Load Estimation Based Dynamic Access Protocol for Satellite Internet of Things
Abstract
1. Introduction
2. The Architecture of Satellite IoT
- (1)
- Restriction of access complexity: Since the energy supply of sink nodes is sufficient, the access mode with higher complexity can be selected.
- (2)
- Limitation of satellite height: the low energy characteristics of sensor nodes determine that their transmitting power is limited. In order to successfully access the satellite, the distance between the sensor and the satellite needs to be reduced, so the satellite height is limited to a certain extent.
- (3)
- Limitation of application environment: the establishment of sink nodes requires certain environmental support, and it is difficult to place enough sink nodes in deserts, oceans and other areas that are difficult for human beings to reach.
2.1. Satellite Iot Scenarios without Sink Nodes
2.1.1. ALOHA Protocol
2.1.2. SA Protocol
2.2. Satellite Iot Scenarios with Sink Nodes
2.2.1. CRDSA Protocol
2.2.2. IRSA Protocol
3. Dynamic Satellite IoT Access Protocol Based on Load Estimation Algorithm
3.1. Slot Random Access Protocol Based on WALSH Code
3.1.1. Codebook Design
3.1.2. Conflict Resolution Algorithm
3.1.3. Capacity Upper Bound of Random Access Protocol Based on Walsh Code
3.2. Load Estimation Algorithm
3.3. Dynamic WALSH Code Time Slot Random Access Protocol Based on Load Estimation Algorithm
- set the load threshold before using it for the first time.
- read the data from the cache and get the load estimate according to the time slot state statistics in a frame of data.
- the appropriate frame length and codebook information are selected according to the comparison between the load estimate and the load threshold.
4. Simulation and Analysis
4.1. Simulation and Analysis of Time Slot Random Access Protocol Based on WALSH Code
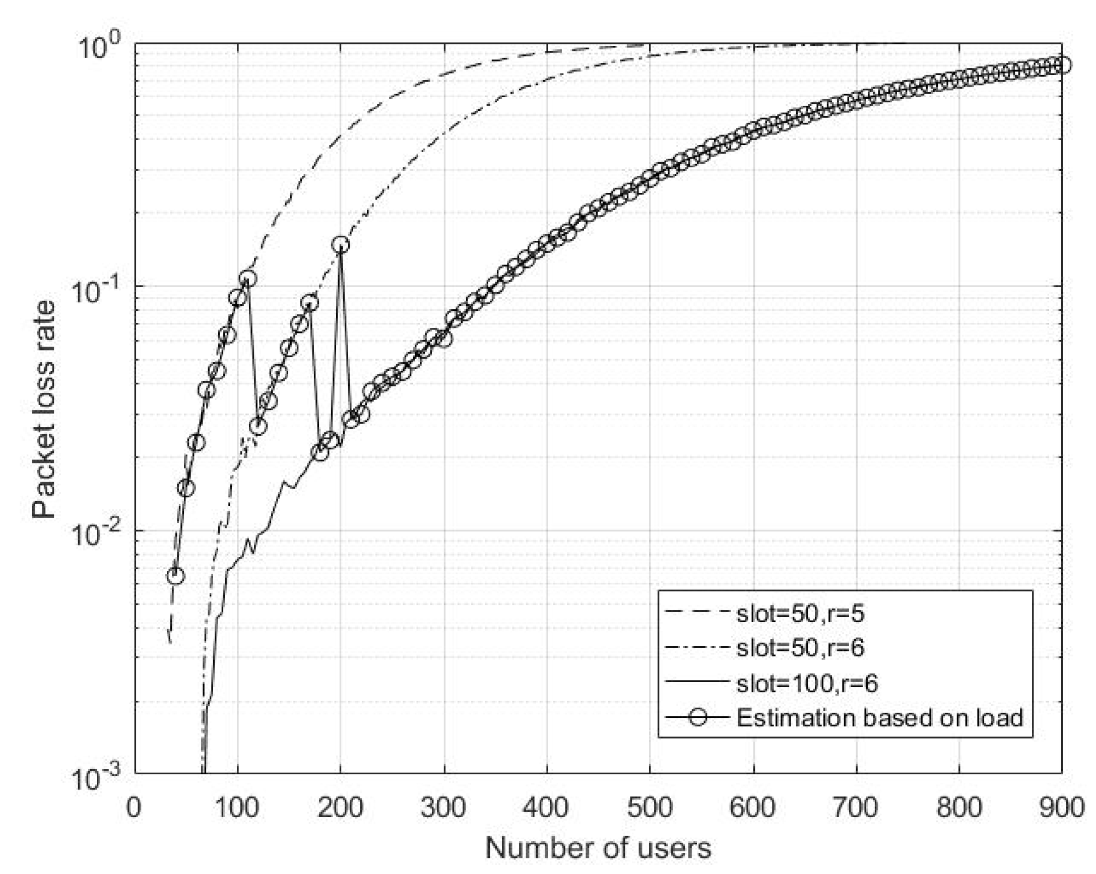
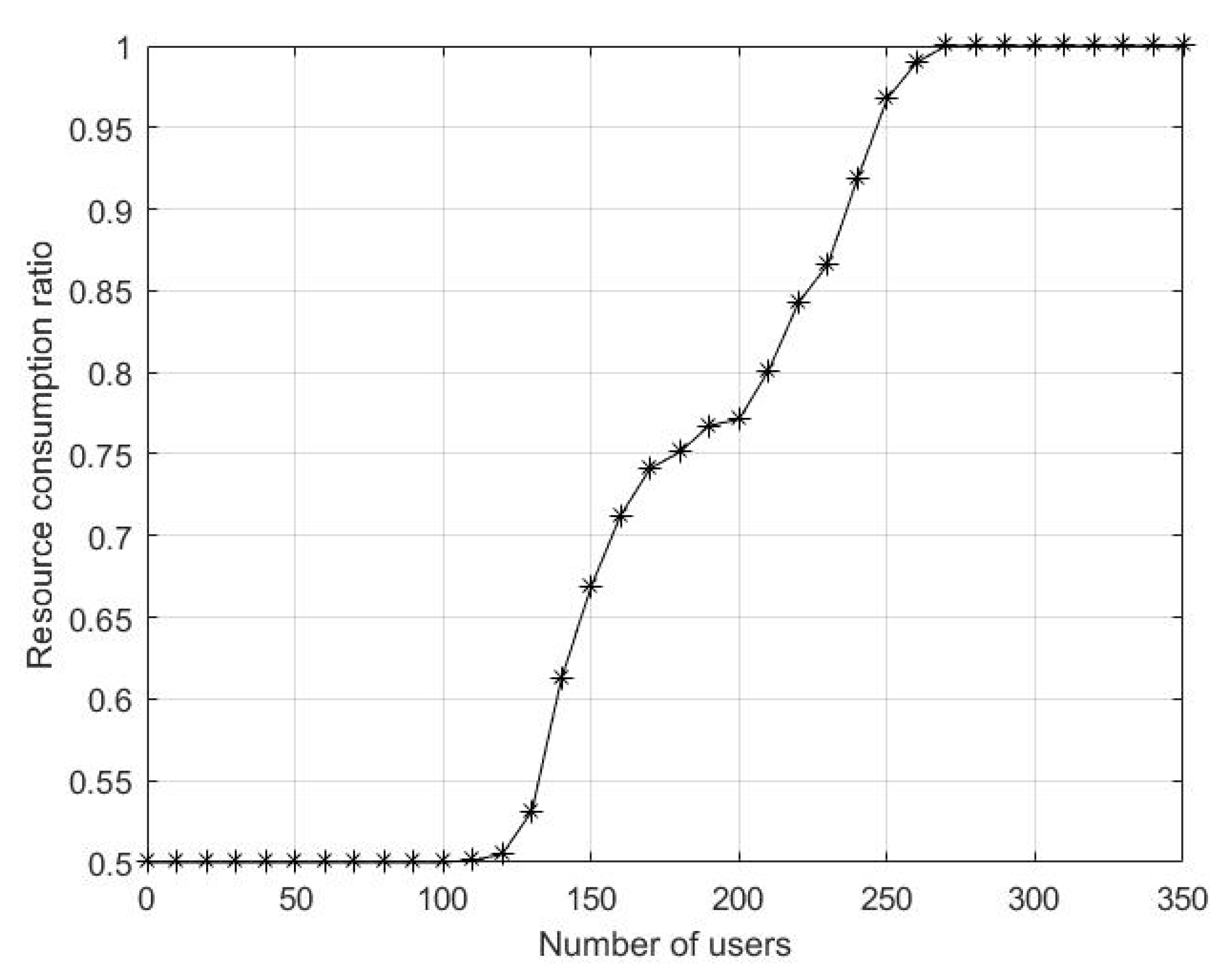
4.2. Simulation and Analysis of Dynamic WALSH Code Slot Random Access Protocol Based on Load Estimation Algorithm
5. Conclusions
Author Contributions
Funding
Data Availability Statement
Conflicts of Interest
References
- Dai, C.-Q.; Zhang, M.; Li, C.; Zhao, J.; Chen, Q. QoE-Aware Intelligent Satellite Constellation Design in Satellite Internet of Things. IEEE Internet Things J. 2021, 8, 4855–4867. [Google Scholar] [CrossRef]
