Calibration Experiments of CFOSAT Wavelength in the Southern South China Sea by Artificial Neural Networks
Abstract
1. Introduction
2. Data Sets
2.1. SWIM Products Measured by CFOSAT
2.2. Buoy Observations
2.3. Reanalysis Data
3. Methodology
3.1. Design of Calibration Experiments with Monte Carlo Sampling
3.2. Artificial Neural Network for Wavelength Calibration
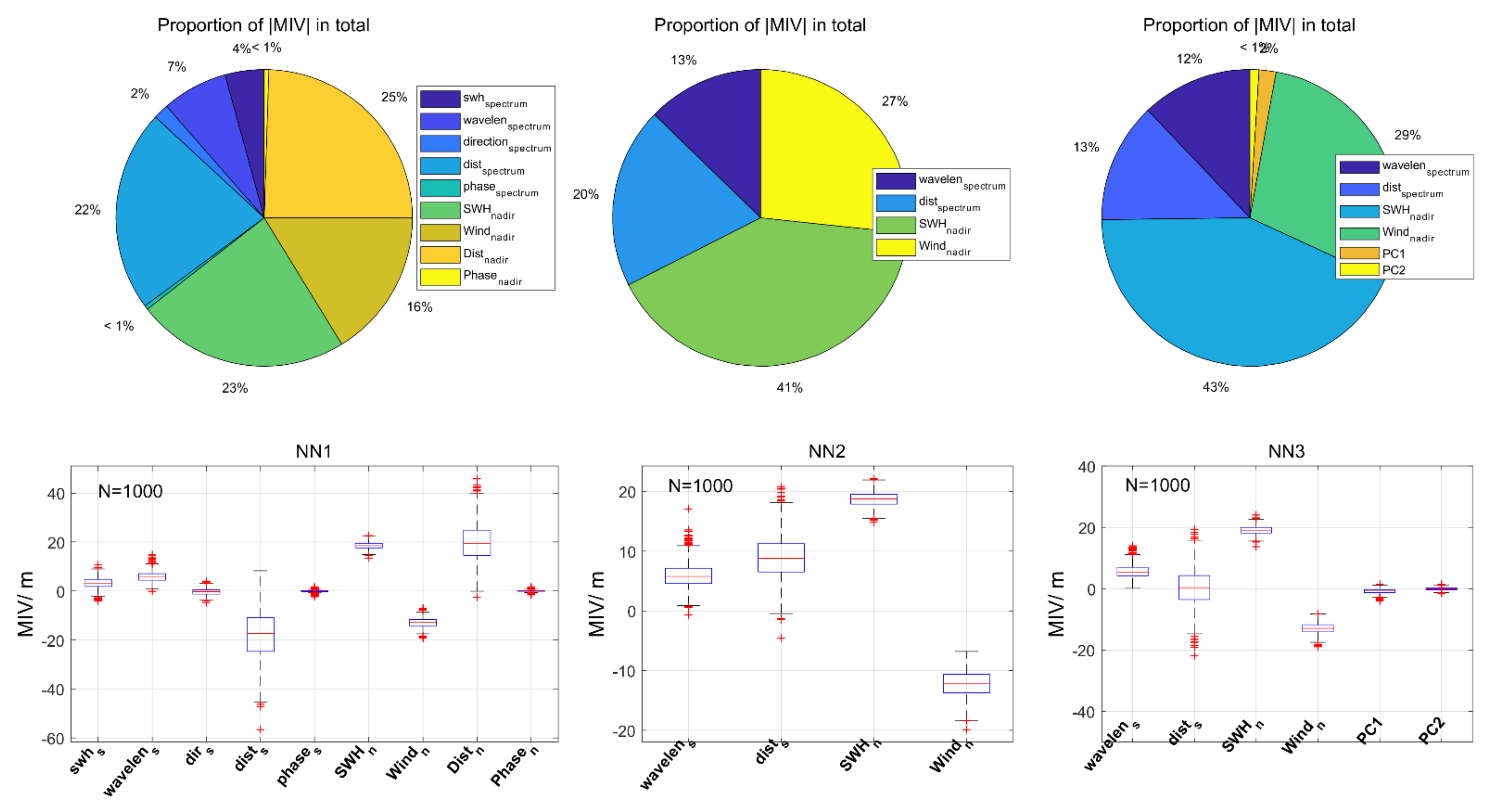
3.3. Mean Impact Value Analysis and Kernel Principal Component Analysis
4. Results
4.1. Overall Results of the Calibration Experiments with Monte Carlo Sampling
4.2. Typical Calibration Results in the Chronological Order
4.3. Validation Results against an Independent Buoy Dataset
5. Discussion
5.1. Self-Calibration Ability of the Dominant Wavelength of CFOSAT
5.2. Critical Parameters for the Calibration of Dominant Wavelength of CFOSAT
6. Conclusions
Author Contributions
Funding
Data Availability Statement
Acknowledgments
Conflicts of Interest
References
- Shanas, P.R.; Kumar, V.S.; Hithin, N.K. Comparison of gridded multi-mission and along-track mono-mission satellite altimetry wave heights with in situ near-shore buoy data. Ocean Eng. 2014, 83, 24–35. [Google Scholar] [CrossRef]
- Gommenginger, C.P.; Srokosz, M.A.; Challenor, P.G.; Cotton, P.D. Measuring ocean wave period with satellite altimeters: A simple empirical model, Geophys. Res. Lett. 2003, 30, 2150. [Google Scholar] [CrossRef]
- Quilfen, Y.; Chapron, B.; Collard, F.; Serre, M. Calibration/Validation of an Altimeter Wave Period Model and Application to TOPEX/Poseidon and Jason-1 Altimeters. Mar. Geod. 2004, 27, 535–549. [Google Scholar] [CrossRef]
- Hauser, D.; Tourain, C.; Hermozo, L.; Alraddawi, D.; Tran, N.T. New observations from the SWIM radar on-board CFOSAT: Instrument validation and ocean wave measurement assessment. IEEE Trans. Geosci. Remote Sens. 2021, 59, 5–26. [Google Scholar] [CrossRef]
- Hauser, D.; Tourain, C.; Lachiver, J.-M. CFOSAT: A New Mission in Orbit to Observe Simultaneously Wind and Waves at the Ocean Surface. Space Res. Today 2019, 206, 15–21. [Google Scholar] [CrossRef]
- Hauser, D.; Tourain, C.; Hermozo, L. Report on the SWIM cal/val at the End of the Vervification Phase. 2019. Available online: https://www.aviso.altimetry.fr/fileadmin/user_upload/SWIM_CalvalReport_compressed.pdf (accessed on 31 December 2021).
