Deriving the Vertical Variations in the Diffuse Attenuation Coefficient of Photosynthetically Available Radiation in the North Pacific Ocean from Remote Sensing
Abstract
1. Introduction
2. Data and Methods
2.1. Study Area
2.2. Field In Situ Observations in the Experiment of Pac_2017
2.3. Additional Field Datasets
2.4. Statistics
3. Results
3.1. Hydrographic Properties Observed In Situ
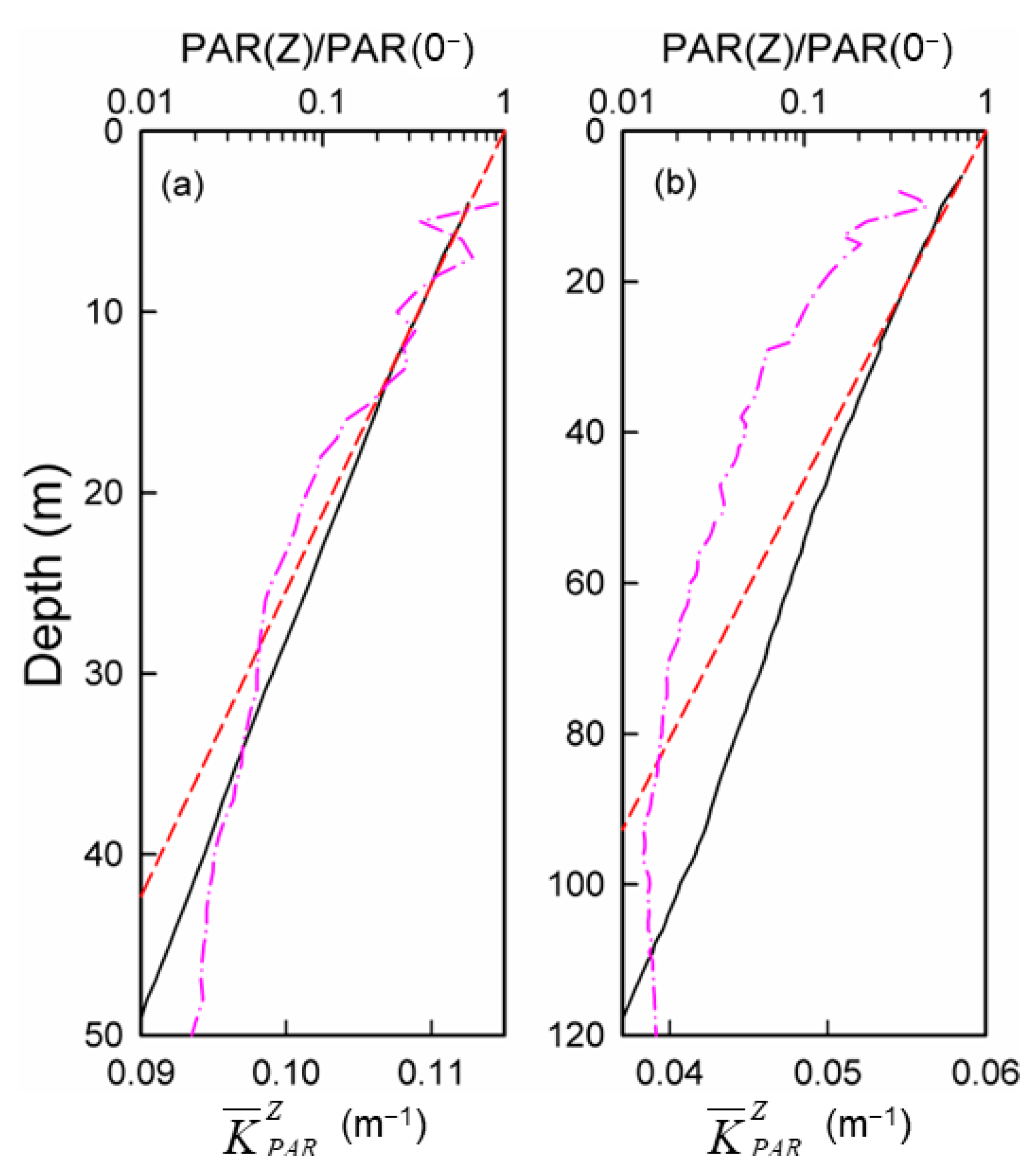
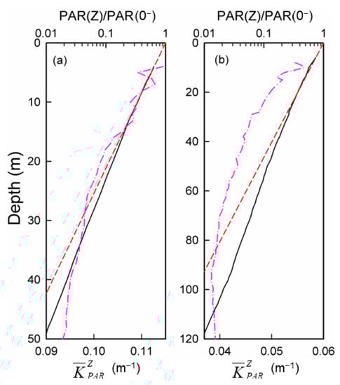
3.2. Variations of KPAR Observed In Situ
3.3. Algorithm Development for Remotely Sensing in the North Pacific
3.4. Validation on the Derived
4. Application: Distributions of Remotely Sensed and Zf in the North Pacific
5. Conclusions
Author Contributions
Funding
Data Availability Statement
Acknowledgments
Conflicts of Interest
Appendix A
| Experiments | Periods |
|---|---|
| W_Pacific | 14 Apr–13 May 2017 |
| HOT | 24 Sep, 3 Nov, 9 Dec 2009; 6 Apr, 18 May, 8 Jul, 3 Sep, 3 Oct 2010; 11 Apr, 27 Sep, 4 Nov, 29 Nov, 18 Dec 2011; 18 Jan, 1 May, 30 May, 14 Sep, 7 Oct, 3 Dec 2012; 6 Mar, 5 Apr, 17 May, 11 Sep, 27 Oct, 26 Nov 2013; 5 Mar, 10 Apr, 1 Jun, 30 Jun, 13 Oct 2014; 28 Mar, 21 Apr, 23 May, 19 Jun, 19 Jul, 12 Aug, 13 Oct, 8 Dec 2015; 9 Feb, 15 Apr, 29 Nov 2016; 24 Jan, 23 Feb, 25 Apr, 20 Jun 2017; 18 Apr, 10 Sep, 14 Oct 2018; 20 Feb, 4 May, 13 Jun, 1 Jul 2019 |
| ACE-Asia | 18 Mar–17 Apr 2001 |
| CalCOFI | 14–23 Aug, 19–24 Oct 1993; 20 Jan–5 Feb, 22 Mar–7 Apr, 6–19 Aug, 30 Sep–14 Oct, 1994; 6–21 Apr, 6–19 Jul, 12–25 Oct 1995; 30 Jan–10 Feb, 16–24 Apr, 10 Oct–1 Nov 1996; 30 Jan–14 Feb, 6–16 Apr, 2–15 Jul, 20 Sep–5 Oct 1997; 23 Jan–10 Feb, 3–20 Apr, 16–26 Jul, 13–26 Sep 1998; 10–19 Aug, 3–18 Oct 1999;7–26 Jan 2000; 10-16 Jul 2001; 3–12 Jul, 16–17 Nov 2002; 7–22 Apr 2003; 2–18 Nov 2004 |
| CCE_LTER | 11–20 May 2006; 4–19 Apr 2007; 5–27 Oct 2008 |
| CLIVAR | 21 Feb–27 Mar 2006; 17–27 Dec 2007 |
| JGOFS | 20–21 Feb 1988; 25 Mar–14 Apr 1992 |
| JGOFS_WOCE | 16–28 Sep 1991 |
| OCEAN_LIDAR | 19–24 Nov, 1–12 Dec 1994; 26–30 Dec 1995; 7–14 Jan 1996; 9–17 Jan, 14 Nov–20 Dec 1997; 1–10 Feb 1998; 31 Dec 1998–15 Jan 1999; 20 Nov–6 Dec 1999; 12–29 Jan 2001 |
| ZonalFlux | 24 Apr–10 May 1996 |


References
- Kirk, J.T.O. Light and Phytosynthesis in Aquatic Ecosystems, 2nd ed.; Cambridge University Press: New York, NY, USA, 1994. [Google Scholar]
- Morel, A. Light and marine photosynthesis: A spectral model with geochemical and climatological implications. Prog. Oceanog. 1991, 26, 263–306. [Google Scholar] [CrossRef]
