
Song D, Zhu C, Tao J, Shi X, Wang X. DLRW: Dual-Link Weight Random Walk Model for Aquaculture Boundary Extraction by Single-Polarized SAR Imagery. Remote Sensing. 2023; 15(12):3109. https://doi.org/10.3390/rs15123109
Chicago/Turabian StyleSong, Derui, Cheng Zhu, Jingzhe Tao, Xiaofei Shi, and Xianghai Wang. 2023. "DLRW: Dual-Link Weight Random Walk Model for Aquaculture Boundary Extraction by Single-Polarized SAR Imagery" Remote Sensing 15, no. 12: 3109. https://doi.org/10.3390/rs15123109
APA StyleSong, D., Zhu, C., Tao, J., Shi, X., & Wang, X. (2023). DLRW: Dual-Link Weight Random Walk Model for Aquaculture Boundary Extraction by Single-Polarized SAR Imagery. Remote Sensing, 15(12), 3109. https://doi.org/10.3390/rs15123109