- Sanctis, M.D.; Cianca, E.; Araniti, G.; Bisio, I.; Prasad, R. Satellite Communications Supporting Internet of Remote Things. IEEE Internet Things J. 2016, 3, 113–123. [Google Scholar] [CrossRef]
- Chen, Z.; Duan, X.; Wei, W.; Wang, S.; Ning, B.-J. Iridium-based nanomaterials for electrochemical water splitting. Nano Energy 2020, 78, 105270. [Google Scholar] [CrossRef]
- Elbehiery, K.; Elbehiery, H. Cloud Technology: Conquest of Commercial Space Business. In Internet of Things—Applications and Future; Springer: Singapore, 2020; pp. 53–72. [Google Scholar]
- Fu, X.; Su, Y. Performance Analysis of Satellite Internet of Things Access Protocol. In Proceedings of the International Conference in Communications, Signal Processing, and Systems, Adelaide, Australia, 14 December 2020; Springer: Singapore, 2020; pp. 1306–1311. [Google Scholar]
- Kassas, Z.M. Navigation from Low-Earth Orbit. Position, Navigation, and Timing Technologies in the 21st Century: Integrated Satellite Navigation, Sensor Systems, and Civil Applications; IEEE: Piscataway, NJ, USA, 2021; pp. 1381–1412. [Google Scholar]
- Bezgin, A.A.; Savochkin, A.A. Multiband Circular Polarization Antenna for Satellite System Argos-3 and GPS. In Proceedings of the 2019 Antennas Design and Measurement International Conference (ADMInC), St. Petersburg, Russia, 3 June 2019; pp. 30–32. [Google Scholar]
- Del Rio Herrero, O.; De Gaudenzi, R. High Efficiency Satellite Multiple Access Scheme for Machine-to-Machine Communications. Aerosp. Electron. Syst. IEEE Trans. 2012, 48, 2961–2989. [Google Scholar] [CrossRef]
- Liva, G. Graph-Based Analysis and Optimization of Contention Resolution Diversity Slotted ALOHA. IEEE Trans. Commun. 2011, 59, 477–487. [Google Scholar] [CrossRef]
- Meloni, A.; Murroni, M.; Kissling, C.; Berioli, M. Sliding window-based Contention Resolution Diversity Slotted ALOHA. In Proceedings of the Global Communications Conference, Anaheim, CA, USA, 3–7 December 2012; pp. 3305–3310. [Google Scholar]
- Lázaro, F. Decentralized Power Control for Slotted Spread Spectrum Aloha with Successive Interference Cancellation. In Proceedings of the International Itg Conference on Systems, VDE, Hamburg, Germany, 6–9 February 2017; pp. 1–6. [Google Scholar]
- Bacco, F.M. Effcient M2M Communications via Random Access Satellite Channels. Doctor Dissertation, University of Siena, Siena, Italy, 2016; pp. 31–33. [Google Scholar]
- Meloni, A.; Atzori, L. The Role of Satellite Communications in the Smart Grid. IEEE Wirel. Commun. 2017, 24, 50–56. [Google Scholar] [CrossRef]
