Integrating Real Tree Skeleton Reconstruction Based on Partial Computational Virtual Measurement (CVM) with Actual Forest Scenario Rendering: A Solid Step Forward for the Realization of the Digital Twins of Trees and Forests
Abstract
1. Introduction
1.1. Form Tree Models to Digital Twin of Forests
1.2. A Step Forward for the Realization of the Digital Twin of Trees
2. Material and Methods
2.1. Study Area and Field Measurements
2.2. Data Preprocessing
2.2.1. Conventional Data Preprocessing
2.2.2. Amelioration of the Quality of the Wood Points with Gap Filling
2.3. Analysis of Physical Scenario of Diameter Tapes
2.4. Design of Physical Scenario of Virtual Diameter Tape (VDT)
2.5. VDT Implementation
| Algorithm 1: VDT measurement process |
| while (termination_condiation is false) |
| VDT_Move(direction) |
| SaveFootprint(); |
| if CollisionDetected(); |
| direction.new(random); |
| end |
| end |
| End |
2.6. Retrieval of DBH from Raw VDT Measurement Outcome
2.7. 3D Tree Skeleton Reconstruction and Actual Forest Scenario Rendering
2.8. Reference Methods
3. Results and Discussion
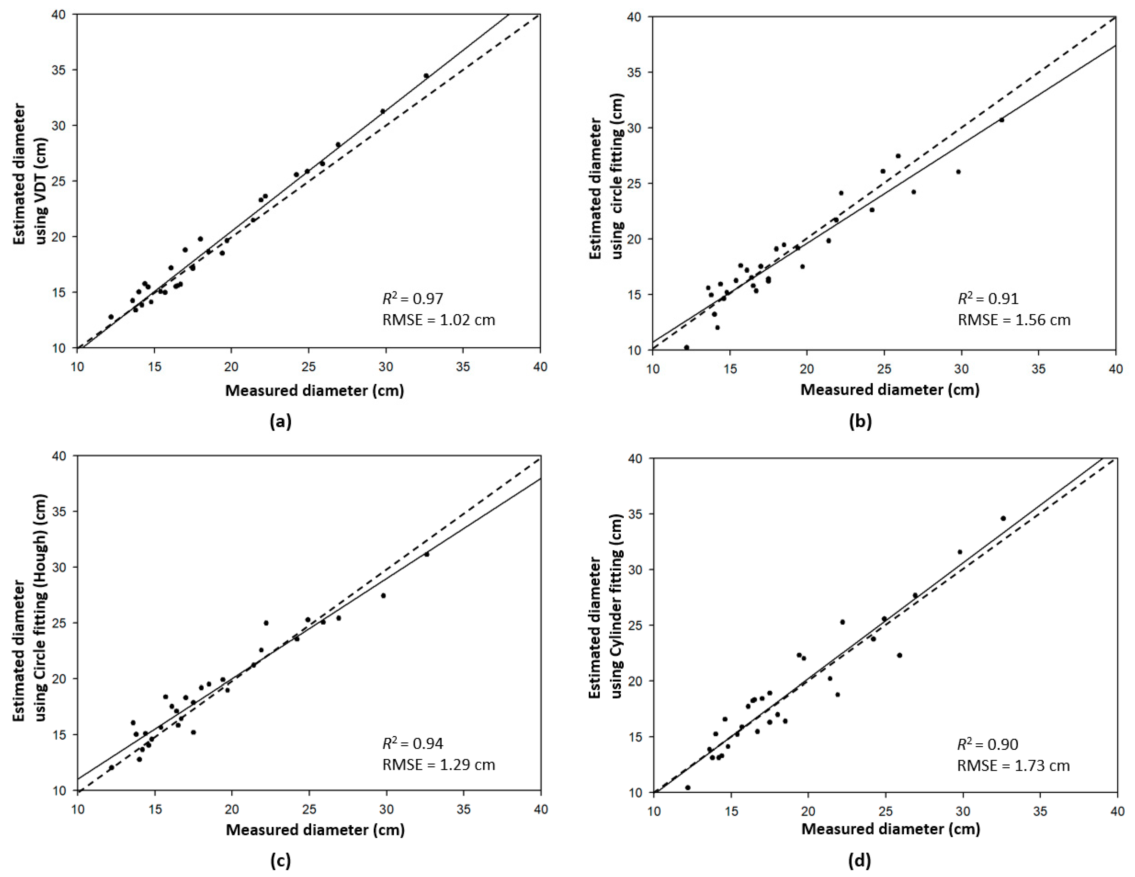
3.1. VDT Measurements on Ideal Point Clouds
3.2. VDT Measurements on Point Clouds of Medium Completeness
3.3. VDT Measurements on Point Clouds of Low Completeness
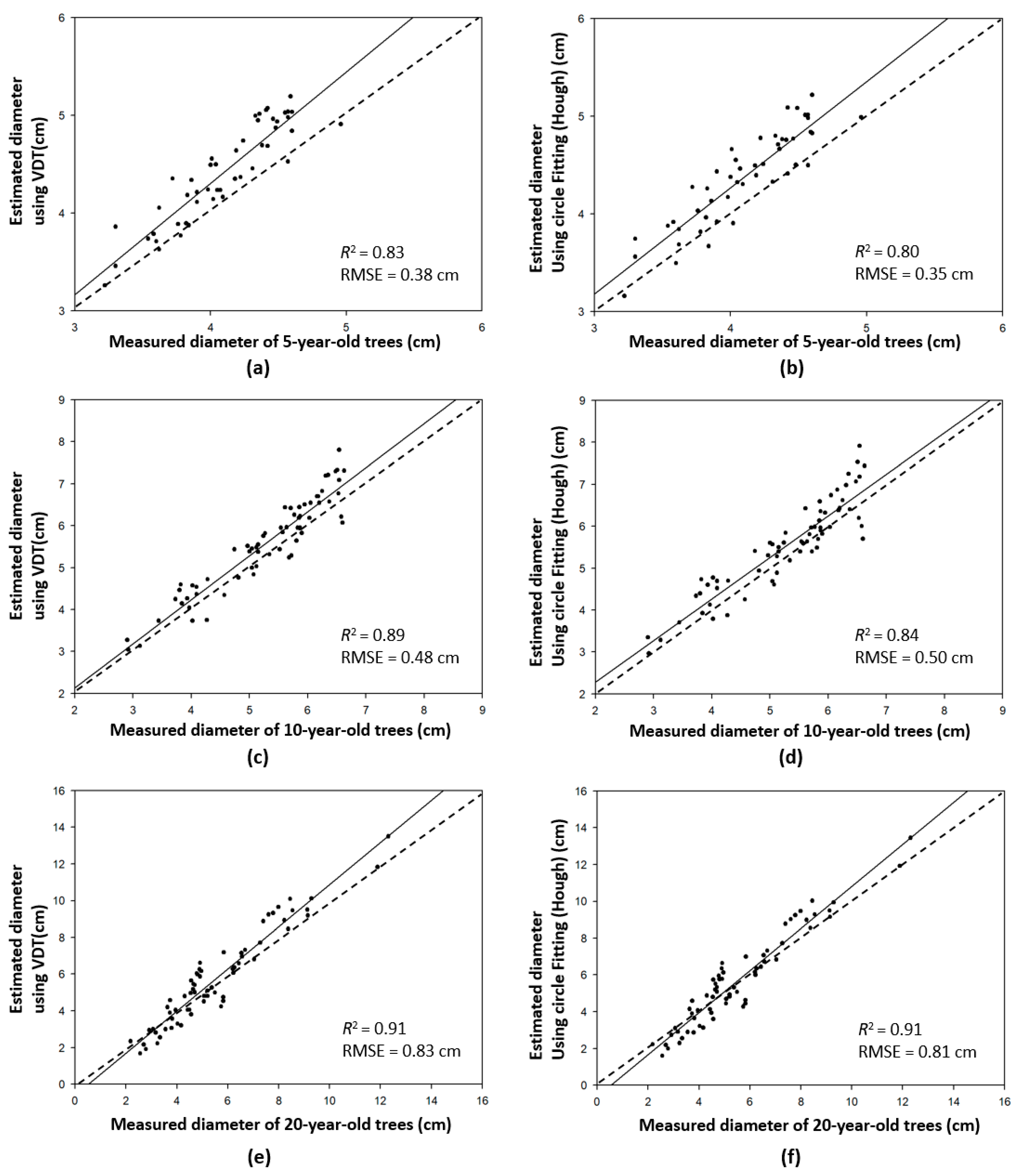
3.4. Rubber Tree Model Reconstruction Based on the Derived Growth Parameters
3.5. Sources of Error in CVM Procedure
3.6. Forward for the Realization of the Digital Twin of Trees
3.7. Contribution of Digital Twin Technology to Rubber Tree Management
4. Conclusions
Author Contributions
Funding
Data Availability Statement
Acknowledgments
Conflicts of Interest
References
- Yuan, Q.; Huai, Y. Immersive sketch-based tree modeling in virtual reality. Comput. Graph. 2021, 94, 132–143. [Google Scholar] [CrossRef]
- Yun, T.; Jiang, K.; Li, G.; Eichhorn, M.P.; Fan, J.; Liu, F.; Chen, B.; An, F.; Cao, L. Individual tree crown segmentation from airborne LiDAR data using a novel Gaussian filter and energy function minimization-based approach. Remote Sens. Environ. 2021, 256, 112307. [Google Scholar] [CrossRef]
- Hackenberg, J.; Morhart, C.; Sheppard, J.; Spiecker, H.; Disney, M. Highly Accurate Tree Models Derived from Terrestrial Laser Scan Data: A Method Description. Forests 2014, 5, 1069. [Google Scholar] [CrossRef]
- Calders, K.; Adams, J.; Armston, J.; Bartholomeus, H.; Bauwens, S.; Bentley, L.P.; Chave, J.; Danson, F.M.; Demol, M.; Disney, M.; et al. Terrestrial laser scanning in forest ecology: Expanding the horizon. Remote Sens. Environ. 2020, 251, 112102. [Google Scholar] [CrossRef]
