A Comparison of Information Content at Microwave to Millimeter Wave Bands for Atmospheric Sounding
Abstract
1. Introduction
2. Radiative Transfer Model and Profile Dataset
2.1. Radiative Transfer Model
2.2. NWP Profile Dataset
3. Channel Jacobian Analysis
4. Information Content Calculation
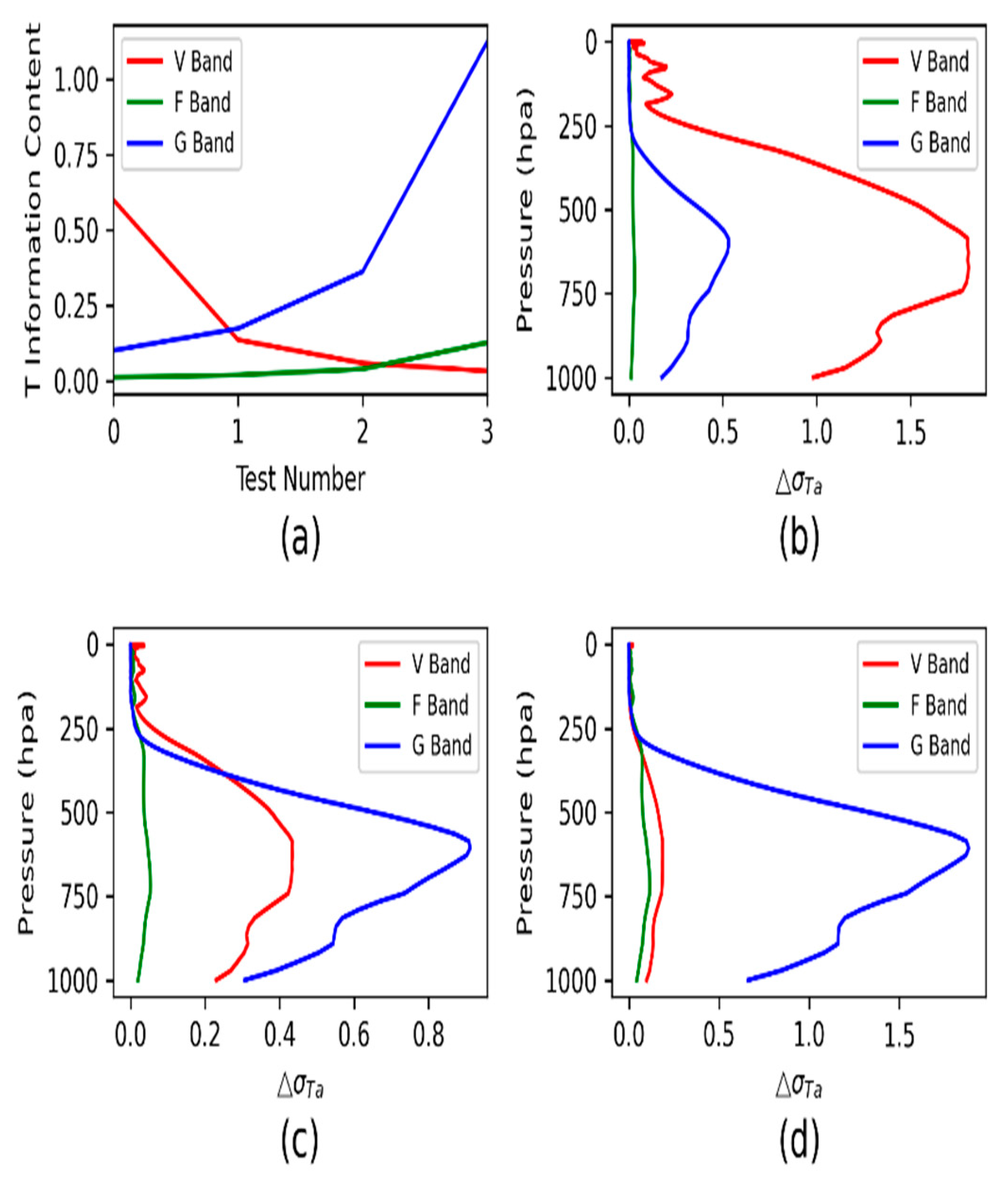
5. Information Content Analysis
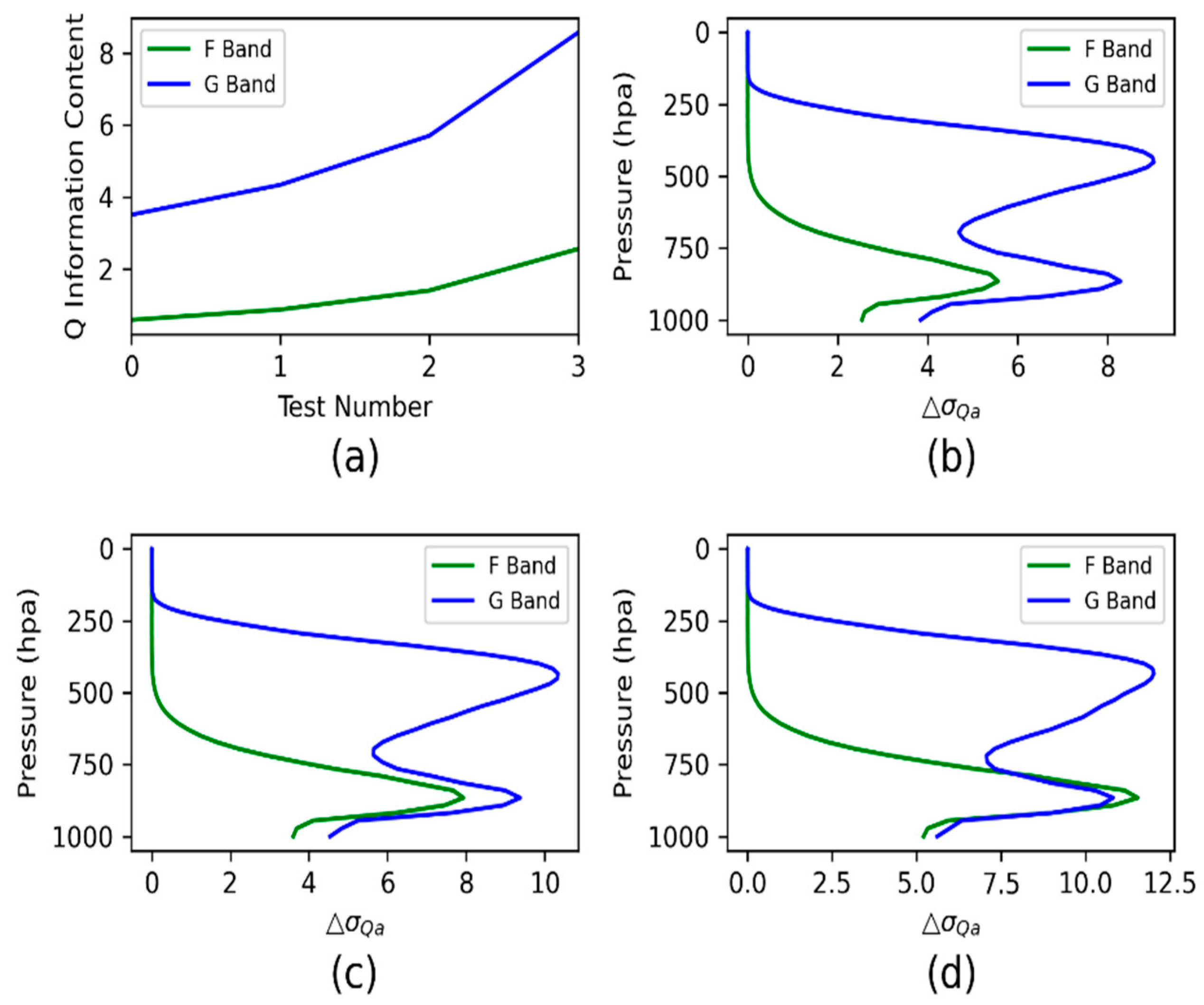
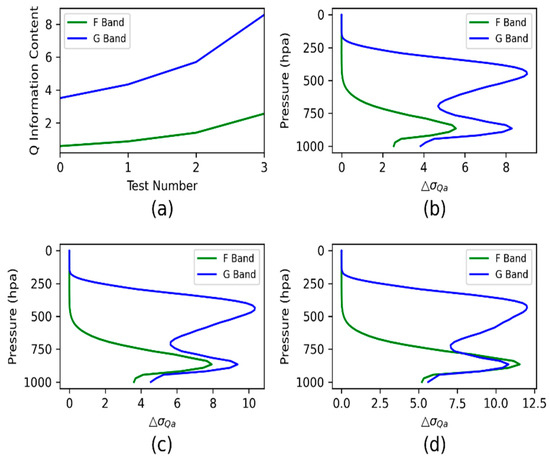
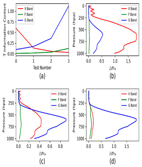
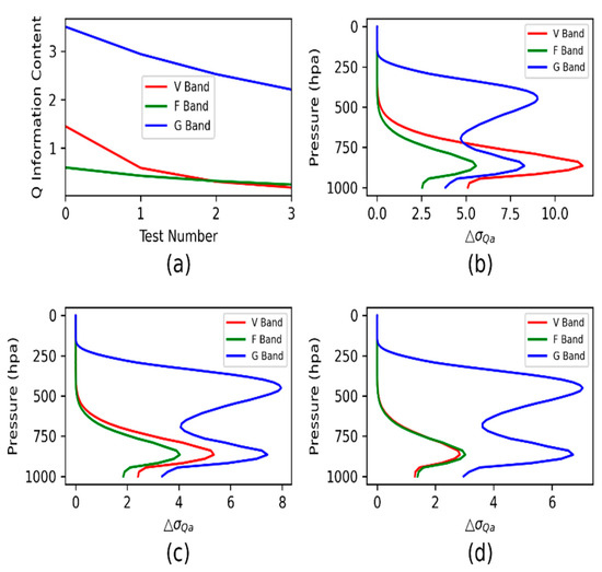
5.1. Information Content Contribution of 118 GHz
5.2. Information Content Analysis for Millimeter Wave Bands
5.3. Impacts of the Observation Errors on the Information Content
6. Summary and Conclusions
Author Contributions
Funding
Data Availability Statement
Acknowledgments
Conflicts of Interest
References
- Yan, B.H.; Weng, F.Z. Intercalibration between special sensor microwave imager/sounder and special sensor microwave imager. IEEE Trans. Geosci. Remote Sens. 2008, 46, 984–995. [Google Scholar]
- Parkinson, C.L. Aqua: An Earth-observing satellite mission to examine water and other climate variables. IEEE Trans. Geosci. Remote Sens. 2003, 41, 173–183. [Google Scholar] [CrossRef]
- Saunders, R.W.; English, S.J.; Jones, D.C. AMSU-B: A new tool for atmospheric research. In Proceedings Volume 2313, Microwave Instrumentation and Satellite Photogrammetry for Remote Sensing of the Earth; SPIE: Bellingham, WA, USA, 1994. [Google Scholar] [CrossRef]
- Carminati, F.; Atkinson, N.; Candy, B.; Lu, Q.F. Insights into the microwave instruments onboard the Fengyun 3D satellite: Data quality and assimilation in the Met Office NWP system. Adv. Atmos. Sci. 2021, 38, 1379–1396. [Google Scholar] [CrossRef]
