Indirect Assessment of Watershed SDG7 Development Process Using Nighttime Light Data—An Example of the Aral Sea Watershed
Abstract
1. Introduction
2. Materials and Methods
2.1. Study Area
2.2. Data Source and Pre-Processing
2.3. Method
2.3.1. Prediction Models
2.3.2. Nighttime Light Index
2.3.3. Spatialized Basin GDP
2.3.4. Calculation of Basin SDG
2.3.5. Evaluation Metrics
2.3.6. Experiment Design
3. Results
3.1. The Performance of Regression and Machine Learning Models in Different NL Index
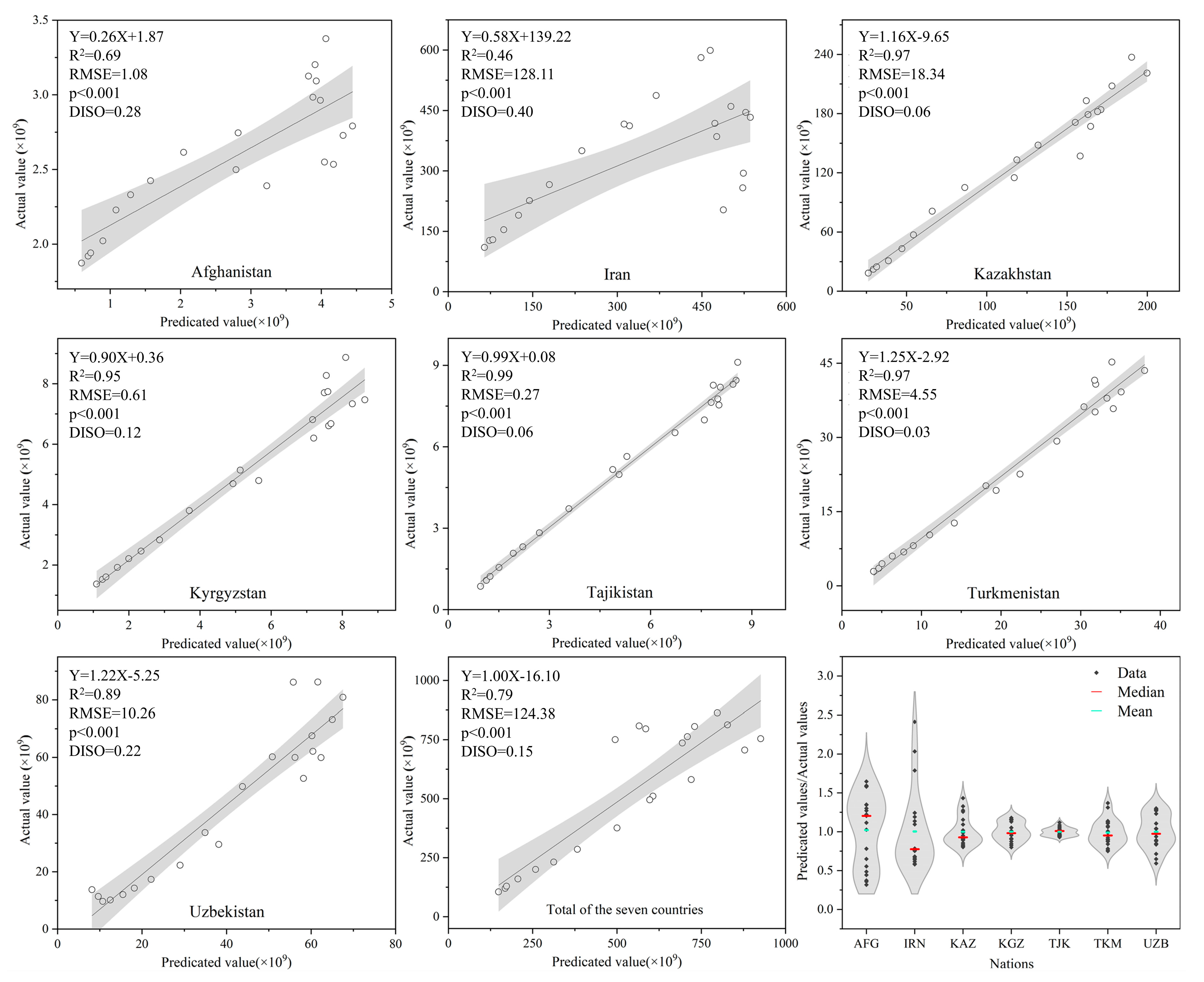
3.2. Spatial Distribution Pattern of GDP in the ASB
3.3. The Process of Changes of SDG7 in the ASB
4. Discussion
4.1. Compare the Performance between Different Lighting Indexes and Machine Learning Algorithms
4.2. Analysis of the Development Trend and Causes of GDP in the ASB
4.3. Attribution Analysis of SDG Changes in the ASB and Suggestions for Measures
4.4. Uncertainty and Prospects
5. Conclusions
Supplementary Materials
Author Contributions
Funding
Data Availability Statement
Acknowledgments
Conflicts of Interest
Appendix A

References
- Schmidt-Traub, G.; Kroll, C.; Teksoz, K.; Durand-Delacre, D.; Sachs, J.D. National baselines for the Sustainable Development Goals assessed in the SDG Index and Dashboards. Nat. Geosci. 2017, 10, 547–555. [Google Scholar] [CrossRef]
- Colglazier, W. Sustainable development agenda: 2030. Science 2015, 349, 1048–1050. [Google Scholar] [CrossRef]
- Iea, I.; Unsd, W. Tracking SDG 7: The Energy Progress Report; The World Bank: Washington, DC, USA, 2020. [Google Scholar]
- Santika, W.G.; Anisuzzaman, M.; Bahri, P.A.; Shafiullah, G.; Rupf, G.V.; Urmee, T. From goals to joules: A quantitative approach of interlinkages between energy and the Sustainable Development Goals. Energy Res. Soc. Sci. 2019, 50, 201–214. [Google Scholar] [CrossRef]
- Xu, Z.; Chau, S.N.; Chen, X.; Zhang, J.; Li, Y.; Dietz, T.; Wang, J.; Winkler, J.A.; Fan, F.; Huang, B. Assessing progress towards sustainable development over space and time. Nature 2020, 577, 74–78. [Google Scholar] [CrossRef]
- Elvidge, C.D.; Baugh, K.E.; Kihn, E.A.; Kroehl, H.W.; Davis, E.R.; Davis, C.W. Relation between satellite observed visible-near infrared emissions, population, economic activity and electric power consumption. Int. J. Remote Sens. 1997, 18, 1373–1379. [Google Scholar] [CrossRef]
