Cloud Type and Life Stage Dependency of Liquid–Ice Mass Partitioning in Mixed-Phase Clouds
Abstract
1. Introduction
2. Datasets and Analysis Method
2.1. Ground-Based Remote Sensing and Aircraft Measurements at NSA Site
2.2. Aircraft In Situ Measurements for ICE-L, ICE-T, and MC3E
3. Results
3.1. Characteristics of the Observed Clouds
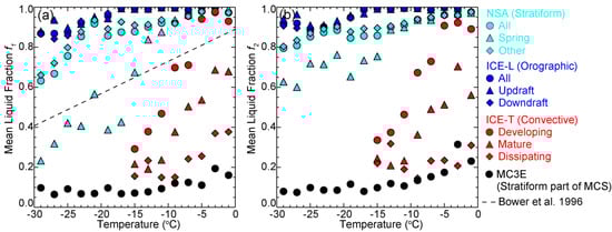
3.2. Temperature, Aerosol, Cloud Type, and Life Stage Dependencies of Liquid–Ice Mass Partitions
3.3. Variability of the Liquid Fractions
4. Discussion
5. Conclusions
Author Contributions
Funding
Data Availability Statement
Acknowledgments
Conflicts of Interest
References
- Stocker, T.F.; Qin, D.; Plattner, G.K.; Tignor, M.M.; Allen, S.K.; Boschung, J.; Nauels, A.; Xia, Y.; Bex, V.; Midgley, P.M. Climate Change 2013: The Physical Science Basis. Contribution of Working Group I to the Fifth Assessment Report of the Intergovernmental Panel on Climate Change; Cambridge University Press: Cambridge, UK.; New York, NY, USA, 2013; p. 1535. [Google Scholar] [CrossRef]
- de Boer, G.; Chapman, W.; Kay, J.E.; Medeiros, B.; Shupe, M.D.; Vavrus, S.; Walsh, J. A characterization of the present-day Arctic atmosphere in CCSM4. J. Clim. 2012, 25, 2676–2695. [Google Scholar] [CrossRef]
- Khain, A.P.; Beheng, K.D.; Heymsfield, A.; Korolev, A.; Krichak, S.O.; Levin, Z.; Pinsky, M.; Phillips, V.; Prabhakaran, T.; Teller, A.; et al. Representation of microphysical processes in cloud-resolving models: Spectral (bin) microphysics versus bulk parameterization. Rev. Geophys. 2015, 53, 247–322. [Google Scholar] [CrossRef]
- Zhao, M.; Wang, Z. Comparison of Arctic clouds between European Center for Medium-Range Weather Forecasts simulations and Atmospheric Radiation Measurement Climate Research Facility long-term observations at the North Slope of Alaska Barrow site. J. Geophys. Res. 2010, 115, D23202. [Google Scholar] [CrossRef]
- DeMott, P.J.; Prenni, A.J.; Liu, X.; Kreidenweis, S.M.; Petters, M.D.; Twohy, C.H.; Richardson, M.S.; Eidhammer, T.; Rogers, D. Predicting global atmospheric ice nuclei distributions and their impacts on climate. Proc. Natl. Acad. Sci. USA 2010, 107, 11217–11222. [Google Scholar] [CrossRef]
- Tan, I.; Storelvmo, T.; Zelinka, M. Observational constraints on mixed-phase clouds imply higher climate sensitivity. Science 2016, 352, 224–227. [Google Scholar] [CrossRef]
- Tan, I.; Storelvmo, T. Sensitivity study on the influence of cloud microphysical parameters on mixed-phase cloud thermodynamic phase partitioning in CAM5. J. Atmos. Sci. 2016, 73, 709–728. [Google Scholar] [CrossRef]
- Korolev, A.; Isaac, G.; Cober, S.G.; Strapp, J.W.; Hallett, J. Microphysical characterization of mixed-phase clouds. Qt. J. R. Meteorol. Soc. 2003, 129, 39–65. [Google Scholar] [CrossRef]
- Wang, Z.; Sassen, K. Cirrus cloud microphysical property retrieval using lidar and radar measurements. Part I: Algorithm description and comparison with in situ data. J. Appl. Meteorol. 2002, 41, 218–229. [Google Scholar] [CrossRef]
- Shupe, M.D.; Matrosov, S.Y.; Uttal, T. Arctic mixed-phase cloud properties derived from surface-based sensors at SHEBA. J. Atmos. Sci. 2006, 63, 697–711. [Google Scholar] [CrossRef]
