Inversion of Different Cultivated Soil Types’ Salinity Using Hyperspectral Data and Machine Learning
Abstract
1. Introduction
2. Materials and Methods
2.1. Study Area
2.2. Data Sources
2.2.1. Hyperspectral Data Acquisition and Preprocessing
2.2.2. Soil Sample Collection and Preprocessing
2.2.3. Environmental Variables
2.3. Selection of the Optimal Spectral Index for Estimating Soil Salinity
2.4. Method
2.4.1. Features Selection
2.4.2. Modeling Method and Model Evaluation Index
3. Results
3.1. Descriptive Statistics of Measured Soil Attributes
3.2. Hyperspectral Characteristics of Different Types of Salinized Soils
3.3. Correlation Coefficient between EC and Reflectance of Salinized Soil Types
3.4. Relationship between Soil EC and Spectral Parameters
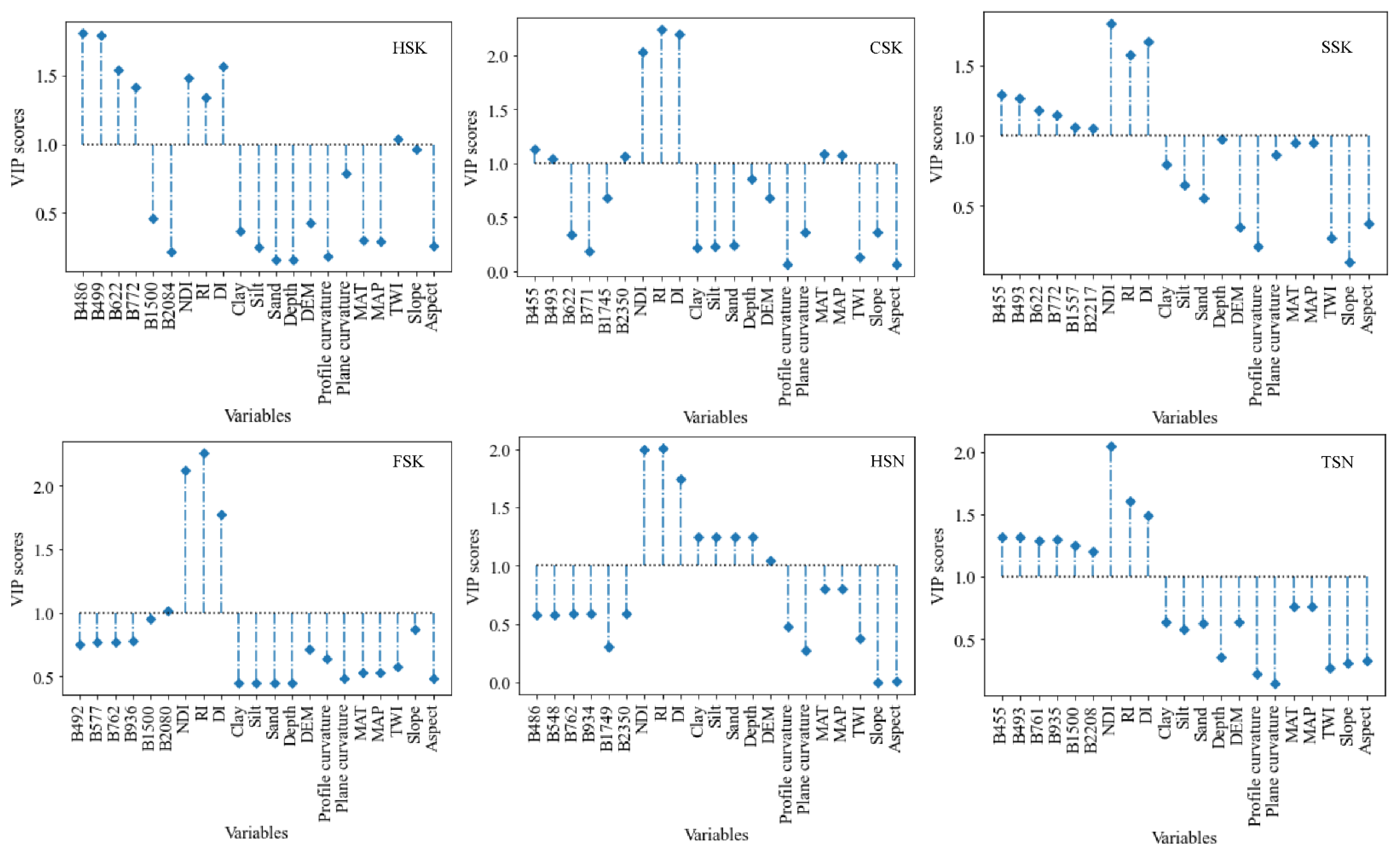
3.5. Optimal Factor Selection for Soil EC Inversion
3.6. Model Establishment
4. Discussion
4.1. Spectral Characteristics of Different Types of Soil
4.2. Inversion of Soil Salinity Based on VIP Feature Screening
4.3. Model Uncertainty Analysis
5. Conclusions
Author Contributions
Funding
Data Availability Statement
Conflicts of Interest
References
- Aldabaa, A.A.A.; Weindorf, D.C.; Chakraborty, S.; Sharma, A.; Li, B. Combination of proximal and remote sensing methods for rapid soil salinity quantification. Geoderma 2015, 239–240, 34–46. [Google Scholar] [CrossRef]
- Tóth, G.; Hermann, T.; da Silva, M.R.; Montanarella, L.J.E.M. Assessment, Monitoring soil for sustainable development and land degradation neutrality. Environ. Monit. Assess. 2018, 190, 57. [Google Scholar] [CrossRef] [PubMed]
- Hassani, A.; Azapagic, A.; Shokri, N. Global predictions of primary soil salinization under changing climate in the 21st century. Nat. Commun. 2021, 12, 6663. [Google Scholar] [CrossRef] [PubMed]
- Zaman, M.; Shahid, S.A.; Heng, L. Guideline for Salinity Assessment, Mitigation and Adaptation Using Nuclear and Related Techniques; Springer: Cham, Switzerland, 2018. [Google Scholar]
- Abdelaziz, M.E.; Abdelsattar, M.; Abdeldaym, E.A.; Atia, M.A.M.; Mahmoud, A.W.M.; Saad, M.M.; Hirt, H. Piriformospora indica alters Na+/K+ homeostasis, antioxidant enzymes and LeNHX1 expression of greenhouse tomato grown under salt stress. Sci. Hortic. 2019, 256, 108532. [Google Scholar] [CrossRef]
- Erdogan, H.E.; Havlicek, E.; Dazzi, C.; Montanarella, L.; Van Liedekerke, M.; Vrscaj, B.; Krasilnikov, P.; Khasankhanova, G.; Vargas, R. Soil conservation and sustainable development goals(SDGs) achievement in Europe and central Asia: Which role for the European soil partnership? Int. Soil Water Conserv. Res. 2021, 9, 360–369. [Google Scholar] [CrossRef]
- Singh, A. Soil salinity: A global threat to sustainable development. Soil Use Manag. 2022, 38, 39–67. [Google Scholar] [CrossRef]
- Jiang, L.; Li, P.C.; Hu, A.Y.; Yi, X. Analysis and evaluation of soil salinization in oasis of arid region. Arid Land Geography. 2009, 32, 234–239. [Google Scholar]