- Bormann, N.; Duncan, D.; English, S.; Healy, S.; Lonitz, K.; Chen, K.; Lawrence, H.; Lu, Q. Growing operational use of FY-3 data in the ECMWF system. Adv. Atmos. Sci. 2021, 38, 1285. [Google Scholar] [CrossRef]
- Zhang, P.; Yang, J.; Wang, J.; Yu, X. Preface to the special issue on Fengyun Meteorological Satellites: Data, application and assessment. Adv. Atmos. Sci. 2021, 38, 1265. [Google Scholar] [CrossRef]
- Carminati, F.; Migliorini, S. All-sky data assimilation of MWTS-2 and MWHS-2 in the Met Office Global NWP System. Adv. Atmos. Sci. 2021, 38, 1682. [Google Scholar] [CrossRef]
- Zhang, P.; Lu, Q.; Hu, X.; Gu, S.; Yang, L.; Min, M.; Chen, L.; Xu, N.; Sun, L.; Bai, W.; et al. Latest progress of the Chinese Meteorological Satellite Program and core data processing technologies. Adv. Atmos. Sci. 2019, 36, 1027–1045. [Google Scholar] [CrossRef]
- Li, J.; Liu, G.Q. Direct assimilation of Chinese FY-3C microwave temperature sounder-2 radiances in the global GRAPES system. Atmos. Meas. Tech. 2016, 9, 3095–3113. [Google Scholar] [CrossRef]
- Lu, Q.F.; Lawrence, H.; Bormann, N.; English, S.; Lean, K.; Atkinson, N.; Bell, W.; Carminati, F. An Evaluation of FY-3C Satellite Data Quality at ECMWF and the Met Office, European Centre for Medium-Range Weather Forecasts. 2015. Available online: https://www.ecmwf.int/sites/default/files/elibrary/2015/14692-evaluation-fy-3c-satellite-data-quality-ecmwf-and-met-office.pdf (accessed on 1 September 2022).
- Lindskog, M.; Dybbroe, A.; Randriamampianina, R. Use of microwave radiances from Metop-C and Fengyun-3 C/D satellites for a northern European limited-area data assimilation system. Adv. Atmos. Sci. 2021, 38, 1415. [Google Scholar] [CrossRef]
- Xiao, H.Y.; Han, W.; Wang, H.; Wang, J.; Liu, G.; Xu, C. Impact of FY-3D MWRI radiance assimilation in GRAPES 4DVar on forecasts of Typhoon Shanshan. J. Meteor. Res. 2020, 34, 836–850. [Google Scholar] [CrossRef]