- Jing, X.; Geerts, B.; Wang, Y.; Liu, C. Evaluating seasonal orographic precipitation in the Interior Western United States using gauge data, gridded precipitation estimates, and a regional climate simulation. J. Hydrometeorol. 2017, 18, 2541–2558. [Google Scholar] [CrossRef]
- Shupe, M.D.; Kollias, P.; Persson, P.O.G.; McFarquhar, G.M. Vertical motions in Arctic mixed-phase stratiform clouds. J. Atmos. Sci. 2008, 65, 1304–1322. [Google Scholar] [CrossRef]
- de Boer, G.; Eloranta, E.W.; Shupe, M.D. Arctic mixed-phase stratiform cloud properties from multiple years of surfacebased measurements at two high-latitude locations. J. Atmos. Sci. 2009, 66, 2874–2887. [Google Scholar] [CrossRef]
- Zhang, D.; Wang, Z.; Liu, D. A global view of midlevel liquid-layer topped stratiform cloud distribution and phase partition from CALIPSO and CloudSat measurements. J. Geophys. Res. 2010, 115, D00H13. [Google Scholar] [CrossRef]
- Heymsfield, A.; Willis, P. Cloud conditions favoring secondary ice particle production in tropical maritime convection. J. Atmos. Sci. 2014, 71, 4500–4526. [Google Scholar] [CrossRef]
- Yang, J.; Wang, Z.; Heymsfield, A.; French, J. Characteristics of Vertical Air Motion in Isolated Convective Clouds. Atmos. Chem. Phys. 2016, 16, 10159–10173. [Google Scholar] [CrossRef]
- Yang, J.; Wang, Z.; Heymsfield, A.; Luo, T. Liquid–Ice Mass Partition in Tropical Maritime Convective Clouds. J. Atmos. Sci. 2016, 73, 4959–4978. [Google Scholar] [CrossRef]
- Roeckner, E.; Brokopf, R.; Esch, M.; Giorgetta, M.A.; Hagemann, S.; Kornblueh, L.; Manzini, E.; Schlese, U.; Schulzweida, U. Sensitivity of Simulated Climate to Horizontal and Vertical Resolution in the ECHAM5 Atmosphere Model. J. Clim. 2006, 19, 3771–3791. [Google Scholar] [CrossRef]
- Cantrell, W.; Heymsfield, A. Production of ice in tropospheric clouds: A review. Bull. Am. Meteorol. Soc. 2005, 86, 795–807. [Google Scholar] [CrossRef]
- Bower, K.; Moss, S.J.; Johnson, D.W.; Choularton, T.W.; Latham, J.; Brown, P.R.A.; Blyth, A.M.; Cardwell, J. A parametrization of ice water content observed in frontal and convective clouds. Q. J. R. Meteorol. Soc. 1996, 122, 1815–1844. [Google Scholar] [CrossRef]
- Yang, J.; Wang, Z.; Heymsfield, A.J. On the Freezing Time of Supercooled Drops in Developing Convective Clouds over Tropical Ocean. Atmos. Res. 2018, 211, 30–37. [Google Scholar] [CrossRef]
- Yang, J.; Wang, Z.; Heymsfield, A.J.; DeMott, P.J.; Twohy, C.H.; Suski, K.J.; Toohey, D.W. High ice concentration observed in tropical maritime stratiform mixed-phase clouds with top temperatures warmer than −8 °C. Atmos. Res. 2020, 233, 104719. [Google Scholar] [CrossRef]
- Wang, J.; Dong, X.; Xi, B. Investigation of ice cloud microphysical properties of DCSs using aircraft in situ measurements during MC3E over the ARM SGP site. J. Geophys. Res. Atmos. 2015, 120, 3533–3552. [Google Scholar] [CrossRef]
- Morrison, H.; de Boer, G.; Feingold, G.; Harrington, J.; Shupe, M.D.; Sulia, K. Resilience of persistent Arctic mixed-phase clouds. Nat. Geosci. 2012, 5, 11–17. [Google Scholar] [CrossRef]