- Sims, A. Design of Sample Plots Methods. In Principles of National Forest Inventory Methods: Theory, Practice, and Examples from Estonia; Springer International Publishing: Cham, Switzerland, 2022; pp. 37–60. [Google Scholar]
- Ortega-Córdova, L. Urban Vegetation Modeling 3D Levels of Detail. Master Thesis, Delft University of Technology, Delft, The Netherlands, 2018. [Google Scholar]
- Wang, Z.; Shen, Y.-J.; Zhang, X.; Zhao, Y.; Schmullius, C. Processing Point Clouds Using Simulated Physical Processes as Replacements of Conventional Mathematically Based Procedures: A Theoretical Virtual Measurement for Stem Volume. Remote Sens. 2021, 13, 4627. [Google Scholar] [CrossRef]
- Raumonen, P.; Kaasalainen, M.; Akerblom, M.; Kaasalainen, S.; Kaartinen, H.; Vastaranta, M.; Holopainen, M.; Disney, M.; Lewis, P. Fast Automatic Precision Tree Models from Terrestrial Laser Scanner Data. Remote Sens. 2013, 5, 491–520. [Google Scholar] [CrossRef]
- Landes, T.; Saudreau, M.; Najjar, G.; Kastendeuch, P.; Guillemin, S.; Colin, J.; Luhahe, R. 3D tree architecture modeling from laser scanning for urban microclimate study. In Proceedings of the Proceedings of the 9th International Conference on Urban Climate jointly with 12th Symposium on the Urban Environment, Toulouse, France, 20–24 July 2015. [Google Scholar]
- Jan, H.; Kim, C.; Demol, M.; Raumonen, P.; Piboule, A.; Mathias, D. SimpleForest—A comprehensive tool for 3d reconstruction of trees from forest plot point clouds. bioRxiv 2021, arXiv:2021.2007.2029.454344. [Google Scholar] [CrossRef]
- Fan, G.; Nan, L.; Dong, Y.; Su, X.; Chen, F. AdQSM: A New Method for Estimating Above-Ground Biomass from TLS Point Clouds. Remote Sens. 2020, 12, 3089. [Google Scholar] [CrossRef]
- Brede, B.; Terryn, L.; Barbier, N.; Bartholomeus, H.M.; Bartolo, R.; Calders, K.; Derroire, G.; Krishna Moorthy, S.M.; Lau, A.; Levick, S.R.; et al. Non-destructive estimation of individual tree biomass: Allometric models, terrestrial and UAV laser scanning. Remote Sens. Environ. 2022, 280, 113180. [Google Scholar] [CrossRef]
- Dalla Corte, A.P.; de Vasconcellos, B.N.; Rex, F.E.; Sanquetta, C.R.; Mohan, M.; Silva, C.A.; Klauberg, C.; de Almeida, D.R.A.; Zambrano, A.M.A.; Trautenmüller, J.W.; et al. Applying High-Resolution UAV-LiDAR and Quantitative Structure Modelling for Estimating Tree Attributes in a Crop-Livestock-Forest System. Land 2022, 11, 507. [Google Scholar] [CrossRef]
- Dong, Y.; Fan, G.; Zhou, Z.; Liu, J.; Wang, Y.; Chen, F. Low Cost Automatic Reconstruction of Tree Structure by AdQSM with Terrestrial Close-Range Photogrammetry. Forests 2021, 12, 1020. [Google Scholar] [CrossRef]