- Yu, R.H.; Liu, T.X.; Xu, Y.P.; Zhu, C.; Zhang, Q.; Qu, Z.Y.; Liu, X.M.; Li, C.Y. Analysis of salinization dynamics by remote sensing in Hetao Irrigation District of North China. Agric Water Manag. 2010, 97, 1952–1960. [Google Scholar] [CrossRef]
- Hou, Y.M.; Wang, G.; Wang, E.Y.; Liang, K.F. Research of causes of land salinization and analysis of treatment scheme of Hetao Irrigation Region. Mod Agric. 2011, 1, 92–93. [Google Scholar]
- Wang, Z.; Zhang, X.L.; Zhang, F.; Chan, N.W.; Kung, H.T.; Liu, S.H.; Deng, L.F. Estimation of soil salt content using machine learning techniques based on remote-sensing fractional derivatives, a case study in the Ebinur Lake Wetland National Nature Reserve, Northwest China. Ecol. Indic. 2020, 119, 106869. [Google Scholar] [CrossRef]
- Li, Y.S.; Chang, C.Y.; Wang, Z.R.; Zhao, G.X. Remote sensing prediction and characteristic analysis of cultivated land salinization in different seasons and multiple soil layers in the coastal area. Int. J. Appl. Earth Obs. 2022, 111, 102838. [Google Scholar] [CrossRef]
- Wu, W.Y.; Yin, S.Y.; Liu, H.L.; Niu, Y.; Bao, Z. The geostatistic-based spatial distribution variations of soil salts under long-term wastewater irrigation. Environ. Monit. Assess. 2014, 186, 6747–6756. [Google Scholar] [CrossRef]
- Dong, X.; Li, X.; Zheng, X.; Jiang, T.; Li, X. Effect of saline soil cracks on satellite spectral inversion electrical conductivity. Remote Sens. 2020, 12, 3392. [Google Scholar] [CrossRef]
- Yao, R.J.; Yang, J.S.; Wu, D.H.; Xie, W.P.; Cui, S.Y.; Wang, X.P.; Yu, S.P.; Zhang, X. Determining soil salinity and plant biomass response for a farmed coastal cropland using the electromagnetic induction method. Comput. Electron Agric. 2015, 119, 241–253. [Google Scholar] [CrossRef]
- Chen, H.Y.; Ma, Y.; Zhu, A.X.; Wang, Z.R.; Zhao, G.X.; Wei, Y.N. Soil salinity inversion based on differentiated fusion of satellite image and ground spectra. Int. J. Appl. Earth Obs. 2021, 101, 102360. [Google Scholar] [CrossRef]
- Cao, X.Y.; Chen, W.Q.W.; Ge, X.Y.; Chen, X.Y.; Wang, J.Z.; Ding, J.L. Multidimensional soil salinity data mining and evaluation from different satellites. Sci. Total Environ. 2022, 846, 157416. [Google Scholar] [CrossRef]
- Ge, X.Y.; Ding, J.L.; Teng, D.X.; Xie, B.Q.; Zhang, X.L.; Wang, J.J.; Han, L.J.; Bao, Q.L.; Wang, J.Z. Exploring the capability of Gaofen-5 hyperspectral data for assessing soil salinity risks. Int. J. Appl. Earth Obs. Geoinf. 2022, 112, 102969. [Google Scholar] [CrossRef]
- Douglas, R.K.; Nawar, S.; Alamar, M.C.; Mouazen, A.M.; Coulon, F. Rapid prediction of total petroleum hydrocarbons concentration in contaminated soil using VIS-NIR spectroscopy and regression techniques. Sci. Total Environ. 2018, 616, 147–155. [Google Scholar] [CrossRef]
