Use of Landsat Satellite Images in the Assessment of the Variability in Ice Cover on Polish Lakes
Abstract
1. Introduction
2. Materials and Methods
2.1. Study Area
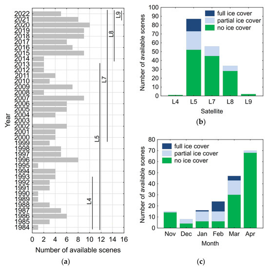
2.2. Materials
2.3. Methods
- —TOA planetary spectral reflectance, without correction for solar angle (-);
- —reflectance multiplicative scaling factor for the band (-);
- —level 1 pixel value in DN (-);
- —reflectance additive scaling factor for the band.
- —real TOA planetary reflectance (-);
- —local solar zenith angle.
- —green spectral band;
- —near-infrared spectral band.
- —green spectral band;
- —short-wave infrared spectral band.
- —blue spectral band;
- a, b—threshold values.
- Ta—average daily air temperature in degrees Celsius.
3. Results and Discussion
3.1. Temporary Changes in Lake Ice Cover
3.2. Spatial Changes in Lake Ice Cover
3.3. Factors Affecting the Lake Ice Cover Diversity
4. Conclusions
Supplementary Materials
Author Contributions
Funding
Data Availability Statement
Conflicts of Interest
References
- Bai, Q.; Li, R.; Li, Z.; Leppäranta, M.; Arvola, L.; Li, M. Time-series analyses of water temperature and dissolved oxygen concentration in Lake Valkea-Kotinen (Finland) during ice season. Ecol. Inform. 2016, 36, 181–189. [Google Scholar] [CrossRef]
- Bengtsson, L.; Ali-Maher, O. The dependence of the consumption of dissolved oxygen on lake morphology in ice covered lakes. Hydrol. Res. 2020, 51, 381–391. [Google Scholar] [CrossRef]
- Roulet, N.T.; Adams, W.P. Spectral distribution of light under a subarctic winter lake cover. Hydrobiologia 1986, 134, 89–95. [Google Scholar] [CrossRef]
- Bramburger, A.J.; Ozersky, T.; Silsbe, G.M.; Crawford, C.; Olmanson, L.G.; Shchapov, K. The not-so-dead of winter: Underwater light climate and primary productivity under snow and ice cover in inland lakes. Inland Waters 2022, 13, 1–12. [Google Scholar] [CrossRef]
- Huang, W.; Zhang, Z.; Li, Z.; Leppäranta, M.; Arvola, L.; Song, S.; Huotari, J.; Lin, Z. Under-ice dissolved oxygen and metabolism dynamics in a shallow lake: The critical role of ice and snow. Water Resour. Res. 2021, 57, e2020WR027990. [Google Scholar] [CrossRef]
- Choiński, A.; Ptak, M.; Strzelczak, A. Changeability of accumulated heat content in alpine-type lakes. Pol. J. Environ. Stud. 2015, 24, 2363–2369. [Google Scholar] [CrossRef]
- Yang, F.; Li, C.; Leppäranta, M.; Shi, X.; Zhao, S.; Zhang, C. Notable increases in nutrient concentrations in a shallow lake during seasonal ice growth. Water Sci. Technol. 2016, 74, 2773–2783. [Google Scholar] [CrossRef]
- Huang, C.; Zhu, L.; Ma, G.; Meadows, G.A.; Xue, P. Wave Climate Associated with Changing Water Level and Ice Cover in Lake Michigan. Front. Mar. Sci. 2021, 8, 746916. [Google Scholar] [CrossRef]
- Chiapella, A.M.; Grigel, H.; Lister, H.; Hrycik, A.; O’Malley, B.P.; Stockwell, J.D. A day in the life of winter plankton: Under-ice community dynamics during 24 h in a eutrophic lake. J. Plankton Res. 2021, 43, 865–883. [Google Scholar] [CrossRef]
