A Multicomponent Temporal Coherence Model for 3-D Phase Unwrapping in Time-Series InSAR of Seasonal Deformation Areas
Abstract
:1. Introduction
2. PS-InSAR Based on the Linear Temporal Coherence Model
2.1. PS-InSAR
2.2. Linear Temporal Coherence Model for 3D PU
- Delaunay triangulation network in azimuth/range is formed spatially by PSCs.
- temporal coherence of each arcs in azimuth/range plane is calculated based on model.
- The constrained Delaunay triangulation network in time/baseline plane is formed for TPU.
- TPU is carried out based on the EMCF method.
- The constrained Delaunay triangulation network in azimuth/range plane is formed for SPU.
- SPU is carried out based on the SMCF method.
3. Multi-Component Temporal Coherence Model for TS-InSAR
4. CRB for Performance Evaluation
5. Study Area and Dataset Used
6. Experimental Results and Discussion
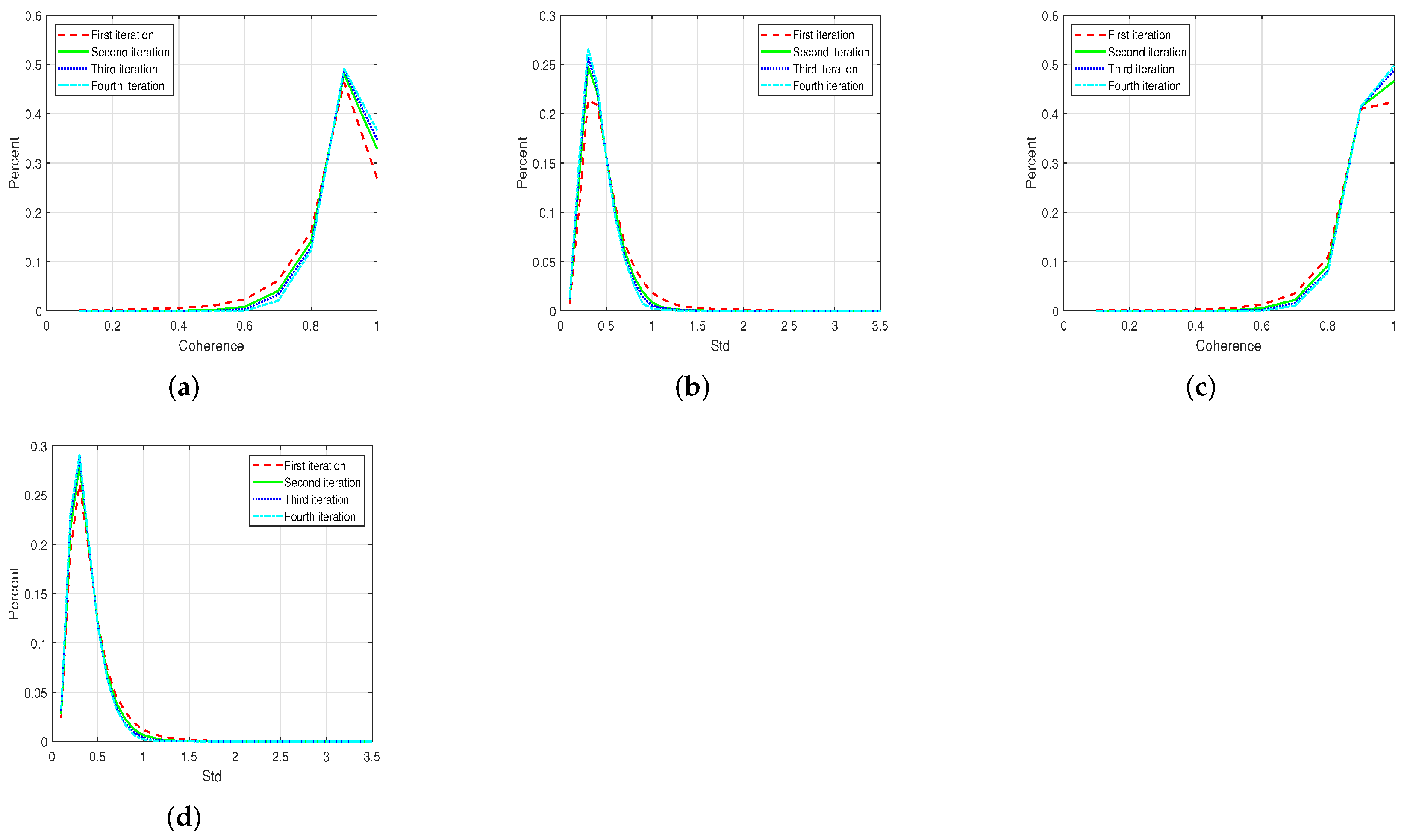
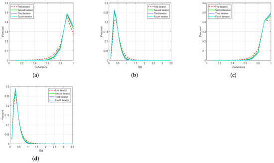
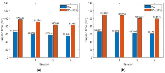
6.1. PU Comparison
6.2. PSCs Comparison
6.3. Results Comparsion
7. Conclusions
Author Contributions
Funding
Institutional Review Board Statement
Informed Consent Statement
Data Availability Statement
Acknowledgments
Conflicts of Interest
References
- Zhu, X.; Wang, Y.; Montazeri, S.; Ge, N. A review of ten-year advances of multi-baseline SAR interferometry using TerraSAR-X data. Remote Sens. 2018, 10, 1374. [Google Scholar] [CrossRef] [Green Version]
- Ferretti, A.; Prati, C.; Rocca, F. Nonlinear subsidence rate estimation using permanent scatterers in differential SAR interferometry. IEEE Trans. Geosci. Remote Sens. 2000, 38, 2202–2212. [Google Scholar] [CrossRef] [Green Version]
- Ferretti, A.; Prati, C.; Rocca, F. Permanent scatterers in SAR interferometry. IEEE Trans. Geosci. Remote Sens. 2001, 39, 8–20. [Google Scholar] [CrossRef]
- Kampes, B. Displacement Parameter Estimation Using Permanent Scatterer Interferometry. Ph.D. Thesis, Delft University of Technology, Dutch, The Netherlands, 2005. [Google Scholar]
- Hooper, A.; Bekaert, D.; Spaans, K.; Arıkan, M. Recent advances in SAR interferometry time series analysis for measuring crustal deformation. Tectonophysics 2012, 514, 1–13. [Google Scholar] [CrossRef]
- Hooper, A.; Segall, P.; Zebker, H. Persistent scatterer interferometric synthetic aperture radar for crustal deformation analysis, with application to Volcán Alcedo, Galápagos. J. Geophys. Res. Solid Earth 2007, 112, 1–21. [Google Scholar] [CrossRef] [Green Version]
