Quantitative Inversion of Lunar Surface Chemistry Based on Hyperspectral Feature Bands and Extremely Randomized Trees Algorithm
Abstract
1. Introduction
2. Materials and Methods
- (1)
- Feature band selection: The sensitive regions of each chemistry were initially screened according to Pearson correlation coefficients, and then clustering analysis combined with SPA was used for secondary screening to determine the best combination of bands.
- (2)
- Construction of an Extra-Trees model: Seventy-six LSCC samples with reflectance and oxide content data were used as model inputs for training and testing.
- (3)
- Prediction of chemical abundance: The IIM reflectance data were put into the model to estimate the lunar surface chemical abundance.

2.1. Data Description
2.1.1. LSCC Data
2.1.2. IIM Data
2.2. Feature Band Selection
2.2.1. Bisecting K-Means Algorithm
2.2.2. Successive Projections Algorithm
- 1.
- In the 1st iteration (), any column of wavelength is chosen and denoted as , where .
- 2.
- The wavelengths that are not included in the set are identified as .
- 3.
- The projection of the initialized band with an unselected wavelength in orthogonal space is calculated as
- 4.
- The maximum wavelength of the projection vector is calculated:
- 5.
- ; if , return to step 2.
- 6.
- The final combination of wavelength variables is determined.
2.3. Sample Subset Partition
2.4. Extra-Trees Regression
2.5. Evaluation Indicators
3. Results
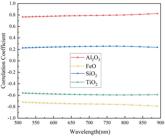
3.1. Correlation Coefficients between Elements and Reflectance
3.2. Screening of Feature Bands
3.3. Establishment and Evaluation of the Extra-Trees Model
3.4. Extra-Trees Modelling in the Apollo 17 Area
3.4.1. Extra-Trees Modelling of FeO
3.4.2. Extra-Trees Modelling of TiO2
3.4.3. Extra-Trees Modelling of Al2O3
3.4.4. Extra-Trees Modeling of SiO2
3.5. Oxide Content Mapping for the Copernicus Crater Region
3.5.1. Regional Distribution of Lunar Surface Chemistry
3.5.2. Comparison with Previous Works
4. Discussion
4.1. Comparison with Other Similar Studies
4.2. Future Prospects
- (1)
- The LSCC sample data used in this paper are mainly distributed in the low-latitude area of the lunar nearside, and the number of samples is small; consequently, the distribution characteristics of the oxide contents on the lunar surface cannot be comprehensively reflected, and there are limitations in both quantity and region. This leads to some uncertainty in the prediction results. In the future, more samples should be obtained to supplement the sample data limitations in certain regions of the Moon, such as at middle and high latitudes, and increase the number of samples, which is expected to improve the accuracy of chemical abundance distribution characteristics.
- (2)
- There are spectral anomalies at the edges of different orbit images of IIM hyperspectral data, and factors such as solar azimuth and topographic relief will lead to shadows in the images, which will inevitably increase errors in the inversion results. In future research, we should consider how to mitigate the spectral anomalies and topographic shadows in IIM data or explore the potential of using higher-quality and higher-resolution remote sensing data for inversion, such as the M3 data obtained with the Indian satellite Chandrayaan-1 and the MI data obtained with Kaguya in Japan, to improve the prediction accuracy of the model.
- (3)
- The continuity of hyperspectral data greatly enriches the amount of information available in remote sensing data, but it can also lead to issues such as information redundancy and high correlations between bands. Therefore, determining how to obtain the best combination of sensitive bands is an important step in the application of hyperspectral data. The sensitive band screening method applied in this paper provides a reference for other chemistry inversion research. In the future, more band screening algorithms can be applied for feature selection with lunar hyperspectral data to reasonably select the best number and combination of bands and improve accuracy.
- (4)
- In the era of big data, big data theory and technology are important tools for solving practical problems. The application of machine learning and deep learning algorithms for lunar chemistry inversion is still in its infancy. Although the Extra-Trees model developed in this paper provides good prediction ability, there is still room for further improvement. Thus, a future development direction is to complete lunar surface oxide inversion through better machine learning and deep learning methods.
5. Conclusions
- (1)
- The correlation calculations for the original bands and all band differences in the IIM spectral range separately show that considering the band differences can enhance the correlations between reflectance and oxide contents. Thus, the best combination of spectral bands can be used in subsequent modeling, and the accuracy of the model can be improved. Moreover, the calculated interelement correlations suggest that Fe is negatively correlated with Al and that Si depletion is often accompanied by the enrichment of Ti.