- Yu, H.; Kong, B.; Wang, Q.; Liu, X.; Liu, X.M. 14–Hyperspectral remote sensing applications in soil: A review. In Earth Observation, Hyperspectral Remote Sensing; Pandey, P.C., Srivastava, P.K., Balzter, H., Bhattacharya, B., Petropoulos, G.P., Eds.; Elsevier: Amsterdam, The Netherlands, 2020; pp. 269–291. [Google Scholar]
- Wang, J.Z.; Ding, J.L.; Yu, D.L.; Ma, X.K.; Zhang, Z.P.; Ge, X.Y.; Teng, D.X.; Li, X.H.; Liang, J.; Lizaga, I. Capability of Sentinel-2 MSI data for monitoring and mapping of soil salinity in dry and wet seasons in the Ebinur Lake region. Xinjiang, China. Geoderma 2019, 353, 172–187. [Google Scholar] [CrossRef]
- Avdan, U.; Kaplan, G.; Matci, D.K.; Avdan, Z.Y.; Erdem, F.; Mizik, E.T.; Demirtas, I.K. Soil salinity prediction models constructed by different remote sensors. Phys. Chem. Earth Parts A/B/C 2022, 128, 103230. [Google Scholar] [CrossRef]
- Francisco, P.S.; Pedro, P.C.; Juan, J.A.C.; Alessandro, G.V. Use of remote sensing to evaluate the effects of environmental factors on soil salinity in a semi-arid area. Sci. Total Environ. 2022, 815, 152524. [Google Scholar]
- Peng, J.; Biswas, A.; Jiang, Q.; Zhao, R.; Hu, J.; Hu, B.; Shi, Z. Estimating soil salinity from remote sensing and terrain data in southern Xinjiang Province, China. Geoderma 2019, 337, 1309–1319. [Google Scholar] [CrossRef]
- Bakhtiar, F.; Mohammad, K.G.; Tobia, L.; Thomas, B. A deep learning convolutional neural network algorithm for detecting saline flow sources and mapping the environmental impacts of the Urmia Lake drought in Iran. Catena 2021, 207, 105585. [Google Scholar]
- Guo, J.; Wang, W.; Ye, H.; Shi, Y.C. Analysis on spatial and temporal dynamic variations and their impact factors of salinization land in Hetao Plain. South North Water Transf. Water Sci. Technol. 2014, 12, 59–64. [Google Scholar]
- Feng, B.Q.; Cui, J.; Wu, D.; Guan, X.Y.; Wang, S.L. Preliminary studies on causes of salinization and alkalinization in irrigation districts of northwest China and countermeasures. China Water Resour. 2019, 9, 43–46. [Google Scholar]
- Jia, K.L.; Zhang, J.H.; Qin, J.Q. Spectral characteristics of Takyr Solonetzs and prediction of alkalization information. Agric. Res. Arid Areas. 2013, 31, 187–193. [Google Scholar]
- Yang, J.; Ma, Y.; Sun, Z.J. Water-salt transfer and spatial-temporal distribution characteristics in takyric solonetz land in Ningxia. Trans. CSAE 2018, 34, 214–221. [Google Scholar]
- Xue, S.G. Discussion on soil salinization and countermeasures in the development of Hongsibao irrigation area. Ningxia Agric. Forestry Sci. Technol. 2002, 6, 41–43. [Google Scholar]
- Brady, N.C.; Weil, R.R. The Nature and Properties of Soils, 14th ed.; Li, B.G.; Xu, J.M., Translators; Science Press: Beijing, China, 2019. [Google Scholar]
- Yan, F.P.; Shangguan, W.; Zhang, J.; Hu, B.F. Depth-to-bedrock map of China at a spatial resolution of 100 meters. Sci Data 2020, 7, 2. [Google Scholar] [CrossRef]