- Foroughnia, F.; Nemati, S.; Maghsoudi, Y.; Perissin, D. An iterative PS-InSAR method for the analysis of large spatio-temporal baseline data stacks for land subsidence estimation. Int. J. Appl. Earth Obs. Geoinf. 2019, 74, 248–258. [Google Scholar] [CrossRef]
- Fornaro, G.; Serafino, F. Imaging of single and double scatterers in urban areas via SAR tomography. IEEE Trans. Geosci. Remote Sens. 2006, 44, 3497–3505. [Google Scholar] [CrossRef]
- Yu, H.; Lan, Y.; Yuan, Z.; Xu, J.; Lee, H. Phase unwrapping in InSAR: A review. IEEE Geosci. Remote Sens. Mag. 2019, 7, 40–58. [Google Scholar] [CrossRef]
- Li, R.; Lv, X.; Yuan, J.; Yao, J. A triangle-oriented Spatial–Temporal phase unwrapping algorithm based on irrotational constraints for time-series InSAR. IEEE Trans. Geosci. Remote Sens. 2019, 57, 10263–10275. [Google Scholar] [CrossRef]
- Crosetto, M.; Monserrat, O.; Cuevas-González, M.; Devanthéry, N.; Crippa, B. Persistent scatterer interferometry: A review. ISPRS J. Photogramm. Remote Sens. 2016, 115, 78–89. [Google Scholar] [CrossRef] [Green Version]
- Fornaro, G.; Pauciullo, A.; Reale, D. A null-space method for the phase unwrapping of multitemporal SAR interferometric stacks. IEEE Trans. Geosci. Remote Sens. 2011, 49, 2323–2334. [Google Scholar] [CrossRef]
- Ghiglia, D.; Ghiglia, D.; Pritt, M.; Pritt, M. Two-Dimensional Phase Unwrapping: Theory, Algorithms, and Software; Living Away from Home: Studies; Wiley: New York, NY, USA, 1998. [Google Scholar]
- Yu, H.; Li, Z.; Bao, Z. Residues cluster-based segmentation and outlier-detection method for large-scale phase unwrapping. IEEE Trans. Image Process. 2011, 20, 2865–2875. [Google Scholar] [PubMed]
- Costantini, M.; Rosen, P.A. A generalized phase unwrapping approach for sparse data. In Proceedings of the IEEE 1999 International Geoscience and Remote Sensing Symposium—IGARSS’99 (Cat. No. 99CH36293), Hamburg, Germany, 28 June–2 July 1999; IEEE: Hamburg, Germany, 1999; Volume 1, pp. 267–269. [Google Scholar]
- Hooper, A. A statistical-cost approach to unwrapping the phase of InSAR time series. In Proceedings of the International Workshop on ERS SAR Interferometry, Frascati, Italy, 30 November–4 December 2009; Volume 30. [Google Scholar]
- Chen, C.W.; Zebker, H.A. Two-dimensional phase unwrapping with use of statistical models for cost functions in nonlinear optimization. JOSA A 2001, 18, 338–351. [Google Scholar] [CrossRef] [Green Version]
- Goldstein, R.M.; Zebker, H.A.; Werner, C.L. Satellite radar interferometry: Two-dimensional phase unwrapping. Radio Sci. 1988, 23, 713–720. [Google Scholar] [CrossRef] [Green Version]
