Impacts of FY-4A Atmospheric Motion Vectors on the Henan 7.20 Rainstorm Forecast in 2021
Abstract
1. Introduction
2. Materials and Methods
2.1. Model and Experiments

2.2. FY-4A AMV Data
2.3. Verification
3. Results
3.1. Statistical Characteristics of FY-4A AMVs
3.2. FY-4A AMV Data Assimilation
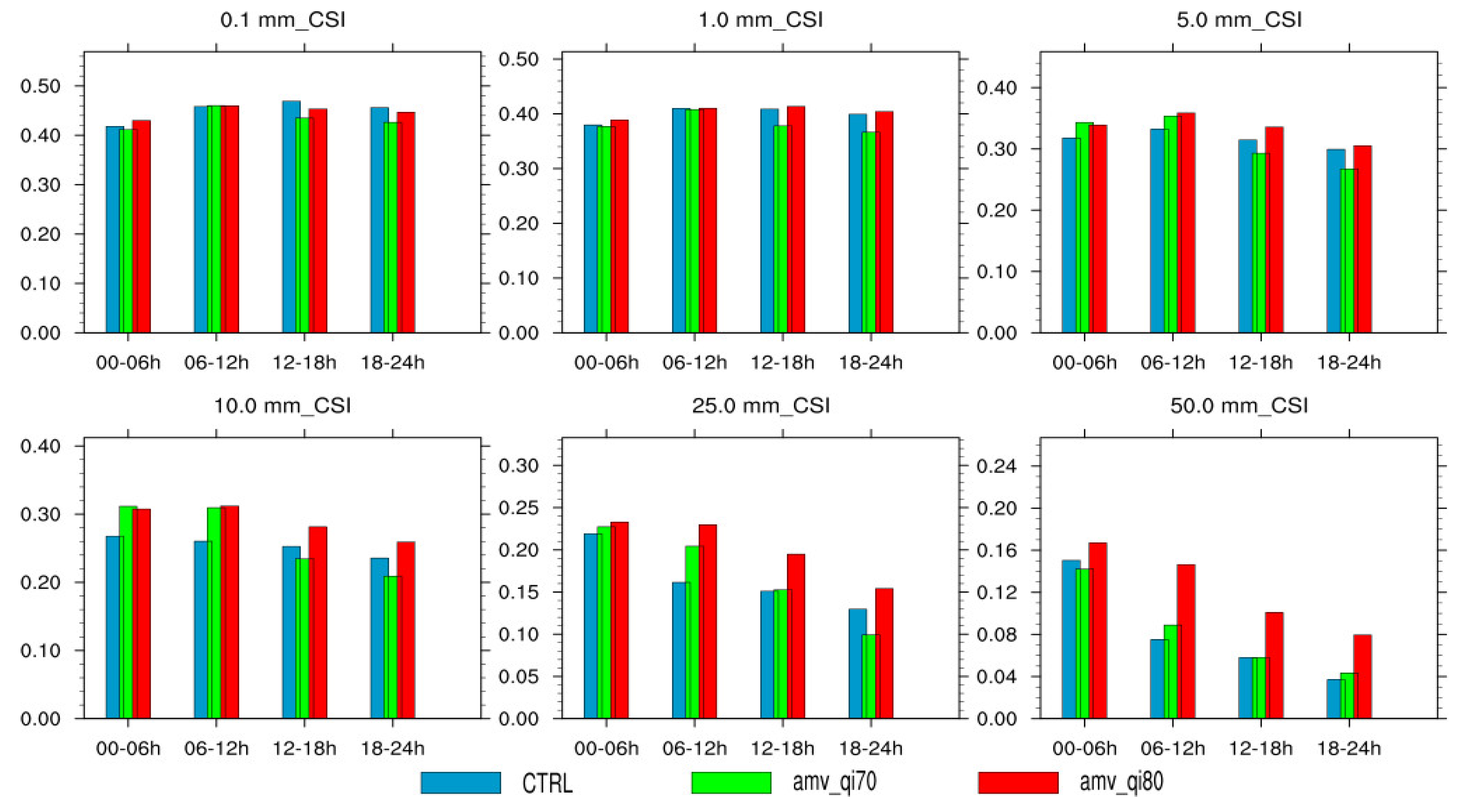
3.3. Impacts on Rainstorm Forecast


4. Discussion

5. Conclusions
Author Contributions
Funding
Data Availability Statement
Acknowledgments
Conflicts of Interest
References
- Nieman, S.; Schmetz, J.; Menzel, W.P. A comparison of several techniques to assign heights to cloud tracers. J. Appl. Meteorol. 1993, 32, 1559–1568. [Google Scholar] [CrossRef]
- Velden, C.S.; Hayden, C.M.; Nieman, S.J.; Menzel, W.P.; Wanzong, S.T.; Goerss, J.S. Upper-tropospheric winds derived from geostationary satellite water vapor observations. Bull. Am. Meteorol. Soc. 1997, 78, 173–195. [Google Scholar] [CrossRef]
- Cordoba, M.; Dance, S.L.; Kelly, G.A.; Nichols, N.K.; Waller, J.A. Diagnosing atmospheric motion vector observation errors for an operational high-resolution data assimilation system. Q. J. R. Meteorol. Soc. 2017, 143, 333–341. [Google Scholar] [CrossRef]
- Bhatia, R.C.; Khanna, P.N.; Prasad, S. Improvements in Automated Cloud Motion Vectors (CMWs) Derivation Scheme Using INSAT VHRR Data. In Proc. Third Int. Winds Workshop; EUMETSAT: Ascona, Switzerland, 1996; pp. 37–43. [Google Scholar]
- Holmlund, K. The Atmospheric Motion Vector Retrieval Scheme for Meteosat Second Generation. In Proceedings of the Fifth International Winds Workshop, Lorne, Australia, 28 February–23 March 2000. [Google Scholar]
- Schmetz, J.; Holmlund, K.; Hoffman, J.; Strauss, B. Operational cloud-motion winds from Meteosat infrared images. J. Appl. Meteorol. Clim. 1993, 32, 1206–1225. [Google Scholar] [CrossRef]
- Le Marshall, J.; Pescod, N.; Khaw, A.; Allen, G. The real time generation and application of cloud drift winds in the Australian region. Aust. Meteorol. Mag. 1993, 42, 89–103. [Google Scholar]
- Nieman, S.J.; Menzel, W.P.; Hayden, C.M.; Gray, D.; Wanzong, S.; Velden, C.; Daniels, J. Fully automated cloud-drift winds in NESDIS operations. Bull. Am. Meteorol. Soc. 1997, 78, 1121–1134. [Google Scholar] [CrossRef]
- Le Marshall, J.; Pescod, N.; Seaman, B. An Operational System for Generating Cloud Drift Winds in the Australian Region and Their Impact on Numerical Weather Prediction. Weather Forecast. 1994, 9, 361–370. [Google Scholar] [CrossRef]