- Hong, Y.S.; Liu, Y.L.; Chen, Y.Y.; Liu, Y.F.; Yu, L.; Liu, Y.; Cheng, H. Application of fractional-order derivative in the quantitative estimation of soil organic matter content through visible and near-infrared spectroscopy. Geoderma 2019, 337, 758–769. [Google Scholar] [CrossRef]
- Jia, P.P.; Zhang, J.H.; He, W.; Hu, Y.; Zeng, R.; Zamanian, K.; Jia, K.L.; Zhao, X.N. Combination of hyperspectral and machine learning to invert soil electrical conductivity. Remote Sens. 2022, 14, 2602. [Google Scholar] [CrossRef]
- Jin, X.L.; Song, K.S.; Du, J.; Liu, H.J.; Wen, Z.D. Comparison of different satellite bands and vegetation indices for estimation of soil organic matter based on simulated spectral configuration. Agric. For. Meteorol. 2017, 244–245, 57–71. [Google Scholar] [CrossRef]
- Hong, Y.S.; Shen, R.L.; Cheng, H.; Chen, S.C.; Chen, Y.Y.; Guo, L.; He, J.H.; Liu, Y.L.; Yu, L.; Liu, Y. Cadmium concentration estimation in periurban agricultural soils: Using reflectance spectroscopy, soil auxiliary information, or a combination of both? Geoderma 2019, 354, 113875. [Google Scholar] [CrossRef]
- Oussama, A.; Elabadi, F.; Platikanov, S.; Kzaiber, F.; Tauler, R. Detection of olive oil adulteration using FT-IR spectroscopy and PLS with variable importance of projection (VIP) scores. J. Am. Chem. Soc. 2012, 89, 1807–1812. [Google Scholar] [CrossRef]
- Maimaitiyiming, M.; Ghulam, A.; Bozzolo, A.; Wilkins, J.L.; Kwasniewski, M.T. Early detection of plant physiological responses to different levels of water stress using reflectance spectroscopy. Remote Sens. 2017, 9, 745. [Google Scholar] [CrossRef]
- Wold, S.; Sjöström, M.; Eriksson, L. PLS-regression: A basic tool of chemometrics. Chemometr. Intell. Lab. Syst. 2001, 58, 109–130. [Google Scholar] [CrossRef]
- Breiman, L. Classification and regression based on a forest of trees using random inputs, based on Breiman. Mach Learn. 2001, 45, 5–32. [Google Scholar] [CrossRef]
- Geurts, P.; Ernst, D.; Wehenkel, L. Extremely randomized trees. Mach. Learn. 2006, 63, 3–42. [Google Scholar] [CrossRef]
- Maryam, I.; Hassan, G. Ridge regression-based feature extraction for hyperspectral data. Int. J. Remote Sens. 2015, 36, 1728–1742. [Google Scholar]
- Hunt, G.R. Spectral signatures of particulate minerals in the visible and near infrared. Geophysics 1977, 42, 501–513. [Google Scholar] [CrossRef]
- Xiao, D.; Wan, L.S.; Sun, X.Y. Remote sensing retrieval of saline and alkaline land based on reflectance spectroscopy and RV-MELM in Zhenlai County. Opt. Laser. Technol. 2021, 139, 106909. [Google Scholar] [CrossRef]
- Mahmood, S.; Abbas, A.; Mohamad-Reza, N.; Ruhollah, T.M.; Hossein-Ali, B. Remote and Vis-NIR spectra sensing potential for soil salinization estimation in the eastern coast of Urmia hyper saline lake, Iran. Remote Sens. Appl. Soc. Environ. 2020, 20, 100398. [Google Scholar]
