Impacts of 3DEnVar-Based FY-3D MWHS-2 Radiance Assimilation on Numerical Simulations of Landfalling Typhoon Ampil (2018)
Abstract
1. Introduction
2. 3DEnVar Method for Radiance Data Assimilation
2.1. 3DEnVar Method
2.2. FY-3D MWHS-2 Radiance Data
3. Typhoon Ampil and Experimental Design
3.1. Typhoon Ampil (2018)
3.2. Experimental Design
4. Results
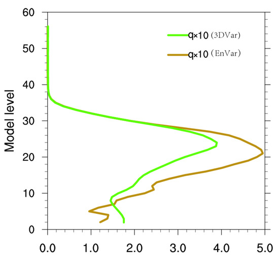
4.1. Performance of the Bias Correction
4.2. Ensemble Spread
4.3. Impact on Analyzed Typhoon Structure
4.3.1. The 500 hPa Geopotential Height Increments
4.3.2. The 850 hPa Relative Humidity Increments
4.3.3. The Analyzed Typhoon Structures
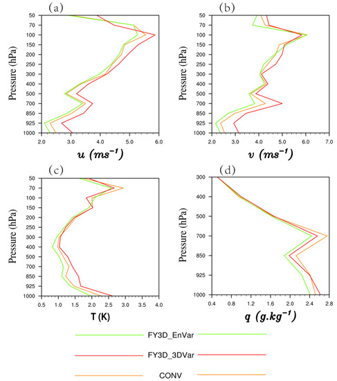
4.4. Forecast Verification against Conventional Observations
4.5. Typhoon Track and Intensity Forecast
4.6. Precipitation Forecasts
5. Conclusions
Author Contributions
Funding
Conflicts of Interest
References
- Bishop, C.H.; Etherton, B.J.; Majumdar, S.J. Adaptive sampling with the ensemble transform Kalman filter. Part I: Theoretical aspects. Mon. Weather Rev. 2001, 129, 420. [Google Scholar] [CrossRef]
- Barker, D.M.; Huang, W.; Guo, Y.; Bourgeois, A.J.; Xiao, Q.N. A three-dimensional variational data assimilation system for MM5: Implementation and initial results. Mon. Weather Rev. 2004, 132, 897–914. [Google Scholar] [CrossRef]
- Barker, D.; Huang, X.-Y.; Liu, Z.; Auligné, T.; Zhang, X.; Rugg, S.; Ajjaji, R.; Bourgeois, A.; Bray, J.; Chen, Y.; et al. The Weather Research and Forecasting (WRF) model’s community variational/ensemble data assimilation system: WRFDA. Bull. Am. Meteor. Soc. 2012, 93, 831–843. [Google Scholar] [CrossRef]
- Bauer, P.; Geer, A.J.; Lopez, P.; Salmond, D. Direct 4D-Var assimilation of all-sky radiances. Part I: Implementation. Quart. J. Roy. Meteor. Soc. 2010, 136, 1868–1885. [Google Scholar] [CrossRef]
- Chou, M.D.; Suarez, M.J. An efficient thermal infrared radiation parameterization for use in general circulation models. NASA Tech. Memo. 1994, 3, 104606. [Google Scholar]
- Chien, F.; Kue, H. On the extreme rainfall of Typhoon Morakot. J. Geophys. Res. 2009, 116, D05104. [Google Scholar] [CrossRef]
- Chen, J.; Chen, H. Interdecadal variability of summer rainfall in Taiwan associated with tropical cyclones and monsoon. J. Clim. 2011, 24, 5786–5798. [Google Scholar] [CrossRef]
- Chen, Y.; English, S.; Bormann, N.; Zhu, J. Assessment of FY-3A and FY-3B MWHS Observations. Weather Forecast. 2015, 30, 1280–1290. [Google Scholar] [CrossRef]
- Dee, D.P. Variational bias correction of radiance data in the ECMWF system. In Proceedings of the ECMWF Workshop on Assimilation of High Spectral Resolution Sounders in NWP, Reading, UK, 28 June–1 July 2004; pp. 97–112. [Google Scholar]