- Maddy, E.S.; Bunin, S.; Mikles, V.J.; Shahroudi, N.; Shiotani, B.; Boukabara, S.-A. Temperature and Moisture Sounding Performance of Current and Prospective Microwave Instruments under All-Sky Conditions. Remote Sens. 2022, 14, 1624. [Google Scholar] [CrossRef]
- Collard, A.D. Selection of IASI channels for use in numerical weather prediction. Q. J. R. Meteorol. Soc. 2007, 133, 1977–1991. [Google Scholar] [CrossRef]
- Rabier, F.; Fourrié, N.; Chafäi, D.; Prunet, P. Channel selection methods for Infrared Atmospheric Sounding Interferometer radiances. Q. J. R. Meteorol. Soc. 2002, 128, 1011–1027. [Google Scholar] [CrossRef]
- Mahfouf, J.-F.; Birman, C.; Aires, F.; Prigent, C.; Orlandi, E.; Milz, M. Information content on temperature and water vapour from a hyper-spectral microwave sensor. Q. J. R. Meteorol. Soc. 2015, 141, 3268–3284. [Google Scholar] [CrossRef]
- Michele, S.D.; Bauer, P. Passive microwave radiometer channel selection based on cloud and precipitation information content. Q. J. R. Meteorol. Soc. 2006, 132, 1299–1323. [Google Scholar] [CrossRef]
- Sahoo, X.; Bosch-Lluis, S.; Reising, S.C.; Vivekanandan, J. Radiometric Information Content for Water Vapor and Temperature Profiling in Clear Skies Between 10 and 200 GHz. IEEE J. Sel. Top. Appl. Earth Obs. Remote Sens. 2015, 8, 859–871. [Google Scholar] [CrossRef]
- Jde Torrella, M.G.; Camps, A. On the Amount of Information Content in Microwave Radiometry for Wet Delay Estimation. IEEE J. Sel. Top. Appl. Earth Obs. Remote Sens. 2017, 10, 3107–3113. [Google Scholar] [CrossRef][Green Version]
- Weng, F.; Liu, Q. Satellite data assimilation in numerical weather prediction models. part I: Forward radiative transfer and Jacobian modeling in cloudy atmospheres. J. Atmos. Sci. 2003, 60, 2633–2646. [Google Scholar] [CrossRef]