- Shi, K.; Yu, B.; Huang, Y.; Hu, Y.; Yin, B.; Chen, Z.; Chen, L.; Wu, J. Evaluating the ability of NPP-VIIRS nighttime light data to estimate the gross domestic product and the electric power consumption of China at multiple scales: A comparison with DMSP-OLS data. Remote Sens. 2014, 6, 1705–1724. [Google Scholar] [CrossRef]
- Ghosh, T.; Elvidge, C.D.; Sutton, P.C.; Baugh, K.E.; Ziskin, D.; Tuttle, B.T. Creating a global grid of distributed fossil fuel CO2 emissions from nighttime satellite imagery. Energies 2010, 3, 1895–1913. [Google Scholar] [CrossRef]
- Li, X.; Xu, H.; Chen, X.; Li, C. Potential of NPP-VIIRS Nighttime Light Imagery for Modeling the Regional Economy of China. Remote Sens. 2013, 5, 3057–3081. [Google Scholar] [CrossRef]
- Gibson, J.; Boe-Gibson, G. Nighttime lights and county-level economic activity in the United States: 2001 to 2019. Remote Sens. 2021, 13, 2741. [Google Scholar] [CrossRef]
- Bluhm, R.; McCord, G.C. What can we learn from nighttime lights for small geographies? measurement errors and heterogeneous elasticities. Remote Sens. 2022, 14, 1190. [Google Scholar] [CrossRef]
- Dong, K.; Li, X.; Cao, H.; Tong, Z. Intercalibration Between Night-Time DMSP/OLS Radiance Calibrated Images and NPP/VIIRS Images Using Stable Pixels. IEEE J. Sel. Top. Appl. Earth Observ. Remote Sens. 2021, 14, 8838–8848. [Google Scholar] [CrossRef]
- Bennett, M.M.; Smith, L.C. Advances in using multitemporal night-time lights satellite imagery to detect, estimate, and monitor socioeconomic dynamics. Remote Sens. Environ. 2017, 192, 176–197. [Google Scholar] [CrossRef]
- Bennie, J.; Davies, T.W.; Duffy, J.P.; Inger, R.; Gaston, K.J. Contrasting trends in light pollution across Europe based on satellite observed night time lights. Sci. Rep. 2014, 4, 3789. [Google Scholar] [CrossRef] [PubMed]
- Levin, N.; Kyba, C.C.M.; Zhang, Q.; de Miguel, A.S.; Roman, M.O.; Li, X.; Portnov, B.A.; Molthan, A.L.; Jechow, A.; Miller, S.D.; et al. Remote sensing of night lights: A review and an outlook for the future. Remote Sens. Environ. 2020, 237, 111443. [Google Scholar] [CrossRef]
- Doll, C.N.H.; Muller, J.P.; Morley, J.G. Mapping regional economic activity from night-time light satellite imagery. Ecol. Econ. 2006, 57, 75–92. [Google Scholar] [CrossRef]
- Ali, S.S.S.; Razman, M.R.; Awang, A. The nexus of population, GDP growth, electricity generation, electricity consumption and carbon emissions output in Malaysia. Int. J. Energy Econ. Policy 2020, 10, 84–89. [Google Scholar] [CrossRef]
- Lozano, S.; Gutierrez, E. Non-parametric frontier approach to modelling the relationships among population, GDP, energy consumption and CO2 emissions. Ecol. Econ. 2008, 66, 687–699. [Google Scholar] [CrossRef]