- Behrenfeld, M.J.; O’Malley, R.T.; Siegel, D.A.; McClain, C.R.; Sarmiento, J.L.; Feldman, G.C.; Milligan, A.J.; Falkowski, P.G.; Letelier, R.M.; Boss, E.S. Climate-driven trends in contemporary ocean productivity. Nature 2006, 444, 752–755. [Google Scholar] [CrossRef] [PubMed]
- Boyd, P.; Trull, T.W. Understanding the export of biogenic particles in oceanic waters: Is there consensus? Prog. Oceanogr. 2007, 72, 276–312. [Google Scholar] [CrossRef]
- Behrenfeld, M.J.; Falkowski, P.G. Photosynthetic rates derived from satellite-based chlorophyll concentration. Limnol. Oceanogr. 1997, 42, 1–20. [Google Scholar] [CrossRef]
- Chen, J.; Zhang, X.; Xing, X.; Ishizaka, J.; Yu, Z. A spectrally selective attenuation mechanism-based Kpar algorithm for biomass heating effect simulation in the open ocean. J. Geophys. Res. Oceans 2017, 122, 9370–9386. [Google Scholar] [CrossRef]
- Mobley, C.D.; Boss, E.S. Improved irradiances for use in ocean heating, primary production, and photo-oxidation calculations. Appl. Opt. 2012, 51, 6549–6560. [Google Scholar] [CrossRef]
- Xu, M.; Barnes, B.B.; Hu, C.; Carlson, P.R.; Yarbro, L.A. Water clarity monitoring in complex coastal environments: Leveraging seagrass light requirement toward more functional satellite ocean color algorithms. Remote Sens. Environ. 2023, 286, 113418. [Google Scholar] [CrossRef]
- Barnes, B.B.; Hallock, P.; Hu, C.; Muller-Karger, F.; Palandro, D.; Walter, C.; Zepp, R. Prediction of coral bleaching in the Florida Keys using remotely sensed data. Coral Reefs 2015, 34, 491–503. [Google Scholar] [CrossRef]
- Lee, Z.; Weidemann, A.; Kindle, J.; Arnone, R.; Carder, K.L.; Davis, C. Euphotic zone depth: Its derivation and implication to ocean-color remote sensing. J. Geophys. Res. 2007, 112, C03009. [Google Scholar] [CrossRef]
- Mobley, C. Light and Water: Radiative Transfer in Natural Waters; Elsevier: San Diego, CA, USA, 1994. [Google Scholar]
- Morel, A.; Huot, Y.; Gentili, B.; Werdell, P.J.; Hooker, S.B.; Franz, B.A. Examining the consistency of products derived from various ocean color sensors in open ocean (Case 1) waters in the perspective of a multi-sensor approach. Remote Sens. Environ. 2007, 111, 69–88. [Google Scholar] [CrossRef]
- Pan, X.; Zimmerman, R.C. Modeling the vertical distributions of downwelling plane irradiance and diffuse attenuation coefficient in optically deep waters. J. Geophys. Res. 2010, 115, C08016. [Google Scholar] [CrossRef]
- Son, S.; Wang, M. Diffuse attenuation coefficient of the photosynthetically available radiation Kd(PAR) for global open ocean and coastal waters. Remote Sens. Environ. 2015, 159, 250–258. [Google Scholar] [CrossRef]
