Soil Salinity Inversion Model of Oasis in Arid Area Based on UAV Multispectral Remote Sensing
Abstract
:1. Introduction
2. Materials and Methods
2.1. Study Area
2.2. UAV Remote Sensing Data Acquisition
2.3. Salinity Index Construction
2.4. Model Construction and Accuracy Evaluation
3. Results and Discussion
3.1. Statistical Analysis of Soil Salinity
3.2. Correlation Analysis between Spectral Index and Soil Salt Content
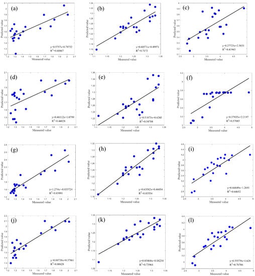
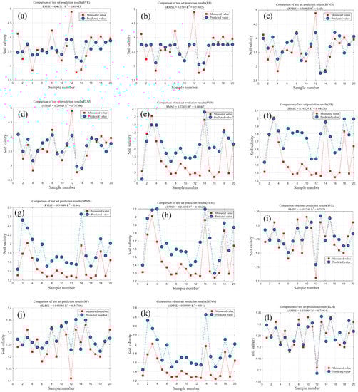
3.3. Optimal Soil Salt Content Machine Learning Model for Different Land Cover Types
4. Discussion
5. Conclusions
Author Contributions
Funding
Conflicts of Interest
References
- Ivushkin, K.; Bartholomeus, H.; Bregt, A.K.; Pulatov, A.; Kempen, B.; de Sousa, L. Global mapping of soil salinity change. Remote Sens. Environ. 2019, 231, 111260. [Google Scholar] [CrossRef]
- Allbed, A.; Kumar, L.; Aldakheel, Y.Y. Assessing soil salinity using soil salinity and vegetation indices derived from IKONOS high-spatial resolution imageries: Applications in a date palm dominated region. Geoderma 2014, 230–231, 1–8. [Google Scholar] [CrossRef]
- Metternicht, G.I.; Zinck, J.A. Remote sensing of soil salinity: Potentials and constraints. Remote. Sens. Environ. 2003, 85, 1–20. [Google Scholar] [CrossRef]
- Peng, J.; Biswas, A.; Jiang, Q.; Zhao, R.; Hu, J.; Hu, B.; Shi, Z. Estimating soil salinity from remote sensing and terrain data in southern Xinjiang Province, China. Geoderma 2019, 337, 1309–1319. [Google Scholar] [CrossRef]
- Wang, Z.; Zhang, X.; Zhang, F.; Chan, N.W.; Kung, H.-T.; Liu, S.; Deng, L. Estimation of soil salt content using machine learning techniques based on remote-sensing fractional derivatives, a case study in the Ebinur Lake Wetland National Nature Reserve, Northwest China. Ecol. Indic. 2020, 119, 106869. [Google Scholar] [CrossRef]
- Wang, S.; Chen, Y.; Wang, M.; Zhao, Y.; Li, J. SPA-Based Methods for the Quantitative Estimation of the Soil Salt Content in Saline-Alkali Land from Field Spectroscopy Data: A Case Study from the Yellow River Irrigation Regions. Remote Sens. 2019, 11, 967. [Google Scholar] [CrossRef] [Green Version]
- De Jong, E.; Ballantyne, A.K.; Cameron, D.R.; Read, D.W.L. Measurement of Apparent Electrical Conductivity of Soils by an Electromagnetic Induction Probe to Aid Salinity Surveys. Soil Sci. Soc. Am. J. 1979, 43, 810–812. [Google Scholar] [CrossRef]
- Csillag, F.; Pasztor, L.; Biehl, L. Spectral band selection for the characterization of salinity status of soils. Remote Sens. Environ. 1993, 43, 231–242. [Google Scholar] [CrossRef]
- Eldeiry, A.A.; Garcia, L.A. Detecting Soil Salinity in Alfalfa Fields using Spatial Modeling and Remote Sensing. Soil Sci. Soc. Am. J. 2008, 72, 201–211. [Google Scholar] [CrossRef]
- Kalra, N.K.; Joshi, D.C. Potentiality of Landsat, SPOT and IRS satellite imagery, for recognition of salt affected soils in Indian Arid Zone. Int. J. Remote Sens. 1996, 17, 3001–3014. [Google Scholar] [CrossRef]
- Ding, J.; Yu, D. Monitoring and evaluating spatial variability of soil salinity in dry and wet seasons in the Werigan–Kuqa Oasis, China, using remote sensing and electromagnetic induction instruments. Geoderma 2014, 235–236, 316–322. [Google Scholar] [CrossRef]