- Tison, C.; Hauser, D. SWIM Products Users Guide: Product Description and Algorithm Theoretical Baseline Description. 2018. Available online: https://www.aviso.altimetry.fr/fileadmin/documents/data/tools/SWIM_ProductUserGuide.pdf (accessed on 31 December 2021).
- Liang, G.; Yang, J.; Wang, J. Accuracy evaluation of CFOSAT SWIM L2 products based on NDBC buoy and Jason-3 altimeter data. Remote Sens. 2021, 13, 887. [Google Scholar] [CrossRef]
- Su, H.; Wei, C.; Jiang, S.; Li, P.; Zhai, F. Revisiting the seasonal wave height variability in the South China Sea with merged satellite altimetry observations. Acta Oceanol. Sin. 2017, 36, 38–50. [Google Scholar] [CrossRef]
- Sun, J.; Guan, C.; Liu, B. Ocean wave diffraction in near-shore regions observed by Synthetic Aperture Radar. Chin. J. Oceanol. Limnol. 2006, 24, 48–56. [Google Scholar] [CrossRef]
- Lentz, S.J.; Churchill, J.H.; Davis, K.A.; Farrar, J.T. Surface gravity wave transformation across a platform coral reef in the Red Sea. J. Geophys. Res. Oceans 2016, 121, 693–705. [Google Scholar] [CrossRef]
- Sun, Z.; Zhang, H.; Xu, D.; Liu, X.; Ding, J. Assessment of wave power in the South China Sea based on 26-year high-resolution hindcast data. Energy 2020, 197, 117218. [Google Scholar] [CrossRef]
- Zieger, S.; Vinoth, J.; Young, I.R. Joint calibration of multiplatform altimeter measurements of wind speed and wave height over the past 20 years. J. Atmos. Oceanic Technol. 2009, 26, 2549–2564. [Google Scholar] [CrossRef]
- Abdalla, S.; Janssen, P.A.E.M.; Bidlot, J.R. Jason-2 OGDR Wind and Wave Products: Monitoring, Validation and Assimilation. Mar. Geod. 2010, 33, 239–255. [Google Scholar] [CrossRef]
- Albuquerque, J.; Antolínez, J.A.A.; Rueda, A.; Méndez, F.J.; Coco, G. Directional correction of modeled sea and swell wave heights using satellite altimeter data. Ocean Model. 2018, 131, 103–114. [Google Scholar] [CrossRef]
- Yang, J.; Zhang, J. Validation of Sentinel-3A/3B Satellite Altimetry Wave Heights with Buoy and Jason-3 Data. Sensors 2019, 19, 2914. [Google Scholar] [CrossRef] [PubMed]
- Zamani, A.; Azimian, A.; Heemink, A.; Solomatine, D. Wave height prediction at the Caspian Sea using a data-driven model and ensemble-based data assimilation methods. J. Hydroinform. 2009, 11, 154–164. [Google Scholar] [CrossRef]
