Distortionless 1/2 Overlap Windowing in Frequency Domain Anti-Jamming of Satellite Navigation Receivers
Abstract
:1. Introduction
2. Mathematical Model
2.1. Frequency Domain Anti-Jamming Model
2.2. 1/2 Overlapping Windowing Model
3. Influence of 1/2 Overlapping Windowing
4. Distortionless Window Function
4.1. Design of a Distortionless Delay Window Function
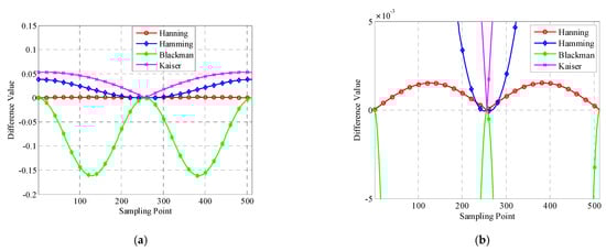
4.2. Design of a Distortionless Window Function
4.3. Simulation Experiment
5. Navigation Anti-Jamming Experimental Verification
5.1. Simulation Erperiment
5.1.1. Simulation Platform
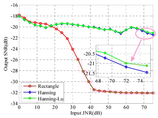
5.1.2. Simulation Verification
5.2. Exiperiment Verification
5.2.1. Data Collection Platform
5.2.2. Measured Data Verification
6. Conclusions
Author Contributions
Funding
Acknowledgments
Conflicts of Interest
References
- Wei, X.; Aman, M.N.; Sikdar, B. Exploiting Correlation Among GPS Signals to Detect GPS Spoofing in Power Grids. IEEE Trans. Ind. Appl. 2022, 58, 697. [Google Scholar] [CrossRef]
- Liu, X.; Liu, X.; Yang, Y.; Guo, Y.; Zhang, W. Variational Bayesian-Based Robust Cubature Kalman Filter with Application on SINS/GPS Integrated Navigation System. IEEE Sens. J. 2022, 22, 489. [Google Scholar] [CrossRef]
- Collett, I.; Wang, Y.; Shah, R.; Morton, Y.J. Phase Coherence of GPS Signal Land Reflections and its Dependence on Surface Characteristics. IEEE Geosci. Remote Sens. Lett. 2022, 19, 1–5. [Google Scholar] [CrossRef]
- Lu, Z.; Chen, F.; Xie, Y.; Sun, Y.; Cai, H. High Precision Pseudo-Range Measurement in GNSS Anti-jamming Antenna Array Processing. Electronics 2020, 9, 412. [Google Scholar] [CrossRef] [Green Version]
- Porretta, M.; Schlarmann, B.K.; Ballereau, A.; Crisci, M. A Novel Uplink Scheduling Algorithm for the Galileo System. IEEE Trans. Aerosp. Electron. Syst. 2018, 54, 819. [Google Scholar] [CrossRef]
- Tabibi, S.; Geremia-Nievinski, F.; Dam, T. Statistical Comparison and Combination of GPS, GLONASS, and Multi-GNSS Multipath Reflectometry Applied to Snow Depth Retrieval. IEEE Trans. Geosci. Remote Sens. 2017, 55, 3773. [Google Scholar] [CrossRef]
- Steiner, L.; Meindl, M.; Marty, C.; Geiger, A. Impact of GPS Processing on the Estimation of Snow Water Equivalent Using Refracted GPS Signals. IEEE Trans. Geosci. Remote Sens. 2020, 58, 123. [Google Scholar] [CrossRef]
- Seo, J.; Walter, T. Future Dual-Frequency GPS Navigation System for Intelligent Air Transportation Under Strong Ionospheric Scintillation. IEEE Trans. Intell. Transp. Syst. 2014, 15, 2224. [Google Scholar] [CrossRef]
- Li, J.; Pei, X.; Wang, X.; Yao, D.; Zhang, Y.; Yue, Y. Transportation mode identification with GPS trajectory data and GIS information. Tsinghua Sci. Technol. 2021, 26, 403. [Google Scholar] [CrossRef]
- Hoseinitabatabaei, S.A.; Gluhak, A.; Tafazolli, R. uDirect: A novel approach for pervasive observation of user direction with mobile phones. In Proceedings of the 2011 IEEE International Conference on Pervasive Computing and Communications (PerCom), Seattle, WA, USA, 21–25 March 2011; pp. 74–83. [Google Scholar] [CrossRef] [Green Version]
