Precise Wetland Mapping in Southeast Asia for the Ramsar Strategic Plan 2016–24
Abstract
1. Introduction
2. Study Area and Data
2.1. Study Area
2.2. Data
3. Methods
3.1. Wetland Classification System
3.2. Tile Segmentation
3.3. Using IPG-MTWM for Southeast Asia Wetland Cover Map
3.4. Post Classification
3.5. Accuracy Assessment
4. Results
4.1. Accuracy Assessment of the SEAWeC
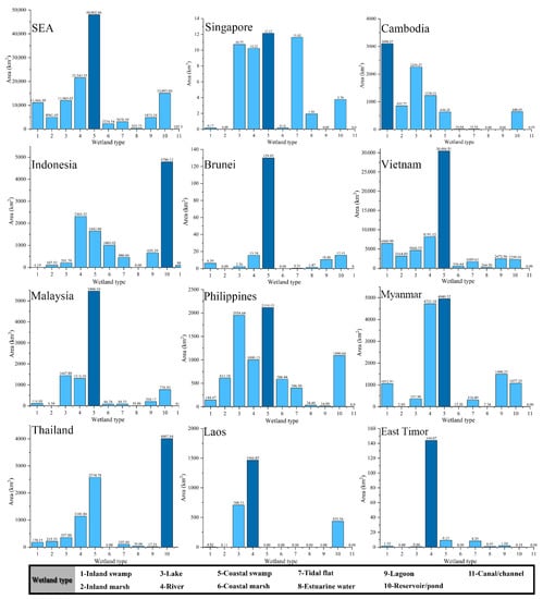
4.2. Distribution of Wetlands in Southeast Asia
4.3. Comparison of the SEAWeC with Other Mappings
4.4. Implications of Precise Wetland Mapping on a Large Scale for the Ramsar Strategic Plan 2016–24
5. Discussion
- (1)
- Precise spatial resolution. Most studies have used medium-low resolution remote sensing images, such as Landsat (30 m) and MODIS (500 m), because of free availability and time-series coverage. The Sentinel-2 images with a high resolution of 10 m was used in our study, and the results show that better spatial resolution can provide better wetland mapping details, as shown in Figure 9. However, to some extent, it requires a higher storage performance and increases the complexity of the computing process. Simultaneously, there were more detailed interference problems. With big data, cloud computing and artificial intelligence (AI) have made great progress, providing huge opportunities for obtaining and analyzing huge amounts of data to support the Ramsar strategic plan 2016–24 and the SDGs.
- (2)
- Precise wetland type. Try to cover all wetlands, including aquaculture ponds, streams, and ditches. Wetland pollution is a serious problem, particularly in small wetlands in densely populated areas. Ensuring the wise use of wetlands, maintaining the ecological characteristics of wetlands, and clarifying the spatial distribution of small-scale wetlands can assist in the realization of the Ramsar strategic plan 2016–24 and SDGs from a long-term perspective.

6. Conclusions
Author Contributions
Funding
Data Availability Statement
Conflicts of Interest
References
- Junk, W.J.; An, S.; Finlayson, C.M.; Gopal, B.; Květ, J.; Mitchell, S.A.; Mitsch, W.J.; Robarts, R.D. Current state of knowledge regarding the world’s wetlands and their future under global climate change: A synthesis. Aquat. Sci. 2013, 75, 151–167. [Google Scholar] [CrossRef]
- Russi, D.; ten Brink, P.; Farmer, A.; Badura, T.; Coates, D.; Förster, J.; Kumar, R.; Davidson, N. The Economics of Ecosystems and Biodiversity for Water and Wetlands; IEEP, Ramsar Secretariat: Gland, Switzerland, 2013. [Google Scholar]
- Davidson, N.C. How much wetland has the world lost? Long-term and recent trends in global wetland area. Mar. Freshw. Res. 2014, 65, 936–941. [Google Scholar] [CrossRef]
- Ramsar Convention Secretariat. The Fourth Ramsar Strategic Plan 2016–2024. In Ramsar Handbooks for the Wise Use of Wetlands, 5th ed.; Ramsar Convention Secretariat: Gland, Switzerland, 2016; Volume 2. [Google Scholar]
- Langan, C.; Farmer, J.; Rivington, M.; Smith, J.U. Tropical wetland ecosystem service assessments in East Africa; A review of approaches and challenges. Environ. Model. Softw. 2018, 102, 260–273. [Google Scholar] [CrossRef]
- Davidson, N.C.; Fluet-Chouinard, E.; Finlayson, C.M. Global extent and distribution of wetlands: Trends and issues. Mar. Freshw. Res. 2018, 69, 620. [Google Scholar] [CrossRef]
- Hughes, A.C. Understanding the Drivers of Southeast Asian Biodiversity Loss. Ecosphere 2017, 8, e01624. [Google Scholar] [CrossRef]
- Polidoro, B.A.; Carpenter, K.E.; Collins, L.; Duke, N.C.; Ellison, A.M.; Ellison, J.C.; Farnsworth, E.J.; Fernando, E.S.; Kathiresan, K.; Koedam, N.E.; et al. The Loss of Species: Mangrove Extinction Risk and Geographic Areas of Global Concern. PLoS ONE 2010, 5, e10095. [Google Scholar] [CrossRef]
- Giri, C.; Ochieng, E.; Tieszen, L.L.; Zhu, Z.; Singh, A.; Loveland, T.; Masek, J.; Duke, N. Status and Distribution of Mangrove Forests of the World Using Earth Observation Satellite Data. Glob. Ecol. Biogeogr. 2011, 20, 154–159. [Google Scholar] [CrossRef]