- Xu, Y.; Tong, X.; Stilla, U. Voxel-based representation of 3D point clouds: Methods, applications, and its potential use in the construction industry. Automat. Constr. 2021, 126, 103675. [Google Scholar] [CrossRef]
- Brolly, G.; Király, G.; Lehtomäki, M.; Liang, X. Voxel-Based Automatic Tree Detection and Parameter Retrieval from Terrestrial Laser Scans for Plot-Wise Forest Inventory. Remote Sens. 2021, 13, 542. [Google Scholar] [CrossRef]
- Haag, S.; Anderl, R. Digital twin—Proof of concept. Manuf. Lett. 2018, 15, 64–66. [Google Scholar] [CrossRef]
- Liu, Y.; Zhang, L.; Yang, Y.; Zhou, L.; Ren, L.; Wang, F.; Liu, R.; Pang, Z.; Deen, M.J. A novel cloud-based framework for the elderly healthcare services using digital twin. IEEE Access 2019, 7, 49088–49101. [Google Scholar] [CrossRef]
- Buonocore, L.; Yates, J.; Valentini, R. A Proposal for a Forest Digital Twin Framework and Its Perspectives. Forests 2022, 13, 498. [Google Scholar] [CrossRef]
- Wang, Z.; Zhang, X.; Zheng, J.; Zhao, Y.; Wang, J.; Schmullius, C. Design of a Generic Virtual Measurement Workflow for Processing Archived Point Cloud of Trees and Its Implementation of Light Condition Measurements on Stems. Remote Sens. 2021, 13, 2801. [Google Scholar] [CrossRef]
- Markku, Å.; Raumonen, P.; Kaasalainen, M.; Casella, E. Analysis of Geometric Primitives in Quantitative Structure Models of Tree Stems. Remote Sens. 2015, 7, 4581–4603. [Google Scholar] [CrossRef]
- Lluch, J.; Camahort, E.; Hidalgo, J.L.; Vivo, R. A hybrid mutiresolution representation for fast tree modeling and rendering. Procedia Comput. Sci. 2010, 1, 485–494. [Google Scholar] [CrossRef]
- Rutzinger, M.; Pratihast, A.K.; Oude Elberink, S.; Vosselman, G. Detection and modelling of 3D trees from mobile laser scanning data. Int. Arch. Photogramm. Remote Sens. Spat. Inf. Sci. 2010, 38, 520–525. [Google Scholar]
- Danson, F.M.; Hetherington, D.; Morsdorf, F.; Koetz, B.; Allgower, B. Forest canopy gap fraction from terrestrial laser scanning. IEEE Geosci. Remote Sens. Lett. 2007, 4, 157–160. [Google Scholar] [CrossRef]
- Bohn Reckziegel, R.; Mbongo, W.; Kunneke, A.; Morhart, C.; Sheppard, J.P.; Chirwa, P.; du Toit, B.; Kahle, H.-P. Exploring the Branch Wood Supply Potential of an Agroforestry System with Strategically Designed Harvesting Interventions Based on Terrestrial LiDAR Data. Forests 2022, 13, 650. [Google Scholar] [CrossRef]
- Bienert, A.; Hess, C.; Maas, H.-G.; Oheimb, G.V. A voxel-based technique to estimate the volume of trees from terrestrial laser scanner data. Remote Sens. Spatial Inf. Sci. 2014, XL-5, 101–106. [Google Scholar] [CrossRef]
- Li, Q.; Yuan, P.; Liu, X.; Zhou, H. Street tree segmentation from mobile laser scanning data. Int. J. Remote Sens. 2020, 41, 7145–7162. [Google Scholar] [CrossRef]