- Boudala, F.S.; Isaac, G.A.; Cober, S.G.; Fu, Q. Liquid fraction in stratiform mixed-phase clouds from in situ observations. Q. J. R. Meteorol. Soc. 2004, 130, 2919–2931. [Google Scholar] [CrossRef]
- Heymsfield, G.M.; Tian, L.; Heymsfield, A.J.; Li, L.; Guimond, S. Characteristics of Deep Tropical and Subtropical Convection from Nadir-Viewing High-Altitude Airborne Doppler Radar. J. Atmos. Sci. 2010, 67, 285–308. [Google Scholar] [CrossRef]
- Wang, Z.; Sassen, K. Cirrus cloud microphysical property retrieval using lidar and radar measurements. Part II: Midlatitude cirrus microphysical and radiative properties. J. Atmos. Sci. 2002, 59, 2291–2302. [Google Scholar] [CrossRef]
- McFarquhar, G.M.; Zhang, G.; Poellot, M.R.; Kok, G.L.; McCoy, R.; Tooman, T.; Fridlind, A.; Heymsfield, A.J. Ice properties of single-layer stratocumulus during the Mixed-Phase Arctic Cloud Experiment: 1. Obs. J. Geophys. Res. 2007, 112, D24201. [Google Scholar] [CrossRef]
- Heymsfield, A.J.; Field, P.R.; Bailey, M.; Rogers, D.; Stith, J.; Twohy, C.; Wang, Z.; Haimov, S. Ice in clouds experiment—Layer clouds. Part I: Ice growth rates derived from lenticular wave cloud penetrations. J. Atmos. Sci. 2011, 68, 2628–2654. [Google Scholar] [CrossRef][Green Version]
- Khanal, S.; Wang, Z. Evaluation of the Lidar–Radar Cloud Ice Water Content Retrievals Using Collocated in Situ Measurements. J. Appl. Meterol. Climatol. 2015, 54, 2087–2097. [Google Scholar] [CrossRef]
- Wang, Z. A refined two-channel microwave radiometer liquid water path retrieval for cold regions by using multiple-sensor measurements. IEEE Geosci. Remote Sens. Lett. 2007, 4, 591–595. [Google Scholar] [CrossRef]
- Troyan, D. Merged Sounding Value-Added Product. Technical Report; DOE ARM Office of Science: Washington, DC, USA, 2012. [Google Scholar]
- Protat, A.; Bouniol, D.; O’Connor, E.J.; Klein Baltink, H.; Verlinde, J.; Widener, K. CloudSat as a global radar calibrator. J. Atmos. Ocean. Technol. 2011, 28, 445–452. [Google Scholar] [CrossRef]
- King, W.D.; Parkin, D.A.; Handsworth, R.J. A hot-wire liquid water device having fully calculable response characteristics. J. Appl. Meteorol. 1978, 17, 1809–1813. [Google Scholar] [CrossRef]
- Locatelli, J.D.; Hobbs, P.V. Fall speeds and masses of solid precipitation particles. J. Geophys. Res. 1974, 79, 2185–2197. [Google Scholar] [CrossRef]
- Hogan, R.J.; Tian, L.; Brown, P.R.; Westbrook, C.D.; Heymsfield, A.J.; Eastment, J.D. Radar Scattering from Ice Aggregates Using the Horizontally Aligned Oblate Spheroid Approximation. J. Appl. Meteorol. Climatol. 2022, 51, 655–671. [Google Scholar] [CrossRef]
- Brown, P.R.A.; Francis, P.N. Improved Measurements of the Ice Water Content in Cirrus Using a Total-Water Probe. J. Atmos. Ocean. Technol. 1995, 12, 410–414. [Google Scholar] [CrossRef]
- Twohy, C.H.; Schanot, A.J.; Cooper, W.A. Measurement of condensed water content in liquid and ice clouds using an airborne counterflow virtual impactor. J. Atmos. Ocean. Technol. 1997, 14, 197–202. [Google Scholar] [CrossRef]
- LeMone, M.A.; Zipser, E.J. Cumulonimbus vertical velocity events in GATE. Part I: Diameter, intensity and mass flux. J. Atmos. Sci. 1980, 37, 2444–2457. [Google Scholar] [CrossRef]