- (2)
- In total, 325 band differences were initially screened using Pearson correlation coefficients, and then secondary downscaling screening was performed according to BKM combined with SPA. Consequently, 17, 5, 8, and 30 feature bands were retained for the four oxides (FeO, TiO2, Al2O3, and SiO2, respectively) for modeling. The SPA encompasses most of the spectral information associated with samples, effectively reduces the complexity of modeling and reduces the covariance interference among spectral features.
- (3)
- Machine learning algorithms are increasingly integrated with lunar surface chemistry inversion in the big data era. Big data undoubtedly provide new data-driven research methods and can effectively overcome the relatively limited numbers of lunar samples. Moreover, the high dimensional and complex nonlinear relationships between oxide contents and spectral reflectance can be better described. In this paper, we apply the Extra-Trees algorithm for chemistry inversion to predict the distribution of chemistry on the lunar surface. The results show that the R2 values of the test sets for FeO, TiO2, Al2O3, and SiO2 are 0.962, 0.944, 0.964, and 0.860, respectively, and the RMSE values are 1.028, 0.672, 0.942, and 0.897, respectively, improving the modeling accuracy over the original bands.
- (4)
- The average contents of the four oxides (FeO, TiO2, Al2O3, and SiO2) in the region near the Copernicus crater are 12.51 wt.%, 2.60 wt.%, 13.56 wt.%, and 39.53 wt.%, respectively. The oxide content distributions display obvious variations, and the frequency histograms show a clear bimodal distribution. The comparison of the present result with representative models shows that the model in this paper provides good agreement in the inversion of oxide abundance, thus providing a new idea and method for the inversion of oxide abundance.
Author Contributions
Funding
Data Availability Statement
Acknowledgments
Conflicts of Interest
References
- Rossi, A.P.; van Gasselt, S. (Eds.) Planetary Geology; Springer International Publishing: Cham, Switzerland, 2018; ISBN 978-3-319-65177-4. [Google Scholar]
- Anderson, S.L.; Sansom, E.K.; Shober, P.M.; Hartig, B.A.D.; Devillepoix, H.A.R.; Towner, M.C. The Proposed Silicate-Sulfuric Acid Process: Mineral Processing for In Situ Resource Utilization (ISRU). Acta Astronaut. 2021, 188, 57–63. [Google Scholar] [CrossRef]
- Mills, J.N.; Katzarova, M.; Wagner, N.J. Comparison of Lunar and Martian Regolith Simulant-Based Geopolymer Cements Formed by Alkali-Activation for in-Situ Resource Utilization. Adv. Space Res. 2022, 69, 761–777. [Google Scholar] [CrossRef]
- O’Leary, B. Mining the Apollo and Amor Asteroids. Science 1977, 197, 363–366. [Google Scholar] [CrossRef] [PubMed]
- Anand, M.; Crawford, L.A.; Balat-Pichelin, M.; Abanades, S.; Westrenen, W.V.; Peraudeau, G.; Jaumann, R.; Seboldt, W. A Brief Review of Chemical and Mineralogical Resources on the Moon and Likely Initial in Situ Resource Utilization (ISRU) Applications. Planet. Space Sci. 2012, 74, 42–48. [Google Scholar] [CrossRef]
- Melendrez, D.E.; Johnson, J.R.; Larson, S.M.; Singer, R.B. Remote Sensing of Potential Lunar Resources: 2. High Spatial Resolution Mapping of Spectral Reflectance Ratios and Implications for Nearside Mare TiO2 Content. J. Geophys. Res. 1994, 99, 5601. [Google Scholar] [CrossRef]