- Gao, X.; Wu, M.; Gao, J.; Han, L.; Niu, Z.; Chen, F. Modelling Electricity Consumption in Cambodia Based on Remote Sensing Night-Light Images. Appl. Sci. 2022, 12, 3971. [Google Scholar] [CrossRef]
- Chen, Z.; Yu, B.; Yang, C.; Zhou, Y.; Yao, S.; Qian, X.; Wang, C.; Wu, B.; Wu, J. An extended time series (2000–2018) of global NPP-VIIRS-like nighttime light data from a cross-sensor calibration. Earth Syst. Sci. Data 2021, 13, 889–906. [Google Scholar] [CrossRef]
- Porciello, J.; Ivanina, M.; Islam, M.; Einarson, S.; Hirsh, H. Accelerating evidence-informed decision-making for the Sustainable Development Goals using machine learning. Nat. Mach. Intell. 2020, 2, 559–565. [Google Scholar] [CrossRef]
- Hajikhani, A.; Suominen, A. Mapping the sustainable development goals (SDGs) in science, technology and innovation: Application of machine learning in SDG-oriented artefact detection. Scientometrics 2022, 127, 6661–6693. [Google Scholar] [CrossRef]
- Holloway, J.; Mengersen, K. Statistical Machine Learning Methods and Remote Sensing for Sustainable Development Goals: A Review. Remote Sens. 2018, 10, 1365. [Google Scholar] [CrossRef]
- Asadikia, A.; Rajabifard, A.; Kalantari, M. Systematic prioritisation of SDGs: Machine learning approach. World Dev. 2021, 140, 105269. [Google Scholar] [CrossRef]
- Molina-Gomez, N.I.; Diaz-Arevalo, J.L.; Lopez-Jimenez, P.A. Air quality and urban sustainable development: The application of machine learning tools. Int. J. Environ. Sci. Technol. 2021, 18, 1029–1046. [Google Scholar] [CrossRef]
- Canhoto, A.I. Leveraging machine learning in the global fight against money laundering and terrorism financing: An affordances perspective. J. Bus. Res. 2021, 131, 441–452. [Google Scholar] [CrossRef] [PubMed]
- Ferreira, B.; Iten, M.; Silva, R.G. Monitoring sustainable development by means of earth observation data and machine learning: A review. Environ. Sci. Eur. 2020, 32, 120. [Google Scholar] [CrossRef]
- Deliry, S.I.; Avdan, Z.Y.; Do, N.T.; Avdan, U. Assessment of human-induced environmental disaster in the Aral Sea using Landsat satellite images. Environ. Earth Sci. 2020, 79, 471. [Google Scholar] [CrossRef]
- Harriman, L. The future of the Aral Sea lies in transboundary co–operation article reproduced from United Nations Environment Program (Unep) Global Environmental Alert Service (Geas). Environ. Dev. 2014, 10, 120–128. [Google Scholar]