- Peng, J.; Liu, H.J.; Shi, Z.; Xiang, H.Y.; Chi, C.M. Regional heterogeneity of hyperspectral characteristics of salt-affected soil and salinity inversion. Trans. CSAE 2014, 30, 167–174. [Google Scholar]
- Yu, X.; Liu, Q.; Wang, Y.B.; Liu, X.Y.; Liu, X. Evaluation of MLSR and PLSR for estimating soil element contents using visible/near infrared spectroscopy in apple orchards on the Jiaodong peninsula. Catena 2016, 137, 340–349. [Google Scholar] [CrossRef]
- Zhang, Z.P.; Ding, J.L.; Wang, J.Z.; Ge, X.Y. Prediction of soil organic matter in northwestern China using fractional order derivative spectroscopy and modified normalized difference indices. Catena 2020, 185, 104257. [Google Scholar] [CrossRef]
- Wang, H.F.; Chen, Y.W.; Zhang, Z.T.; Chen, H.R.; Chai, H.Y. Quantitatively estimating main soil water-soluble salt ions content based on Visible-near infrared wavelength selected using GC, SR and VIP. PeerJ 2019, 7, e6310. [Google Scholar] [CrossRef]
- Hong, Y.S.; Chen, S.C.; Zhang, Y.; Chen, Y.Y.; Lei, Y.; Liu, Y.F.; Liu, Y.L.; Cheng, H.; Liu, Y. Rapid identification of soil organic matter level via visible and near-infrared spectroscopy: Effects of two-dimensional correlation coefficient and extreme learning machine. Sci. Total Environ. 2018, 644, 1232–1243. [Google Scholar] [CrossRef] [PubMed]
- Kawser, U.; Nath, B.; Hoque, A. Observing the influences of climatic and environmental variability over soil salinity changes in the Noakhali Coastal Regions of Bangladesh using geospatial and statistical techniques. Environ. Chall. 2022, 6, 100429. [Google Scholar] [CrossRef]
- Xu, Y.; Li, Y.; Li, H.; Wang, L.; Liao, X.; Wang, J.; Kong, C. Effects of topography and soil properties on soil selenium distribution and bioavailability (phosphate extraction): A case study in Yongjia County, China. Sci. Total Environ. 2018, 633, 240–248. [Google Scholar] [CrossRef]
- Wang, F.; Shi, Z.; Biswas, A.; Yang, S.T.; Ding, J.L. Multi-algorithm comparison for predicting soil salinity. Geoderma 2020, 365, 114211. [Google Scholar] [CrossRef]
- Breiman, L. Random Forests. Mach. Learn. 2001, 45, 5–32. [Google Scholar] [CrossRef]
- Luo, P.; Guo, J.C.; Li, Q.; Teng, J.F. Modeling Construction Based on Partial Least-Squares Regression. J. Tianjin Univ. 2002, 35, 783–786. [Google Scholar]
- Ren, Y.Y.; Yao, H.L. Financial data analysis and algorithm realization from the perspective of the ridge regression. Econ. Res. Guide 2013, 32, 206–209. [Google Scholar]
- Wadoux, A.M.J.C.; Minasny, B.; McBratney, A.B. Machine learning for digital soil mapping: Applications, challenges and suggested solutions. Earth Sci. Rev. 2020, 210, 103359. [Google Scholar] [CrossRef]
- Ningxia Water Conservancy. Basic Situation and Characteristics of Water Resources (EB/OL). Available online: nx.gov.cn (accessed on 2 April 2022).