- Gopal, B. Future of Wetlands in Tropical and Subtropical Asia, Especially in the Face of Climate Change. Aquat. Sci. 2013, 75, 39–61. [Google Scholar] [CrossRef]
- Conklin, J.R.; Verkuil, Y.I.; Smith, B. Prioritizing Migratory Shorebirds for Conservation Action on the East Asian-Australasian Flyway; WWF-Hong Kong: Hong Kong, China, 2014. [Google Scholar]
- Abbott, B.W.; Bishop, K.; Zarnetske, J.P.; Minaudo, C.; Chapin, F.S.; Krause, S.; Hannah, D.M.; Conner, L.; Ellison, D.; Godsey, S.E.; et al. Human domination of the global water cycle absent from depictions and perceptions. Nat. Geosci. 2019, 12, 533–540. [Google Scholar] [CrossRef]
- Betbeder, J.; Gond, V.; Frappart, F.; Baghdadi, N.N.; Briant, G.; Bartholome, E. Mapping of Central Africa forested wetlands using remote sensing. IEEE J. Sel. Top. Appl. Earth Obs. Remote Sens. 2013, 7, 531–542. [Google Scholar] [CrossRef]
- Muñoz, D.F.; Muñoz, P.; Alipour, A.; Moftakhari, H.; Moradkhani, H.; Mortazavi, B. Fusing multisource data to estimate the effects of urbanization, sea level rise, and hurricane impacts on long-term wetland change dynamics. IEEE J. Sel. Top. Appl. Earth Obs. Remote Sens. 2021, 14, 1768–1782. [Google Scholar] [CrossRef]
- Ramsar Convention Secretariat. An Introduction to the Ramsar Convention on Wetlands; Ramsar Convention Secretariat: Gland, Switzerland, 2016. [Google Scholar]
- Ramsar Convention on Wetlands. Global Wetland Outlook: State of the World’s Wetlands and Their Services to People; Ramsar Convention Secretariat: Gland, Switzerland, 2018. [Google Scholar]
- Wetlands International Act Now on Wetlands for Achieving the Sustainable Development Goals (Agenda 2030). Available online: https://www.wetlands.org/publications/act-now-on-wetlands-for-agenda-2030/ (accessed on 13 December 2018).
- Jaramillo, F.; Desormeaux, A.; Hedlund, J.; Jawitz, J.; Clerici, N.; Piemontese, L.; Rodríguez-Rodriguez, J.; Anaya, J.; Blanco-Libreros, J.; Borja, S.; et al. Priorities and interactions of sustainable development goals (SDGs) with focus on wetlands. Water 2019, 11, 619. [Google Scholar] [CrossRef]
- Allen, C.; Metternicht, G.; Wiedmann, T. Prioritising SDG targets: Assessing baselines, gaps and interlinkages. Sustain. Sci. 2019, 14, 421–438. [Google Scholar] [CrossRef]
- Thorslund, J.; Jarsjo, J.; Jaramillo, F.; Jawitz, J.W.; Manzoni, S.; Basu, N.B.; Chalov, S.R.; Cohen, M.J.; Creed, I.F.; Goldenberg, R.; et al. Wetlands as large-scale nature-based solutions: Status and challenges for research, engineering and management. Ecol. Eng. 2017, 108, 489–497. [Google Scholar] [CrossRef]
- Ramsar Convention on Wetlands. Scaling Up Wetland Conservation, Wise Use and Restoration to Achieve the Sustainable Developmenct Goals 2018. Available online: https://www.ramsar.org/sites/default/files/documents/library/wetlands_sdgs_e.pdf (accessed on 1 February 2019).
- Mitsch, W.J.; Bernal, B.; Hernandez, M.E. Ecosystem services of wetlands. Int. J. Biodivers. Sci. Ecosyst. Serv. Manag. 2015, 11, 1–4. [Google Scholar] [CrossRef]
- McInnes, R.J.; Simpson, M.; Lopez, B.; Hawkins, R.; Shore, R. Wetland ecosystem services and the Ramsar Convention: An assessment of needs. Wetlands 2017, 37, 123–134. [Google Scholar] [CrossRef]
- Maltby, E. Wetland management goals: Wise use and conservation. Landsc. Urban Plan. 1991, 20, 9–18. [Google Scholar] [CrossRef]
- Matthews, E.; Fung, I. Methane emission from natural wetlands: Global distribution, area, and environmental characteristics of sources. Glob. Biogeochem. Cycles 1987, 1, 61–86. [Google Scholar] [CrossRef]
- Finlayson, C.M.; Davidson, N.C.; Spiers, A.G.; Stevenson, N.J. Global Wetland Inventory-Current Status and Future Priorities. Mar. Freshw. Res. 1999, 50, 717–727. [Google Scholar] [CrossRef]
- Global Lakes and Wetlands Database. Available online: https://www.worldwildlife.org/pages/global-lakes-and-wetlands-database (accessed on 1 September 2021).