- English, S.J.; Renshaw, R.J.; Dibben, P.C.; Smith, A.J.; Rayer, P.J.; Poulsen, C.; Saunders, F.W.; Eyre, J.R. A comparison of the impact of TOVS and A TOVS satellite sounding data on the accuracy of numerical weather forecasts. Quart. J. Roy. Meteor. Soc. 2000, 126, 2911–2931. [Google Scholar]
- Grell, G.A.; Freitas, S.R. A scale and aerosol aware stochastic convective parameterization for weather and air quality modeling. Atmos. Chem. Phys. 2014, 13, 5233–5250. [Google Scholar] [CrossRef]
- Geer, A.J.; Lonitz, K.; Weston, P.; Kazumori, M.; Okamoto, K.; Zhu, Y.; Liu, E.H.; Collard, A.; Bell, W.; Migliorini, S.; et al. All-sky satellite data assimilation at operational forecasting centres. Quart. J. Roy. Meteor. Soc. 2018, 144, 1191–1217. [Google Scholar] [CrossRef]
- Hong, S.Y.; Noh, Y.; Dudhia, J. A new vertical diffusion package with an explicit treatment of entrainment processes. Mon. Weather Rev. 2006, 134, 2318–2341. [Google Scholar] [CrossRef]
- Houtekamer, P.L.; Zhang, F. Review of the ensemble Kalman filter for atmospheric data assimilation. Mon. Weather Rev. 2016, 144, 4489–4532. [Google Scholar] [CrossRef]
- Hung, C.; Shih, M.; Lin, T. The climatological analysis of typhoon tracks, steering flow, and the Pacific Subtropical High in the vicinity of Taiwan and the Western North Pacific. Atmospehere 2020, 11, 543. [Google Scholar] [CrossRef]
- Jones, T.A.; Stensrud, D.; Wicker, L. Simultaneous radar and satellite data storm-scale assimilation using an Ensemble Kalman Filter approach for 24 May. Mon. Weather Rev. 2015, 143, 165–194. [Google Scholar] [CrossRef]
- Jiang, L.; Shi, C.; Zhang, T.; Guo, Y.; Yao, S. Evaluation of assimilating FY-3C MWHS-2 radiances using the GSI Global analysis system. Remote Sens. 2020, 12, 2511. [Google Scholar] [CrossRef]
- Kalnay, E.; Kanamitsu, M.; Kistler, R.; Collins, W.; Deaven, D.; Gandin, L.; Iredell, M.; Saha, S.; White, G.; Woollen, J.; et al. The NCEP/NCAR 40-year reanalysis project. Bull. Am. Meteor. Soc. 1996, 77, 437–471. [Google Scholar] [CrossRef]
- Lorenc, A.C. The potential of the ensemble Kalman filter for NWP—A comparison with 4D-Var. Quart. J. Roy. Meteor. Soc. 2003, 129, 3183–3203. [Google Scholar] [CrossRef]
- Lu, Q.; Bell, W.; Bauer, P.; Bormann, N.; Peubey, C. An evaluation of FY-3A satellite data for numerical weather prediction. Quart. J. Roy. Meteor. Soc. 2011, 137, 1298–1311. [Google Scholar] [CrossRef]
- Lawrence, H.; Bormann, N.; Lu, Q.; Geer, A.; English, S. An Evaluation of FY-3C MWHS-2 at ECMWF; ECMWF: Reading, UK, 2015; pp. 1–24. Available online: https://www.ecmwf.int/sites/default/files/elibrary/2015/10668-evaluation-fy-3c-mwhs-2-ecmwf.pdf (accessed on 20 October 2022).