- Lioubimtseva, E. A multi-scale assessment of human vulnerability to climate change in the Aral Sea Basin. Environ. Earth Sci. 2015, 73, 719–729. [Google Scholar] [CrossRef]
- Nezlin, N.P.; Kostianoy, A.G.; Li, B.L. Inter-annual variability and interaction of remote-sensed vegetation index and atmospheric precipitation in the Aral Sea region. J. Arid Environ. 2005, 62, 677–700. [Google Scholar] [CrossRef]
- Tatem, A.J. WorldPop, open data for spatial demography. Sci. Data 2017, 4, 1–4. [Google Scholar] [CrossRef] [PubMed]
- Stevens, F.R.; Gaughan, A.E.; Linard, C.; Tatem, A.J. Disaggregating census data for population mapping using random forests with remotely-sensed and ancillary data. PLoS ONE 2015, 10, e0107042. [Google Scholar] [CrossRef] [PubMed]
- Wang, S.; Hu, M.; Wang, Y.; Xia, B. Dynamics of ecosystem services in response to urbanization across temporal and spatial scales in a mega metropolitan area. Sust. Cities Soc. 2022, 77, 103561. [Google Scholar] [CrossRef]
- Aiken, L.S.; West, S.G.; Pitts, S.C. Multiple Linear Regression. Handbook of Psychology. 2003, pp. 481–507. Available online: https://onlinelibrary.wiley.com/doi/10.1002/0471264385.wei0219 (accessed on 20 September 2022).
- Tranmer, M.; Elliot, M. Multiple linear regression. Cathie Marsh Cent. Census Surv. Res. (CCSR) 2008, 5, 1–5. [Google Scholar]
- Uyanık, G.K.; Güler, N. A study on multiple linear regression analysis. Procedia Soc. Behav. Sci. 2013, 106, 234–240. [Google Scholar] [CrossRef]
- Liu, Y.; Wang, S.; Wang, X.; Chen, B.; Chen, J.; Wang, J.; Huang, M.; Wang, Z.; Ma, L.; Wang, P. Exploring the superiority of solar-induced chlorophyll fluorescence data in predicting wheat yield using machine learning and deep learning methods. Comput. Electron. Agric. 2022, 192, 106612. [Google Scholar] [CrossRef]
- McDonald, G.C. Ridge regression. Wiley Interdiscip. Rev. Comput. Stat. 2009, 1, 93–100. [Google Scholar] [CrossRef]
- Breiman, L. Random forests. Mach. Learn. 2001, 45, 5–32. [Google Scholar] [CrossRef]
- Jones, Z.; Linder, F. Exploratory data analysis using random forests. In Proceedings of the 73rd Annual MPSA Conference, Chicago, IL, USA, 16–19 April 2015. [Google Scholar]
- Shen, M.; Duan, H.; Cao, Z.; Xue, K.; Qi, T.; Ma, J.; Liu, D.; Song, K.; Huang, C.; Song, X. Sentinel-3 OLCI observations of water clarity in large lakes in eastern China: Implications for SDG 6.3. 2 evaluation. Remote Sens. Environ. 2020, 247, 111950. [Google Scholar] [CrossRef]