- Korokhin, V.V.; Kaydash, V.G.; Shkuratov, Y.G.; Stankevich, D.G.; Mall, U. Prognosis of TiO2 Abundance in Lunar Soil Using a Non-Linear Analysis of Clementine and LSCC Data. Planet. Space Sci. 2008, 56, 1063–1078. [Google Scholar] [CrossRef]
- Taylor, S.R. The Unique Lunar Composition and Its Bearing on the Origin of the Moon. Geochim. Cosmochim. Acta 1987, 51, 1297–1309. [Google Scholar] [CrossRef]
- Athiray, P.S.; Narendranath, S.; Sreekumar, P.; Dash, S.K.; Babu, B.R.S. Validation of Methodology to Derive Elemental Abundances from X-Ray Observations on Chandrayaan-1. Planet. Space Sci. 2013, 75, 188–194. [Google Scholar] [CrossRef]
- Bhatt, M.; Mall, U.; Wöhler, C.; Grumpe, A.; Bugiolacchi, R. A Comparative Study of Iron Abundance Estimation Methods: Application to the Western Nearside of the Moon. Icarus 2015, 248, 72–88. [Google Scholar] [CrossRef]
- Chevrel, S.D.; Pinet, P.C.; Daydou, Y.; Maurice, S.; Lawrence, D.J.; Feldman, W.C.; Lucey, P.G. Integration of the Clementine UV-VIS Spectral Reflectance Data and the Lunar Prospector Gamma-Ray Spectrometer Data: A Global-Scale Multielement Analysis of the Lunar Surface Using Iron, Titanium, and Thorium Abundances: Lunar Surface Multielement Analysis. J. Geophys. Res. 2002, 107, 15-1–15-14. [Google Scholar] [CrossRef]
- Lawrence, D.J.; Feldman, W.C.; Barraclough, B.L.; Binder, A.B.; Elphic, R.C.; Maurice, S.; Thomsen, D.R. Global Elemental Maps of the Moon: The Lunar Prospector Gamma-Ray Spectrometer. Science 1998, 281, 1484–1489. [Google Scholar] [CrossRef] [PubMed]
- Lemelin, M.; Lucey, P.G.; Song, E.; Taylor, G.J. Lunar Central Peak Mineralogy and Iron Content Using the Kaguya Multiband Imager: Reassessment of the Compositional Structure of the Lunar Crust: Lunar Central Peak Mineralogy and Iron. J. Geophys. Res. Planets 2015, 120, 869–887. [Google Scholar] [CrossRef]
- Narendranath, S.; Athiray, P.S.; Sreekumar, P.; Kellett, B.J.; Alha, L.; Howe, C.J.; Joy, K.H.; Grande, M.; Huovelin, J.; Crawford, I.A.; et al. Lunar X-Ray Fluorescence Observations by the Chandrayaan-1 X-Ray Spectrometer (C1XS): Results from the Nearside Southern Highlands. Icarus 2011, 214, 53–66. [Google Scholar] [CrossRef]
- Prettyman, T.H.; Hagerty, J.J.; Elphic, R.C.; Feldman, W.C.; Lawrence, D.J.; McKinney, G.W.; Vaniman, D.T. Elemental Composition of the Lunar Surface: Analysis of Gamma Ray Spectroscopy Data from Lunar Prospector: Lunar Elemental Composition. J. Geophys. Res. 2006, 111, E12. [Google Scholar] [CrossRef]
- Sato, H.; Robinson, M.S.; Lawrence, S.J.; Denevi, B.W.; Hapke, B.; Jolliff, B.L.; Hiesinger, H. Lunar Mare TiO2 Abundances Estimated from UV/Vis Reflectance. Icarus 2017, 296, 216–238. [Google Scholar] [CrossRef]
- Lucey, P.G.; Blewett, D.T.; Jolliff, B.L. Lunar Iron and Titanium Abundance Algorithms Based on Final Processing of Clementine Ultraviolet-Visible Images. J. Geophys. Res. 2000, 105, 20297–20305. [Google Scholar] [CrossRef]
- Wu, Y. Major Elements and Mg# of the Moon: Results from Chang’E-1 Interference Imaging Spectrometer (IIM) Data. Geochim. Cosmochim. Acta 2012, 93, 214–234. [Google Scholar] [CrossRef]
- Yan, B.; Xiong, S.Q.; Wu, Y.; Wang, Z.; Dong, L.; Gan, F.; Yang, S.; Wang, R. Mapping Lunar Global Chemical Composition from Chang’E-1 IIM Data. Planet. Space Sci. 2012, 67, 119–129. [Google Scholar] [CrossRef]