- Åkerblom, M.; Kaitaniemi, P. Terrestrial laser scanning: A new standard of forest measuring and modelling? Ann. Bot-Lond. 2021, 128, 653–662. [Google Scholar] [CrossRef]
- Bohn Reckziegel, R.; Larysch, E.; Sheppard, J.P.; Kahle, H.-P.; Morhart, C. Modelling and Comparing Shading Effects of 3D Tree Structures with Virtual Leaves. Remote Sens. 2021, 13, 532. [Google Scholar] [CrossRef]
- Calders, K.; Origo, N.; Burt, A.; Disney, M.; Nightingale, J.; Raumonen, P.; Åkerblom, M.; Malhi, Y.; Lewis, P. Realistic Forest Stand Reconstruction from Terrestrial LiDAR for Radiative Transfer Modelling. Remote Sens. 2018, 10, 933. [Google Scholar] [CrossRef]
- Côté, J.-F.; Widlowski, J.-L.; Fournier, R.A.; Verstraete, M.M. The structural and radiative consistency of three-dimensional tree reconstructions from terrestrial lidar. Remote Sens. Environ. 2009, 113, 1067–1081. [Google Scholar] [CrossRef]
- Hiley, W. The Forests of Suomi (Finland). Results of the General Survey of the Forests of the Country carried out during the Years 1921–1924. Emp. For. J. 1927, 6, 316–318. [Google Scholar]
- Binot, J.-M.; Pothier, D.; Lebel, J. Comparison of relative accuracy and time requirement between the caliper, the diameter tape and an electronic tree measuring fork. For. Chron. 1995, 71, 197–200. [Google Scholar] [CrossRef]
- Bower, D.R.; Blocker, W.W. Notes and observations: Accuracy of bands and tape for measuring diameter increments. J. For. 1966, 64, 21–22. [Google Scholar]
- Li, Q.J.; Li, X.C.; Tong, Y.K.; Liu, X. Street Tree Crown Detection with Mobile Laser Scanning Data Using a Grid Index and Local Features. Pfg-J. Photogramm. Remote Sens. Geoinf. Sci. 2022, 90, 305–317. [Google Scholar] [CrossRef]
- Yu, T.; Hu, C.H.; Xie, Y.N.; Liu, J.Z.; Li, P.P. Mature pomegranate fruit detection and location combining improved F-PointNet with 3D point cloud clustering in orchard. Comput. Electron. Agric. 2022, 200, 107233. [Google Scholar] [CrossRef]
- Xu, Y.F.; Hu, C.H.; Xie, Y.N. An improved space colonization algorithm with DBSCAN clustering for a single tree skeleton extraction. Int. J. Remote Sens. 2022, 43, 3692–3713. [Google Scholar] [CrossRef]
- Wood, D.; Bishop, M. A novel approach to 3D laser scanning. In Proceedings of the Australasian Conference on Robotics and Automation (ACRA), Online, 6–8 December 2012; pp. 39–47. [Google Scholar]
- Zhu, F.; Gao, J.B.; Yang, J.; Ye, N. Neighborhood linear discriminant analysis. Pattern Recognit. 2022, 123, 108422. [Google Scholar] [CrossRef]
- Wang, D. An Efficient Iterative Method for Reconstructing Surface from Point Clouds. J. Sci. Comput. 2021, 87, 38. [Google Scholar] [CrossRef]