- Li, J.; Liu, G. Direct assimilation of Chinese FY-3C Microwave Temperature Sounder-2 radiances in the global GRAPES system. Atmos. Meas. Tech. 2016, 9, 3095–3113. [Google Scholar] [CrossRef]
- Lawrence, H.; Carminati, F.; Bell, W.; Bormann, N.; Newman, S.; Atkinson, N.; Geer, A.; Migliorini, S.; Lu, Q.; Chen, K. An evaluation of FY-3C MWRI and Assessment of the long-term quality of FY-3C MWHS-2 at ECMWF and the Met Office. ECMWF Tech. Memo. 2017, 798, 1–26. [Google Scholar] [CrossRef]
- Lu, X.Q.; Yu, H.; Ying, M.; Zhao, B.; Zhang, S.; Lin, L.; Bai, L.; Wan, R. Western North Pacific tropical cyclone database created by the China Meteorological Administration. Adv. Atmos. Sci. 2021, 38, 690–699. [Google Scholar] [CrossRef]
- Mlawer, E.J.; Taubman, S.J.; Brown, P.D.; Iacono, M.J.; Clough, S.A. Radiative transfer for inhomogeneous atmospheres: RRTM, a validated correlated-k model for the longwave. J. Geophys. Res. Atmos. 1997, 102, 16663–16682. [Google Scholar] [CrossRef]
- McNally, A.P.; Watts, P.D.; Smith, J.A.; Engelen, R.; Kelly, G.A.; Thépaut, J.N.; Matricardi, M. The assimilation of AIRS radiance data at ECMWF. Q. J. R. Meteorol. Soc. 2006, 132, 935–957. [Google Scholar] [CrossRef]
- Moradi, I.; Evans, K.F.; Mccarty, W. Assimilation of satellite microwave observations over the rainbands of tropical cyclones. Mon. Weather Rev. 2020, 148, 4729–4745. [Google Scholar] [CrossRef]
- Newman, K.M.; Schwartz, C.S.; Liu, Z.; Shao, H.; Huang, X.Y. Evaluating forecast impact of assimilating Microwave Humidity Sounder (MHS) radiances with a regional ensemble Kalman filter data assimilation system. Weather Forecast 2015, 43, 964–983. [Google Scholar] [CrossRef]
- Niu, Z.; Zhang, L.; Dong, P.; Weng, F.; Huang, W. Impact of assimilating FY-3D MWTS-2 upper air sounding data on forecasting typhoon lekima (2019). Remote Sens. 2021, 13, 1841. [Google Scholar] [CrossRef]
- Pailleux, J. Use of satellite data in the ECMWF analysis system. ECMWF Workshop High Resolut. Anal. 1985, 6, 15–26. [Google Scholar]
- Pielke, R.A.; Landsea, C.W. Normalized hurricane damages in the United States: 1925–95. Weather Forecast 1998, 13, 621–631. [Google Scholar] [CrossRef]
- Rabier, F. Overview of global data assimilation developments in numerical weather prediction centres. Q. J. R. Meteorol. Soc. 2005, 131, 3215–3233. [Google Scholar] [CrossRef]
- Roberts, N.M.; Lean, H.W. Scale-selective verification of rainfall accumulations from high-resolution forecasts of convective events. Mon. Weather Rev. 2008, 136, 78–97. [Google Scholar] [CrossRef]
- Ridal, M.; Dahlbom, M. Assimilation of multinational radar reflectivity data in a mesoscale model: A proof of concept. J. Appl. Meteorol. Climatol. 2017, 56, 1739–1750. [Google Scholar] [CrossRef]
- Saunders, R.; Hocking, J.; Turner, E.; Rayer, P.; Rundle, D.; Brunel, P.; Vidot, J.; Roquet, P.; Matricardi, M.; Geer, A.; et al. An update on the RTTOV fast radiative transfer model (currently at version 12). Geosci. Model Dev. 2018, 11, 2717–2737. [Google Scholar] [CrossRef]