- Weng, F.Z. Advances in radiative transfer modeling in support of satellite data assimilation. J. Atmos. Sci. 2007, 64, 3799–3807. [Google Scholar] [CrossRef]
- Spurr, R.J.D.; Kurosu, T.P.; Chance, K.V. A linearized discrete ordinate radiative transfer model for atmospheric remote-sensing retrieval. J. Quant. Spectrosc. Radiat. Transf. 2001, 68, 689–735. [Google Scholar] [CrossRef]
- Saunders, R.; Matricardi, M.; Brunel, P. An improved fast radiative transfer model for assimilation of satellite radiance observations. Q. J. R. Meteorol. Soc. 1999, 125, 1407–1425. [Google Scholar] [CrossRef]
- Saunders, R.; Hocking, J.; Turner, E.; Rayer, P.; Rundle, D.; Brunel, P.; Vidot, J.; Roquet, P.; Matricardi, M.; Geer, A.; et al. An update on the RTTOV fast radiative transfer model (currently at version 12). Geosci. Model Dev. 2018, 11, 2717–2737. [Google Scholar] [CrossRef]
- Weng, F.; Yu, X.; Duan, Y.; Yang, J.; Wang, J. Advanced Radiative transfer Modeling System (ARMS): A new-generation satellite observation operator developed for numerical weather prediction and remote sensing applications. Adv. Atmos. Sci. 2020, 37, 131–136. [Google Scholar] [CrossRef]
- Yang, J.; Ding, S.; Dong, P.; Bi, L.; Yi, B. Advanced Radiative transfer Modeling System developed for satellitedata assimilation and remote sensing applications. J. Quant. Spectrosc. Radiat. Transf. 2020, 251, 107043. [Google Scholar] [CrossRef]
- Shi, Y.N.; Yang, J.; Weng, F. Discrete Ordinate Adding Method (DOAM), a new solver for Advanced Radiative transfer Modeling System (ARMS). Opt. Express 2021, 29, 4700–4720. [Google Scholar] [CrossRef] [PubMed]