- Dehaan, R.; Taylor, G. Field-derived spectra of salinized soils and vegetation as indicators of irrigation-induced soil salinization. Remote Sens. Environ. 2002, 80, 406–417. [Google Scholar] [CrossRef]
- Ma, Y.; Chen, H.; Zhao, G.; Wang, Z.; Wang, D. Spectral Index Fusion for Salinized Soil Salinity Inversion Using Sentinel-2A and UAV Images in a Coastal Area. IEEE Access 2020, 8, 159595–159608. [Google Scholar] [CrossRef]
- Bannari, A.; El-Battay, A.; Bannari, R.; Rhinane, H. Sentinel-MSI VNIR and SWIR Bands Sensitivity Analysis for Soil Salinity Discrimination in an Arid Landscape. Remote Sens. 2018, 10, 855. [Google Scholar] [CrossRef] [Green Version]
- Dehni, A.; Lounis, M. Remote Sensing Techniques for Salt Affected Soil Mapping: Application to the Oran Region of Algeria. Procedia Eng. 2012, 33, 188–198. [Google Scholar] [CrossRef] [Green Version]
- Aldabaa, A.; Weindorf, D.C.; Chakraborty, S.; Sharma, A.; Li, B. Combination of proximal and remote sensing methods for rapid soil salinity quantification. Geoderma 2015, 239–240, 34–46. [Google Scholar] [CrossRef] [Green Version]
- Li, Y.; Wang, C.; Wright, A.; Liu, H.; Zhang, H.; Zong, Y. Combination of GF-2 high spatial resolution imagery and land surface factors for predicting soil salinity of muddy coasts. Catena 2021, 202, 105304. [Google Scholar] [CrossRef]
- Xu, Y.; Smith, S.E.; Grunwald, S.; Abd-Elrahman, A.; Wani, S.P.; Nair, V.D. Estimating soil total nitrogen in smallholder farm settings using remote sensing spectral indices and regression kriging. Catena 2018, 163, 111–122. [Google Scholar] [CrossRef] [Green Version]
- An, D.; Zhao, G.; Chang, C.; Wang, Z.; Li, P.; Zhang, T.; Jia, J. Hyperspectral field estimation and remote-sensing inversion of salt content in coastal saline soils of the Yellow River Delta. Int. J. Remote Sens. 2016, 37, 455–470. [Google Scholar] [CrossRef]
- Berni, J.A.J.; Zarco-Tejada, P.J.; Suarez, L.; Fereres, E. Thermal and Narrowband Multispectral Remote Sensing for Vegetation Monitoring From an Unmanned Aerial Vehicle. IEEE Trans. Geosci. Remote Sens. 2009, 47, 722–738. [Google Scholar] [CrossRef] [Green Version]
- Douaoui, A.E.K.; Nicolas, H.; Walter, C. Detecting salinity hazards within a semiarid context by means of combining soil and remote-sensing data. Geoderma 2006, 134, 217–230. [Google Scholar] [CrossRef]
- Radoglou-Grammatikis, P.; Sarigiannidis, P.; Lagkas, T.; Moscholios, I. A compilation of UAV applications for precision agriculture. Comput. Netw. 2020, 172, 107148. [Google Scholar] [CrossRef]
- Srivastava, K.; Bhutoria, A.J.; Sharma, J.K.; Sinha, A.; Pandey, P.C. UAVs technology for the development of GUI based application for precision agriculture and environmental research. Remote Sens. Appl. Soc. Environ. 2019, 16, 100258. [Google Scholar] [CrossRef]
- Bhardwaj, A.; Sam, L.; Akanksha; Martín-Torres, F.J.; Kumar, R. UAVs as remote sensing platform in glaciology: Present applications and future prospects. Remote Sens. Environ. 2016, 175, 196–204. [Google Scholar] [CrossRef]