- Hrycik, A.R.; McFarland, S.; Morales-Williams, A.; Stockwell, J.D. Winter severity shapes spring plankton succession in a small, eutrophic lake. Hydrobiologia 2022, 849, 2127–2144. [Google Scholar] [CrossRef]
- Pöysä, H. Local variation in the timing and advancement of lake ice breakup and impacts on settling dynamics in a migratory waterbird. Sci. Total Environ. 2022, 811, 151397. [Google Scholar] [CrossRef] [PubMed]
- Choiński, A. Katalog Jezior Polski; Wydawnictwo Naukowe UAM: Poznań, Poland, 2006. [Google Scholar]
- Ptak, M.; Choiński, A.; Strzelczak, A.; Targosz, A. Disappearance of Lake Jelenino since the end of the XVIII century as an effect of anthropogenic transformations of the natural environment. Pol. J. Environ. Stud. 2013, 22, 191–196. [Google Scholar]
- Barańczuk, K.; Barańczuk, J. Formulas for calculating ice cover thickness on selected spring lakes on the upper Radunia (Kashubian Lakeland, northern Poland). Limnol. Rev. 2020, 20, 199–205. [Google Scholar] [CrossRef]
- Machowski, R. Course of ice phenomena in small water reservoir in Katowice (Poland) in the winter season 2011/2012. Environ. Socio-Econ. Stud. 2013, 1, 7–13. [Google Scholar] [CrossRef]
- Nowak, B.; Nowak, D.; Ptak, M. Variability and course of occurrence of ice cover on selected lakes of the Gnieźnieńskie Lakeland (Central Poland) in the period 1976–2015. E3S Web Conf. 2018, 44, 00126. [Google Scholar] [CrossRef]
- Ptak, M.; Sojka, M.; Nowak, B. Changes in ice regime of Jagodne Lake (North-Eastern Poland). Acta Sci. Pol. Form. Circumiectus 2019, 18, 89–100. [Google Scholar] [CrossRef]
- Solarski, M.; Rzetala, M. Ice Regime of the Kozłowa Góra Reservoir (Southern Poland) as an Indicator of Changes of the Thermal Conditions of Ambient Air. Water 2020, 12, 2435. [Google Scholar] [CrossRef]
- Wrzesiński, D.; Choiński, A.; Ptak, M.; Skowron, R. Effect of the North Atlantic Oscillation on the Pattern of Lake Ice Phenology in Poland. Acta Geophys. 2015, 63, 1664–1684. [Google Scholar] [CrossRef]
- Warne, C.P.K.; McCann, K.S.; Rooney, N.; Cazelles, K.; Guzzo, M.M. Geography and Morphology Affect the Ice Duration Dynamics of Northern Hemisphere Lakes Worldwide. Geophys. Res. Lett. 2020, 47, e2020GL087953. [Google Scholar] [CrossRef]
- Heinilä, K.; Mattila, O.-P.; Metsämäki, S.; Väkevä, S.; Luojus, K.; Schwaizer, G.; Koponen, S. A novel method for detecting lake ice cover using optical satellite data. Int. J. Appl. Earth Obs. Geoinf. 2021, 104, 102566. [Google Scholar] [CrossRef]
- Wu, Y.; Duguay, C.R.; Xu, L. Assessment of machine learning classifiers for global lake ice cover mapping from MODIS TOA reflectance data. Remote Sens. Environ. 2021, 253, 112206. [Google Scholar] [CrossRef]
- Wang, J.; Duguay, C.R.; Clausi, D.A.; Pinard, V.; Howell, S.E.L. Semi-automated classification of Lake Ice Cover using dual polarization RADARSAT-2 imagery. Remote Sens. 2018, 10, 1727. [Google Scholar] [CrossRef]
- Dastour, H.; Ghaderpour, E.; Hassan, Q.K. A Combined Approach for Monitoring Monthly Surface Water/Ice Dynamics of Lesser Slave Lake via Earth Observation Data. IEEE J. Sel. Top. Appl. Earth Obs. Remote Sens. 2022, 15, 6402–6417. [Google Scholar] [CrossRef]