- Sun, L.; Ling, Z.; Zhang, J.; Li, B.; Chen, J.; Wu, Z.; Liu, J. Lunar Iron and Optical Maturity Mapping: Results from Partial Least Squares Modeling of Chang’E-1 IIM Data. Icarus 2016, 280, 183–198. [Google Scholar] [CrossRef]
- Xiang, W.; Jianping, C.; Yanbo, X.; Yongchun, Z.; Bokun, Y.; Yunzhao, W. Inversion of the Main Mineral Compositions and Subdivision of Tectonic Units on Lunar LQ-4 Based on Chang’e Data. Acta Geol. Sin. Engl. Ed. 2015, 89, 1882–1894. [Google Scholar] [CrossRef]
- Wang, X.; Zhang, J.; Ren, H. Lunar Surface Chemistry Observed by the KAGUYA Multiband Imager. Planet. Space Sci. 2021, 209, 105360. [Google Scholar] [CrossRef]
- Lemelin, M.; Lucey, P.G.; Miljković, K.; Gaddis, L.R.; Hare, T.; Ohtake, M. The Compositions of the Lunar Crust and Upper Mantle: Spectral Analysis of the Inner Rings of Lunar Impact Basins. Planet. Space Sci. 2019, 165, 230–243. [Google Scholar] [CrossRef]
- Burns, R.G. Mineralogical Applications of Crystal Field Theory, 2nd ed.; Cambridge University Press: Cambridge, UK, 1993; ISBN 978-0-521-43077-7. [Google Scholar]
- Jaumann, R. Spectral-Chemical Analysis of Lunar Surface Materials. J. Geophys. Res. 1991, 96, 22793. [Google Scholar] [CrossRef]
- Pieters, C. Statistical Analysis of the Links among Lunar Mare Soil Mineralogy, Chemistry, and Reflectance Spectra. Icarus 2002, 155, 285–298. [Google Scholar] [CrossRef]
- Li, L. Partial Least Squares Modeling to Quantify Lunar Soil Composition with Hyperspectral Reflectance Measurements. J. Geophys. Res. 2006, 111, E04002. [Google Scholar] [CrossRef]
- Blewett, D.T.; Lucey, P.G.; Hawke, B.R.; Jolliff, B.L. Clementine Images of the Lunar Sample-Return Stations: Refinement of FeO and TiO2 Mapping Techniques. J. Geophys. Res. 1997, 102, 16319–16325. [Google Scholar] [CrossRef]
- Gillis-Davis, J.J.; Lucey, P.G.; Hawke, B.R. Testing the Relation between UV–Vis Color and TiO2 Content of the Lunar Maria. Geochim. Cosmochim. Acta 2006, 70, 6079–6102. [Google Scholar] [CrossRef]
- Ling, Z.; Zhang, J.; Liu, J.; Zhang, W.; Bian, W.; Ren, X.; Mu, L.; Liu, J.; Li, C. Preliminary Results of FeO Mapping Using Imaging Interferometer Data from Chang’E-1. Chin. Sci. Bull. 2011, 56, 376–379. [Google Scholar] [CrossRef][Green Version]
- Ling, Z.; Zhang, J.; Liu, J.; Zhang, W.; Zhang, G.; Liu, B.; Ren, X.; Mu, L.; Liu, J.; Li, C. Preliminary Results of TiO2 Mapping Using Imaging Interferometer Data from Chang’E-1. Chin. Sci. Bull. 2011, 56, 2082–2087. [Google Scholar] [CrossRef][Green Version]
- Lucey, P.G.; Taylor, G.J.; Malaret, E. Abundance and Distribution of Iron on the Moon. Science 1995, 268, 1150–1153. [Google Scholar] [CrossRef]
- Shkuratov, Y.G. Composition of the Lunar Surface as Will Be Seen from SMART-1: A Simulation Using Clementine Data. J. Geophys. Res. 2003, 108, 5020. [Google Scholar] [CrossRef]
- Sun, L.; Ling, Z. Partial Least Squares Modeling of Lunar Surface FeO Content with Clementine Ultraviolet-Visible Images. In Planetary Exploration and Science: Recent Results and Advances; Jin, S., Haghighipour, N., Ip, W.-H., Eds.; Springer: Berlin/Heidelberg, Germany, 2015; pp. 1–20. ISBN 978-3-662-45051-2. [Google Scholar]
- Wang, X.; Niu, R. Lunar Titanium Abundance Characterization Using Chang’E-1 IIM Data. Sci. China Phys. Mech. Astron. 2012, 55, 170–178. [Google Scholar] [CrossRef]
- Xia, W.; Wang, X.; Zhao, S.; Jin, H.; Chen, X.; Yang, M.; Wu, X.; Hu, C.; Zhang, Y.; Shi, Y.; et al. New Maps of Lunar Surface Chemistry. Icarus 2019, 321, 200–215. [Google Scholar] [CrossRef]
