Variations of Urban NO2 Pollution during the COVID-19 Outbreak and Post-Epidemic Era in China: A Synthesis of Remote Sensing and In Situ Measurements
Abstract
:1. Introduction
2. Materials and Methods
2.1. Study Area
2.2. Satellite Remote Sensing Data
2.3. Ground-Based Monitoring Data
2.4. MAX-DOAS Data
2.5. Methods
3. Results and Discussion
3.1. Satellite and Ground Correlation Analysis
3.2. Historical Spatial and Temporal Distribution of Atmospheric NO2 Concentrations in China
3.2.1. Spatial and Temporal Analysis of the NO2 TVCD Based on Satellite Remote Sensing
3.2.2. Spatiotemporal Distribution of Near-Surface NO2 Concentrations
3.3. NO2 Changes during the COVID-19 Lockdown
3.4. NO2 Trends in the Post-COVID-19 Era
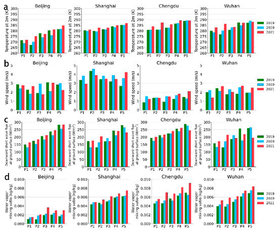
3.5. Meteorological Changes during the Study Phase
4. Conclusions
Supplementary Materials
Author Contributions
Funding
Institutional Review Board Statement
Informed Consent Statement
Data Availability Statement
Acknowledgments
Conflicts of Interest
References
- Khreis, H.; de Hoogh, K.; Nieuwenhuijsen, M.J. Full-chain health impact assessment of traffic-related air pollution and childhood asthma. Environ. Int. 2018, 114, 365–375. [Google Scholar] [CrossRef]
- Olmo, N.R.S.; Saldiva, P.H.D.; Braga, A.L.F.; Lin, C.A.; Santos, U.D.; Pereira, L.A.A. A review of low-level air pollution and adverse effects on human health: Implications for epidemiological studies and public policy. Clinics 2011, 66, 681–690. [Google Scholar] [CrossRef] [Green Version]
- Putta, S.N. Atmospheric-Pollution, Its History, Origins and Prevention, 4th ed.; Meetham, A.R., Bottom, D.W., Cayton, S., Hendersonsellers, A., Chambers, D., Eds.; Pergamon Press: Oxford, UK, 1984; Volume 106, p. 3066. [Google Scholar]
- Kong, L.; Tang, X.; Zhu, J.; Wang, Z.F.; Fu, J.S.; Wang, X.M.; Itahashi, S.; Yamaji, K.; Nagashima, T.; Lee, H.J.; et al. Evaluation and uncertainty investigation of the NO2, CO and NH3 modeling over China under the framework of MICS-Asia III. Atmos. Chem. Phys. 2020, 20, 181–202. [Google Scholar] [CrossRef] [Green Version]
- Zheng, B.; Tong, D.; Li, M.; Liu, F.; Hong, C.P.; Geng, G.N.; Li, H.Y.; Li, X.; Peng, L.Q.; Qi, J.; et al. Trends in China’s anthropogenic emissions since 2010 as the consequence of clean air actions. Atmos. Chem. Phys. 2018, 18, 14095–14111. [Google Scholar] [CrossRef] [Green Version]
- Ronald, J.V.; Mijling, B.; Ding, J.; Koukouli, M.E.; Liu, F.; Li, Q.; Mao, H.Q.; Theys, N. Cleaning up the air: Effectiveness of air quality policy for SO2 and NOx emissions in China. Atmos. Chem. Phys. 2017, 17, 1775–1789. [Google Scholar]
- Zhai, S.X.; Jacob, D.J.; Wang, X.; Shen, L.; Li, K.; Zhang, Y.Z.; Gui, K.; Zhao, T.L.; Liao, H. Fine particulate matter (PM2.5) trends in China, 2013–2018: Separating contributions from anthropogenic emissions and meteorology. Atmos. Chem. Phys. 2019, 19, 11031–11041. [Google Scholar] [CrossRef] [Green Version]
- Liu, H.R.; Liu, C.; Xie, Z.Q.; Li, Y.; Huang, X.; Wang, S.S.; Xu, J.; Xie, P.H. A paradox for air pollution controlling in China revealed by “APEC Blue” and “Parade Blue”. Sci. Rep. 2016, 6, 34408. [Google Scholar] [CrossRef] [PubMed] [Green Version]