- Peres, D.; Iuppa, C.; Cavallaro, L.; Cancelliere, A.; Foti, E. Significant wave height record extension by neural networks and reanalysis wind data. Ocean Model. 2015, 94, 128–140. [Google Scholar] [CrossRef]
- Wu, K.; Li, X.; Huang, B. Retrieval of ocean wave heights from spaceborne SAR in the Arctic Ocean with a neural network. J. Geophys. Res. Oceans 2021, 162, e2020JC016946. [Google Scholar] [CrossRef]
- Wang, J.K.; Aouf, L.; Dalphinet, A.; Zhang, Y.G.; Liu, J.Q. The wide swath significant wave height: An innovative reconstruction of significant wave heights from CFOSAT’s SWIM and scatterometer using deep learning. Geophys. Res. Lett. 2020, 48, e2020GL091276. [Google Scholar] [CrossRef]
- Lu, W.; Su, H.; Yang, X.; Yan, X.H. Subsurface temperature estimation from remote sensing data using a clustering-neural network method. Remote Sens. Environ. 2019, 422, 213–222. [Google Scholar] [CrossRef]
- Guenaydin, K. The estimation of monthly mean significant wave heights by using artificial neural network and regression methods. Ocean Eng. 2008, 35, 1406–1415. [Google Scholar] [CrossRef]
- Li, B.; Li, J.; Li, Y.; Zhang, Z.; Shi, P.; Liu, J.; Chen, W. Application of artificial neural network to numerical wave simulation in the coastal region of island. J. Xiamen Univ. (Nat. Sci.) 2020, 59, 420–427. (In Chinese) [Google Scholar] [CrossRef]
- Shiokawa, Y.; Date, Y.; Kikuchi, J. Application of kernel principal component analysis and computational machine learning to exploration of metabolites strongly associated with diet. Sci. Rep. 2018, 8, 3426. [Google Scholar] [CrossRef]
- Dombi, G.W.; Nandi, P.; Saxe, J.M.; Ledgerwood, A.M.; Lucas, C.E. Prediction of Rib Fracture Injury Outcome by an Artificial Neural Network. J. Trauma 1995, 39, 915–921. [Google Scholar] [CrossRef] [PubMed]
- Jiang, J.L.; Su, X.; Zhang, H.; Zhang, X.H.; Yuan, Y.J. A Novel Approach to Active Compounds Identification Based on Support Vector Regression Model and Mean Impact Value. Chem. Biol. Drug Des. 2013, 81, 650–657. [Google Scholar] [CrossRef] [PubMed]
- Yao, Y.; Yang, X.; Lai, S.; Chin, R.J. Predicting tsunami like solitary wave run up over fringing reefs using the multi layer perceptron neural network. Nat. Hazards 2021, 107, 601–616. [Google Scholar] [CrossRef]
- Li, X.; Liu, B.; Zheng, G.; Ren, Y.; Zhang, S.; Liu, Y.; Gao, L.; Zhang, B.; Wang, F. Deep learning-based information mining from ocean remote sensing imagery. Natl. Sci. Rev. 2020, 7, 1584–1605. [Google Scholar] [CrossRef]