- Zhang, X.; Li, C.; Lü, C. Quantification of the Chemical Composition of Lunar Soil in Terms of Its Reflectance Spectra by PCA and SVM. Chin. J. Geochem. 2009, 28, 204–211. [Google Scholar] [CrossRef]
- Geurts, P.; Ernst, D.; Wehenkel, L. Extremely Randomized Trees. Mach. Learn. 2006, 63, 3–42. [Google Scholar] [CrossRef]
- Jin, M.; Ding, X.; Han, H.; Pang, J.; Wang, Y. An Improved Method Combining Fisher Transformation and Multiple Endmember Spectral Mixture Analysis for Lunar Mineral Abundance Quantification Using Spectral Data. Icarus 2022, 380, 115008. [Google Scholar] [CrossRef]
- Li, L. Quantifying Lunar Soil Composition with Partial Least Squares Modeling of Reflectance. Adv. Space Res. 2008, 42, 267–274. [Google Scholar] [CrossRef]
- Zhou, P.; Zhao, Z.; Wei, G.; Huo, H. Mineral Content Estimation of Lunar Soil of Lunar Highland and Lunar Mare Based on Diagnostic Spectral Characteristic and Partial Least Squares Method. Appl. Sci. 2022, 12, 1197. [Google Scholar] [CrossRef]
- Taylor, L.A.; Pieters, C.M.; Morris, R.V.; Keller, L.P.; Wentworth, S.J. Integration of the Chemical and Mineralogical Characteristics of Lunar Soils with Reflectance Spectroscopy. In Proceedings of the Lunar and Planetary Science Conference, Houston, TX, USA, 15–19 March 1999. [Google Scholar]
- Lawrence, D.J.; Feldman, W.C.; Elphic, R.C.; Little, R.C.; Prettyman, T.H.; Maurice, S.; Lucey, P.G.; Binder, A.B. Iron Abundances on the Lunar Surface as Measured by the Lunar Prospector Gamma-Ray and Neutron Spectrometers: Iron Abundances on the Lunar Surface. J. Geophys. Res. 2002, 107, 13-1–13-26. [Google Scholar] [CrossRef]
- Taylor, L.A.; Pieters, C.; Patchen, A.; Taylor, D.H.; Morris, R.V.; Keller, L.P.; Mckay, D.S. Mineralogical Characterization of Lunar Highland Soils. Lunar Planet. Sci. 2003, 34, 1774. [Google Scholar]
- Tingyan, X.; Fujiang, L.; Li, L.; Chan, L.; Ying, Z.; Le, Q.; Rong, Y.; Xiaopo, Z.; Meng, Z.; Qi, Z. Prognosis of Ti Abundance in Sinus Iridum Using a Nonlinear Analysis of Chang’ E-1 Interference Imaging Spectrometer Imagery. Earth Space Sci. 2015, 2, 187–193. [Google Scholar] [CrossRef]
- Zhu, F.; Liu, J.H.; Ren, X.; Chen, T.Q.; Liu, J. Spectrum Reconstruction for Chang’e-1 Imaging Interferometer Data Using Modified Periodogram Method. In Proceedings of the International Conference on Electronics, Palanga, Lithuania, 13–15 June 2016. [Google Scholar]
- Pieters, C.M. The Moon as a Spectral Calibration Standard Enabled by Lunar Samples: The Clementine Example. New Views Moon 2 Underst. Moon Through Integr. Divers. Datasets 1999, 47–49. [Google Scholar]
- Pieters, C.M. Bidirectional Spectroscopy of Returned Lunar Soils: Detailed “Ground Truth” for Planetary Remote Sensors. In Proceedings of the Lunar and Planetary Science Conference, Houston, TX, USA, 18–22 March 1991. [Google Scholar]
- Wu, Y.; Zheng, Y.; Zou, Y.; Chen, J.; Xu, X.; Tang, Z.; Xu, A.; Yan, B.; Gan, F.; Zhang, X. A Preliminary Experience in the Use of Chang’E-1 IIM Data. Planet. Space Sci. 2010, 58, 1922–1931. [Google Scholar] [CrossRef]
- Steinbach, M.; Karypis, G.; Kumar, V. A Comparison of Document Clustering Techniques; Technical Report; University of Minnesota: Minneapolis, MN, USA, 2000. [Google Scholar]
- Araújo, M.C.U.; Saldanha, T.C.B.; Galvão, R.K.H.; Yoneyama, T.; Chame, H.C.; Visani, V. The Successive Projections Algorithm for Variable Selection in Spectroscopic Multicomponent Analysis. Chemom. Intell. Lab. Syst. 2001, 57, 65–73. [Google Scholar] [CrossRef]