- Costantini, M. A novel phase unwrapping method based on network programming. IEEE Trans. Geosci. Remote Sens. 1998, 36, 813–821. [Google Scholar] [CrossRef]
- Spoorthi, G.; Gorthi, R.K.S.S.; Gorthi, S. Phasenet 2.0: Phase unwrapping of noisy data based on deep learning approach. IEEE Trans. Image Process. 2020, 29, 4862–4872. [Google Scholar] [CrossRef]
- Sica, F.; Calvanese, F.; Scarpa, G.; Rizzoli, P. A CNN-based coherence-driven approach for InSAR phase unwrapping. IEEE Geosci. Remote Sens. Lett. 2020, 19, 4003705. [Google Scholar] [CrossRef]
- Hooper, A.; Zebker, H.A. Phase unwrapping in three dimensions with application to InSAR time series. JOSA A 2007, 24, 2737–2747. [Google Scholar] [CrossRef] [Green Version]
- Shanker, A.P.; Zebker, H. Edgelist phase unwrapping algorithm for time series InSAR analysis. JOSA A 2010, 27, 605–612. [Google Scholar] [CrossRef]
- Costantini, M.; Malvarosa, F.; Minati, F. A general formulation for redundant integration of finite differences and phase unwrapping on a sparse multidimensional domain. IEEE Trans. Geosci. Remote Sens. 2011, 50, 758–768. [Google Scholar] [CrossRef]
- Liu, F.; Pan, B. A new 3-D minimum cost flow phase unwrapping algorithm based on closure phase. IEEE Trans. Geosci. Remote Sens. 2019, 58, 1857–1867. [Google Scholar] [CrossRef]
- Pepe, A.; Lanari, R. On the extension of the minimum cost flow algorithm for phase unwrapping of multitemporal differential SAR interferograms. IEEE Trans. Geosci. Remote Sens. 2006, 44, 2374–2383. [Google Scholar] [CrossRef]
- Pepe, A.; Euillades, L.D.; Manunta, M.; Lanari, R. New advances of the extended minimum cost flow phase unwrapping algorithm for SBAS-DInSAR analysis at full spatial resolution. IEEE Trans. Geosci. Remote Sens. 2011, 49, 4062–4079. [Google Scholar] [CrossRef]
- Cuenca, M.C.; Hooper, A.J.; Hanssen, R.F. A new method for temporal phase unwrapping of persistent scatterers InSAR time series. IEEE Trans. Geosci. Remote Sens. 2011, 49, 4606–4615. [Google Scholar] [CrossRef]
- Kampes, B.M.; Hanssen, R.F. Ambiguity resolution for permanent scatterer interferometry. IEEE Trans. Geosci. Remote Sens. 2004, 42, 2446–2453. [Google Scholar] [CrossRef] [Green Version]
- Zhu, X.X.; Bamler, R. Let us do the time warp: Multicomponent nonlinear motion estimation in differential SAR tomography. IEEE Geosci. Remote Sens. Lett. 2011, 8, 735–739. [Google Scholar] [CrossRef] [Green Version]
- Colesanti, C.; Ferretti, A.; Novali, F.; Prati, C.; Rocca, F. SAR monitoring of progressive and seasonal ground deformation using the permanent scatterers technique. IEEE Trans. Geosci. Remote Sens. 2003, 41, 1685–1701. [Google Scholar] [CrossRef] [Green Version]