- Pekel, J.F.; Cottam, A.; Gorelick, N.; Belward, A.S. High-resolution mapping of global surface water and its long-term changes. Nature 2016, 540, 418–422. [Google Scholar] [CrossRef]
- Gong, P.; Li, X.; Wang, J.; Bai, Y.; Chen, B.; Hu, T.; Liu, X.; Xu, B.; Yang, J.; Zhang, W.; et al. Annual maps of global artificial impervious area (GAIA) between 1985 and 2018. Remote Sens. Environ. 2020, 236, 111510. [Google Scholar] [CrossRef]
- Murray, N.J.; Phinn, S.R.; DeWitt, M.; Ferrari, R.; Johnston, R.; Lyons, M.B.; Clinton, N.; Thau, D.; Fuller, R.A. The global distribution and trajectory of tidal flats. Nature 2019, 565, 222–225. [Google Scholar] [CrossRef] [PubMed]
- Lehner, B.; Liermann, C.R.; Revenga, C.; Vörösmarty, C.; Fekete, B.; Crouzet, P.; Döll, P.; Endejan, M.; Frenken, K.; Magome, J.; et al. High-resolution mapping of the world’s reservoirs and dams for sustainable river-flow management. Front. Ecol. Environ. 2011, 9, 494–502. [Google Scholar] [CrossRef]
- GMW—Global Mangrove Watch (1996–2020). Available online: https://data.unep-wcmc.org/datasets/45,%201996%E2%80%932016 (accessed on 19 September 2021).
- Available online: https://www.feow.org/ecoregions/interactive-map (accessed on 14 October 2021).
- Zhang, Z.; Xu, N.; Li, Y.; Li, Y. Subcontinental-scale mapping of tidal wetland composition for East Asia: A novel algorithm integrating satellite tide-level and phenological features. Remote Sens. Environ. 2022, 269, 112799. [Google Scholar] [CrossRef]
- Mao, D.; Wang, Z.; Du, B.; Li, L.; Tian, Y.; Jia, M.; Zeng, Y.; Song, K.; Jiang, M.; Wang, Y. National wetland mapping in China: A new product resulting from object-based and hierarchical classification of Landsat 8 OLI images. ISPRS J. Photogramm. 2020, 164, 11–25. [Google Scholar] [CrossRef]
- Mahdianpari, M.; Salehi, B.; Mohammadimanesh, F.; Brisco, B.; Homayouni, S.; Gill, E.; DeLancey, E.R.; Bourgeau-Chavez, L. Big data for a big country: The first generation of Canadian wetland inventory map at a spatial resolution of 10-m using Sentinel-1 and Sentinel-2 data on the Google Earth Engine cloud computing platform. Can. J. Remote Sens. 2020, 46, 15–33. [Google Scholar] [CrossRef]
- Zhang, E.; Wang, Y.; Sun, W.; Shen, J. Holocene Asian monsoon evolution revealed by a pollen record from an alpine lake on the southeastern margin of the Qinghai-Tibetan Plateau, China. Clim. Past 2016, 12, 415–427. [Google Scholar] [CrossRef]
- Prasad, K.A.; Ottinger, M.; Wei, C.; Leinenkugel, P. Assessment of coastal aquaculture for India from Sentinel-1 SAR time series. Remote Sens. 2019, 11, 357. [Google Scholar] [CrossRef]
- Campbell, A.D.; Wang, Y. Salt marsh monitoring along the mid-Atlantic coast by Google Earth Engine enabled time series. PLoS ONE 2020, 15, e0229605. [Google Scholar] [CrossRef]
- Cissell, J.R.; Delgado, A.M.; Sweetman, B.M.; Steinberg, M.K. Monitoring mangrove forest dynamics in Campeche, Mexico, using Landsat satellite data. Remote Sens. Appl. Soc. Environ. 2018, 9, 60–68. [Google Scholar] [CrossRef]
- Xiao, X.; Boles, S.; Frolking, S.; Li, C.; Babu, J.Y.; Salas, W.; Moore, B. Mapping Paddy Rice Agriculture in South and Southeast Asia Using Multi-Temporal MODIS Images. Remote Sens. Environ. 2006, 100, 95–113. [Google Scholar] [CrossRef]
- Xiao, H.; Su, F.; Fu, D.; Lyne, V.; Liu, G.; Pan, T.; Teng, J. Optimal and Robust Vegetation Mapping in Complex Environments Using Multiple Satellite Imagery: Application to Mangroves in Southeast Asia. Int. J. Appl. Earth Obs. Geoinf. 2021, 99, 102320. [Google Scholar] [CrossRef]
- Aslan, A.; Rahman, A.F.; Warren, M.W.; Robeson, S.M. Mapping Spatial Distribution and Biomass of Coastal Wetland Vegetation in Indonesian Papua by Combining Active and Passive Remotely Sensed Data. Remote Sens. Environ. 2016, 183, 65–81. [Google Scholar] [CrossRef]