- Saarinen, N.; Kankare, V.; Vastaranta, M.; Luoma, V.; Pyörälä, J.; Tanhuanpää, T.; Liang, X.; Kaartinen, H.; Kukko, A.; Jaakkola, A.J.I.J.o.P.; et al. Feasibility of Terrestrial laser scanning for collecting stem volume information from single trees. Remote Sens. 2017, 123, 140–158. [Google Scholar] [CrossRef]
- Xu, S.; Li, X.; Yun, J.Y.; Xu, S.S. An Effectively Dynamic Path Optimization Approach for the Tree Skeleton Extraction from Portable Laser Scanning Point Clouds. Remote Sens. 2022, 14, 94. [Google Scholar] [CrossRef]
- Čerňava, J.; Mokroš, M.; Tuček, J.; Antal, M.; Slatkovská, Z. Processing Chain for Estimation of Tree Diameter from GNSS-IMU-Based Mobile Laser Scanning Data. Remote Sens. 2019, 11, 615. [Google Scholar] [CrossRef]
- Gollob, C.; Ritter, T.; Wassermann, C.; Nothdurft, A. Influence of Scanner Position and Plot Size on the Accuracy of Tree Detection and Diameter Estimation Using Terrestrial Laser Scanning on Forest Inventory Plots. Remote Sens. 2019, 11, 1602. [Google Scholar] [CrossRef]
- Koreň, M.; Mokroš, M.; Bucha, T. Accuracy of tree diameter estimation from terrestrial laser scanning by circle-fitting methods. Int. J. Appl. Earth Obs. Geoinf. 2017, 63, 122–128. [Google Scholar] [CrossRef]
- Aschoff, T.; Spiecker, H. Algorithms for the automatic detection of trees in laser scanner data. Remote Sens. Sci. 2004, 36, W2. [Google Scholar]
- Olofsson, K.; Holmgren, J.; Olsson, H.J.R.s. Tree stem and height measurements using terrestrial laser scanning and the RANSAC algorithm. Remote Sens. 2014, 6, 4323–4344. [Google Scholar] [CrossRef]
- Smith, A.; Astrup, R.; Raumonen, P.; Liski, J.; Krooks, A.; Kaasalainen, S.; Åkerblom, M.; Kaasalainen, M. Tree Root System Characterization and Volume Estimation by Terrestrial Laser Scanning and Quantitative Structure Modeling. Remote Sens. 2014, 5, 3274–3294. [Google Scholar] [CrossRef]
- Sun, Y.; Lin, X.Y.; Gong, Y.L.; Jiang, J.W.; Zhang, Y.L.; Wen, X.R. Multi-station LiDAR scanning-based hierarchical features for generation of an allometric stem volume model. J. Appl. Remote Sens. 2021, 15, 028503. [Google Scholar] [CrossRef]
- Sun, L.; Fang, L.; Weng, Y.; Zheng, S. An Integrated Method for Coding Trees, Measuring Tree Diameter, and Estimating Tree Positions. Remote Sens. 2020, 20, 144. [Google Scholar] [CrossRef]
- Wang, D. Unsupervised semantic and instance segmentation of forest point clouds. Isprs J. Photogramm. 2020, 165, 86–97. [Google Scholar] [CrossRef]
- Yun, T.; An, F.; Li, W.; Sun, Y.; Cao, L.; Xue, L. A Novel Approach for Retrieving Tree Leaf Area from Ground-Based LiDAR. Remote Sens. 2016, 8, 942. [Google Scholar] [CrossRef]