- Smola, A.J.; Scholkopf, B. A tutorial on support vector regression. Stat. Comput. 2004, 14, 199–222. [Google Scholar] [CrossRef]
- Awad, M.; Khanna, R. Support Vector Regression. In Efficient Learning Machines, 1st ed.; Spahr, W., Ed.; Springer: New York, NY, USA, 2015; pp. 67–80. [Google Scholar]
- Gunn, S.R. Support vector machines for classification and regression. ISIS Tech. Rep. 1998, 14, 5–16. [Google Scholar]
- Cao, J.; Wang, H.; Li, J.; Tian, Q.; Niyogi, D. Improving the Forecasting of Winter Wheat Yields in Northern China with Machine Learning-Dynamical Hybrid Subseasonal-to-Seasonal Ensemble Prediction. Remote Sens. 2022, 14, 1707. [Google Scholar] [CrossRef]
- Chen, T.; Guestrin, C. Xgboost: A scalable tree boosting system. In Proceedings of the Proceedings of the 22nd ACM Sigkdd International Conference on Knowledge Discovery and Data Mining, New York, NY, USA, 13–17 August 2016. [Google Scholar]
- Chen, J.; Zhuo, L.; Shi, P.-J.; Toshiaki, I. The study on urbanization process in China based on DMSP/OLS data: Development of a light index for urbanization level estimation. J. Remote Sens. 2003, 7, 168–175. [Google Scholar]
- Zhuo, L.; Shi, P.; Chen, J. Application of compound night light index derived from DMSP/OLS data to urbanization analysis in China in the 1990s. Acta Geogr. Sin. 2003, 58, 893–902. [Google Scholar]
- Sachs, J.; Schmidt-Traub, G.; Kroll, C.; Lafortune, G.; Fuller, G.; Woelm, F. The sustainable development goals and COVID-19. Sustain. Dev. Rep. 2020, 2020, 510–511. [Google Scholar] [CrossRef]
- Hu, Z.; Chen, X.; Zhou, Q.; Chen, D.; Li, J. DISO: A rethink of Taylor diagram. Int. J. Climatol. 2019, 39, 2825–2832. [Google Scholar] [CrossRef]
- Zhou, Q.; Chen, D.; Hu, Z.; Chen, X. Decompositions of Taylor diagram and DISO performance criteria. Int. J. Climatol. 2021, 41, 5726–5732. [Google Scholar] [CrossRef]
- Liang Chen, C.; Chen, X.; Qian, J.; Hu, Z.; Liu, J.; Xing, X.; Yimamaidi, D.; Zhakan, Z.; Sun, J.; Wei, S. Spatiotemporal changes, trade-offs, and synergistic relationships in ecosystem services provided by the Aral Sea Basin. PeerJ 2021, 9, e12623. [Google Scholar]
- Zhao, M.; Cheng, W.; Zhou, C.; Li, M.; Wang, N.; Liu, Q. GDP spatialization and economic differences in South China based on NPP-VIIRS nighttime light imagery. Remote Sens. 2017, 9, 673. [Google Scholar] [CrossRef]
- Richardson, A.; Mulder, T. Nowcasting New Zealand GDP Using Machine Learning Algorithms. Available online: https://papers.ssrn.com/sol3/papers.cfm?abstract_id=3256578 (accessed on 28 September 2018).