- Wei, Y.; Ding, J.L.; Yang, S.T.; Wang, F.; Wang, C. Soil salinity prediction based on scale-dependent relationships with environmental variables by discrete wavelet transform in the Tarim Basin. Catena 2021, 196, 104939. [Google Scholar] [CrossRef]
- Bedidi, A.; Cervelle, B.; Madeira, J. Moisture effect on spectral characteristics (visible) of lateritic soils. Soil Sci. 1992, 153, 129–141. [Google Scholar] [CrossRef]
- Hossain, M.S.; Rahman, G.K.M.M.; Solaiman, A.R.M.; Alam, M.S.; Rahman, M.M.; Mia, M.A.B. Estimating electrical conductivity for soil salinity monitoring using various soil-water ratios depending on soil texture. Commun. Soil Sci. Plant Anal. 2020, 51, 635–644. [Google Scholar] [CrossRef]
- Masoud, K.M.; Persello, C.; Tolpekin, V.A. Delineation of agricultural field boundaries from sentinel-2 images using a novel super-resolution contour detector based on fully convolutional networks. Remote Sens. 2020, 12, 59. [Google Scholar] [CrossRef]
- Ningxia Agricultural Technology Extension Station. Soil and Fertility of Cultivated Land in Ningxia; Sunshine Press: Yinchuan, China, 2019. [Google Scholar]
- Ivushkin, K.; Bartholomeus, H.; Bregt, A.K.; Pulatov, A.; Bui, E.N.; Wilford, J. Soil salinity assessment through satellite thermography for different irrigated and rainfed crops. Int. J. Appl. Earth Obs. Geoinf. 2018, 68, 230–237. [Google Scholar] [CrossRef]
- Wang, N.; Xue, J.; Peng, J.; Biswas, A.; He, Y.; Shi, Z. Integrating remote sensing and landscape characteristics to estimate soil salinity using machine learning methods: A case study from Southern Xinjiang, China. Remote Sens. 2020, 12, 4118. [Google Scholar] [CrossRef]
Acronym | Spectral Indices | Formula | Reference |
---|---|---|---|
DI | Difference Index | [35] | |
RI | Ratio Index | [35] | |
NDI | Normalized Index | [36] |
Soil Types | EC | pH | SMC | SOM | Soil Texture (0–30) | ||||
---|---|---|---|---|---|---|---|---|---|
Mean (Min–Max) | SD | Mean (Min–Max) | SD | Mean (Min–Max) | SD | Mean (Min–Max) | SD | ||
HSK | 1.3 (0.2–6.1) | 1.2 | 8.3 (7.6–9.6) | 0.5 | 12.8 (1.1–24.6) | 6.5 | 13.3 (2.6–34.8) | 7.8 | Silt loam |
CSK | 1.1 (0.1–8.8) | 2.1 | 8.5 (7.3–9.1) | 0.4 | 12.5 (2.1–26.0) | 7.4 | 7.6 (1.5–34.6) | 5.4 | Loam |
SSK | 2.4 (0.4–7.6) | 1.5 | 7.9 (7.6–8.7) | 0.3 | 16.9 (2.4–26.1) | 6.4 | 25.2 (8.2–44.7) | 6.8 | Clay loam |
FSK | 1.6 (0.1–6) | 1.4 | 8.0 (7.5–8.5) | 0.2 | 22.6 (5.4–39.8) | 6.4 | 20.4 (7.8–28.2) | 5.0 | Silty clay loam |
HSN | 0.9 (0.1–5.0) | 1.0 | 8.3 (7.8–9.0) | 0.3 | 19.2 (11.0–24.11) | 2.9 | 17.3 (8.8–28.6) | 4.5 | Clay loam |
TSN | 0.7 (0.2–3.9) | 0.8 | 8.7 (7.9–9.9) | 0.4 | 16.2 (1.4–35.9) | 5.6 | 12.4 (1.1–23.6) | 5.8 | Clay loam |
Category | Method | Optimal Hyperparameters |
---|---|---|
HSK | PLSR | n_components = 1 |
RF | n_estimators = 42, max_depth = 2, max_features = 2, random_state = 1 | |
ERT | n_estimators = 17, max_depth = 2, random_state = 1 | |
RR | alpha = 0.01 | |
CSK | PLSR | n_components = 10 |
RF | n_estimators = 45, max_depth = 2, max_features = 6, random_state = 1 | |