- Eresmaa, R.; Mcnally, A.P. Diverse profile datasets from the ECMWF 137-level short-range forecasts. NWP SAF NWPSAF-ECTR-017 2014, 10, 4476–8963. [Google Scholar]
- Chevallier, F.; Di Michele, S.; Mcnally, A.P. Diverse Profile Datasets from the ECMWF 91-Level Short-Range Forecasts; European Centre for Medium-Range Weather Forecasts: Reading, UK, 2006. [Google Scholar]
- Weng, F.; Zou, X.; Wang, X.; Yang, S.; Goldberg, M.D. Introduction to Suomi national polar-orbiting partnership advanced technology microwave sounder for numerical weather prediction and tropical cyclone applications. J. Geophys. Res. 2012, 117, D19112. [Google Scholar] [CrossRef]
- Moradi, I.; Goldberg, M.; Brath, M.; Ferraro, R.; Buehler, S.A.; Saunders, R.; Sun, N. Performance of radiative transfer models in the microwave region. J. Geophys. Res. Atmos. 2020, 125, e2019JD031831. [Google Scholar] [CrossRef]












| Band | Number | Center Frequency (GHz) | Bandwidth (MHz) | Polarization | Sensitivity (K) | NEDT (K) | RTM Error (K) | Peak Height (hPa) | Sensitive Variable |
|---|---|---|---|---|---|---|---|---|---|
| K/Ka | 1 | 23.8 | 270 | V | 0.5 | 0.25 | 2.0 | 1085.46 | Window |
| 2 | 23.8 | 270 | H | 0.5 | 0.25 | 2.0 | 1085.46 | Window | |
| 3 | 31.4 | 180 | V | 0.5 | 0.3 | 2.0 | 1085.46 | Window | |
| 4 | 31.4 | 180 | H | 0.5 | 0.3 | 2.0 | 1085.46 | window | |
| V | 5 | 50.3 | 180 | V | 0.5 | 0.4 | 0.1 | 1085.46 | T |
| 6 | 50.3 | 180 | H | 0.5 | 0.4 | 0.1 | 1085.46 | T | |
| 7 | 51.76 | 400 | H | 0.5 | 0.3 | 0.1 | 1085.46 | T | |
| 8 | 52.8 | 400 | H | 0.5 | 0.25 | 0.1 | 972.329 | T | |
| 9 | 53.246 ± 0.080 | 2 × 140 | H | 0.5 | 0.4 | 0.1 | 814.871 | T | |
| 10 | 53.596 ± 0.115 | 2 × 170 | H | 0.5 | 0.25 | 0.1 | 672.43 | T | |
| 11 | 53.948 ± 0.081 | 2 × 142 | H | 0.5 | 0.4 | 0.1 | 525.476 | T | |
| 12 | 54.4 | 400 | H | 0.5 | 0.25 | 0.1 | 382.808 | T | |