- Lu, Z.; Nie, J.; Wan, Y.; Ou, G. Optimal reference element for interference suppression in GNSS antenna arrays under channel mismatch. IET Radar Sonar Navig. 2017, 11, 1161–1169. [Google Scholar] [CrossRef]
- Guo, Y.; Wu, M.; Tang, K.; Tie, J.; Li, X. Covert Spoofing Algorithm of UAV Based on GPS/INS-Integrated Navigation. IEEE Trans. Veh. Technol. 2019, 68, 6557. [Google Scholar] [CrossRef]
- Zhang, J.; Yuan, H. Analysis of unmanned aerial vehicle navigation and height control system based on GPS. J. Syst. Eng. Electron. 2010, 21, 643. [Google Scholar] [CrossRef]
- Rezazadeh, N.; Shafai, L. A Compact Microstrip Patch Antenna for Civilian GPS Interference Mitigation. IEEE Antennas Wirel. Propag. Lett. 2018, 17, 381. [Google Scholar] [CrossRef]
- Lu, Z.; Nie, J.; Chen, F.; Chen, H.; Ou, G. Adaptive Time Taps of STAP Under Channel Mismatch for GNSS Antenna Arrays. IEEE Trans. Instrum. Meas. 2017, 66, 2813–2824. [Google Scholar] [CrossRef]
- Hwang, S.S.; Shynk, J.J. Blind GPS receiver with a modified despreader for interference suppression. IEEE Trans. Aerosp. Electron. Syst. 2006, 42, 503. [Google Scholar] [CrossRef]
- Li, X.; Guo, W. Efficient Differential Coherent Accumulation Algorithm for Weak GPS Signal Bit Synchronization. IEEE Commun. Lett. 2013, 17, 936. [Google Scholar] [CrossRef]
- Morton, Y.T.; Miller, M.; Tsui, J.; Lin, D.; Zhou, Q. GPS Civil Signal Self-Interference Mitigation During Weak Signal Acquisition. IEEE Trans. Signal Process. 2007, 55, 5859. [Google Scholar] [CrossRef] [Green Version]
- Fallahi, K.; Cheng, C.; Fattouche, M. Robust Positioning Systems in the Presence of Outliers Under Weak GPS Signal Conditions. IEEE Syst. J. 2012, 6, 401. [Google Scholar] [CrossRef]
- Rignot, E.J.M. Effect of Faraday rotation on L-band interferometric and polarimetric synthetic-aperture radar data. IEEE Trans. Geosci. Remote Sens. 2000, 38, 383. [Google Scholar] [CrossRef] [Green Version]
- Meyer, F.J.; Chotoo, K.; Chotoo, S.D.; Huxtable, B.D.; Carrano, C.S. The Influence of Equatorial Scintillation on L-Band SAR Image Quality and Phase. IEEE Trans. Geosci. Remote Sens. 2016, 54, 869. [Google Scholar] [CrossRef]
- Vermunt, P.C. Response of Subdaily L-Band Backscatter to Internal and Surface Canopy Water Dynamics. IEEE Trans. Geosci. Remote Sens. 2021, 59, 7322. [Google Scholar] [CrossRef]
- Rao, K.D.; Swamy, M.N.S. New approach for suppression of FM jamming in GPS receivers. IEEE Trans. Aerosp. Electron. Syst. 2006, 42, 1464. [Google Scholar] [CrossRef]
- Abosekeen, A.; Iqbal, U.; Noureldin, A.; Korenberg, M.J. A Novel Multi-Level Integrated Navigation System for Challenging GNSS Environments. IEEE Trans. Intell. Transp. Syst. 2021, 22, 4838. [Google Scholar] [CrossRef]
- Lu, Z.; Chen, H.; Chen, F.; Nie, J.; Ou, G. Blind Adaptive Channel Mismatch Equalization Method for GNSS Antenna Arrays. IET Radar Sonar Navig. 2018, 12, 383–389. [Google Scholar] [CrossRef]