- Wang, M.; Son, S.; Harding, L.W. Retrieval of diffuse attenuation coefficient in the Chesapeake Bay and turbid ocean regions for satellite ocean color applications. J. Geophys. Res. 2009, 114, C10011. [Google Scholar] [CrossRef]
- Gregg, W.W.; Carder, K.L. A simple spectral solar irradiance model for cloudless maritime atmospheres. Limnol. Oceanogr. 1990, 35, 1657–1675. [Google Scholar] [CrossRef]
- Lee, Z.; Hu, C.; Shang, S.; Du, K.; Lewis, M. Penetration of UV-visible solar radiation in the global oceans: Insights from ocean color remote sensing. J. Geophys. Res. 2013, 118, 4241–4255. [Google Scholar] [CrossRef]
- McClain, C.R. A decade of satellite ocean color observations. Ann. Rev. Mar. Sci. 2009, 1, 19–42. [Google Scholar] [CrossRef]
- Morel, A.; Berthon, J.-F. Surface pigments, algal biomass profiles, and potential production of the euphotic layer: Relationships reinvestigated in view of remote-sensing applications. Limnol. Oceanogr. 1989, 34, 1545–1562. [Google Scholar] [CrossRef]
- Mueller, J.L. SeaWiFS algorithm for the diffuse attenuation coefficient, K(490), using water-leaving radiances at 490 and 555 nm. In SeaWiFS Postlaunch Calibration and Validation Analyses; Hooker, S.B., Firestone, E.R., Eds.; NASA/TM-2000-206892; NASA Goddard Space Flight Center: Greenbelt, MD, USA, 2000; Volume 11. [Google Scholar]
- Signorini, S.R.; Hooker, S.B.; McClain, C.R. Bio-Optical and Geochemical Properties of the South Atlantic Subtropical Gyre; NASA/TM-2003-212253; NASA Goddard Space Flight Center: Greenbelt, MD, USA, 2000. [Google Scholar]
- Xing, X.; Boss, E. Chlorophyll-based model to estimate underwater photosynthetically available radiation for modeling, in-situ, and remote sensing applications. Geophys. Res. Lett. 2021, 48, e2020GL092189. [Google Scholar] [CrossRef]
- Gordon, H.R.; McCluney, W.R. Estimation of the depth of sunlight penetration in the sea for remote sensing. Appl. Optics 1975, 14, 413–416. [Google Scholar] [CrossRef]
- Levitus, S. Climatological Atlas of the World Ocean; NOAA Professional Paper 13; U.S. Department of Commerce: Rockville, MD, USA, 1982. [Google Scholar]
- Strickland, J.D.H.; Parsons, T.R. A Practical Handbook of Seawater Analysis, 2nd ed.; Bulletin 167; Fisheries Research Board of Canada: Ottawa, ON, Canada, 1972. [Google Scholar]