- Shapiro, A. Monte Carlo Sampling Methods-ScienceDirect. Handb. Oper. Res. Manag. Sci. 2003, 10, 353–425. [Google Scholar]
- Wang, J.; Aouf, L.; Badulin, S. Retrieval of wave period from altimetry: Deep learning accounting for random wave field dynamics. Remote Sens. Environ. 2021, 265, 112629. [Google Scholar] [CrossRef]
- Ye, H.; Li, J.; Li, B.; Liu, J.; Tang, D.; Chen, W.; Yang, H.; Zhou, F.; Zhang, R.; Wang, S.; et al. Evaluation of CFOSAT Scatterometer Wind Data in Global Oceans. Remote Sens. 2021, 13, 1926. [Google Scholar] [CrossRef]
- Chen, G.; Lin, H. Technical note: Impacts of collocation window on the accuracy of altimeter/buoy wind-speed comparison-a simulation study. Int. J. Remote Sens. 2001, 22, 35–44. [Google Scholar] [CrossRef]
- Caballero, I.; Gómez-Enri, J.; Cipollini, P.; Navarro, G. Validation of High Spatial Resolution Wave Data From Envisat RA-2 Altimeter in the Gulf of Cádiz. IEEE Geosci. Remote Sens. Lett. 2014, 11, 371–375. [Google Scholar] [CrossRef]
- Fett, R.W.; Kevin, M.R. Island barrier effect on sea state as revealed by a numerical wave model and DMSP satellite data. J. Phys. Oceanogr. 1976, 6, 324–334. [Google Scholar] [CrossRef][Green Version]
- Andréfouët, S.; Ardhuin, F.; Queffeulou, P.; Gendre, R.L. Island shadow effects and the wave climate of the Western Tuamotu Archipelago (French Polynesia) inferred from altimetry and numerical model data. Mar. Pollut. Bull. 2012, 65, 415–424. [Google Scholar] [CrossRef] [PubMed]
- Pawka, S.S. Island shadows in wave directional spectra. J. Geophys. Res. 1983, 88, 2579–2591. [Google Scholar] [CrossRef]
- Ponce de León, S.; Soares, C.G. On the sheltering effect of islands in ocean wave models. J. Geophys. Res. Ocean. 2005, 110, C09020. [Google Scholar] [CrossRef]
- Wang, J.K.; Aouf, L.; Dalphinet, A.; Li, B.X.; Xu, Y.; Liu, J.Q. Acquisition of the significant wave height from CFOSAT SWIM spectra through a deep neural network and its impact on wave model assimilation. J. Geophys. Res. Ocean. 2021, 126, e2020JC016885. [Google Scholar] [CrossRef]
- Copernicus Climate Change Service (C3S). ERA5: Fifth Generation of ECMWF Atmospheric Reanalyses of the Global Climate. Copernicus Climate Change Service Climate Data Store (CDS). 2017. Available online: https://cds.climate.copernicus.eu/cdsapp#!/home (accessed on 31 December 2021).