- Nevalainen, O.; Honkavaara, E.; Tuominen, S.; Viljanen, N.; Hakala, T.; Yu, X.; Hyyppä, J.; Saari, H.; Pölönen, I.; Imai, N.N.; et al. Individual Tree Detection and Classification with UAV-Based Photogrammetric Point Clouds and Hyperspectral Imaging. Remote Sens. 2017, 9, 185. [Google Scholar] [CrossRef] [Green Version]
- Lindner, C.; Bromiley, P.; Ionita, M.C.; Cootes, T. Robust and Accurate Shape Model Matching Using Random Forest Regression-Voting. IEEE Trans. Pattern Anal. Mach. Intell. 2015, 37, 1862–1874. [Google Scholar] [CrossRef]
- Fan, X.; Liu, Y.; Tao, J.; Weng, Y. Soil Salinity Retrieval from Advanced Multi-Spectral Sensor with Partial Least Square Regression. Remote Sens. 2015, 7, 488–511. [Google Scholar] [CrossRef] [Green Version]
- Romero-Trigueros, C.; Nortes, P.A.; Alarcón, J.J.; Hunink, J.E.; Parra, M.; Contreras, S.; Droogers, P.; Nicolás, E. Effects of saline reclaimed waters and deficit irrigation on Citrus physiology assessed by UAV remote sensing. Agric. Water Manag. 2017, 183, 60–69. [Google Scholar] [CrossRef] [Green Version]
- Kaplan, G.; Avdan, U. Evaluating the utilization of the red edge and radar bands from sentinel sensors for wetland classification. Catena 2019, 178, 109–119. [Google Scholar] [CrossRef]
- Zheng, Q.; Huang, W.; Cui, X.; Shi, Y.; Liu, L. New Spectral Index for Detecting Wheat Yellow Rust Using Sentinel-2 Multispectral Imagery. Sensors 2018, 18, 868. [Google Scholar] [CrossRef] [Green Version]
- Zhang, H.; Li, Q.; Liu, J.; Shang, J.; Du, X.; McNairn, H.; Champagne, C.; Dong, T.; Liu, M. Image Classification Using RapidEye Data: Integration of Spectral and Textual Features in a Random Forest Classifier. IEEE J. Sel. Top. Appl. Earth Obs. Remote Sens. 2017, 10, 5334–5349. [Google Scholar] [CrossRef]
- Wang, J.; Ding, J.; Yu, D.; Ma, X.; Zhang, Z.; Ge, X.; Teng, D.; Li, X.; Liang, J.; Lizaga, I.; et al. Capability of Sentinel-2 MSI data for monitoring and mapping of soil salinity in dry and wet seasons in the Ebinur Lake region, Xinjiang, China. Geoderma 2019, 353, 172–187. [Google Scholar] [CrossRef]
- Tian, F.; Fensholt, R.; Verbesselt, J.; Grogan, K.; Horion, S.; Wang, Y.J. Evaluating temporal consistency of long-term global NDVI datasets for trend analysis. Remote Sens. Environ. 2015, 163, 326–340. [Google Scholar] [CrossRef]
- Forkel, M.; Carvalhais, N.; Verbesselt, J.; Mahecha, M.D.; Neigh, C.S.R.; Reichstein, M. Trend Change Detection in NDVI Time Series: Effects of Inter-Annual Variability and Methodology. Remote Sens. 2013, 5, 2113–2144. [Google Scholar] [CrossRef] [Green Version]
- Vaudour, E.; Gomez, C.; Lagacherie, P.; Loiseau, T.; Baghdadi, N.; Urbina-Salazar, D.; Loubet, B.; Arrouays, D. Temporal mosaicking approaches of Sentinel-2 images for extending topsoil organic carbon content mapping in croplands. Int. J. Appl. Earth Obs. Geoinf. 2021, 96, 102277. [Google Scholar] [CrossRef]
- Khan, N.M.; Rastoskuev, V.V.; Sato, Y.; Shiozawa, S. Assessment of hydrosaline land degradation by using a simple approach of remote sensing indicators. Agric. Water Manag. 2005, 77, 96–109. [Google Scholar] [CrossRef]