- Yoon, J. Forecasting of real GDP growth using machine learning models: Gradient boosting and random forest approach. Comput. Econ. 2021, 57, 247–265. [Google Scholar] [CrossRef]
- Richardson, A.; van Florenstein Mulder, T.; Vehbi, T. Nowcasting GDP using machine-learning algorithms: A real-time assessment. Int. J. Forecast. 2021, 37, 941–948. [Google Scholar] [CrossRef]
- Alaminos, D.; Salas, M.B.; Fernández-Gámez, M.A. Quantum computing and deep learning methods for GDP growth forecasting. Comput. Econ. 2022, 59, 803–829. [Google Scholar] [CrossRef]
- Zhang, X.; Liu, H.; Chen, H. Changes of vegetation and its forces driving in the Aral Sea Basin of Central Asia. E3S Web Conf. 2021, 269, 01013. [Google Scholar] [CrossRef]
- Rakhmatullaev, S.; Huneau, F.; Kazbekov, J.; Le Coustumer, P.; Jumanov, J.; El Oifi, B.; Motelica-Heino, M.; Hrkal, Z. Groundwater resources use and management in the Amu Darya river basin (Central Asia). Environ. Earth Sci. 2010, 59, 1183–1193. [Google Scholar] [CrossRef]
- Martius, C.; Froebrich, J.; Nuppenau, E.-A. Water Resource Management for Improving Environmental Security and Rural Livelihoods in the Irrigated Amu Darya Lowlands. In Facing Global Environmental Change, 1st ed.; Brauch, H.G., Grin, J., Eds.; Springer: Berlin/Heidelberg, Germany, 2009; pp. 749–761. [Google Scholar]
- Wang, Z.; Huang, Y.; Liu, T.; Zan, C.; Ling, Y.; Guo, C. Analysis of the Water Demand-Supply Gap and Scarcity Index in Lower Amu Darya River Basin, Central Asia. Int. J. Environ. Res. Public. Health 2022, 19, 743. [Google Scholar] [CrossRef] [PubMed]
- Rusydiana, A.S.; Laila, N. Energy efficiency in OIC countries: SDG 7 output. Int. J. Energy Econ. Policy 2021, 11, 74–81. [Google Scholar] [CrossRef]
- UN ESCAP. Information Brief: Energy Prospective in North and Central Asia. Available online: https://hdl.handle.net/20.500.12870/4144 (accessed on 20 October 2015).
- Shadrina, E. Non-hydropower renewable energy in central Asia: Assessment of deployment status and analysis of underlying factors. Energies 2020, 13, 2963. [Google Scholar] [CrossRef]
- Nabiyeva, K. Renewable Energy and Energy Efficiency in Central Asia: Prospects for German Engagement. Available online: https://ec.europa.eu/info/sites/default/files/aiymgul_kerimray.pdf (accessed on 31 May 2015).
- Kaliakparova, G.S.; Gridneva, Y.E.; Assanova, S.S. International economic cooperation of Central Asian countries on energy efficiency and use of renewable energy sources. Int. J. Energy Econ. Policy 2020, 10, 539–545. [Google Scholar] [CrossRef]
- Hamidov, A.; Daedlow, K.; Webber, H.; Hussein, H.; Abdurahmanov, I.; Dolidudko, A.; Seerat, A.Y.; Solieva, U.; Woldeyohanes, T.; Helming, K. Operationalizing water-energy-food nexus research for sustainable development in social-ecological systems: An interdisciplinary learning case in Central Asia. Ecol. Soc. 2022, 27. Available online: https://www.researchgate.net/publication/358410567 (accessed on 20 September 2022). [CrossRef]
- Palicka, O. Central Asia: Conflict Potential in the Amu Darya & Syr Darya River Basins. Available online: https://www.internationalaffairshouse.org/central-asia-conflict-potential-in-the-amu-darya-syr-darya-river-basins/ (accessed on 17 February 2021).