- Zhang, K.; Chen, S.-C.; Whitman, D.; Shyu, M.-L.; Yan, J.; Zhang, C. A progressive morphological filter for removing nonground measurements from airborne LIDAR data. IEEE Trans. Geosci. Remote Sens. 2003, 41, 872–882. [Google Scholar] [CrossRef]
- You, L.; Guo, J.; Pang, Y.; Tang, S.; Song, X.; Zhang, X. 3D stem model construction with geometry consistency using terrestrial laser scanning data. Int. J. Remote Sens. 2021, 42, 714–737. [Google Scholar] [CrossRef]
- Ester, M.; Kriegel, H.-P.; Sander, J.; Xu, X. A density-based algorithm for discovering clusters in large spatial databases with noise. Kdd 1996, 96, 226–231. [Google Scholar]
- Arbeláez, P.; Maire, M.; Fowlkes, C.; Malik, J. Contour Detection and Hierarchical Image Segmentation. IEEE Trans. Pattern Anal. 2011, 33, 898–916. [Google Scholar] [CrossRef]
- Bai, Z.Y.; Huang, X.Y. Plum Tree Visualization Based on SpeedTree. Key Eng. Mater. 2011, 474–476, 511–516. [Google Scholar] [CrossRef]
- Maas, H.G.; Bienert, A.; Scheller, S.; Keane, E. Automatic forest inventory parameter determination from terrestrial laser scanner data. Int. J. Remote Sens. 2008, 29, 1579–1593. [Google Scholar] [CrossRef]
- Liu, G.; Wang, J.; Dong, P.; Chen, Y.; Liu, Z.J.F. Estimating individual tree height and diameter at breast height (DBH) from terrestrial laser scanning (TLS) data at plot level. Remote Sens. 2018, 9, 398. [Google Scholar] [CrossRef]
- Ritter, T.; Schwarz, M.; Tockner, A.; Leisch, F.; Nothdurft, A. Automatic mapping of forest stands based on three-dimensional point clouds derived from terrestrial laser-scanning. Forests 2017, 8, 265. [Google Scholar] [CrossRef]
- Vandendaele, B.; Martin-Ducup, O.; Fournier, R.A.; Pelletier, G.; Lejeune, P. Mobile Laser Scanning for Estimating Tree Structural Attributes in a Temperate Hardwood Forest. Remote Sens. 2022, 14, 4522. [Google Scholar] [CrossRef]
- Umeki, K.; Seino, T. Growth of first-order branches in Betula platyphylla saplings as related to the age, position, size, angle, and light availability of branches. Can. J. For. Res. 2003, 33, 1276–1286. [Google Scholar] [CrossRef]
- Xing, P.; Zhang, Q.-B.; Baker, P.J. Age and radial growth pattern of four tree species in a subtropical forest of China. Trees 2012, 26, 283–290. [Google Scholar] [CrossRef]
- Gilhen-Baker, M.; Roviello, V.; Beresford-Kroeger, D.; Roviello, G.N. Old growth forests and large old trees as critical organisms connecting ecosystems and human health. A review. Environ. Chem. Lett. 2022, 20, 1529–1538. [Google Scholar] [CrossRef]