- Mueller, J.L.; Austin, R.W. Ocean optics protocols for SeaWiFS validation, revision 1. In SeaWiFS Technical Report Series; Hooker, S.B., Firestone, E.R., Acker, J.G., Eds.; NASA Technical Memorandum 104566; NASA Goddard Space Flight Center: Greenbelt, MD, USA, 1995; Volume 25. [Google Scholar]
- Werdell, P.J.; Fargion, G.S.; Mcclain, C.R.; Bailey, S.W. The seaWiFS bio-optical archive and storage system (SeaBASS): Current architecture and implementation. NASA Tech. 2002, 48, 1–45. [Google Scholar]
- Deser, C.; Alexander, M.A.; Xie, S.-P.; Phillips, A.S. Sea surface temperature variability: Patterns and mechanisms. Annu. Rev. Mar. Sci. 2010, 2, 115–143. [Google Scholar] [CrossRef]
- Karl, D.M. A sea of change: Biogeochemical variability in the North Pacific Subtropical Gyre. Ecosystems 1999, 2, 181–214. [Google Scholar] [CrossRef]
- Johnson, K.S.; Riser, S.C.; Karl, D.M. Nitrate supply from deep to near-surface waters of the North Pacific subtropical gyre. Nature 2010, 465, 1062–1065. [Google Scholar] [CrossRef] [PubMed]
- Hu, D.; Wu, L.; Cai, W.; Gupta, A.S.; Ganachaud, A.; Qiu, B.; Gordon, A.L.; Lin, X.; Chen, Z.; Hu, S.; et al. Pacific western boundary currents and their roles in climate. Nature 2015, 522, 299–308. [Google Scholar] [CrossRef]
- Mann, K.H.; Lazier, J.R.N. Dynamics of Marine Ecosystems: Biological-Physical Interactions in the Oceans, 2nd ed.; Blackwell Science: Malden, MA, USA, 1996. [Google Scholar]
- Tseng, Y.H.; Lin, H.; Chen, H.C.; Thompson, K.; Bentsen, M.; Böning, C.W.; Bozec, A.; Cassou, C.; Chassignet, E.; Chow, C.H.; et al. North and equatorial pacific ocean circulation in the CORE-II hindcast simulations. Ocean Model. 2016, 104, 143–170. [Google Scholar] [CrossRef]
- Boutin, J.; Vergely, J.-L.; Marchand, S.; D’Amico, F.; Hasson, A.; Kolodziejczyk, N.; Reul, N.; Reverdin, G.; Vialard, J. New SMOS sea surface salinity with reduced systematic errors and improved variability. Remote Sens. Environ. 2018, 214, 115–134. [Google Scholar] [CrossRef]
- Yasuda, I. Hydrographic structure and variability in the Kuroshio–Oyashio transition area. J. Oceanogr. 2003, 59, 389–402. [Google Scholar] [CrossRef]
- Church, M.J.; Lomas, M.W.; Muller-Karger, F. Sea change: Charting the course for biogeochemical ocean time-series research in a new millennium. Deep-Sea Res. II 2013, 93, 2–15. [Google Scholar] [CrossRef]
- Pan, X.; Wong, G.T.F.; Ho, T.-Y.; Tai, J.-H. Diel variability of vertical distributions of chlorophyll a at the SEATS and ALOHA stations: Implications on remote sensing interpretations. Int. J. Remote Sens. 2019, 40, 2916–2935. [Google Scholar] [CrossRef]