| 13 | 54.94 | 400 | H | 0.5 | 0.25 | 0.1 | 266.444 | T | |
| 14 | 55.5 | 330 | H | 0.5 | 0.25 | 0.1 | 175.048 | T | |
| 15 | 57.290344 (f0) | 330 | H | 1 | 0.25 | 0.1 | 86.3757 | T | |
| 16 | f0 ± 0.217 | 2 × 78 | H | 1 | 0.4 | 0.1 | 49.358 | T | |
| 17 | f0 ± 0.322 ± 0.048 | 4 × 36 | H | 1 | 0.6 | 0.1 | 30.6977 | T | |
| 18 | f0 ± 0.322 ± 0.022 | 4 × 16 | H | 1.5 | 0.6 | 0.1 | 15.4439 | T | |
| 19 | f0 ± 0.322 ± 0.010 | 4 × 8 | H | 1.5 | 0.8 | 0.1 | 6.4172 | T | |
| 20 | f0 ± 0.322 ± 0.0045 | 4 × 3 | H | 2.5 | 1.2 | 0.1 | 3.0204 | T | |
| W | 21 | 89 | 3000 | V | 0.5 | 0.2 | 2.0 | 1085.46 | window |
| F | 22 | 118.75 ± 0.08 | 2 × 20 | H | 2.5 | 2.0 | 1.5 | 30.6977 | T |
| 23 | 118.75 ± 0.2 | 2 × 100 | H | 1.5 | 0.7 | 1.5 | 68.8325 | T | |
| 24 | 118.75 ± 0.3 | 2 × 165 | H | 1 | 0.7 | 1.5 | 92.8171 | T | |
| 25 | 118.75 ± 0.8 | 2 × 200 | H | 1 | 0.7 | 1.5 | 241.321 | T | |
| 26 | 118.75 ± 1.1 | 2 × 200 | H | 1 | 0.7 | 1.5 | 399.183 | T | |
| 27 | 118.75 ± 2.5 | 2 × 200 | H | 1 | 0.5 | 1.5 | 972.329 | T | |
| 28 | 118.75 ± 3.0 | 2 × 1000 | H | 1 | 0.5 | 1.5 | 1000.01 | T | |
| 29 | 118.75 ± 5.0 | 2 × 2000 | H | 1 | 0.5 | 1.5 | 1028.09 | T | |
| G | 30 | 165.5 ± 0.725 | 2 × 1350 | V | 1 | 0.5 | 2.0 | 814.871 | window |
| 31 | 183.31 ± 11 | 2 × 2000 | H | 0.5 | 0.4 | 1.5 | 790.081 | Q | |
| 32 | 183.31 ± 7.0 | 2 × 2000 | H | 0.5 | 0.4 | 1.5 | 741.757 | Q | |
| 33 | 183.31 ± 4.5 | 2 × 2000 | H | 0.5 | 0.5 | 1.5 | 672.43 | Q | |
| 34 | 183.31 ± 3.0 | 2 × 1000 | H | 1 | 0.5 | 1.5 | 525.476 | Q | |
| 35 | 183.31 ± 1.8 | 2 × 1000 | H | 1 | 0.6 | 1.5 | 450.797 | Q | |
| 36 | 183.31 ± 1.0 | 2 × 500 | H | 1 | 0.7 | 1.5 | 399.183 | Q | |
| J | 37 | 229 | 2000 | V | 1 | 0.7 | 2.0 | 814.8 + C86:C9571 | Window |