- Bedka, K.M.; Mecikalski, J.R. Application of satellite-derived atmospheric motion vectors for estimating mesoscale flows. J. Appl. Meteorol. 2005, 44, 1761–1772. [Google Scholar] [CrossRef]
- Cherubini, T.; Businger, S.; Velden, C.; Ogasawara, R. The impact of satellite-derived atmospheric motion vectors on mesoscale forecasts over Hawaii. Mon. Weather Rev. 2006, 134, 2009–2020. [Google Scholar] [CrossRef]
- Le Marshall, J.; Seecamp, R.; Dunn, M.; Velden, C.; Wanzong, S.; Puri, K. The contribution of locally generated MTSat-1R atmospheric motion vectors to operational meteorology in the Australian region. Aust. Meteorol. Mag. 2008, 57, 359–365. [Google Scholar]
- Bormann, N.; Salonen, K.; Peubey, C.; Mcnally, T.; Lupu, C. An Overview of the Status of the Operational Assimilation of AMVS at ECMWF. In Proceedings of the 11th International Winds Workshop, Auckland, New Zealand, 20–24 February 2012. [Google Scholar]
- Kim, M.; Kim, H.M.; Kim, J.; Kim, S.-M.; Velden, C.; Hoover, B. Effect of enhanced satellite-derived atmospheric motion vectors on numerical weather prediction in East Asia using an adjoint-based observation impact method. Weather Forecast. 2017, 32, 579–594. [Google Scholar] [CrossRef]
- Velden, C.; Lewis, W.E.; Bresky, W.; Stettner, D.; Daniels, J.; Wanzong, S. Assimilation of high-resolution satellite-derived atmospheric motion vectors: Impact on HWRF forecasts of tropical cyclone track and intensity. Mon. Weather Rev. 2017, 145, 1107–1125. [Google Scholar] [CrossRef]
- Tomassini, M.; Kelly, G.; Saunders, R. Use and impact of satellite atmospheric motion winds on ECMWF analyses and forecasts. Mon. Weather Rev. 1999, 127, 971–986. [Google Scholar] [CrossRef]
- Langland, R.H.; Toth, Z.; Gelaro, R.; Szunyogh, I.; Bishop, C.H. NORPEX-98: Targeted observations for improved North American weather forecasts. Bull. Am. Meteorol. Soc. 1999, 80, 1363–1384. [Google Scholar] [CrossRef]
- Joo, S.; Eyre, J.; Marriott, R. The impact of MetOp and other satellite data within the Met Office Global NWP system using an adjoint-based sensitivity method. Mon. Weather Rev. 2013, 141, 3331–3342. [Google Scholar] [CrossRef]
- Lewis, W.E.; Velden, C.S.; Stettner, D. Strategies for assimilating high-density atmospheric motion vectors into a regional tropical cyclone forecast model (HWRF). Atmosphere 2020, 11, 673. [Google Scholar] [CrossRef]