- Anda, M.; Ritung, S.; Suryani, E.; Sukarman; Hikmat, M.; Yatno, E.; Mulyani, A.; Subandiono, R.E.; Suratman; Husnain. Revisiting Tropical Peatlands in Indonesia: Semi-Detailed Mapping, Extent and Depth Distribution Assessment. Geoderma 2021, 402, 115235. [Google Scholar] [CrossRef]
- Dang, A.T.N.; Kumar, L.; Reid, M.; Nguyen, H. Remote sensing approach for monitoring coastal wetland in the Mekong Delta, Vietnam: Change trends and their driving forces. Remote Sens. 2021, 13, 3359. [Google Scholar] [CrossRef]
- Wua, Q.; Lane, C.R.; Li, X.; Zhao, K.; Zhou, Y.; Clinton, N.; DeVries, B.; Golden, H.E.; Lang, M.W. Integrating LiDAR data and multi-temporal aerial imagery to map wetland inundation dynamics using Google Earth Engine. Remote Sens. Environ. 2019, 228, 1–13. [Google Scholar] [CrossRef]
- Zeng, L.; Wardlow, B.D.; Xiang, D.; Hu, S.; Li, D. A review of vegetation phenological metrics extraction using time-series, multispectral satellite data. Remote Sens. Environ. 2020, 237, 111511. [Google Scholar] [CrossRef]
- Gxokwe, S.; Dube, T.; Mazvimavi, D. Leveraging Google Earth Engine platform to characterize and map small seasonal wetlands in the semi-arid environments of South Africa. Sci. Total Environ. 2022, 803, 150139. [Google Scholar] [CrossRef]
- Chen, C.; Ma, Y.; Ren, G.; Wang, J. Aboveground biomass of salt-marsh vegetation in coastal wetlands: Sample expansion of in situ hyperspectral and Sentinel-2 data using a generative adversarial network. Remote Sens. Environ. 2022, 270, 112885. [Google Scholar] [CrossRef]
- Wang, C.; Jiang, W.; Deng, Y. Long time series water extent analysis for SDG 6.6. 1 based on the GEE platform: A case study of Dongting Lake. IEEE J. Sel. Top. Appl. Earth Obs. Remote Sens. 2021, 15, 490–503. [Google Scholar] [CrossRef]
- Biswas, N.K.; Hossain, F.; Bonnema, M.; Okeowo, M.A.; Lee, H. An altimeter height extraction technique for dynamically changing rivers of South and South-East Asia. Remote Sens. Environ. 2019, 221, 24–37. [Google Scholar] [CrossRef]
- Hardy, A.; Oakes, G.; Ettritch, G. Tropical wetland (TropWet) mapping tool: The automatic detection of open and vegetated waterbodies in Google Earth engine for tropical wetlands. Remote Sens. 2020, 12, 1182. [Google Scholar] [CrossRef]
- Ivory, S.J.; Mcglue, M.M.; Spera, S.; Silva, A.; Bergier, I. Vegetation, rainfall, and pulsing hydrology in the Pantanal, the world’s largest tropical wetland. Environ. Res. Lett. 2019, 14, 124017. [Google Scholar] [CrossRef]
- Phiri, D.; Simwanda, M.; Salekin, S.; Nyirenda, V.R.; Murayama, Y.; Ranagalage, M. Sentinel-2 Data for Land Cover/Use Mapping: A Review. Remote Sens. 2020, 12, 2291. [Google Scholar] [CrossRef]
- Bruzzone, L.; Bovolo, F.; Paris, C.; Solano-Correa, Y.T.; Zanetti, M.; Fernández-Prieto, D. Analysis of multitemporal Sentinel-2 images in the framework of the ESA Scientific Exploitation of Operational Missions. In Proceedings of the 2017 9th International Workshop on the Analysis of Multitemporal Remote Sensing Images (MultiTemp), Brugge, Belgium, 27–29 June 2017; pp. 1–4. [Google Scholar]
- Xu, Y.; Yu, L.; Feng, D.; Peng, D.; Li, C.; Huang, X.; Lu, H.; Gong, P. Comparisons of three recent moderate resolution African land cover datasets: CGLS-LC100, ESA-S2-LC20, and FROM-GLC-Africa30. Int. J. Remote Sens. 2019, 40, 6185–6202. [Google Scholar] [CrossRef]
- Gromny, E.; Lewiński, S.; Rybicki, M.; Malinowski, R.; Krupiński, M.; Nowakowski, A.; Jenerowicz, M. Creation of training dataset for Sentinel-2 land cover classification. In Proceedings of the Photonics Applications in Astronomy, Communications, Industry, and High-Energy Physics Experiments 2019, Wilga, Poland, 6 November 2019; p. 111763D. [Google Scholar]
- ESA. Mapping Germany’s Agricultural Landscape; ESA, Ed.; 2017. Available online: https://www.esa.int/ESA_Multimedia/Images/2017/2008/Mapping_Germany_s_agricultural_landscape (accessed on 19 September 2021).