- Zhou, K.; Cao, L.; Yin, S.Y.; Wang, G.B.; Cao, F.L. An advanced bidirectional reflectance factor (BRF) spectral approach for estimating flavonoid content in leaves of Ginkgo plantations. Isprs J. Photogramm. Remote Sens. 2022, 193, 1–16. [Google Scholar] [CrossRef]
- Li, Q.J.; Yuan, P.C.; Lin, Y.S.; Tong, Y.K.; Liu, X. Pointwise classification of mobile laser scanning point clouds of urban scenes using raw data. J. Appl. Remote Sens. 2021, 15, 024523. [Google Scholar] [CrossRef]
- Zhu, F.; Ning, Y.; Chen, X.C.; Zhao, Y.B.; Gang, Y.N. On removing potential redundant constraints for SVOR learning. Appl. Soft Comput. 2021, 102, 106941. [Google Scholar] [CrossRef]
- Martin-Ducup, O.; Mofack, G.; Wang, D.; Raumonen, P.; Ploton, P.; Sonké, B.; Barbier, N.; Couteron, P.; Pélissier, R. Evaluation of automated pipelines for tree and plot metric estimation from TLS data in tropical forest areas. Ann. Bot. 2021, 128, 753–766. [Google Scholar] [CrossRef]
- Ravaglia, J.; Fournier, R.A.; Bac, A.; Véga, C.; Côté, J.-F.; Piboule, A.; Rémillard, U. Comparison of three algorithms to estimate tree stem diameter from terrestrial laser scanner data. Forests 2019, 10, 599. [Google Scholar] [CrossRef]
- Li, D.W.; Shi, G.L.; Li, J.S.; Chen, Y.L.; Zhang, S.Y.; Xiang, S.Y.; Jin, S.C. PlantNet: A dual-function point cloud segmentation network for multiple plant species. Isprs J. Photogramm. Remote Sens. 2022, 184, 243–263. [Google Scholar] [CrossRef]
- Erez, T.; Tassa, Y.; Todorov, E. Simulation tools for model-based robotics: Comparison of bullet, havok, mujoco, ode and physx. In Proceedings of the 2015 IEEE international conference on robotics and automation (ICRA), Seattle, WA, USA, 26–30 May 2015; pp. 4397–4404. [Google Scholar]
- Fan, X.J.; Luo, P.; Mu, Y.; Zhou, R.; Tjahjadi, T.; Ren, Y. Leaf image based plant disease identification using transfer learning and feature fusion. Comput. Electron. Agric. 2022, 196, 106892. [Google Scholar] [CrossRef]
- Nong, C.S.; Fan, X.J.; Wang, J.L. Semi-supervised Learning for Weed and Crop Segmentation Using UAV Imagery. Front. Plant Sci. 2022, 13, 927368. [Google Scholar] [CrossRef]












| Name | Virtual Diameter Tape | Circle Fitting (Hough) |
|---|---|---|
| Methodology | CVM | Mathematical modeling |
| Prior knowledge | No need | Cross-section area is round-shaped |
| Adoption of various shapes | Yes | No |
| Role of data | Objects in virtual space | Elements to be processed |
| Processing logic | Simulation of physical mechanism of diameter tape | Making prediction using presets |
| Raw result | Cross-section area | Model of cross-section area |
| Number of result (s) | Infinite | 1 |
| Final result | Perimeter (DBH) | Perimeter (DBH) |
| Need for validation | No (using ideal point clouds)/Yes | Yes |