- Kay, S.M. Fundamentals of Statistical Signal Processing: Estimation Theory; Prentice-Hall, Inc.: Upper Saddle River, NJ, USA, 1993. [Google Scholar]
- KAY, S.M. Fundamentals of Statistical Signal Processing; Prentice Hall: Upper Saddle River, NJ, USA, 1998. [Google Scholar]
- Zachariah, D.; Stoica, P. Cramér-rao bound analog of bayes’ rule [lecture notes]. IEEE Signal Process. Mag. 2015, 32, 164–168. [Google Scholar] [CrossRef]
- Prasad, R.; Murthy, C.R. Cramér–Rao-type bounds for sparse Bayesian learning. IEEE Trans. Signal Process. 2012, 61, 622–632. [Google Scholar] [CrossRef] [Green Version]
- Stoica, P.; Nehorai, A. MUSIC, maximum likelihood, and Cramer–Rao bound. IEEE Trans. Acoust. Speech Signal Process. 1989, 37, 720–741. [Google Scholar] [CrossRef]
- Sun, P.; Tang, J.; He, Q.; Tang, B.; Tang, X. Cramer–Rao bound of parameters estimation and coherence performance for next generation radar. IET Radar Sonar Navig. 2013, 7, 553–567. [Google Scholar] [CrossRef]
- Zhao, B.; Haldar, J.P.; Liao, C.; Ma, D.; Jiang, Y.; Griswold, M.A.; Setsompop, K.; Wald, L.L. Optimal experiment design for magnetic resonance fingerprinting: Cramer–Rao bound meets spin dynamics. IEEE Trans. Med. Imag. 2018, 38, 844–861. [Google Scholar] [CrossRef] [PubMed]
- Zhu, X.X.; Bamler, R. Super-resolution power and robustness of compressive sensing for spectral estimation with application to spaceborne tomographic SAR. IEEE Trans. Geosci. Remote Sens. 2011, 50, 247–258. [Google Scholar] [CrossRef]
- Yang, B.; Xu, H.; Liu, W.; You, Y.; Xie, X. Realistic lower bound on elevation estimation for tomographic SAR. IEEE J. Sel. Top. Appl. Earth Observ. Remote Sens. 2018, 11, 2429–2439. [Google Scholar] [CrossRef]
- Zhou, C.; Gong, H.; Zhang, Y.; Warner, T.A.; Wang, C. Spatiotemporal evolution of land subsidence in the Beijing plain 2003–2015 using persistent scatterer interferometry (PSI) with multi-source SAR data. Remote Sens. 2018, 10, 552. [Google Scholar] [CrossRef] [Green Version]
- Wang, C.G.; Wang, Z.Z.; Ke, C. Structure Design of Beijing Capital International Airport Terminal 3. Build. Struct. 2008, 38, 16–24. [Google Scholar]
- Li, S.; Xu, H.; Gao, S.; Li, C. A non-fuzzy interferometric phase estimation algorithm based on modified Fully Convolutional Network. Pattern Recognit. Lett. 2019, 128, 60–69. [Google Scholar] [CrossRef]