- Sitokonstantinou, V.; Papoutsis, I.; Kontoes, C.; Lafarga Arnal, A.; Armesto Andrés, A.P.; Garraza Zurbano, J.A. Scalable Parcel-Based Crop Identification Scheme Using Sentinel-2 Data Time-Series for the Monitoring of the Common Agricultural Policy. Remote Sens. 2018, 10, 911. [Google Scholar] [CrossRef]
- Van Deventer, H.; Linström, A.; Durand, J.F.; Naidoo, L.; Cho, M.A. Deriving the Maximum Extent and Hydroperiod of Open Water from Sentinel-2 Imagery for Global Sustainability and Biodiversity Reporting for Wetlands. Water SA 2022, 48, 75–89. [Google Scholar] [CrossRef]
- Pahlevan, N.; Chittimalli, S.K.; Balasubramanian, S.V.; Vellucci, V. Sentinel-2/Landsat-8 Product Consistency and Implications for Monitoring Aquatic Systems. Remote Sens. Environ. 2019, 220, 19–29. [Google Scholar] [CrossRef]
- Fitoka, E.; Tompoulidou, M.; Hatziiordanou, L.; Apostolakis, A.; Höfer, R.; Weise, K.; Ververis, C. Water-related ecosystems’ mapping and assessment based on remote sensing techniques and geospatial analysis: The SWOS national service case of the Greek Ramsar sites and their catchments. Remote Sens. Environ. 2020, 245, 111795. [Google Scholar] [CrossRef]
- Weise, K.; Höfer, R.; Franke, J.; Guelmami, A.; Simonson, W.; Muro, J.; O’Connor, B.; Strauch, A.; Flink, S.; Eberle, J.; et al. Wetland extent tools for SDG 6.6. 1 reporting from the Satellite-based Wetland Observation Service (SWOS). Remote Sens. Environ. 2020, 247, 111892. [Google Scholar] [CrossRef]
- Sun, Y.; Huang, J.; Ao, Z.; Lao, D.; Xin, Q. Deep learning approaches for the mapping of tree species diversity in a tropical wetland using airborne LiDAR and high-spatial-resolution remote sensing images. Forests 2019, 10, 1047. [Google Scholar] [CrossRef]
- Hu, X.; Zhang, P.; Zhang, Q.; Wang, J. Improving wetland cover classification using artificial neural networks with ensemble techniques. GISci. Remote Sens. 2021, 58, 603–623. [Google Scholar] [CrossRef]
- Zhao, M.; Zhou, Y.; Li, X.; Cheng, W.; Zhou, C.; Ma, T.; Li, M.; Huang, K. Mapping urban dynamics (1992–2018) in Southeast Asia using consistent nighttime light data from DMSP and VIIRS. Remote Sens. Environ. 2020, 248, 111980. [Google Scholar] [CrossRef]
- Tian, S.; Wang, S.; Bai, X.; Luo, G.; Li, Q.; Yang, Y.; Hu, Z.; Li, C.; Deng, Y. Global patterns and changes of carbon emissions from land use during 1992–2015. Environ. Sci. Ecotechnol. 2021, 7, 100108. [Google Scholar] [CrossRef]
- Lin, H.I.; Yu, Y.Y.; Wen, F.I.; Liu, P. Status of food security in East and Southeast Asia and challenges of climate change. Climate 2022, 10, 40. [Google Scholar] [CrossRef]
- Wang, T.; Wang, W.; Xie, G.; Li, Z.; Fan, X.; Yang, Q.; Wu, X.; Cao, P.; Liu, Y.; Yang, R.; et al. Human population history at the crossroads of East and Southeast Asia since 11,000 years ago. Cell 2021, 184, 3829–3841.e21. [Google Scholar] [CrossRef]
- Von Rintelen, K.; Arida, E.; Häuser, C.; von Rintelen, K.; Arida, E.; Häuser, C.; von Rintelen, K.; Arida, E.; Häuser, C.; von Rintelen, K.; et al. A review of biodiversity-related issues and challenges in megadiverse Indonesia and other Southeast Asian countries. Res. Ideas Outcomes 2017, 3, e20860. [Google Scholar] [CrossRef]
- Segarra, J.; Buchaillot, M.L.; Araus, J.L.; Kefauver, S.C. Remote sensing for precision agriculture: Sentinel-2 improved features and applications. Agronomy 2020, 10, 641. [Google Scholar] [CrossRef]
- Zhu, Z.; Wang, S.; Woodcock, C.E. Improvement and expansion of the Fmask algorithm: Cloud, cloud shadow, and snow detection for Landsats 4–7, 8, and Sentinel 2 images. Remote Sens. Environ. 2015, 159, 269–277. [Google Scholar] [CrossRef]