- Jackson, R.C.; McFarquhar, G.M.; Korolev, A.V.; Earle, M.E.; Liu, P.S.; Lawson, R.P.; Brooks, S.; Wolde, M.; Laskin, A.; Freer, M. The dependence of ice microphysics on aerosol concentration in arctic mixed-phase stratus clouds during ISDAC and M-PACE. J. Geophys. Res. Atmos. 2012, 117, D15. [Google Scholar] [CrossRef]
- Murray, B.J.; O’Sullivan, D.; Atkinson, J.D.; Webb, M.E. Ice nucleation by particles immersed in supercooled cloud droplets. Chem. Soc. Rev. 2012, 41, 6519–6554. [Google Scholar] [CrossRef]
- Zhao, M. The Arctic Clouds from Model Simulations and Long-Term Observations at Barrow, Alaska; Doctoral Dissertation, University of Wyoming: Laramie, WY, USA, 2011; p. 178. [Google Scholar]
- Luo, T.; Wang, Z.; Zhang, D.; Liu, X.; Wang, Y.; Yuan, R. Global dust distribution from improved thin dust layer detection using A-train satellite lidar observations. Geophys. Res. Lett. 2015, 42, 620–628. [Google Scholar] [CrossRef]
- Peng, L.; Snider, J.R.; Wang, Z. Ice crystal concentrations in wave clouds: Dependencies on temperature, D > 0.5 μm aerosol particle concentration, and duration of cloud processing. Atmos. Chem. Phys. 2015, 15, 6113–6125. [Google Scholar] [CrossRef]
- Lauber, A.; Kiselev, A.; Pander, T.; Handmann, P.; Leisner, T. Secondary ice formation during freezing of levitated droplets. J. Atmos. Sci. 2018, 75, 2815–2826. [Google Scholar] [CrossRef]
- Hallett, J.; Mossop, S.C. Production of secondary ice particles during the riming process. Nature 1974, 249, 26–28. [Google Scholar] [CrossRef]
- Lawson, P.; Woods, S.; Morrison, H. The Microphysics of Ice and Precipitation Development in Tropical Cumulus Clouds. J. Atmos. Sci. 2015, 72, 2429–2445. [Google Scholar] [CrossRef]
- Lawson, P.; Gurganus, C.; Woods, S.; Bruintjes, R. Aircraft Observations of Cumulus Microphysics Ranging from the Tropics to Midlatitudes: Implications for a “New” Secondary Ice Process. J. Atmos. Sci. 2017, 74, 2899–2920. [Google Scholar] [CrossRef]
- Cesana, G.; Waliser, D.E.; Jiang, X.; Li, J.-L.F. Multimodel evaluation of cloud phase transition using satellite and reanalysis data. J. Geophys. Res. Atmos. 2015, 120, 7871–7892. [Google Scholar] [CrossRef]
- Mülmenstädt, J.; Salzmann, M.; Kay, J.E.; Zelinka, M.D.; Ma, P.L.; Nam, C.; Kretzschmar, J.; Hörnig, S.; Quaas, J. An underestimated negative cloud feedback from cloud lifetime changes. Nat. Clim. Chang. 2021, 11, 508–513. [Google Scholar] [CrossRef]
- Choi, Y.-S.; Lindzen, R.S.; Ho, C.-H.; Kim, J. Space observations of cold-cloud phase change. Proc. Natl. Acad. Sci. USA 2010, 107, 11211–11216. [Google Scholar] [CrossRef]
- Korolev, A.V.; Isaac, G.A. Phase transformation of mixed-phase clouds. Q. J. R. Meteorol. Soc. 2003, 129, 19–38. [Google Scholar] [CrossRef]
- Pinsky, M.; Khain, A.P. Some effects of cloud turbulence on water–ice and ice–ice collisions. Atmos. Res. 1998, 47–48, 69–86. [Google Scholar] [CrossRef]








| Datasets | Cloud Type | Instruments | Properties | Measured and Derived Quantities |
|---|---|---|---|---|