- Vassaki, S.; Pitsiladis, G.T.; Kourogiorgas, C.; Poulakis, M.; Panagopoulos, A.D.; Gardikis, G.; Costicoglou, S. Satellite-based sensor networks: M2M Sensor communications and connectivity analysis. In Proceedings of the International Conference on Telecommunications and Multimedia, Heraklion, Greece, 28–30 July 2014; pp. 132–137. [Google Scholar]
- Bacco, M.; De Cola, T.; Giambene, G.; Gotta, A. TCP-Based M2M Traffic via Random-Access Satellite Links: Throughput Estimation. IEEE Trans. Aerosp. Electron. Syst. 2019, 55, 846–863. [Google Scholar] [CrossRef]
- Elbert, B.R. Introduction to Satellite Communication; Artech house: Norwood, MA, USA, 2008. [Google Scholar]
- Abramson, N. The Aloha System: Another alternative for computer communications. In Proceedings of the National Computer Conference, Atlantic City, NJ, USA, 1 January 1970; pp. 281–285. [Google Scholar]
- Roberts, L.G. ALOHA packet system with and without slots and capture. Acm Sigcomm Comput. Commun. Rev. 1975, 5, 28–42. [Google Scholar] [CrossRef]
- Choudhury Gagan, L.; Rappaport Stephen, S. Diversity ALOHA—A Random Access Scheme for Satellite Communications. Commun. IEEE Trans. 1983, 31, 450–457. [Google Scholar] [CrossRef]
- Paolini, E.; Liva, G.; Amat, A.G.I. A structured irregular repetition slotted ALOHA scheme with low error floors. In Proceedings of the IEEE International Conference on Communications, Paris, France, 21–25 May 2017; pp. 1–6. [Google Scholar]
- Graaf, P.W.D.; Lehnert, J.S. Performance comparison of a slotted ALOHA DS/SSMA network and a multi-channel narrowband slotted ALOHA network. In Proceedings of the Military Communications Conference, Fort Monmouth, NJ, USA, 2–5 October 1994; pp. 574–578. [Google Scholar]
- Ma, G.; Ai, B.; Wang, F.; Zhong, Z. Joint Design of Coded Tandem Spreading Multiple Access and Coded Slotted ALOHA for Massive Machine-type Communications. IEEE Trans. Ind. Inform. 2018, 14, 4064–4071. [Google Scholar] [CrossRef]
- Casini, E.; De Gaudenzi, R.; Herrero, O.D.R. Contention Resolution Diversity Slotted ALOHA (CRDSA): An Enhanced Random Access Schemefor Satellite Access Packet Networks. IEEE Trans. Wirel. Commun. 2007, 6, 1408–1419. [Google Scholar] [CrossRef]
- Zhao, J.; Yue, X.; Kang, S.; Tang, W. Joint effects of imperfect CSI and SIC on NOMA based satellite-terrestrial systems. IEEE Access 2021, 9, 12545–12554. [Google Scholar] [CrossRef]