- Ji, S.; Gu, C.; Xi, X.; Zhang, Z.; Hong, Q.; Huo, Z.; Zhao, H.; Zhang, R.; Li, B.; Tan, C. Quantitative Monitoring of Leaf Area Index in Rice Based on Hyperspectral Feature Bands and Ridge Regression Algorithm. Remote Sens. 2022, 14, 2777. [Google Scholar] [CrossRef]
- de Araújo Gomes, A.; Galvão, R.K.H.; de Araújo, M.C.U.; Véras, G.; da Silva, E.C. The Successive Projections Algorithm for Interval Selection in PLS. Microchem. J. 2013, 110, 202–208. [Google Scholar] [CrossRef]
- Xu, Y.; Wang, J.; Xia, A.; Zhang, K.; Dong, X.; Wu, K.; Wu, G. Continuous Wavelet Analysis of Leaf Reflectance Improves Classification Accuracy of Mangrove Species. Remote Sens. 2019, 11, 254. [Google Scholar] [CrossRef]
- Guo, P.; Li, T.; Gao, H.; Chen, X.; Cui, Y.; Huang, Y. Evaluating Calibration and Spectral Variable Selection Methods for Predicting Three Soil Nutrients Using Vis-NIR Spectroscopy. Remote Sens. 2021, 13, 4000. [Google Scholar] [CrossRef]
- Galvao, R.; Araujo, M.; Jose, G.; Pontes, M.; Silva, E.; Saldanha, T. A Method for Calibration and Validation Subset Partitioning. Talanta 2005, 67, 736–740. [Google Scholar] [CrossRef]
- Yang, Z.; Xiao, H.; Zhang, L.; Feng, D.; Zhang, F.; Jiang, M.; Sui, Q.; Jia, L. Fast Determination of Oxide Content in Cement Raw Meal Using NIR Spectroscopy with the SPXY Algorithm. Anal. Methods 2019, 11, 3936–3942. [Google Scholar] [CrossRef]
- Chen, W.; Chen, H.; Feng, Q.; Mo, L.; Hong, S. A Hybrid Optimization Method for Sample Partitioning in Near-Infrared Analysis. Spectrochim. Acta Part A Mol. Biomol. Spectrosc. 2021, 248, 119182. [Google Scholar] [CrossRef] [PubMed]
- Galelli, S.; Castelletti, A. Assessing the Predictive Capability of Randomized Tree-Based Ensembles in Streamflow Modelling. Hydrol. Earth Syst. Sci. 2013, 17, 2669–2684. [Google Scholar] [CrossRef]
- Calhoun, P.; Hallett, M.J.; Su, X.; Cafri, G.; Levine, R.A.; Fan, J. Random Forest with Acceptance–Rejection Trees. Comput. Stat. 2020, 35, 983–999. [Google Scholar] [CrossRef]
- Simm, J.; Magrans De Abril, I.; Sugiyama, M. Tree-Based Ensemble Multi-Task Learning Method for Classification and Regression. IEICE Trans. Inf. Syst. 2014, 97, 1677–1681. [Google Scholar] [CrossRef]
- Liang, T.; Liang, S.; Zou, L.; Sun, L.; Li, B.; Lin, H.; He, T.; Tian, F. Estimation of Aerosol Optical Depth at 30 m Resolution Using Landsat Imagery and Machine Learning. Remote Sens. 2022, 14, 1053. [Google Scholar] [CrossRef]
- Taylor, L.A.; Pieters, C.M.; Keller, L.P.; Morris, R.V.; McKay, D.S. Lunar Mare Soils: Space Weathering and the Major Effects of Surface-Correlated Nanophase Fe. J. Geophys. Res. 2001, 106, 27985–27999. [Google Scholar] [CrossRef]
- Hörz, F.; Grieve, R.; Heiken, G.; Spudis, P.; Binder, A. Lunar Source Book; Cambridge University Press: Cambridge, UK, 1991. [Google Scholar]
- Johnson, J.R.; Larson, S.M.; Singer, R.B. Remote Sensing of Potential Lunar Resources: 1. Near-side Compositional Properties. J. Geophys. Res. Planets 1991, 96, 18861–18882. [Google Scholar] [CrossRef]
- Ji, J.; Guo, D.; Liu, J.; Chen, S.; Ling, Z.; Ding, X.; Han, K.; Chen, J.; Cheng, W.; Zhu, K.; et al. The 1:2,500,000-Scale Geologic Map of the Global Moon. Sci. Bull. 2022, S2095927322002316. [Google Scholar] [CrossRef]