| NSA 2009–2014 | Arctic stratiform clouds | MMCR | 34.86 GH, 45-m vertical resolution, 10-s temporal resolution | Reflectivity factor, cloud top height, IWC |
| MPL | 523 nm wavelength, 30-m vertical resolution, 30-s temporal resolution | Cloud extinction, cloud base height, cloud top height for optically thin clouds, IWC | ||
| MWR | 23.8 GHz and 31.4 GHz, column integrated, 30-s temporal resolution | Brightness temperature, LWP | ||
| M-PACE 2004.10.9–2004.10.12 | Arctic stratiform clouds | King probe | LWC range: 0.05–3.0 g m−3 | LWC |
| FSSP | Particle size range: 1–50 μm | PSD, LWC if King probe is not available | ||
| 2D-C | Particle size range: 25–3200 μm (the first 3 bins were not used) | PSD, particle images, IWC | ||
| HVPS | Particle size range: 300–30,000 μm | PSD, particle images, IWC | ||
| ICE-L 2007.11.7–2007.12.16 | Midlatitude orographic clouds | King probe | LWC range: 0.05–3.0 g m−3 | LWC |
| 2D-C | Particle size range: 25–3200 μm (the first 3 bins were not used) | PSD, cloud particle images, IW | ||
| 2D-P | Particle size range: 200–12,800 μm | PSD, precipitation particle images, IWC | ||
| ICE-T 2011.7.1, 2011.7.22–2011.7.30 | Tropical maritime convective clouds | King probe | LWC range: 0.05–3.0 g m−3 | LWC carried by droplets |
| Fast 2D-C | Particle size range: 25–3200 μm | PSD, LWC carried by drops, cloud particle images, IWC | ||
| Fast 2D-P | Particle size range: 150–19,200 μm | PSD, precipitation particle images, IWC | ||
| CVI | TWC range: 0.01–2.5 g m−3 | TWC | ||
| MC3E 2011.4.22–2011.6.2 | Midlatitude mesoscale convective systems | King probe | LWC range: 0.05–3.0 g m−3 | LWC |
| 2D-C | Particle size range: 25–3200 μm (the first three bins were not used) | PSD, cloud particle images, IWC | ||
| HVPS | Particle size range: 300–30,000 μm | PSD, precipitation particle images, IWC |
| Project | A | B |
|---|---|---|
| M-PACE | 1.07 × 10−10 | 1.7 |
| ICE-L | 4.82 × 10−11 | 1.9 |
| MC3E | 1.45 × 10−11 | 2.1 |
Publisher’s Note: MDPI stays neutral with regard to jurisdictional claims in published maps and institutional affiliations. |
© 2022 by the authors. Licensee MDPI, Basel, Switzerland. This article is an open access article distributed under the terms and conditions of the Creative Commons Attribution (CC BY) license (https://creativecommons.org/licenses/by/4.0/).
Share and Cite
Yang, J.; Zhang, Y.; Wang, Z.; Zhang, D. Cloud Type and Life Stage Dependency of Liquid–Ice Mass Partitioning in Mixed-Phase Clouds. Remote Sens. 2022, 14, 1431. https://doi.org/10.3390/rs14061431
Yang J, Zhang Y, Wang Z, Zhang D. Cloud Type and Life Stage Dependency of Liquid–Ice Mass Partitioning in Mixed-Phase Clouds. Remote Sensing. 2022; 14(6):1431. https://doi.org/10.3390/rs14061431
Chicago/Turabian StyleYang, Jing, Yue Zhang, Zhien Wang, and Damao Zhang. 2022. "Cloud Type and Life Stage Dependency of Liquid–Ice Mass Partitioning in Mixed-Phase Clouds" Remote Sensing 14, no. 6: 1431. https://doi.org/10.3390/rs14061431
APA StyleYang, J., Zhang, Y., Wang, Z., & Zhang, D. (2022). Cloud Type and Life Stage Dependency of Liquid–Ice Mass Partitioning in Mixed-Phase Clouds. Remote Sensing, 14(6), 1431. https://doi.org/10.3390/rs14061431