ERT | n_estimators = 15, max_depth = 4, random_state = 1 | |
RR | alpha = 7 | |
SSK | PLSR | n_components = 2 |
RF | n_estimators = 47, max_depth = 2, max_features = 6, random_state = 1 | |
ERT | n_estimators = 24, max_depth = 4, random_state = 1 | |
RR | alpha = 0.5 | |
FSK | PLSR | n_components = 1 |
RF | n_estimators = 19, max_depth = 6, max_features = 4, random_state = 1 | |
ERT | n_estimators = 2, max_depth = 5, random_state = 1 | |
RR | alpha = 0.5 | |
HSN | PLSR | n_components = 4 |
RF | n_estimators = 19, max_depth = 8, max_features = 6, random_state = 1 | |
ERT | n_estimators = 3, max_depth = 4, random_state = 1 | |
RR | alpha = 10 | |
TSN | PLSR | n_components = 1 |
RF | n_estimators = 5, max_depth = 4, max_features = 8, random_state = 1 | |
ERT | n_estimators = 18, max_depth = 3, random_state = 1 | |
RR | alpha = 100 |
Method | HSK | CSK | SSK | ||||||
R2 | RMSE | RPIQ | R2 | RMSE | RPIQ | R2 | RMSE | RPIQ | |
PLSR | 0.56 | 0.74 | 1.80 | 0.84 | 0.82 | 1.62 | 0.78 | 0.65 | 2.05 |
RF | 0.61 | 0.69 | 1.93 | 0.93 | 0.54 | 2.46 | 0.79 | 0.62 | 2.15 |
ERT | 0.60 | 0.71 | 1.87 | 0.99 | 0.18 | 6.38 | 0.88 | 0.46 | 2.89 |
RR | 0.52 | 0.78 | 1.71 | 0.75 | 1.04 | 1.28 | 0.72 | 0.72 | 2.85 |
Method | FSK | HSN | TSN | ||||||
R2 | RMSE | RPIQ | R2 | RMSE | RPIQ | R2 | RMSE | RPIQ | |
PLSR | 0.81 | 0.60 | 2.22 | 0.89 | 0.33 | 4.03 | 0.50 | 0.57 | 2.33 |
RF | 0.93 | 0.36 | 3.69 | 0.91 | 0.29 | 4.59 | 0.89 | 0.27 | 4.93 |
ERT | 0.90 | 0.43 | 3.09 | 0.94 | 0.24 | 5.54 | 0.92 | 0.22 | 6.05 |
RR | 0.77 | 0.66 | 2.01 | 0.80 | 0.43 | 3.09 | 0.73 | 0.42 | 3.17 |
Publisher’s Note: MDPI stays neutral with regard to jurisdictional claims in published maps and institutional affiliations. |
© 2022 by the authors. Licensee MDPI, Basel, Switzerland. This article is an open access article distributed under the terms and conditions of the Creative Commons Attribution (CC BY) license (https://creativecommons.org/licenses/by/4.0/).
Share and Cite
Jia, P.; Zhang, J.; He, W.; Yuan, D.; Hu, Y.; Zamanian, K.; Jia, K.; Zhao, X. Inversion of Different Cultivated Soil Types’ Salinity Using Hyperspectral Data and Machine Learning. Remote Sens. 2022, 14, 5639. https://doi.org/10.3390/rs14225639
Jia P, Zhang J, He W, Yuan D, Hu Y, Zamanian K, Jia K, Zhao X. Inversion of Different Cultivated Soil Types’ Salinity Using Hyperspectral Data and Machine Learning. Remote Sensing. 2022; 14(22):5639. https://doi.org/10.3390/rs14225639
Chicago/Turabian StyleJia, Pingping, Junhua Zhang, Wei He, Ding Yuan, Yi Hu, Kazem Zamanian, Keli Jia, and Xiaoning Zhao. 2022. "Inversion of Different Cultivated Soil Types’ Salinity Using Hyperspectral Data and Machine Learning" Remote Sensing 14, no. 22: 5639. https://doi.org/10.3390/rs14225639
APA StyleJia, P., Zhang, J., He, W., Yuan, D., Hu, Y., Zamanian, K., Jia, K., & Zhao, X. (2022). Inversion of Different Cultivated Soil Types’ Salinity Using Hyperspectral Data and Machine Learning. Remote Sensing, 14(22), 5639. https://doi.org/10.3390/rs14225639