| R2 (in IDL 1/Mid 2/Low 3) | 0.97/0.96/0.88 4 | 0.94/0.94/0.85 4 |
| RMSE(cm) (in IDL 1/Mid 2/Low 3) | 1.02/1.30/0.56 4 | 1.29/1.56/0.55 4 |
| Age of Trees | Tree Height/m | Crown Width/m | Crown Volumes/m3 | Average Length of Primary Branches of Rubber Tree/m | Average Included Angles between Stem and Branches/° | Tilt Angles of Stem/° |
|---|---|---|---|---|---|---|
| Five years | 7.46 ± 0.61 | 3.02 ± 0.71 (N-S) 3.09 ± 0.97 (E-W) | 69.63 | 1.840 ± 0.44 | 39.53 ± 4.84 | 3.92 ± 3.33 |
| Ten years | 9.18 ± 0.48 | 2.89 ± 0.95 (N-S) 4.21 ± 1.6 (E-W) | 85.39 | 2.49 ± 0.68 | 41.11 ± 10.66 | 7.86 ± 7.67 |
| Twenty years | 14.47 ± 3.99 | 2.66 ± 1.55 (N-S) 5.22 ± 2.59 (E-W) | 146.52 | 2.57 ± 2.33 | 45.91 ± 18.75 | 14.22 ± 13.9 |
Publisher’s Note: MDPI stays neutral with regard to jurisdictional claims in published maps and institutional affiliations. |
© 2022 by the authors. Licensee MDPI, Basel, Switzerland. This article is an open access article distributed under the terms and conditions of the Creative Commons Attribution (CC BY) license (https://creativecommons.org/licenses/by/4.0/).
Share and Cite
Wang, Z.; Lu, X.; An, F.; Zhou, L.; Wang, X.; Wang, Z.; Zhang, H.; Yun, T. Integrating Real Tree Skeleton Reconstruction Based on Partial Computational Virtual Measurement (CVM) with Actual Forest Scenario Rendering: A Solid Step Forward for the Realization of the Digital Twins of Trees and Forests. Remote Sens. 2022, 14, 6041. https://doi.org/10.3390/rs14236041
Wang Z, Lu X, An F, Zhou L, Wang X, Wang Z, Zhang H, Yun T. Integrating Real Tree Skeleton Reconstruction Based on Partial Computational Virtual Measurement (CVM) with Actual Forest Scenario Rendering: A Solid Step Forward for the Realization of the Digital Twins of Trees and Forests. Remote Sensing. 2022; 14(23):6041. https://doi.org/10.3390/rs14236041
Chicago/Turabian StyleWang, Zhichao, Xin Lu, Feng An, Lijun Zhou, Xiangjun Wang, Zhihao Wang, Huaiqing Zhang, and Ting Yun. 2022. "Integrating Real Tree Skeleton Reconstruction Based on Partial Computational Virtual Measurement (CVM) with Actual Forest Scenario Rendering: A Solid Step Forward for the Realization of the Digital Twins of Trees and Forests" Remote Sensing 14, no. 23: 6041. https://doi.org/10.3390/rs14236041
APA StyleWang, Z., Lu, X., An, F., Zhou, L., Wang, X., Wang, Z., Zhang, H., & Yun, T. (2022). Integrating Real Tree Skeleton Reconstruction Based on Partial Computational Virtual Measurement (CVM) with Actual Forest Scenario Rendering: A Solid Step Forward for the Realization of the Digital Twins of Trees and Forests. Remote Sensing, 14(23), 6041. https://doi.org/10.3390/rs14236041