- Maniatis, D.; Dionisio, D.; Guarnieri, L.; Marchi, G.; Mollicone, D.; Díaz, A.S.P.; Morales, C. Toward a More Representative Monitoring of Land-Use and Land-Cover Dynamics: The Use of a Sample-Based Assessment through Augmented Visual Interpretation Using Open Foris Collect Earth. Remote Sens. 2021, 13, 4197. [Google Scholar] [CrossRef]
- Luo, J.; Zhang, W.; Su, J.; Xiang, F. Hexagonal convolutional neural networks for hexagonal grids. IEEE Access 2019, 7, 142738–142749. [Google Scholar] [CrossRef]
- Liu, Y.; Zhang, H.Q.; Zhang, M.; Cui, Z.Y.; Lei, K.X.; Zhang, J.; Yang, T.D.; Ji, P. Vietnam wetland cover map: Using hydro-periods Sentinel-2 images and Google Earth Engine to explore the mapping method of tropical wetland. Int. J. Appl. Earth Obs. Geoinf. 2022. (submitted). [Google Scholar]
- Niu, Z.G.; Gong, P.; Cheng, X.; Guo, J.H.; Wang, L.; Huang, H.B.; Shen, S.Q.; Wu, Y.Z.; Wang, X.F.; Wang, X.W.; et al. Geographical characteristics of China’s wetlands derived from remotely sensed data. Sci. China Ser. D-Earth Sci. 2009, 52, 723–738. [Google Scholar] [CrossRef]
- Du, W.; Li, J.; Bao, A.; Wang, B. Mapping Changes in the Glaciers of the Eastern Tienshan Mountains during 1977–2013 Using Multitemporal Remote Sensing. J. Appl. Remote Sens. 2014, 8, 84683. [Google Scholar] [CrossRef]
- Li, Y.; Niu, Z. Systematic Method for Mapping Fine-Resolution Water Cover Types in China Based on Time Series Sentinel-1 and 2 Images. Int. J. Appl. Earth Obs. Geoinf. 2022, 106, 102656. [Google Scholar] [CrossRef]
- D’Andrimont, R.; Verhegghen, A.; Lemoine, G.; Kempeneers, P.; Meroni, M.; van der Velde, M. From Parcel to Continental Scale–A First European Crop Type Map Based on Sentinel-1 and LUCAS Copernicus in-Situ Observations. Remote Sens. Environ. 2021, 266, 112708. [Google Scholar] [CrossRef]
- Gong, P.; Li, X.; Zhang, W. 40-Year (1978–2017) Human Settlement Changes in China Reflected by Impervious Surfaces from Satellite Remote Sensing. Sci. Bull. 2019, 64, 756–763. [Google Scholar] [CrossRef]
- Stehman, S.V.; Foody, G.M. Key Issues in Rigorous Accuracy Assessment of Land Cover Products. Remote Sens. Environ. 2019, 231, 111199. [Google Scholar] [CrossRef]
- Zheng, Y.; Niu, Z.; Gong, P.; Wang, J. A Database of Global Wetland Validation Samples for Wetland Mapping. Sci. Bull. 2015, 60, 428–434. [Google Scholar] [CrossRef]
- Mwita, E.; Menz, G.; Misana, S.; Becker, M.; Kisanga, D.; Boehme, B. Mapping small wetlands of Kenya and Tanzania using remote sensing techniques. Int. J. Appl. Earth Obs. Geoinf. 2013, 21, 173–183. [Google Scholar] [CrossRef]















| Category I | Category II | Features |
|---|---|---|
| Inland wetlands | Inland swamp | (1) Vegetation and water mixed areas, including forest and shrub wetlands; |
| (2) Irregular shape; | ||
| (3) No obvious phenological dynamics in tropical areas; | ||
| (4) Influenced by inundation frequency. | ||
| Inland marsh | (1) Herbaceous vegetation and water mixed areas; | |
| (2) Irregular shape, smooth texture; | ||
| (3) No obvious phenological dynamics in tropical areas; | ||
| (4) Influenced by inundation frequency. | ||
| Lake | (1) Standing waterbody; | |
| (2) Smooth texture; | ||
| (3) No obvious phenological dynamics; | ||
| (4) Influenced by inundation frequency. | ||
| River | (1) Standing waterbody; | |
| (2) Linear shape and smooth texture; | ||
| (3) No obvious phenological dynamics; | ||
| (4) Influenced by inundation frequency. | ||
| Coastal wetlands | Coastal swamp | (1) Vegetation and water mixed areas, including forest and shrub wetlands; |
| (2) Irregular shape and smooth texture; | ||
| (3) Obvious phenological dynamics; | ||
| (4) Influenced by inundation frequency. | ||
| Coastal marsh | (1) Herbaceous vegetation and water mixed areas; | |