- Gao, M.; Gong, H.; Chen, B.; Zhou, C.; Chen, W.; Liang, Y.; Shi, M.; Si, Y. InSAR time-series investigation of long-term ground displacement at Beijing Capital International Airport, China. Tectonophysics 2016, 691, 271–281. [Google Scholar] [CrossRef]
- Ma, P.; Lin, H.; Lan, H.; Chen, F. Multi-dimensional SAR tomography for monitoring the deformation of newly built concrete buildings. ISPRS J. Photogramm. Remote Sens. 2015, 106, 118–128. [Google Scholar] [CrossRef]
- Ma, P.; Wang, W.; Zhang, B.; Wang, J.; Shi, G.; Huang, G.; Chen, F.; Jiang, L.; Lin, H. Remotely sensing large-and small-scale ground subsidence: A case study of the Guangdong–Hong Kong–Macao Greater Bay Area of China. Remote Sens. Environ. 2019, 232, 111282. [Google Scholar] [CrossRef]
















| Mission | Date | [m] | Temperature [C] | Mission | Date | [m] | Temperature [C] |
|---|---|---|---|---|---|---|---|
| TSX | 22 January 2012 | 65.9075 | −7.4 | TSX | 13 February 2012 | −182.0520 | −1.1 |
| TSX | 6 March 2012 | 46.1944 | 4.8 | TSX | 28 March 2012 | −117.8213 | 15.7 |
| TSX | 11 May 2012 | −12.8835 | 21.3 | TSX | 20 September 2012 | −56.6116 | 22.1 |
| TSX | 23 October 2012 | −57.5929 | 12.2 | TSX | 4 March 2013 | −126.3026 | 10.1 |
| TDX | 20 May 2013 | 212.0661 | 21.6 | TDX | 22 June 2013 | 311.4166 | 21.5 |
| TDX | 14 July 2013 | 237.8385 | 26.5 | TDX | 16 August 2013 | −14.1508 | 28.8 |
| TDX | 18 September 2013 | 10.8643 | 21.8 | TDX | 10 October 2013 | 0 | 17.4 |
| TDX | 23 November 2013 | −136.6908 | 5.3 | TDX | 6 January 2014 | −100.5203 | −0.8 |
| TDX | 19 February 2014 | 107.9300 | −0.1 | TSX | 18 May 2014 | −51.2641 | 23.7 |
| TSX | 1 July 2014 | −7.9030 | 28.8 | TSX | 14 August 2014 | −27.5767 | 23.8 |
| TDX | 27 September 2014 | −56.1818 | 20.1 | TDX | 10 November 2014 | 86.8367 | 6.6 |
| TSX | 24 December 2014 | 14.6413 | 3.1 | TDX | 6 February 2015 | −86.1897 | 1.7 |
| TSX | 16 May 2015 | 81.5364 | 21.9 | TSX | 18 June 2015 | 13.5677 | 27.5 |
| TSX | 21 July 2015 | −70.6676 | 25.5 | TSX | 23 August 2015 | 8.2015 | 24.2 |
| TSX | 25 September 2015 | −38.3640 | 19.8 | TDX | 2 January 2016 | 138.1988 | 0.1 |
| TDX | 4 February 2016 | 271.5442 | 1.7 | - | - | - | - |
| Models | Coherence Interval | 1 | 2 | 3 | 4 | ||||
|---|---|---|---|---|---|---|---|---|---|
| 602,314 | 1.26% | - | - | - | - | - | - | ||
| 1,459,361 | 1.06% | 810,080 | 0.65% | - | - | - | - | ||
| 1,922,238 | 0.78% | 2,002,474 | 0.56% | 1,067,701 | 0.39% | 1,082,625 | 0.38% | ||
| Linear | 2,593,991 | 0.48% | 2,676,274 | 0.36% | 2,659,772 | 0.28% | 2,714,661 | 0.27% | |
| 3,544,916 | 0.26% | 3,605,751 | 0.20% | 3,577,255 | 0.16% | 3,624,002 | 0.15% | ||