- Shuai, H.; Guo, K.; An, K.; Zhu, S. NOMA-based integrated satellite terrestrial networks with relay selection and imperfect SIC. IEEE Access 2021, 9, 111346–111357. [Google Scholar] [CrossRef]
- De Gaudenzi, R.; del Río Herrero, O.; Acar, G.; Barrabés, E.G. Asynchronous Contention Resolution Diversity ALOHA: Making CRDSA Truly Asynchronous. Wirel. Commun. IEEE Trans. 2014, 13, 6193–6206. [Google Scholar] [CrossRef]
- Lee, D.; Lee, H.; Milstein, K.B. Direct sequence spread spectrum Walsh-QPSK modulation. IEEE Trans. Commun. 1998, 46, 1227–1232. [Google Scholar]
- Zanella, A. Estimating Collision Set Size in Framed Slotted Aloha Wireless Networks and RFID Systems. IEEE Commun. Lett. 2012, 16, 300–303. [Google Scholar] [CrossRef]
- Vogt, H. Multiple Object Identification with Passive RFID Tags. Pervasive Comput. 2002, 3, 98–113. [Google Scholar]
- Cha, J.R.; Kim, J.H. Novel Anti-collision Algorithms for Fast Object Identification in RFID System. In Proceedings of the International Conference on Parallel and Distributed Systems-Workshops, 20–25 July 2005; pp. 63–67. [Google Scholar]
- Wei, F.; Chen, W. Low Complexity Iterative Receiver Design for Sparse Code Multiple Access. IEEE Trans. Commun. 2017, 65, 621–634. [Google Scholar] [CrossRef]















Publisher’s Note: MDPI stays neutral with regard to jurisdictional claims in published maps and institutional affiliations. |
© 2022 by the authors. Licensee MDPI, Basel, Switzerland. This article is an open access article distributed under the terms and conditions of the Creative Commons Attribution (CC BY) license (https://creativecommons.org/licenses/by/4.0/).
Share and Cite
Yang, M.; Xue, G.; Liu, B.; Yang, Y.; Su, Y. Load Estimation Based Dynamic Access Protocol for Satellite Internet of Things. Remote Sens. 2022, 14, 6402. https://doi.org/10.3390/rs14246402
Yang M, Xue G, Liu B, Yang Y, Su Y. Load Estimation Based Dynamic Access Protocol for Satellite Internet of Things. Remote Sensing. 2022; 14(24):6402. https://doi.org/10.3390/rs14246402
Chicago/Turabian StyleYang, Mingchuan, Guanchang Xue, Botao Liu, Yupu Yang, and Yanyong Su. 2022. "Load Estimation Based Dynamic Access Protocol for Satellite Internet of Things" Remote Sensing 14, no. 24: 6402. https://doi.org/10.3390/rs14246402
APA StyleYang, M., Xue, G., Liu, B., Yang, Y., & Su, Y. (2022). Load Estimation Based Dynamic Access Protocol for Satellite Internet of Things. Remote Sensing, 14(24), 6402. https://doi.org/10.3390/rs14246402