- Chien, Y. Design of GPS Anti-Jamming Systems Using Adaptive Notch Filters. IEEE Syst. J. 2015, 9, 451. [Google Scholar] [CrossRef]
- Hao, C.; Liu, Y.; Wang, X.; Sun, X. A Modified Anti-Jamming Method Using Dual-Polarized Ellipsoid Minimum Variance Distortionless Response to Predict the Coverage Ratio of Global Positioning System Signal. IEEE Sens. J. 2021, 21, 26839. [Google Scholar] [CrossRef]
- Song, J.; Lu, Z.; Xiao, Z.; Li, B.; Sun, G. Optimal Order of Time-Domain Adaptive Filter for Anti-Jamming Navigation Receiver. Remote Sens. 2022, 14, 48. [Google Scholar] [CrossRef]
- Li, D.; Liu, J.; Zhao, J.; Wu, G.; Zhao, X. An improved space-time joint anti-jamming algorithm based on variable step LMS. Tsinghua Sci. Technol. 2017, 22, 520. [Google Scholar] [CrossRef]
- Huang, L.; Lu, Z.; Xiao, Z.; Ren, C.; Song, J.; Li, B. Suppression of Jammer Multipath in GNSS Antenna Array Receiver. Remote Sens. 2022, 14, 350. [Google Scholar] [CrossRef]
- Meng, D.; Feng, Z.; Lu, M. Anti-jamming with adaptive arrays utilizing power inversion algorithm. Tsinghua Sci. Technol. 2008, 13, 796. [Google Scholar] [CrossRef]
- Zhou, Z.; Wei, Y. The Influence of Automatic Gain Control on Narrowband Frequency Domain GPS Anti-Jamming Receiver. In Proceedings of the 2021 IEEE 21st International Conference on Communication Technology (ICCT), Tianjin, China, 13–16 October 2021; pp. 497–501. [Google Scholar] [CrossRef]
- Wang, L.; Zhao, H.; Xiong, G.; Zhang, S. AM-FM interference suppression for GPS receivers based on time-frequency analysis and synthesis. In Proceedings of the 2005 IEEE International Symposium on Microwave, Antenna, Propagation and EMC Technologies for Wireless Communications, Beijing, China, 8–12 August 2005; pp. 1378–1381. [Google Scholar] [CrossRef]
- Lv, W.; Shen, C.; Gui, F.; Tian, Z.; Jiang, D. Real-Time Spectrum Analyzer Based on All Phase FFT Spectrum Analysis. In Proceedings of the 2013 Fourth International Conference on Digital Manufacturing & Automation, Shinan, China, 29–30 June 2013; pp. 966–969. [Google Scholar]
- Kim, H.; Jung, I.; Park, Y.; Chung, W.; Choi, S.; Hong, D. Time Spread-Windowed OFDM for Spectral Efficiency Improvement. IEEE Wirel. Commun. Lett. 2018, 7, 696–699. [Google Scholar] [CrossRef]
- Chen, K.; Tan, G.; Cao, J.; Lu, M.; Fan, X. Modeling and Improving the Energy Performance of GPS Receivers for Location Services. IEEE Sens. J. 2020, 20, 4512–4523. [Google Scholar] [CrossRef]
- Lu, Z.; Nie, J.; Chen, F.; Ou, G. Impact on Anti-jamming Performance of Channel Mismatch in GNSS Antenna Arrays Receivers. Int. J. Antennas Propag. 2016, 2016, 1909708. [Google Scholar] [CrossRef]
- Liu, Y.; Hu, H. The Research on GPS Frequency Domain Anti-Jamming Algorithms. In Proceedings of the 2009 5th International Conference on Wireless Communications, Networking and Mobile Computing, Beijing, China, 24–26 September 2009; pp. 1–3. [Google Scholar]