| (2) Irregular shape, smooth texture; | ||
| (3) No obvious phenological dynamics in tropical areas; | ||
| (4) Influenced by inundation frequency. | ||
| Tidal flat | (1) Sand beach, rocky shore, and coral reef mixed areas; | |
| (2) Influenced by inundation frequency. | ||
| Lagoon | (1) Standing waterbody; | |
| (2) Smooth texture; | ||
| (3) No obvious phenological dynamics; | ||
| (4) Influenced by inundation frequency. | ||
| Estuarine water | (1) Boundary of inland river and coastline; | |
| (2) Irregular shape; | ||
| (3) Obvious phenological dynamics; | ||
| (4) Influenced by inundation frequency. | ||
| Human-made wetlands | Reservoir/pond/salt pan | (1) Artificial polygon waterbody with obvious dam; |
| (2) Regular shape; | ||
| (3) Obvious inundation frequency. | ||
| Canal/channel | (1) Artificial waterbody with obvious dam; | |
| (2) Linear shape. |
| Dataset | Time | Spatial Resolution | Purpose of this Research | Source |
|---|---|---|---|---|
| The global distribution and trajectory of tidal flats (GTF) | 2014 | 30 m | To extract validation sample reference data of tidal flat wetlands. | https://www.intertidal.app, accessed on 1 September 2021 |
| Global Reservoir and Dam Database (GRanD) | 2019 | 30 m | To extract validation sample reference data of reservoir wetlands. | http://globaldamwatch.org/data/#core_global, accessed on 1 September 2021 |
| Global Lakes and Wetlands Database: Lakes and Wetlands Grid (GLWD) | The 1990s | 30″ | To extract validation sample reference data of lake wetlands. | https://www.worldwildlife.org/publications/global-lakes-and-wetlands-database-lakes-and-wetlands-grid-level-3, accessed on 1 September 2021 |
| Global Mangrove Watch (GMW) | 2016 | 1° | To extract validation sample reference data of mangrove wetlands. | https://data.unep-wcmc.org/datasets/45, accessed on 1 September 2021 |
| Landsat Global Inland Water (LGIW) | 2000 | 30 m | To extract validation sample reference data of river wetlands. | http://data.ess.tsinghua.edu.cn/, accessed on 1 September 2021 |
| Worldwide land cover mapping (WLC) | 2020 | 10 m | To extract validation sample reference data of no-wetlands. | https://esa-worldcover.org/en, accessed on 1 September 2021 |
| MODIS Land Cover (MLC) | 2020 | 500 m | To extract permanent wetlands. | https://lpdaac.usgs.gov/products/mcd12q1v006/, accessed on 1 September 2021 |
| Database for Hydrological Time Series of Inland Waters (DAHITI) | 2018 | 10 m | To extract validation sample reference data of inland waters. | https://dahiti.dgfi.tum.de/en/, accessed on 1 September 2021 |
| Classification | Inland | Inland | Lake | River | Coastal | Coastal | Tidal | Estuarine | Lagoon | Reservoir/ | Canal/ | Non-Wetland | Total | PA% | F1 |
|---|---|---|---|---|---|---|---|---|---|---|---|---|---|---|---|
| Swamp | Marsh | Swamp | Marsh | Flat | Water | Pond | Channel | ||||||||
| Inland swamp | 983 | 53 | 8 | 5 | 37 | 34 | 11 | 41 | 6 | 4 | 6 | 12 | 1200 | 81.92% | 0.81 |
| Inland marsh | 49 | 914 | 6 | 7 | 24 | 37 | 9 | 31 | 2 | 4 | 2 | 15 | 1100 | 83.09% | 0.80 |
| Lake | 7 | 8 | 1332 | 41 | 14 | 17 | 24 | 29 | 33 | 35 | 29 | 31 | 1600 | 83.25% | 0.81 |
| River | 4 | 6 | 38 | 1323 | 25 | 28 | 18 | 27 | 32 | 36 | 27 | 36 | 1600 | 82.69% | 0.82 |
| Coastal swamp | 36 | 54 | 16 | 23 | 1964 | 66 | 34 | 77 | 21 | 26 | 14 | 69 | 2400 | 81.83% | 0.81 |
| Coastal marsh | 26 | 22 | 21 | 19 | 65 | 1139 | 29 | 33 | 14 | 6 | 5 | 21 | 1400 | 81.36% | 0.80 |
| Tidal flat | 13 | 7 | 22 | 11 | 36 | 25 | 1511 | 58 | 21 | 18 | 12 | 26 | 1760 | 85.85% | 0.84 |
| Estuarine water | 39 | 18 | 27 | 34 | 79 | 31 | 54 | 1176 | 17 | 12 | 14 | 19 | 1520 | 77.37% | 0.76 |
| Lagoon | 8 | 4 | 31 | 26 | 25 | 13 | 18 | 15 | 1058 | 9 | 6 | 12 | 1225 | 86.37% | 0.84 |