- Herrick, C.; Steele, B.G.; Brentrup, J.A.; Cottingham, K.L.; Ducey, M.J.; Lutz, D.A.; Palace, M.W.; Thompson, M.C.; Trout-Haney, J.V.; Weathers, K.C. lakeCoSTR: A tool to facilitate use of Landsat Collection 2 to estimate lake surface water temperatures. Ecosphere 2023, 14, e4357. [Google Scholar] [CrossRef]
- Jańczak, J. (Ed.) Atlas Jezior Polski. Jeziora Pojezierza Wielkopolskiego i Pomorskiego w Granicach Dorzecza Odry; Bogucki Wydawnictwo Naukowe: Poznań, Poland, 1996. [Google Scholar]
- Foga, S.; Scaramuzza, P.L.; Guo, S.; Zhu, Z.; Dilley, R.D.; Beckmann, T.; Schmidt, G.L.; Dwyer, J.L.; Hughes, M.J.; Laue, B. Cloud detection algorithm comparison and validation for operational Landsat data products. Remote Sens. Environ. 2017, 194, 379–390. [Google Scholar] [CrossRef]
- Daniels, R.C. Using ArcMap to extract shorelines from Landsat TM & ETM+ data. In Proceedings of the 32nd ESRI International Users Conference, San Diego, CA, USA, 23–27 July 2012; pp. 23–27. [Google Scholar]
- Ihlen, V. Landsat 8 Data Users Handbook; U.S. Geological Survey: Sioux Falls, SD, USA, 2019. [Google Scholar]
- Cáceres, A.; Schwarz, E.; Aldenhoff, W. Landsat-8 Sea Ice Classification Using Deep Neural Networks. Remote Sens. 2022, 14, 1975. [Google Scholar] [CrossRef]
- McFeeters, S.K. The use of the Normalized Difference Water Index (NDWI) in the delineation of open water features. Int. J. Remote Sens. 1996, 17, 1425–1432. [Google Scholar] [CrossRef]
- Richter, R.; Schläpfer, D. Atmospheric and Topographic Correction (ATCOR Theoretical Background Document); DLR—German Aerospace Center: Wessling, Germany, 2021. [Google Scholar]
- Liu, C.W.; Lin, K.H.; Kuo, Y.M. Application of factor analysis in the assessment of groundwater quality in blackfoot disease in Taiwan. Sci. Total Environ. 2003, 313, 77–89. [Google Scholar] [CrossRef]
- Beyene, M.T.; Jain, S. Wintertime weather-climate variability and its links to early spring ice-out in Maine Lakes. Limnol. Oceanogr. 2015, 60, 1890–1905. [Google Scholar] [CrossRef]
- Karetnikov, S.; Leppäranta, M.; Montonen, A. A time series of over 100 years of ice seasons on Lake Ladoga. J. Great Lakes Res. 2017, 43, 979–988. [Google Scholar] [CrossRef]
- Qi, M.; Liu, S.; Yao, X.; Xie, F.; Gao, Y. Monitoring the Ice Phenology of Qinghai Lake from 1980 to 2018 Using Multisource Remote Sensing Data and Google Earth Engine. Remote Sens. 2020, 12, 2217. [Google Scholar] [CrossRef]
- Cai, Y.; Ke, C.-Q.; Duan, Z. Monitoring ice variations in Qinghai Lake from 1979 to 2016 using passive microwave remote sensing data. Sci. Total Environ. 2017, 607–608, 120–131. [Google Scholar] [CrossRef] [PubMed]
- Jeffries, M.O.; Morris, K.; Kozlenko, N. Ice characteristics and processes, and remote sensing of frozen rivers and lakes. Geophys. Monogr. Ser. 2005, 163, 63–90. [Google Scholar] [CrossRef]
- Leshkevich, G.A. Machine classification of freshwater ice types from Landsat-I digital data using ice albedos as training sets. Remote Sens. Environ. 1985, 17, 251–263. [Google Scholar] [CrossRef]