- Zhang, S.; Zhao, G.; Lang, K.; Su, B.; Chen, X.; Xi, X.; Zhang, H. Integrated Satellite, Unmanned Aerial Vehicle (UAV) and Ground Inversion of the SPAD of Winter Wheat in the Reviving Stage. Sensors 2019, 19, 1485. [Google Scholar] [CrossRef] [Green Version]
- Abbas, A.; Khan, S. Using Remote Sensing Techniques for Appraisal of Irrigated Soil Salinity. In Proceedings of the International Congress on Modelling and Simulation. (MODSIM 2007), Land, Water & Environmental Management: Integrated Systems for Sustainability, Christchurch, New Zealand, 10–13 December 2007; Modelling and Simulation Society of Australia and New Zealand: Canberra, Australia, 2007. [Google Scholar]
- Liu, H.Q.; Huete, A. A feedback based modification of the NDVI to minimize canopy background and atmospheric noise. IEEE Trans. Geosci. Remote Sens. 1995, 33, 457–465. [Google Scholar] [CrossRef]
- Birth, G.S.; McVey, G.R. Measuring the Color of Growing Turf with a Reflectance Spectrophotometer 1. Agron. J. 1968, 60, 640–643. [Google Scholar] [CrossRef]
- Nawar, S.; Buddenbaum, H.; Hill, J.; Kozak, J.; Mouazen, A.M. Estimating the soil clay content and organic matter by means of different calibration methods of vis-NIR diffuse reflectance spectroscopy. Soil Tillage Res. 2016, 155, 510–522. [Google Scholar] [CrossRef] [Green Version]
- Gomes, L.C.; Faria, R.M.; de Souza, E.; Veloso, G.V.; Schaefer, C.E.G.; Filho, E.I.F. Modelling and mapping soil organic carbon stocks in Brazil. Geoderma 2019, 340, 337–350. [Google Scholar] [CrossRef]
- Wei, G.; Li, Y.; Zhang, Z.; Chen, Y.; Chen, J.; Yao, Z.; Lao, C.; Chen, H. Estimation of soil salt content by combining UAV-borne multispectral sensor and machine learning algorithms. PeerJ 2020, 8, e9087. [Google Scholar] [CrossRef] [PubMed]
- Lu, B.; He, Y.; Dao, P.D. Comparing the Performance of Multispectral and Hyperspectral Images for Estimating Vegetation Properties. IEEE J. Sel. Top. Appl. Earth Obs. Remote Sens. 2019, 12, 1784–1797. [Google Scholar] [CrossRef]
- Hu, J.; Peng, J.; Zhou, Y.; Xu, D.; Zhao, R.; Jiang, Q.; Fu, T.; Wang, F.; Shi, Z. Quantitative Estimation of Soil Salinity Using UAV-Borne Hyperspectral and Satellite Multispectral Images. Remote Sens. 2019, 11, 736. [Google Scholar] [CrossRef] [Green Version]
- Allbed, A.; Kumar, L.; Sinha, P. Soil salinity and vegetation cover change detection from multi-temporal remotely sensed imagery in Al Hassa Oasis in Saudi Arabia. Geocarto Int. 2018, 33, 830–846. [Google Scholar] [CrossRef]




| Parameter | Size |
|---|---|
| Take-off weight/g | 1487 |
| PTZ rotation range/° | −90°~+30° |
| Image Resolution | 1600 × 1300 |
| Band and bandwidth/nm | B 450 nm ± 16 nm |
| G 560 nm ± 16 nm | |
| R 650 nm ± 16 nm | |
| RedEdge 73 0 nm ± 16 nm | |
| NIR 840 nm ± 26 nm |
| Spectral Index | Calculation Formula | Reference |
|---|---|---|
| Normalized Difference Soil Index (NDSI) | NDSI = (R − NIR)/(R + NIR) | Khan [36] |
| Normalized Difference Soil Index –reg (NDSI-reg) | NDSI-reg = (RedEdge − NIR)/(RedEdge + NIR) | Zhang [37] |
| Salinity index (S1) | S1 = B/R | Abbas [38] Allbed [2] |