- Otake, H.; Ohtake, M.; Hirata, N. Lunar Iron and Titanium Abundance Algorithms Based on SELENE (KAGUYA) Multiband Imager Data. In Proceedings of the Annual Lunar and Planetary Science Conference, Woodlands, TX, USA, 19–23 March 2012. [Google Scholar]
- Ma, M.; Li, B.; Chen, S.; Lu, T.; Lu, P.; Lu, Y.; Jin, Q. Global Estimates of Lunar Surface Chemistry Derived from LRO Diviner Data. Icarus 2022, 371, 114697. [Google Scholar] [CrossRef]

















| Region | Mission | Number | Size (μm) | FeO | TiO2 | Al2O3 | SiO2 |
|---|---|---|---|---|---|---|---|
| mare | Apollo 11 | 10,084 | <10 | 12.00 | 7.25 | 15.90 | 42.10 |
| 10–20 | 14.70 | 7.94 | 13.20 | 41.20 | |||
| 20–45 | 15.50 | 8.30 | 12.00 | 41.30 | |||
| Apollo 12 | 12,001 | <10 | 12.50 | 2.78 | 14.90 | 46.00 | |
| 10–20 | 15.90 | 2.96 | 12.30 | 45.00 | |||
| 20–45 | 16.90 | 3.20 | 11.00 | 45.30 | |||
| 12,030 | <10 | 14.30 | 3.01 | 13.90 | 46.20 | ||
| 10–20 | 17.20 | 3.32 | 10.70 | 46.30 | |||
| 20–45 | 17.60 | 3.74 | 10.50 | 46.10 | |||
| Apollo 15 | 15,041 | <10 | 11.00 | 1.79 | 16.40 | 46.60 | |
| 10–20 | 14.40 | 1.88 | 13.50 | 46.20 | |||
| 20–45 | 15.20 | 2.03 | 12.50 | 46.10 | |||
| 15,071 | <10 | 9.59 | 1.57 | 17.10 | 46.90 | ||
| 10–20 | 15.40 | 1.88 | 12.90 | 45.70 | |||
| 20–45 | 15.60 | 2.33 | 12.40 | 45.80 | |||
| Apollo 17 | 70,181 | <10 | 12.70 | 6.54 | 15.40 | 41.50 | |
| 10–20 | 15.50 | 7.88 | 12.70 | 40.40 | |||
| 20–45 | 16.00 | 8.11 | 11.50 | 40.70 | |||
| 71,061 | <10 | 14.80 | 7.89 | 13.80 | 40.20 | ||
| 10–20 | 17.50 | 8.94 | 10.80 | 39.50 | |||
| 20–45 | 18.50 | 9.48 | 9.33 | 39.20 | |||
| 71,501 | <10 | 13.50 | 8.27 | 14.50 | 40.40 | ||
| 10–20 | 16.40 | 9.83 | 11.60 | 39.00 | |||
| 20–45 | 17.80 | 10.70 | 9.94 | 38.40 | |||
| 79,221 | <10 | 11.30 | 5.83 | 15.90 | 42.30 | ||
| 10–20 | 15.00 | 7.21 | 12.90 | 40.90 | |||
| 20–45 | 15.80 | 7.38 | 11.60 | 40.50 | |||
| highland | Apollo 14 | 14,141 | <10 | 7.66 | 1.51 | 19.20 | 49.20 |
| 10–20 | 9.46 | 1.71 | 17.20 | 48.40 | |||
| 20–45 | 11.60 | 1.96 | 15.00 | 47.20 | |||
| 14,163 | <10 | 8.83 | 2.07 | 18.90 | 47.20 | ||
| 10–20 | 10.10 | 1.88 | 17.00 | 47.40 | |||
| 20–45 | 11.50 | 2.00 | 15.40 | 47.10 | |||
| 14,259 | <10 | 7.82 | 2.02 | 19.30 | 47.90 | ||
| 10–20 | 9.71 | 1.96 | 17.40 | 47.50 | |||
| 20–45 | 11.00 | 1.99 | 15.80 | 47.10 | |||
| 14,260 | <10 | 8.10 | 1.94 | 19.10 | 47.80 | ||
| 10–20 | 9.84 | 1.98 | 17.30 | 47.50 | |||
| 20–45 | 10.70 | 1.86 | 16.30 | 47.40 | |||
| Apollo 16 | 61,221 | <10 | 3.64 | 0.50 | 28.50 | 44.50 | |
| 10–20 | 4.40 | 0.54 | 27.50 | 44.50 | |||
| 20–45 | 4.62 | 0.56 | 27.20 | 44.50 | |||
| 61,141 | <10 | 3.66 | 0.59 | 27.40 | 44.90 | ||
| 10–20 | 5.14 | 0.64 | 25.60 | 44.60 | |||
| 20–45 | 5.15 | 0.58 | 26.10 | 44.50 | |||
| 62,231 | <10 | 3.63 | 0.58 | 27.40 | 45.00 | ||
| 10–20 | 4.86 | 0.61 | 26.30 | 44.70 | |||
| 20–45 | 5.31 | 0.58 | 25.70 | 44.50 | |||
| 64,801 | <10 | 3.84 | 0.61 | 27.70 | 44.80 | ||
| 10–20 | 4.78 | 0.68 | 26.30 | 44.50 | |||
| 20–45 | 4.82 | 0.63 | 26.50 | 44.60 | |||
| 67,461 | <10 | 3.35 | 0.34 | 29.40 | 44.50 | ||
| 10–20 | 4.64 | 0.39 | 27.80 | 44.10 | |||
| 20–45 | 4.93 | 0.44 | 27.30 | 44.40 | |||
| 67,481 | <10 | 3.61 | 0.42 | 29.10 | 44.50 | ||
| 10–20 | 4.04 | 0.40 | 28.40 | 44.40 | |||
| 20–45 | 5.19 | 0.49 | 26.70 | 44.70 |
| Elements | Training Set | Test Set | ||||||||
|---|---|---|---|---|---|---|---|---|---|---|
| Count | Max | Min | Mean | Std | Count | Max | Min | Mean | Std | |