| Reservoir/pond | 5 | 1 | 37 | 37 | 27 | 1 | 15 | 8 | 4 | 789 | 30 | 46 | 1000 | 78.90% | 0.79 |
| Canal/channel | 6 | 1 | 32 | 39 | 19 | 2 | 11 | 6 | 3 | 27 | 823 | 31 | 1000 | 82.30% | 0.81 |
| Non-wetland | 23 | 11 | 39 | 34 | 84 | 6 | 25 | 18 | 13 | 34 | 32 | 1681 | 2000 | 84.05% | 0.83 |
| Total | 1199 | 1099 | 1609 | 1599 | 2399 | 1399 | 1759 | 1519 | 1224 | 1000 | 1000 | 1999 | 17,805 | - | - |
| UA% | 81.98% | 83.17% | 82.78% | 82.74% | 81.87% | 81.42% | 85.90% | 77.42% | 86.44% | 78.90% | 82.30% | 84.09% | - | 82.52% | - |
| Category I | Category II | Area (km2) | Percentage | Area/Percentage |
|---|---|---|---|---|
| Inland wetlands | Inland swamp | 11,066.59 | 8.98% | 49,536.64 km2 40.19% |
| Inland marsh | 4961.45 | 4.02% | ||
| Lake | 11,965.05 | 9.71% | ||
| River | 21,543.55 | 17.48% | ||
| Coastal wetlands | Coastal swamp | 48,002.66 | 38.94% | 58,534.78 km2 47.49% |
| Coastal marsh | 2224.54 | 1.80% | ||
| Lagoon | 353.75 | 0.29% | ||
| Tidal flat | 3078.59 | 2.50% | ||
| Estuarine water | 4875.24 | 3.95% | ||
| Human-made | Reservoir/pond | 15,093.80 | 12.24% | 15,197.19 km2 12.33% |
| wetlands | Canal/channel | 103.39 | 0.08% | |
| Total | 123,268.61 | 100.00% | 100.00% | |
| Country | Wetland Area (km2) | Land Area (km2) | WR |
|---|---|---|---|
| Singapore | 50.73 | 728.60 | 6.96% |
| Cambodia | 8751.02 | 18,1359.62 | 4.83% |
| Vietnam | 11,251.41 | 329,556.00 | 3.41% |
| Brunei | 181.84 | 5777.80 | 3.15% |
| Indonesia | 60,155.23 | 191,3578.68 | 3.14% |
| Malaysia | 9512.28 | 330,000.00 | 2.88% |
| Philippines | 7949.31 | 299,700.00 | 2.65% |
| Myanmar | 13,996.17 | 676,578.00 | 2.07% |
| Thailand | 8639.13 | 513,000.00 | 1.68% |
| Laos | 2615.64 | 236,800.00 | 1.10% |
| East Timor | 166.89 | 15,007.00 | 1.11% |
| Total | 123,269.65 | 4,460,864.81 | 2.74% |
| Dataset | Time | Spatial Resolution | Comparison Type | Area (km2) | |
|---|---|---|---|---|---|
| Dataset | SEAWeC | ||||
| The global distribution and trajectory of tidal flats (GTF) | 2016 | 30 m | Tidal flat | 2633.78 | 3078.59 |
| Global Mangrove Watch (GMW) | 2020 | 1° | Coastal swamp | 48,703.18 | 48,002.66 |
| Worldwide land cover mapping (WLC) | 2020 | 10 m | Coastal swamp | 55,921.82 | 48,002.66 |
| MODIS Land Cover (MLC) | 2020 | 500 m | Wetland total areas in Southeast Asia | 88,145.91 | 123,268.61 |
Publisher’s Note: MDPI stays neutral with regard to jurisdictional claims in published maps and institutional affiliations. |
© 2022 by the authors. Licensee MDPI, Basel, Switzerland. This article is an open access article distributed under the terms and conditions of the Creative Commons Attribution (CC BY) license (https://creativecommons.org/licenses/by/4.0/).
Share and Cite
Liu, Y.; Zhang, H.; Cui, Z.; Zuo, Y.; Lei, K.; Zhang, J.; Yang, T.; Ji, P. Precise Wetland Mapping in Southeast Asia for the Ramsar Strategic Plan 2016–24. Remote Sens. 2022, 14, 5730. https://doi.org/10.3390/rs14225730
Liu Y, Zhang H, Cui Z, Zuo Y, Lei K, Zhang J, Yang T, Ji P. Precise Wetland Mapping in Southeast Asia for the Ramsar Strategic Plan 2016–24. Remote Sensing. 2022; 14(22):5730. https://doi.org/10.3390/rs14225730
Chicago/Turabian StyleLiu, Yang, Huaiqing Zhang, Zeyu Cui, Yuanqing Zuo, Kexin Lei, Jing Zhang, Tingdong Yang, and Ping Ji. 2022. "Precise Wetland Mapping in Southeast Asia for the Ramsar Strategic Plan 2016–24" Remote Sensing 14, no. 22: 5730. https://doi.org/10.3390/rs14225730
APA StyleLiu, Y., Zhang, H., Cui, Z., Zuo, Y., Lei, K., Zhang, J., Yang, T., & Ji, P. (2022). Precise Wetland Mapping in Southeast Asia for the Ramsar Strategic Plan 2016–24. Remote Sensing, 14(22), 5730. https://doi.org/10.3390/rs14225730