- Jin, H.; Gan, T.; Zeng, B.; Song, X.; Chen, J. Namco Lake Ice Detection from Landsat-8 Imagery with Improved Deeplab v3+. In Proceedings of the CTISC 2022—2022 4th International Conference on Advances in Computer Technology, Information Science and Communications, Suzhou, China, 22–24 April 2022. [Google Scholar] [CrossRef]
- Cook, T.L.; Bradley, R.S. An analysis of past and future changes in the ice cover of two high-arctic lakes based on synthetic aperture radar (SAR) and Landsat imagery. Arct. Antarct. Alp. Res. 2010, 42, 9–18. [Google Scholar] [CrossRef]
- Zhang, S.; Pavelsky, T.M. Remote Sensing of Lake Ice Phenology across a Range of Lakes Sizes, ME, USA. Remote Sens. 2019, 11, 1718. [Google Scholar] [CrossRef]
- Yang, X.; Pavelsky, T.M.; Bendezu, L.P.; Zhang, S. Simple Method to Extract Lake Ice Condition from Landsat Images. IEEE Trans. Geosci. Remote Sens. 2022, 60, 1–10. [Google Scholar] [CrossRef]
- Ke, C.; Cai, Y.; Xiao, Y. Monitoring ice phenology variations in Khanka Lake based on passive remote sensing data from 1979 to 2019. Natl. Remote Sens. Bull. 2022, 26, 201–210. [Google Scholar]
- Yang, F.; Feng, W.; Leppäranta, M.; Yang, Y.; Merkouriadi, I.; Cen, R.; Bai, Y.; Li, C.; Liao, H. Simulation and seasonal characteristics of the intra-annual heat exchange process in a shallow ice-covered lake. Sustainability 2020, 12, 7832. [Google Scholar] [CrossRef]
- Bartosiewicz, M.; Ptak, M.; Woolwey, I.; Sojka, M. On thinning ice: Effects of atmospheric warming, stilling and rainfall intensity on ice conditions in differently shaped lakes. J. Hydrol. 2021, 597, 125724. [Google Scholar] [CrossRef]
- Williams, G.; Layman, K.L.; Stefan, H.G. Dependence of lake ice covers on climatic, geographic and bathymetric variables. Cold Reg. Sci. Technol. 2004, 40, 145–164. [Google Scholar] [CrossRef]
- L’Abée-Lund, J.H.; Vøllestad, L.A.; Brittain, J.E.; Kvambekk, A.S.; Solvang, T. Geographic variation and temporal trends in ice phenology in Norwegian lakes during the period 1890–2020. Cryosphere 2021, 15, 2333–2356. [Google Scholar] [CrossRef]
- Caramatti, I.; Peeters, F.; Hamilton, D.; Hofmann, H. Modelling inter-annual and spatial variability of ice cover in a temperate lake with complex morphology. Hydrol. Process. 2020, 34, 691–704. [Google Scholar] [CrossRef]
- Howell, S.E.L.; Brown, L.C.; Kang, K.-K.; Duguay, C.R. Variability in ice phenology on Great Bear Lake and Great Slave Lake, Northwest Territories, Canada, from SeaWinds/QuikSCAT: 2000–2006. Remote Sens. Environ. 2009, 113, 816–834. [Google Scholar] [CrossRef]
- Solarski, M.; Rzetala, M. Changes in the Thickness of Ice Cover on Water Bodies Subject to Human Pressure (Silesian Upland, Southern Poland). Front. Earth Sci. 2021, 920, 675216. [Google Scholar] [CrossRef]
- Kainz, M.J.; Ptacnik, R.; Rasconi, S.; Hager, H.H. Irregular changes in lake surface water temperature and ice cover in subalpine Lake Lunz, Austria. Inland Waters 2017, 7, 27–33. [Google Scholar] [CrossRef]