- Zhao, J.; Gao, J.; Jones, T.A.; Hu, J. Impact of Assimilating High-Resolution Atmospheric Motion Vectors on Convective Scale Short-Term Forecasts: 2. Assimilation Experiments of GOES-16 Satellite Derived Winds. J. Adv. Model. Earth Syst. 2021, 13, 1–25. [Google Scholar] [CrossRef]
- Gelaro, R.; Langland, R.H.; Pellerin, S.; Todling, R. The THORPEX Observation Impact Intercomparison Experiment. Mon. Weather Rev. 2010, 138, 4009–4025. [Google Scholar] [CrossRef]
- Daley, R. Atmospheric Data Analysis; Cambridge University Press: Cambridge, UK, 1993; 460p. [Google Scholar]
- Bormann, N.; Saarinen, S.; Kelly, G.; Thepaut, J.N. The Spatial Structure of Observation Errors in Atmospheric Motion Vectors from Geostationary Satellite Data. Q. J. R. Meteorol. Soc. 2003, 131, 706–718. [Google Scholar] [CrossRef]
- Marshall, J.L.; Rea, A.; Leslie, L.; Seecamp, R.; Dunn, M. Error characterisation of atmospheric motion vectors. Aust. Meteorol. Mag. 2004, 53, 123–131. [Google Scholar]
- Hernandez-Carrascal, A.; Bormann, N.; Borde, R.; Lutz, H.J.; Wanzong, S. Atmospheric Motion Vectors from model simulations. Part I: Methods and characterisation as single-level estimates of wind. ECMWF Tech. Memo. 2012, 677, 31. [Google Scholar]
- Menzel, P. Cloud tracking with satellite imagery: From the pioneering work of Ted Fujita to the present. Bull. Am. Meteorol. Soc. 2001, 82, 33–47. [Google Scholar] [CrossRef]
- Velden, C.S.; Bedka, K. Identifying the uncertainty in determining satellite-derived atmospheric motion vector height attribution. J. Appl. Meteorol. Climatol. 2008, 48, 450–463. [Google Scholar] [CrossRef]
- Szejwach, G. Determination of semi-transparent cirrus cloud temperatures from infrared radiances: Application to Meteosat. J. Appl. Meteorol. 1982, 21, 384–393. [Google Scholar] [CrossRef]
- Menzel, W.P.; Smith, W.L.; Stewart, T.R. Improved cloud motion wind vector and altitude assignment using VAS. J. Appl. Meteorol. Clim. 1983, 22, 377–384. [Google Scholar] [CrossRef]
- Rao, P.A.; Velden, C.S.; Braun, S.A. The vertical error characteristics of GOES-derived winds: Description and experiments with Numerical Weather Prediction. J. Appl. Meteorol. 2002, 41, 253–271. [Google Scholar] [CrossRef]
- Yang, C.; Lu, Q.; Zhang, P. A study on height reassignment for the AMV products of the FY-2C satellite. Acta Meteorol. Sin. 2012, 26, 614–628. [Google Scholar] [CrossRef]