| Salinity index (S2) | S2 = (B − R)/(B + R) | |
| Salinity index (S3) | R)/B | |
| Salinity index (S4) | ||
| Salinity index (S5) | /G | |
| Salinity index (S6) | NIR)/G | |
| Brightness index (BI) | Khan [36] | |
| Salinity index1 (SI1) | Douaoui [21] | |
| Salinity index1-reg (SI1-reg) | Zhang [37] | |
| Salinity index2 (SI2) | Douaoui [21] | |
| Salinity index2-reg (SI2-reg) | Zhang [37] | |
| Salinity index3 (SI3) | Douaoui [21] | |
| Salinity index3-reg (SI3-reg) | Zhang [37] | |
| Soil Index-T (SI-T) | SI-T = 100(R − NIR) |
| Spectral Index | Calculation Formula | Reference |
|---|---|---|
| Normalized Difference Vegetation Index (NDVI) | NDVI = (NIR − R)/(NIR + R) | Khan [36] |
| Normalized Difference Vegetation Index-reg (NDVI-reg) | NVSI-reg = (NIR − RedEdge)/(NIR + RedEdge) | |
| Difference Vegetation Index (DVI) | DVI = NIR − R | Zhang [37] Liu [39] Zhang [37] Zhang [37] Allbed [2] |
| Difference Vegetation Index-reg (DVI-reg) | DVI-reg = NIR − RedEdge | |
| Enhanced Vegetation Index (EVI) | EVI = 2.5(NIR − R)/(NIR + 6R − 7.5B + 1) | |
| Enhanced Vegetation Index-reg (EVI-reg) | EVI-reg = 2.5(NIR − RedEdge)/(NIR + 6 RedEdge − 7.5B + 1) | |
| Triangle Vegetation Index (TVI) | TVI = 0.5[120(NIR − G) − 200(R − G)] | |
| Soil Regulation Vegetation Index (SRVI) | SRVI = (1 + L)(NIR − R)/(NIR + R + L) | |
| Normalized Difference Greenness Index (NDGI) | NDGI = (G − R)/(G + R) | Khan [36] |
| Normalized Difference Soil Index (NDSI) | NDSI = (R − NIR)/(R + NIR) | |
| Normalized Difference Soil Index-reg (NDSI-reg) | NDSI-reg = (RedEdge − NIR)/(RedEdge + NIR) | Zhang [37] |
| Simple Ratio Index (SR) | SR = NIR/R | Birth [40] |
| Chlorophyll Vegetation Index (CVI) | CVI = (NIR/G)(R/G) | Zhang [37] |
| Modified Chlorophyll Absorption Ratio Index (MCARI) | MCARI = [RedEdge − R − 0.2(RedEdge − G)] × RedEdge/R | |
| Optimized Soil-Adjusted Vegetation Index (OSAVI) | OSAVI = (1 + L)(NIR − R)/(NIR + R + L) | |
| Red Edge Chlorophyll Index (CI-reg) | CI-reg = RedEdge/R − 1 |
| Sample | Number of Samples | Salt Content(ds/m) | |||||||||
|---|---|---|---|---|---|---|---|---|---|---|---|
| Non-Saline Soil | Light Saline Soil | Moderately Saline Soil | Heavy Saline Soil | Saline Soil | Maximum | Minimum | Average | Standard Deviation | |||
| Bare land | Total sample | 60 | 3 | 9 | 10 | 12 | 26 | 4.89 | 1.30 | 3.51 | 0.536 |
| Training set | 40 | 2 | 5 | 7 | 14 | 17 | 4.89 | 1.30 | 3.62 | 0.541 | |
| Test set | 20 | 1 | 4 | 3 | 8 | 9 | 4.63 | 2.57 | 3.45 | 0.520 | |
| Alfalfa-covered land | Total sample | 60 | 11 | 15 | 13 | 12 | 9 | 2.68 | 1.22 | 1.59 | 0.322 |
| Training set | 40 | 7 | 11 | 8 | 9 | 6 | 2.68 | 1.36 | 1.65 | 0.339 | |
| Test set | 20 | 4 | 4 | 5 | 3 | 3 | 2.01 | 1.22 | 1.47 | 0.252 | |
| wheat-covered land | Total sample | 60 | 16 | 23 | 11 | 6 | 4 | 2.76 | 1.11 | 1.34 | 0.282 |
| Training set | 40 | 11 | 16 | 8 | 4 | 3 | 2.76 | 1.17 | 1.39 | 0.289 | |
| Test set | 20 | 5 | 7 | 3 | 2 | 1 | 1.33 | 1.11 | 1.29 | 0.258 | |
| Salinity Index | Correlation Coefficient | Salinity Index | Correlation Coefficient |
|---|---|---|---|
| Bare Land | Bare Land | ||
| NDSI | 0.522 ** | BI | 0.697 ** |