- Shen, F.; Min, J. Assimilating AMSU-A radiance data with the WRF hybrid En3DVAR system for track predictions of Typhoon Megi (2010). Adv. Atmos. Sci. 2015, 32, 1231–1243. [Google Scholar] [CrossRef]
- Sawada, M.; Ma, Z.Z.; Mehra, A. Impacts of assimilating high-resolution atmospheric motion vectors derived from Himawari-8 on tropical cyclone forecast in HWRF. Mon. Weather Rev. 2019, 147, 3721–3740. [Google Scholar] [CrossRef]
- Shen, F.; Xu, D.; Min, J. Effect of momentum control variables on assimilating radar observations for the analysis and forecast for Typhoon Chanthu (2010). Atmos. Res. 2019, 230, 104622. [Google Scholar] [CrossRef]
- Shen, F.; Xu, D.; Li, H.; Min, J.; Liu, R. Assimilation of GPM microwave imager radiance data with the WRF Hybrid 3DEnVar system for the prediction of Typhoon Chan-hom (2015). Atmos. Res. 2021, 251, 105422. [Google Scholar] [CrossRef]
- Sun, W.; Xu, Y. Assimilation of FY-3D MWHS2 Radiances with WRF Hybrid-3DVAR System for the Forecast of Heavy Rainfall Evolution Associated with Typhoon Ampil. Mon. Weather Rev. 2021, 149, 1419–1473. [Google Scholar] [CrossRef]
- Thompson, G.; Field, P.R.; Rasmussen, R.M.; Hall, W.D. Explicit forecasts of winter precipitation using an improved bulk microphysics scheme. Part II: Implementation of a new snow parameterization. Mon. Weather Rev. 2008, 136, 5095–5115. [Google Scholar] [CrossRef]
- Tu, J.; Chen, J. Large-scale indices for assessing typhoon activity around Taiwan. Int. J. Climatol. 2019, 39, 921–933. [Google Scholar] [CrossRef]
- Wang, X.; Snyder, C.; Hamill, T.M. On the theoretical equivalence of differently proposed ensemble/3D-Var hybrid analysis schemes. Mon. Weather Rev. 2007, 135, 222–227. [Google Scholar] [CrossRef]
- Wang, X.; Barker, D.; Snyder, C.; Hamill, T.M. A hybrid ETKF–3DVAR data assimilation scheme for the WRF model. Part II: Real observation experiments. Mon. Weather Rev. 2008, 136, 5132–5147. [Google Scholar] [CrossRef]
- Xian, Z.; Chen, K.; Zhu, J. All-sky assimilation of the MWHS-2 observations and evaluation the impacts on the analyses and forecasts of binary typhoons. J. Geophys. Res. Atmos. 2019, 124, 6359–6378. [Google Scholar] [CrossRef]
- Xu, D.; Min, J.; Shen, F.; Ban, J.; Chen, P. Assimilation of MWHS radiance data from the FY-3B satellite with the WRF Hybrid-3DVAR system for the forecasting of binary typhoons. J. Adv. Model. Earth Syst. 2016, 8, 1014–1028. [Google Scholar] [CrossRef]
- Xu, D.; Shen, F.; Min, J. Effect of background error tuning on assimilating radar radial velocity observations for the forecast of hurricane tracks and intensities. Meteorol. Appl. 2020, 27, e1820. [Google Scholar] [CrossRef]
- Xu, D.; Shen, F.; Min, J. Assimilation of GPM microwave imager radiance for track prediction of typhoon cases with the WRF hybrid En3DVAR system. Adv. Atmos. Sci. 2021, 38, 983–993. [Google Scholar] [CrossRef]