| Y1 | 38 | 380.197 ± 18.0 | 2 × 2000 | H | 1 | 1.2 | 1.5 | 565.346 | T/Q |
| 39 | 380.197 ± 9.0 | 2 × 2000 | H | 1 | 1.2 | 1.5 | 487.295 | T/Q | |
| 40 | 380.197 ± 1.5 | 2 × 500 | H | 2 | 1.2 | 1.5 | 307.068 | T/Q | |
| 41 | 380.197 ± 0.4 | 2 × 200 | H | 2.5 | 1.2 | 1.5 | 266.444 | T/Q | |
| Y2 | 42 | 424.763 ± 4.0 | 2 × 1000 | H | 1 | 1.2 | 1.5 | 545.199 | T |
| 43 | 424.763 ± 1.5 | 2 × 600 | H | 1.5 | 1.2 | 1.5 | 450.797 | T | |
| 44 | 424.763 ± 1.0 | 2 × 400 | H | 2 | 1.2 | 1.5 | 185.169 | T | |
| 45 | 424.763 ± 0.6 | 2 × 200 | H | 2.5 | 1.2 | 1.5 | 106.627 | T | |
| 46 | 424.763 ± 0.3 | 2 × 100 | H | 3 | 1.2 | 1.5 | 63.5574 | T |
Publisher’s Note: MDPI stays neutral with regard to jurisdictional claims in published maps and institutional affiliations. |
© 2022 by the authors. Licensee MDPI, Basel, Switzerland. This article is an open access article distributed under the terms and conditions of the Creative Commons Attribution (CC BY) license (https://creativecommons.org/licenses/by/4.0/).
Share and Cite
Xiao, X.; Weng, F. A Comparison of Information Content at Microwave to Millimeter Wave Bands for Atmospheric Sounding. Remote Sens. 2022, 14, 6124. https://doi.org/10.3390/rs14236124
Xiao X, Weng F. A Comparison of Information Content at Microwave to Millimeter Wave Bands for Atmospheric Sounding. Remote Sensing. 2022; 14(23):6124. https://doi.org/10.3390/rs14236124
Chicago/Turabian StyleXiao, Xianjun, and Fuzhong Weng. 2022. "A Comparison of Information Content at Microwave to Millimeter Wave Bands for Atmospheric Sounding" Remote Sensing 14, no. 23: 6124. https://doi.org/10.3390/rs14236124
APA StyleXiao, X., & Weng, F. (2022). A Comparison of Information Content at Microwave to Millimeter Wave Bands for Atmospheric Sounding. Remote Sensing, 14(23), 6124. https://doi.org/10.3390/rs14236124