- Christianson, K.R.; Loria, K.A.; Blanken, P.D.; Caine, N.; Johnson, P.T.J. On thin ice: Linking elevation and long-term losses of lake ice cover. Limnol. Oceanogr. Lett. 2021, 6, 77–84. [Google Scholar] [CrossRef]
- Newton, A.M.W.; Mullan, D.J. Climate change and Northern Hemisphere lake and river ice phenology from 1931–2005. Cryosphere 2021, 15, 2211–2234. [Google Scholar] [CrossRef]
- Ptak, M.; Sojka, M.; Nowak, B. Effect of climate warming on a change in thermal and ice conditions in the largest lake in Poland—Lake Śniardwy. J. Hydrol. Hydrodyn. 2020, 68, 260–270. [Google Scholar] [CrossRef]
- Ptak, M.; Sojka, M. The disappearance of ice cover on temperate lakes (Central Europe) as a result of global warming. Geogr. J. 2021, 187, 200–213. [Google Scholar] [CrossRef]
- Huang, L.; Timmermann, A.; Lee, S.-S.; Rodgers, K.B.; Yamaguchi, R.; Chung, E.-S. Emerging unprecedented lake ice loss in climate change projections. Nat. Commun. 2022, 13, 5798. [Google Scholar] [CrossRef] [PubMed]











| Parameters | A vs. B-1 | A vs. B-2 | A vs. B-3 | B-1 vs. B-2 | B-1 vs. B-3 | B-2 vs. B-3 |
|---|---|---|---|---|---|---|
| Area (ha) | 1 | 1 | 1 | −1 | 0 | 0 |
| Altitude (m asl) | −1 | −1 | −1 | 0 | 0 | −1 |
| Volume (106 m3) | 1 | 1 | 1 | −1 | 0 | 0 |
| Mean depth (m) | 1 | 1 | 1 | −1 | 0 | 1 |
| Maximum depth (m) | 1 | 1 | 1 | −1 | 0 | 1 |
| Maximum length (m) | 1 | 1 | 1 | −1 | 0 | 0 |
| Maximum width (m) | 1 | 1 | 1 | 0 | 0 | 0 |
| Effective length (m) | 1 | 1 | 1 | −1 | 0 | 0 |
| Shoreline length (m) | 1 | 0 | 1 | −1 | 0 | 0 |
| Shoreline development index (-) | 0 | 0 | 0 | −1 | 0 | 1 |
| Exposure index (-) | 0 | 0 | 0 | 0 | 0 | 0 |
Disclaimer/Publisher’s Note: The statements, opinions and data contained in all publications are solely those of the individual author(s) and contributor(s) and not of MDPI and/or the editor(s). MDPI and/or the editor(s) disclaim responsibility for any injury to people or property resulting from any ideas, methods, instructions or products referred to in the content. |
© 2023 by the authors. Licensee MDPI, Basel, Switzerland. This article is an open access article distributed under the terms and conditions of the Creative Commons Attribution (CC BY) license (https://creativecommons.org/licenses/by/4.0/).
Share and Cite
Sojka, M.; Ptak, M.; Zhu, S. Use of Landsat Satellite Images in the Assessment of the Variability in Ice Cover on Polish Lakes. Remote Sens. 2023, 15, 3030. https://doi.org/10.3390/rs15123030
Sojka M, Ptak M, Zhu S. Use of Landsat Satellite Images in the Assessment of the Variability in Ice Cover on Polish Lakes. Remote Sensing. 2023; 15(12):3030. https://doi.org/10.3390/rs15123030
Chicago/Turabian StyleSojka, Mariusz, Mariusz Ptak, and Senlin Zhu. 2023. "Use of Landsat Satellite Images in the Assessment of the Variability in Ice Cover on Polish Lakes" Remote Sensing 15, no. 12: 3030. https://doi.org/10.3390/rs15123030
APA StyleSojka, M., Ptak, M., & Zhu, S. (2023). Use of Landsat Satellite Images in the Assessment of the Variability in Ice Cover on Polish Lakes. Remote Sensing, 15(12), 3030. https://doi.org/10.3390/rs15123030