| NDSI-reg | 0.343 ** | SI1 | 0.627 ** |
| S1 | 0.557 ** | SI1-reg | 0.611 ** |
| S2 | 0.558 ** | SI2 | 0.649 ** |
| S3 | 0.693 ** | SI2-reg | 0.605 ** |
| S4 | 0.735 ** | SI3 | 0.626 ** |
| S5 | 0.732 ** | SI3-reg | 0.615 ** |
| S6 | 0.573 ** | SI-T | 0.397 ** |
| Vegetation Index | Correlation Coefficient | Vegetation Index | Correlation Coefficient | ||
|---|---|---|---|---|---|
| Alfalfa-Covered Land | Wheat-Covered Land | Alfalfa-Covered Land | Wheat-Covered Land | ||
| NDVI | −0.751 ** | −0.796 ** | NDGI | −0.669 ** | −0.314 * |
| NDVI-reg | −0.588 ** | −0.132 | NDSI | 0.741 ** | 0.671 ** |
| DVI | −0.508 ** | 0.438 ** | NDSI-reg | 0.585 ** | 0.132 |
| DVI-reg | −0.290 * | 0.405 ** | SR | −0.648 ** | −0.692 ** |
| EVI | −0.066 | −0.059 | CVI | −0.535 ** | 0.039 |
| EVI-reg | 0.185 | −0.246 | MCARI | −0.609 ** | 0.354 ** |
| TVI | −0.497 ** | 0.450 ** | OSAVI | −0.722 ** | −0.136 |
| SRVI | −0.753 ** | −0.601 ** | CI-reg | −0.670 ** | −0.069 |
| Model | Data | Training Set | Testing Set | RPD | ||
|---|---|---|---|---|---|---|
| Rc2 | RMSEc | Rv2 | RMSEv | |||
| SVR | Bare land | 0.658 | 0.110 | 0.419 | 0.403 | 1.430 |
| Alfalfa-covered land | 0.804 | 0.150 | 0.601 | 0.227 | 1.422 | |
| Wheat-covered land | 0.831 | 0.037 | 0.717 | 0.032 | 2.600 | |
| RF | Bare land | 0.560 | 0.374 | 0.571 | 0.357 | 1.502 |
| Alfalfa-covered land | 0.768 | 0.163 | 0.440 | 0.343 | 1.439 | |
| Wheat-covered land | 0.841 | 0.039 | 0.547 | 0.044 | 1.870 | |
| BPNN | Bare land | 0.449 | 0.323 | 0.647 | 0.309 | 1.734 |
| Alfalfa-covered land | 0.790 | 0.260 | 0.840 | 0.399 | 1.809 | |
| Wheat-covered land | 0.857 | 0.034 | 0.836 | 0.027 | 2.100 | |
| ELM | Bare land Bare land | 0.461 | 0.342 | 0.707 | 0.290 | 1.852 |
| Alfalfa-covered land | 0.756 | 0.165 | 0.806 | 0.240 | 1.431 | |
| Wheat-covered land | 0.863 | 0.038 | 0.739 | 0.033 | 2.508 | |
Publisher’s Note: MDPI stays neutral with regard to jurisdictional claims in published maps and institutional affiliations. |
© 2022 by the authors. Licensee MDPI, Basel, Switzerland. This article is an open access article distributed under the terms and conditions of the Creative Commons Attribution (CC BY) license (https://creativecommons.org/licenses/by/4.0/).
Share and Cite
Zhao, W.; Zhou, C.; Zhou, C.; Ma, H.; Wang, Z. Soil Salinity Inversion Model of Oasis in Arid Area Based on UAV Multispectral Remote Sensing. Remote Sens. 2022, 14, 1804. https://doi.org/10.3390/rs14081804
Zhao W, Zhou C, Zhou C, Ma H, Wang Z. Soil Salinity Inversion Model of Oasis in Arid Area Based on UAV Multispectral Remote Sensing. Remote Sensing. 2022; 14(8):1804. https://doi.org/10.3390/rs14081804
Chicago/Turabian StyleZhao, Wenju, Chun Zhou, Changquan Zhou, Hong Ma, and Zhijun Wang. 2022. "Soil Salinity Inversion Model of Oasis in Arid Area Based on UAV Multispectral Remote Sensing" Remote Sensing 14, no. 8: 1804. https://doi.org/10.3390/rs14081804
APA StyleZhao, W., Zhou, C., Zhou, C., Ma, H., & Wang, Z. (2022). Soil Salinity Inversion Model of Oasis in Arid Area Based on UAV Multispectral Remote Sensing. Remote Sensing, 14(8), 1804. https://doi.org/10.3390/rs14081804