- Bailey, S.W.; Werdell, P.J. A multi-sensor approach for the on-orbit validation of ocean color satellite data products. Remote Sens. Environ. 2006, 102, 12–23. [Google Scholar] [CrossRef]










| Experiments * | Years | Areas | Optical Stations |
|---|---|---|---|
| Pac_2017 | 2017 | 143–149°E, 0–40°N | 25 |
| HOT | 2009–2019 | 158°W, 22.75°N | 63 |
| ACE-Asia | 2001 | 127°E–164°W, 30–39°N | 35 |
| CalCOFI | 1993–2004 | 125–117°W, 29.8–36.1°N | 395 |
| CCE_LTER | 2006–2008 | 124–120°W, 32–35°N | 57 |
| CLIVAR | 2006–2007 | 152–110°W, 0–54°N | 20 |
| JGOFS | 1988, 1992 | 150–140°W, 0–15°N | 27 |
| JGOFS_WOCE | 1991 | 154–151°W, 1–18°N | 9 |
| OCEAN_LIDAR | 1994–2001 | 135°E–157°W, 0–15°N | 130 |
| ZonalFlux | 1996 | 165°E–150°W, 0–2.2°N | 9 |
Disclaimer/Publisher’s Note: The statements, opinions and data contained in all publications are solely those of the individual author(s) and contributor(s) and not of MDPI and/or the editor(s). MDPI and/or the editor(s) disclaim responsibility for any injury to people or property resulting from any ideas, methods, instructions or products referred to in the content. |
© 2023 by the authors. Licensee MDPI, Basel, Switzerland. This article is an open access article distributed under the terms and conditions of the Creative Commons Attribution (CC BY) license (https://creativecommons.org/licenses/by/4.0/).
Share and Cite
Chen, L.; Zhang, J.; Pan, X.; Shi, P.; Zhang, X. Deriving the Vertical Variations in the Diffuse Attenuation Coefficient of Photosynthetically Available Radiation in the North Pacific Ocean from Remote Sensing. Remote Sens. 2023, 15, 3023. https://doi.org/10.3390/rs15123023
Chen L, Zhang J, Pan X, Shi P, Zhang X. Deriving the Vertical Variations in the Diffuse Attenuation Coefficient of Photosynthetically Available Radiation in the North Pacific Ocean from Remote Sensing. Remote Sensing. 2023; 15(12):3023. https://doi.org/10.3390/rs15123023
Chicago/Turabian StyleChen, Lei, Jie Zhang, Xiaoju Pan, Peng Shi, and Xiaobo Zhang. 2023. "Deriving the Vertical Variations in the Diffuse Attenuation Coefficient of Photosynthetically Available Radiation in the North Pacific Ocean from Remote Sensing" Remote Sensing 15, no. 12: 3023. https://doi.org/10.3390/rs15123023
APA StyleChen, L., Zhang, J., Pan, X., Shi, P., & Zhang, X. (2023). Deriving the Vertical Variations in the Diffuse Attenuation Coefficient of Photosynthetically Available Radiation in the North Pacific Ocean from Remote Sensing. Remote Sensing, 15(12), 3023. https://doi.org/10.3390/rs15123023