- Baggenstoss, P.M. On the Equivalence of Hanning-Weighted and Overlapped Analysis Windows Using Different Window Sizes. IEEE Signal Process. Lett. 2012, 19, 27–30. [Google Scholar] [CrossRef]
- Grbić, N.; Knežević, K.; Drajić, D. Analysis of Different Window Function Effects on Doppler Processing in HFSWR Signal Processing. In Proceedings of the 2019 14th International Conference on Advanced Technologies, Systems and Services in Telecommunications (TELSIKS), Nis, Serbia, 23–25 October 2019; pp. 257–260. [Google Scholar]
- Jian, L. Strong Interference Supression for Satellite Navigation Receiver with Single Antenna. Ph.D. Thesis, National University and Defence Technology, Changsha, China, 2017. [Google Scholar]
- Uyanık, H.; Köseoğlu, M. Performance Evaluation of Different Window Functions for Audio Fingerprint Based Audio Search Algorithm. In Proceedings of the 2020 4th International Symposium on Multidisciplinary Studies and Innovative Technologies (ISMSIT), Istanbul, Turkey, 22–24 October 2020; pp. 1–4. [Google Scholar]
- Junwei, N. Study on GNSS Antenna Arrays Anti-jamming Algorithm and Performance Evaluation Key Techniques. Ph.D. Thesis, National University and Defence Technology, Changsha, China, 2012. [Google Scholar]
- Jian, D.; Wenwen, Q.; Meng, W. Fast Multi-Objective Optimization of Multi-Parameter Antenna Structures Based on Improved BPNN Surrogate Model. IEEE Access. 2019, 7, 77692–77701. [Google Scholar]
- Jian, D.; Qianqian, L.; Lianwen, D. Design of Fragment-Type Antenna Structure Using an Improved BPSO. IEEE Trans. Antennas Propag. 2018, 66, 562–571. [Google Scholar]





















Publisher’s Note: MDPI stays neutral with regard to jurisdictional claims in published maps and institutional affiliations. |
© 2022 by the authors. Licensee MDPI, Basel, Switzerland. This article is an open access article distributed under the terms and conditions of the Creative Commons Attribution (CC BY) license (https://creativecommons.org/licenses/by/4.0/).
Share and Cite
Lu, Z.; Song, J.; Huang, L.; Ren, C.; Xiao, Z.; Li, B. Distortionless 1/2 Overlap Windowing in Frequency Domain Anti-Jamming of Satellite Navigation Receivers. Remote Sens. 2022, 14, 1801. https://doi.org/10.3390/rs14081801
Lu Z, Song J, Huang L, Ren C, Xiao Z, Li B. Distortionless 1/2 Overlap Windowing in Frequency Domain Anti-Jamming of Satellite Navigation Receivers. Remote Sensing. 2022; 14(8):1801. https://doi.org/10.3390/rs14081801
Chicago/Turabian StyleLu, Zukun, Jie Song, Long Huang, Chao Ren, Zhibin Xiao, and Baiyu Li. 2022. "Distortionless 1/2 Overlap Windowing in Frequency Domain Anti-Jamming of Satellite Navigation Receivers" Remote Sensing 14, no. 8: 1801. https://doi.org/10.3390/rs14081801
APA StyleLu, Z., Song, J., Huang, L., Ren, C., Xiao, Z., & Li, B. (2022). Distortionless 1/2 Overlap Windowing in Frequency Domain Anti-Jamming of Satellite Navigation Receivers. Remote Sensing, 14(8), 1801. https://doi.org/10.3390/rs14081801