| FeO | 57 | 18.50 | 3.35 | 10.50 | 5.01 | 19 | 16.40 | 3.66 | 10.83 | 4.40 |
| TiO2 | 57 | 10.70 | 0.34 | 3.49 | 3.21 | 19 | 7.94 | 0.35 | 2.38 | 2.41 |
| Al2O3 | 57 | 29.40 | 9.33 | 18.90 | 6.83 | 19 | 27.40 | 11.60 | 16.52 | 4.96 |
| SiO2 | 57 | 49.20 | 38.40 | 44.35 | 2.75 | 19 | 47.60 | 40.40 | 44.90 | 2.31 |
| Oxide | Clustering Categories | Number of Bands | Selected Band (nm) |
|---|---|---|---|
| FeO | Category 1 | 5/91 | 522–583, 631–777, 645–721, and 659–842, and 659–891 |
| Category 2 | 9/123 | 513–757, 513–819, 522–659, 551–721, 551–777, 561–842, 606–777, 606–891, and 618–819 | |
| Category 3 | 3/99 | 532–583, 739–819, and 739–891 | |
| TiO2 | Category 1 | 1/81 | 513–631 |
| Category 2 | 1/119 | 522–673 | |
| Category 3 | 3/87 | 606–659, 721–819, and 739–797 | |
| Al2O3 | Category 1 | 1/91 | 522–631 |
| Category 2 | 4/123 | 513–891, 561–797, 606–757, and 645–842 | |
| Category 3 | 3/98 | 513–561, 739–891, and 739–819 | |
| SiO2 | Category 1 | 10/125 | 513–618, 522–594, 532–583, 541–572, 551–645, 561–673, 572–689, 583–631, 606–659, and 631–757 |
| Category 2 | 12/46 | 513–631, 513–673, 522–659, 522–689, 532–645, 551–721, 561–739, 572–721, 572–757, 583–777, 606–739, and 618–777 | |
| Category 3 | 8/32 | 513–721, 513–777, 522–705, 522–819, 532–739, 551–757, 561–777, and 583–797 |
| FeO (wt.%) | TiO2 (wt.%) | Al2O3 (wt.%) | SiO2 (wt.%) | |
|---|---|---|---|---|
| Calibration in this work (Extra-Trees model based on feature band selection) | ||||
| R2 | 1 | 1 | 1 | 0.974 |
| RMSE | 0.012 | 0 | 0.032 | 0.438 |
| Validation in this work (Extra-Trees model based on feature band selection) | ||||
| R2 | 0.962 | 0.944 | 0.964 | 0.860 |
| RMSE | 1.028 | 0.672 | 0.942 | 0.897 |
| Calibration by Wu [18] | ||||
| R2 | 0.90 | 0.69 | 0.92 | 0.76 |
| RMSE | 1.58 | 2.00 | 1.68 | 0.75 |
| Validation by Wu [18] | ||||
| R2 | 0.88 | 0.59 | 0.90 | 0.67 |
| RMSE | 1.76 | 2.26 | 1.92 | 0.91 |
Publisher’s Note: MDPI stays neutral with regard to jurisdictional claims in published maps and institutional affiliations. |
© 2022 by the authors. Licensee MDPI, Basel, Switzerland. This article is an open access article distributed under the terms and conditions of the Creative Commons Attribution (CC BY) license (https://creativecommons.org/licenses/by/4.0/).
Share and Cite
Wu, S.; Chen, J.; Li, L.; Zhang, C.; Huang, R.; Zhang, Q. Quantitative Inversion of Lunar Surface Chemistry Based on Hyperspectral Feature Bands and Extremely Randomized Trees Algorithm. Remote Sens. 2022, 14, 5248. https://doi.org/10.3390/rs14205248
Wu S, Chen J, Li L, Zhang C, Huang R, Zhang Q. Quantitative Inversion of Lunar Surface Chemistry Based on Hyperspectral Feature Bands and Extremely Randomized Trees Algorithm. Remote Sensing. 2022; 14(20):5248. https://doi.org/10.3390/rs14205248
Chicago/Turabian StyleWu, Shuangshuang, Jianping Chen, Li Li, Cheng Zhang, Rujin Huang, and Quanping Zhang. 2022. "Quantitative Inversion of Lunar Surface Chemistry Based on Hyperspectral Feature Bands and Extremely Randomized Trees Algorithm" Remote Sensing 14, no. 20: 5248. https://doi.org/10.3390/rs14205248
APA StyleWu, S., Chen, J., Li, L., Zhang, C., Huang, R., & Zhang, Q. (2022). Quantitative Inversion of Lunar Surface Chemistry Based on Hyperspectral Feature Bands and Extremely Randomized Trees Algorithm. Remote Sensing, 14(20), 5248. https://doi.org/10.3390/rs14205248