- Abdulloev, A. Water, Energy, and Food Nexus in the Amu-Darya River Basin: Analysis of Water Demand and Supply Management Infrastructure Development at Transboundary Level. Master’s Thesis, Oregon State University, Corvallis, OR, USA, 2020. [Google Scholar]
- Bara, S.; Rigueiro, L.; Lima, R.C. Monitoring transition: Expected night sky brightness trends in different photometric bands. J. Quant. Spectrosc. Radiat. Transf. 2019, 239, 106644. [Google Scholar] [CrossRef]
- Miguel, A.S.D.; Bennie, J.; Rosenfeld, E.; Dzurjak, S.; Gaston, K.J. Environmental risks from artificial nighttime lighting widespread and increasing across Europe. Sci Adv. 2022, 8, eabl6891. [Google Scholar] [CrossRef]
- Elvidge, C.D.; Baugh, K.; Ghosh, T.; Zhizhin, M.; Hsu, F.C.; Sparks, T.; Bazilian, M.; Sutton, P.C.; Houngbedji, K.; Goldblatt, R. Fifty years of nightly global low-light imaging satellite observations. Front. Remote Sens. 2022, 79, 919937. [Google Scholar] [CrossRef]
- Xu, Z.; Peng, J.; Qiu, S.; Liu, Y.; Dong, J.; Zhang, H. Responses of spatial relationships between ecosystem services and the Sustainable Development Goals to urbanization. Sci. Total Environ. 2022, 850, 157868. [Google Scholar] [CrossRef]
- Yang, Z.; Zhan, J.; Wang, C.; Twumasi-Ankrah, M.J. Coupling coordination analysis and spatiotemporal heterogeneity between sustainable development and ecosystem services in Shanxi Province, China. Sci. Total Environ. 2022, 836, 155625. [Google Scholar] [CrossRef]







| Layer Name | Data Source | Access Date | Resolution | Period | Formats |
|---|---|---|---|---|---|
| Population | https://www.worldpop.org/ | accessed on 30 October 2021 | 1000 m | 2000–2020 | Raster |
| NL | https://doi.org/10.7910/DVN/YGIVCD | accessed on 1 January 2022 | 500 m | 2000–2020 | Raster |
| GDP | https://data.worldbank.org.cn/ | accessed on 1 November 2021 | - | 2000–2020 | Numbers |
| Statistic | https://unstats.un.org/sdgs/dataportal/database | accessed on 1 January 2022 | - | 2000–2020 | Numbers |
Publisher’s Note: MDPI stays neutral with regard to jurisdictional claims in published maps and institutional affiliations. |
© 2022 by the authors. Licensee MDPI, Basel, Switzerland. This article is an open access article distributed under the terms and conditions of the Creative Commons Attribution (CC BY) license (https://creativecommons.org/licenses/by/4.0/).
Share and Cite
Chen, C.; Sun, J.; Qian, J.; Chen, X.; Hu, Z.; Jia, G.; Xing, X.; Wei, S. Indirect Assessment of Watershed SDG7 Development Process Using Nighttime Light Data—An Example of the Aral Sea Watershed. Remote Sens. 2022, 14, 6131. https://doi.org/10.3390/rs14236131
Chen C, Sun J, Qian J, Chen X, Hu Z, Jia G, Xing X, Wei S. Indirect Assessment of Watershed SDG7 Development Process Using Nighttime Light Data—An Example of the Aral Sea Watershed. Remote Sensing. 2022; 14(23):6131. https://doi.org/10.3390/rs14236131
Chicago/Turabian StyleChen, Chaoliang, Jiayu Sun, Jing Qian, Xi Chen, Zengyun Hu, Gongxu Jia, Xiuwei Xing, and Shujie Wei. 2022. "Indirect Assessment of Watershed SDG7 Development Process Using Nighttime Light Data—An Example of the Aral Sea Watershed" Remote Sensing 14, no. 23: 6131. https://doi.org/10.3390/rs14236131
APA StyleChen, C., Sun, J., Qian, J., Chen, X., Hu, Z., Jia, G., Xing, X., & Wei, S. (2022). Indirect Assessment of Watershed SDG7 Development Process Using Nighttime Light Data—An Example of the Aral Sea Watershed. Remote Sensing, 14(23), 6131. https://doi.org/10.3390/rs14236131