- Cybenko, G. Approximation by superpositions of a sigmoidal function. Math. Control. Signals Syst. 1989, 2, 301–314. [Google Scholar] [CrossRef]
- Deo, M.C.; Naidu, C.S. Real time forecasting using Neural Networks. Ocean Eng. 1998, 26, 191–203. [Google Scholar] [CrossRef]
- Zhang, Z.; Li, C.W.; Qi, Y.; Li, Y.S. Incorporation of artificial neural networks and data assimilation techniques into a third-generation wind-wave model for wave forecasting. J. Hydroinform. 2006, 8, 65–76. [Google Scholar] [CrossRef]
- Londhe, S.N.; Shah, S.; Dixit, P.R.; Nair, T.M.B.; Sirisha, P.; Jain, R. A coupled numerical and artificial neural network model for improving location specific wave forecast. Appl. Ocean Res. 2016, 59, 483–491. [Google Scholar] [CrossRef]
- Beale, M.; Hagan, M.T.; Demuth, H.B. Neural Network Toolbox 7—User’s Guide, 951 pp. MathWorks Natick Mass. 2010, 1, 77–81. [Google Scholar]
- Hagan, M.T.; Menhaj, M.B. Training feedforward networks with the Marquardt algorithm. IEEE Trans. Neural Netw. 1994, 5, 989–993. [Google Scholar] [CrossRef] [PubMed]
- Scholkopf, B.; Smola, A.; Muller, K.R. Nonlinear component analysis as a kernel eigenvalue problem. Neural Comput. 1998, 10, 1299–1319. [Google Scholar] [CrossRef]














| Symbol | Meaning | Unit |
|---|---|---|
| wavelens | Dominant wavelength estimated from the spectrum by the off-nadir spectrometer | m |
| swhs | Significant wave height estimated from the spectrum by the off-nadir spectrometer | m |
| dirs | Dominant wave direction estimated from the spectrum by the off-nadir spectrometer | ° |
| dists | Distance between calibration point and the sampling point of the off-nadir spectrometer | m |
| phases | The azimuth of sampling point of off-nadir spectrometer relative to the calibration point | ° |
| SWHn | Significant wave height from nadir beam | m |
| Windn | Wind speed from nadir beam | m/s |
| Distn | Distance between the calibration point and the measured point of nadir beam | m |
| Phasen | The azimuth of sampling point of nadir beam relative to the calibration point | ° |
| Symbol | Meaning | Unit |
|---|---|---|
| swhe | Significant wave height from ERA5 | m |
| dire | mean wave direction from ERA5 | ° |
| Tme | Mean wave period from ERA5 | s |
| u10e | 10 m u-component of wind from ERA5 | m/s |
| v10e | 10 m v-component of wind from ERA5 | m/s |
| Buoy | SWIM | CFOSAT Parameters Only | CFOSAT + ERA5 Parameters | |||||
|---|---|---|---|---|---|---|---|---|
| NN1 | NN2 | NN3 | NN1 | NN2 | NN3 | |||
| RMSE (m) | 0 | 94.54 | 48.23 | 44.35 | 46.88 | 36.00 | 32.24 | 33.33 |
| MAE (m) | 0 | 63.58 | 36.55 | 33.78 | 35.49 | 26.63 | 23.47 | 24.35 |
| r | 1 | 0.08 | 0.59 | 0.64 | 0.61 | 0.78 | 0.83 | 0.82 |
| STD (m) | 56.02 | 66.41 | 47.94 | 44.20 | 47.84 | 50.01 | 50.14 | 49.55 |
Publisher’s Note: MDPI stays neutral with regard to jurisdictional claims in published maps and institutional affiliations. |
© 2022 by the authors. Licensee MDPI, Basel, Switzerland. This article is an open access article distributed under the terms and conditions of the Creative Commons Attribution (CC BY) license (https://creativecommons.org/licenses/by/4.0/).
Share and Cite
Li, B.; Li, J.; Liu, J.; Tang, S.; Chen, W.; Shi, P.; Liu, Y. Calibration Experiments of CFOSAT Wavelength in the Southern South China Sea by Artificial Neural Networks. Remote Sens. 2022, 14, 773. https://doi.org/10.3390/rs14030773
Li B, Li J, Liu J, Tang S, Chen W, Shi P, Liu Y. Calibration Experiments of CFOSAT Wavelength in the Southern South China Sea by Artificial Neural Networks. Remote Sensing. 2022; 14(3):773. https://doi.org/10.3390/rs14030773
Chicago/Turabian StyleLi, Bo, Junmin Li, Junliang Liu, Shilin Tang, Wuyang Chen, Ping Shi, and Yupeng Liu. 2022. "Calibration Experiments of CFOSAT Wavelength in the Southern South China Sea by Artificial Neural Networks" Remote Sensing 14, no. 3: 773. https://doi.org/10.3390/rs14030773
APA StyleLi, B., Li, J., Liu, J., Tang, S., Chen, W., Shi, P., & Liu, Y. (2022). Calibration Experiments of CFOSAT Wavelength in the Southern South China Sea by Artificial Neural Networks. Remote Sensing, 14(3), 773. https://doi.org/10.3390/rs14030773