- Yamada, H.; Yoneyama, K.; Katsumata, M.; Shirooka, R. Observations of a super cloud cluster accompanied by synoptic-scale eastward-propagating precipitating systems over the Indian Ocean. J. Atmos. Sci. 2010, 67, 1456–1473. [Google Scholar] [CrossRef]
- Ying, M.; Zhang, W.; Yu, H.; Lu, X.; Feng, J.; Fan, Y.; Zhu, Y.; Chen, D. An overview of the China Meteorological Administration tropical cyclone database. J. Atmos. Oceanic Technol. 2014, 31, 287–301. [Google Scholar] [CrossRef]
- Zhang, P.; Chen, L.; Xian, D.; Xu, Z. Recent progress of Fengyun meteorology satellites. Chin. J. Space Sci. 2018, 38, 788–796. [Google Scholar]
















| Channel | Central Frequency (GHz) | Polarizations | Bandwidth (MHz) | Frequency Stability (MHz) | Antenna Main Beam Width | Antenna Main Beam Efficiency |
|---|---|---|---|---|---|---|
| 1 | 89 | V | 1500 | 50 | 2.0° | >92% |
| 2 | 118.75 ± 0.08 | H | 20 | 30 | 2.0° | >92% |
| 3 | 118.75 ± 0.2 | H | 100 | 30 | 2.0° | >92% |
| 4 | 118.75 ± 0.3 | H | 165 | 30 | 2.0° | >92% |
| 5 | 118.75 ± 0.8 | H | 200 | 30 | 2.0° | >92% |
| 6 | 118.75 ± 1.1 | H | 200 | 30 | 2.0° | >92% |
| 7 | 118.75 ± 2.5 | H | 200 | 30 | 2.0° | >92% |
| 8 | 118.75 ± 3.0 | H | 1000 | 30 | 2.0° | >92% |
| 9 | 118.75 ± 5.0 | H | 2000 | 30 | 2.0° | >92% |
| 10 | 150 | V | 1500 | 50 | 1.1° | >95% |
| 11 | 183.31 ± 1 | H | 500 | 30 | 1.1° | >95% |
| 12 | 183.31 ± 1.8 | H | 700 | 30 | 1.1° | >95% |
| 13 | 183.31 ± 3 | H | 1000 | 30 | 1.1° | >95% |
| 14 | 183.31 ± 4.5 | H | 2000 | 30 | 1.1° | >95% |
| 15 | 183.31 ± 7 | H | 2000 | 30 | 1.1° | >95% |
Publisher’s Note: MDPI stays neutral with regard to jurisdictional claims in published maps and institutional affiliations. |
© 2022 by the authors. Licensee MDPI, Basel, Switzerland. This article is an open access article distributed under the terms and conditions of the Creative Commons Attribution (CC BY) license (https://creativecommons.org/licenses/by/4.0/).
Share and Cite
Song, L.; Shen, F.; Shao, C.; Shu, A.; Zhu, L. Impacts of 3DEnVar-Based FY-3D MWHS-2 Radiance Assimilation on Numerical Simulations of Landfalling Typhoon Ampil (2018). Remote Sens. 2022, 14, 6037. https://doi.org/10.3390/rs14236037
Song L, Shen F, Shao C, Shu A, Zhu L. Impacts of 3DEnVar-Based FY-3D MWHS-2 Radiance Assimilation on Numerical Simulations of Landfalling Typhoon Ampil (2018). Remote Sensing. 2022; 14(23):6037. https://doi.org/10.3390/rs14236037
Chicago/Turabian StyleSong, Lixin, Feifei Shen, Changliang Shao, Aiqing Shu, and Lijian Zhu. 2022. "Impacts of 3DEnVar-Based FY-3D MWHS-2 Radiance Assimilation on Numerical Simulations of Landfalling Typhoon Ampil (2018)" Remote Sensing 14, no. 23: 6037. https://doi.org/10.3390/rs14236037
APA StyleSong, L., Shen, F., Shao, C., Shu, A., & Zhu, L. (2022). Impacts of 3DEnVar-Based FY-3D MWHS-2 Radiance Assimilation on Numerical Simulations of Landfalling Typhoon Ampil (2018). Remote Sensing, 14(23), 6037. https://doi.org/10.3390/rs14236037