| 5,089,339 | 0.14% | 5,077,723 | 0.10% | 5,001,463 | 0.08% | 5,018,307 | 0.08% | ||
| 17,334,868 | 0.03% | 16,933,986 | 0.02% | 16,529,203 | 0.01% | 16,416,832 | 0.01% | ||
| total | 32,547,027 | 4.02% | 31,106,288 | 1.89% | 28,835,394 | 0.92% | 28,856,427 | 0.89% | |
| 499,764 | 1.85% | - | - | - | - | - | - | ||
| 1,294,712 | 1.57% | 731,014 | 0.96% | - | - | - | - | ||
| 1,811,273 | 1.06% | 1,892,186 | 0.79% | 1,033,261 | 0.51% | 1,052,948 | 0.50% | ||
| Multi- | 2,620,577 | 0.66% | 2,714,047 | 0.49% | 2,725,390 | 0.38% | 2,785,141 | 0.37% | |
| component | 3,807,893 | 0.35% | 3,904,280 | 0.26% | 3,910,974 | 0.21% | 3,985,081 | 0.20% | |
| 5,730,787 | 0.17% | 5,795,875 | 0.13% | 5,786,819 | 0.10% | 5,838,369 | 0.10% | ||
| 19,709,061 | 0.04% | 19,593,356 | 0.03% | 19,457,610 | 0.02% | 19,442,348 | 0.02% | ||
| total | 35,474,067 | 5.69% | 34,630,758 | 2.65% | 32,914,054 | 1.22% | 33,103,887 | 1.19% | |
| Indicators | Topography | Deformation Velocity | Seasonal Amplitude |
|---|---|---|---|
| MAE | 2.22 m | 0.78 mm/yr | 0.67 mm |
| RMSE | 2.44 m | 0.89 mm/yr | 0.82 mm |
| 0.955 | 0.995 | 0.856 |
Publisher’s Note: MDPI stays neutral with regard to jurisdictional claims in published maps and institutional affiliations. |
© 2022 by the authors. Licensee MDPI, Basel, Switzerland. This article is an open access article distributed under the terms and conditions of the Creative Commons Attribution (CC BY) license (https://creativecommons.org/licenses/by/4.0/).
Share and Cite
Yang, B.; Xu, H.; Jiang, L.; Huang, R.; Zhou, Z.; Wang, H.; Liu, W. A Multicomponent Temporal Coherence Model for 3-D Phase Unwrapping in Time-Series InSAR of Seasonal Deformation Areas. Remote Sens. 2022, 14, 1080. https://doi.org/10.3390/rs14051080
Yang B, Xu H, Jiang L, Huang R, Zhou Z, Wang H, Liu W. A Multicomponent Temporal Coherence Model for 3-D Phase Unwrapping in Time-Series InSAR of Seasonal Deformation Areas. Remote Sensing. 2022; 14(5):1080. https://doi.org/10.3390/rs14051080
Chicago/Turabian StyleYang, Bo, Huaping Xu, Liming Jiang, Ronggang Huang, Zhiwei Zhou, Hansheng Wang, and Wei Liu. 2022. "A Multicomponent Temporal Coherence Model for 3-D Phase Unwrapping in Time-Series InSAR of Seasonal Deformation Areas" Remote Sensing 14, no. 5: 1080. https://doi.org/10.3390/rs14051080
APA StyleYang, B., Xu, H., Jiang, L., Huang, R., Zhou, Z., Wang, H., & Liu, W. (2022). A Multicomponent Temporal Coherence Model for 3-D Phase Unwrapping in Time-Series InSAR of Seasonal Deformation Areas. Remote Sensing, 14(5), 1080. https://doi.org/10.3390/rs14051080