- Holmlund, K. The utilization of statistical properties of satellite-derived atmospheric motion vectors to derive quality indicators. Weather Forecast. 1998, 13, 1093–1104. [Google Scholar] [CrossRef]
- Rohn, M.; Kelly, G.; Saunders, R. Impact of a new cloud motion wind product from Meteosat on NWP analyses. Mon. Weather Rev. 2001, 129, 2392–2403. [Google Scholar] [CrossRef]
- Li, J.; Li, J.; Velden, C.; Wang, P.; Schmit, T.J.; Sippel, J. Impact of rapid-scan-based dynamical information from GOES-16 on HWRF hurricane forecasts. J. Geophys. Res. Atmos. 2020, 125, 1–18. [Google Scholar] [CrossRef]
- Marshall, J.L.; Howard, D.; Xiao, Y.; Daniels, J.; Margetic, D. Himawari-8 atmospheric motion vectors—Operational generation and assimilation. J. South. Hemisph. Earth Syst. Sci. 2017, 67, 12–24. [Google Scholar] [CrossRef]
- Borde, R.; Carranza, M.; Hautecoeur, O.; Barbieux, K. Winds of change for future operational AMV at EUMETSAT. Remote Sens. 2019, 11, 2111. [Google Scholar] [CrossRef]
- Yang, J.; Zhang, Z.; Wei, C.; Lu, F.; Guo, Q. Introducing the new generation of Chinese geostationary weather satellites—FengYun 4. Bull. Am. Meteorol. Soc. 2017, 98, 1637–1658. [Google Scholar] [CrossRef]
- Chen, Y.; Shen, J.; Fan, S.; Meng, D.; Wang, C. Characteristics of fengyun-4a satellite atmospheric motion vectors and their impacts on data assimilation. Adv. Atmos. Sci. 2020, 37, 1222–1238. [Google Scholar] [CrossRef]
- Wan, X.M.; Gong, J.D.; Han, W.; Tian, W.H. The evaluation of FY-4A AMVs in GRAPES_RAFS. Meteorol. Mon. 2019, 45, 458–468. [Google Scholar]
- Ran, L.; Li, S.; Zhou, Y.; Yang, S.; Ma, S.; Zhou, K.; Shen, D.; Jiao, B.; Li, N. Observational analysis of the dynamic, thermal, and water vapor characteristics of the “7.20” extreme rainstorm event in Henan province, 2021. Chin. J. Atmos. Sci. 2021, 45, 1366–1383. [Google Scholar]
- Skamarock, W.C.; Klemp, J.B.; Dudhia, J.; Gill, D.O.; Barker, D.M.; Duda, M.G.; Huang, X.Y.; Wang, W.; Powers, J.G. A Description of the Advanced Research WRF Version 3; NCAR Tech. Note NCAR/TN-475+STR; National Center for Atmospheric Research: Boulder, CO, USA, 2008. [Google Scholar]
- Ide, K.; Courtier, P.; Ghil, M.; Lorenc, A.C. Unified notation for data assimilation: Operational, sequential and variational. J. Met. Soc. Jpn. 1997, 75, 181–189. [Google Scholar] [CrossRef]
- Deb, S.K.; Kishtawal, C.M.; Kaur, I.; Pal, P.K.; Kiran Kumar, A.S. Assessment of a new quality control technique in the retrieval of atmospheric motion vectors. Meteorol. Appl. 2013, 22, 178–186. [Google Scholar] [CrossRef]
- Wang, H.; Yang, Z.; Yang, D.; Gong, X. The method and application of automatic quali ty control for real time data from Automatic Weather Stations. Meteorol. Mon. 2007, 33, 102–109. [Google Scholar]
- Ren, Z.; Zhang, Z.; Sun, C.; Liu, Y.; Li, J. Development of three-step quality control system of real-time observation data from AWS in China. Meteorol. Mon. 2015, 41, 1265–1277. [Google Scholar]
- Schaffer, J.T. The critical success index as an indicator of warning skill. Weather Forecast. 1990, 5, 570–575. [Google Scholar] [CrossRef]










| Channel | Band (µm) | Spatial Resolution | Main Purpose |
|---|---|---|---|
| 1 | 0.47–0.49 | 1 km | |
| 2 | 0.55–0.75 | 0.5~1 km | |
| 3 | 0.75–0.90 | 1 km | |
| 4 | 1.36–1.39 | 2 km | |
| 5 | 1.58–1.64 | 2 km | |
| 6 | 2.1–2.35 | 2~4 km | |
| 7 | 3.5–4.0 (high) | 2 km | |
| 8 | 3.5–4.0 (low) | 4 km | |
| 9 | 5.8–6.7 | 4 km | High level water vapor |
| 10 | 6.9–7.3 | 4 km | Middle level water vapor |
| 11 | 8.0–9.0 | 4 km | |
| 12 | 10.3–11.3 | 4 km | Cloud and surface temperature |
| 13 | 11.5–12.5 | 4 km | |
| 14 | 13.2–13.8 | 4 km |
Publisher’s Note: MDPI stays neutral with regard to jurisdictional claims in published maps and institutional affiliations. |
© 2022 by the authors. Licensee MDPI, Basel, Switzerland. This article is an open access article distributed under the terms and conditions of the Creative Commons Attribution (CC BY) license (https://creativecommons.org/licenses/by/4.0/).
Share and Cite
Xie, Y.; Chen, M.; Zhang, S.; Shi, J.; Liu, R. Impacts of FY-4A Atmospheric Motion Vectors on the Henan 7.20 Rainstorm Forecast in 2021. Remote Sens. 2022, 14, 5637. https://doi.org/10.3390/rs14225637
Xie Y, Chen M, Zhang S, Shi J, Liu R. Impacts of FY-4A Atmospheric Motion Vectors on the Henan 7.20 Rainstorm Forecast in 2021. Remote Sensing. 2022; 14(22):5637. https://doi.org/10.3390/rs14225637
Chicago/Turabian StyleXie, Yanhui, Min Chen, Shuting Zhang, Jiancheng Shi, and Ruixia Liu. 2022. "Impacts of FY-4A Atmospheric Motion Vectors on the Henan 7.20 Rainstorm Forecast in 2021" Remote Sensing 14, no. 22: 5637. https://doi.org/10.3390/rs14225637
APA StyleXie, Y., Chen, M., Zhang, S., Shi, J., & Liu, R. (2022). Impacts of FY-4A Atmospheric Motion Vectors on the Henan 7.20 Rainstorm Forecast in 2021. Remote Sensing, 14(22), 5637. https://doi.org/10.3390/rs14225637