- Liu, F.; Page, A.; Strode, S.A.; Yoshida, Y.; Choi, S.; Zheng, B.; Lamsal, L.N.; Li, C.; Krotkov, N.A.; Eskes, H.; et al. Abrupt decline in tropospheric nitrogen dioxide over China after the outbreak of COVID-19. Sci. Adv. 2020, 6, eabc2992. [Google Scholar] [CrossRef]
- Zhou, M.Q.; Jiang, J.Y.; Langerock, B.; Dils, B.; Sha, M.K.; de Maziere, M. Change of CO Concentration Due to the COVID-19 Lockdown in China Observed by Surface and Satellite Observations. Remote Sens. 2021, 13, 1129. [Google Scholar] [CrossRef]
- Fan, C.; Li, Z.; Li, Y.; Dong, J.; van der, A.R.; de Leeuw, G. Variability of NO2; concentrations over China and effect on air quality derived from satellite and ground-based observations. Atmos. Chem. Phys. 2021, 21, 7723–7748. [Google Scholar] [CrossRef]
- Wang, Q.; Su, M. A preliminary assessment of the impact of COVID-19 on environment—A case study of China. Sci. Total Environ. 2020, 728, 138915. [Google Scholar] [CrossRef] [PubMed]
- Ghahremanloo, M.; Lops, Y.; Choi, Y.; Mousavinezhad, S. Impact of the COVID-19 outbreak on air pollution levels in East Asia. Sci. Total Environ. 2021, 754, 142226. [Google Scholar] [CrossRef]
- Yin, H.; Liu, C.; Hu, Q.H.; Liu, T.; Wang, S.T.; Gao, M.; Xu, S.Q.; Zhang, C.X.; Su, W.J. Opposite impact of emission reduction during the COVID-19 lockdown period on the surface concentrations of PM2.5 and O3 in Wuhan, China. Environ. Pollut. 2021, 289, 117899. [Google Scholar] [CrossRef]
- Xia, C.Z.; Liu, C.; Cai, Z.N.; Duan, X.N.; Hu, Q.H.; Zhao, F.; Liu, H.R.; Ji, X.G.; Zhang, C.X.; Liu, Y. Improved Anthropogenic SO2 Retrieval from High-Spatial-Resolution Satellite and its Application during the COVID-19 Pandemic. Environ. Sci. Technol. 2021, 55, 11538–11548. [Google Scholar] [CrossRef]
- Wang, Z.; Uno, I.; Yumimoto, K.; Itahashi, S.; Chen, X.; Yang, W.; Wang, Z. Impacts of COVID-19 lockdown, Spring Festival and meteorology on the NO2 variations in early 2020 over China based on in-situ observations, satellite retrievals and model simulations. Atmos. Environ. 2021, 244, 117972. [Google Scholar] [CrossRef]
- Huang, G.; Sun, K. Non-negligible impacts of clean air regulations on the reduction of tropospheric NO2 over East China during the COVID-19 pandemic observed by OMI and TROPOMI. Sci. Total Environ. 2020, 745, 141023. [Google Scholar] [CrossRef]
- Feng, S.; Jiang, F.; Wang, H.; Wang, H.; Ju, W.; Shen, Y.; Zheng, Y.; Wu, Z.; Ding, A. NOx Emission Changes Over China During the COVID-19 Epidemic Inferred From Surface NO2 Observations. Geophys. Res. Lett. 2020, 47, e2020GL090080. [Google Scholar] [CrossRef] [PubMed]
- Zhang, Y.; Bo, H.; Jiang, Z.; Wang, Y.; Fu, Y.; Cao, B.; Wang, X.; Chen, J.; Li, R. Untangling the contributions of meteorological conditions and human mobility to tropospheric NO2 in Chinese mainland during the COVID-19 pandemic in early 2020. Natl. Sci. Rev. 2021, 8, nwab061. [Google Scholar] [CrossRef]
- Wang, Y.J.; Wen, Y.F.; Wang, Y.; Zhang, S.J.; Zhang, K.M.; Zheng, H.T.; Xing, J.; Wu, Y.; Hao, J.M. Four-Month Changes in Air Quality during and after the COVID-19 Lockdown in Six Megacities in China. Environ. Sci. Technol. Lett. 2020, 7, 802–808. [Google Scholar] [CrossRef]
- Diamond, M.S.; Wood, R. Limited Regional Aerosol and Cloud Microphysical Changes Despite Unprecedented Decline in Nitrogen Oxide Pollution During the February 2020 COVID-19 Shutdown in China. Geophys. Res. Lett. 2020, 47, e2020GL088913. [Google Scholar] [CrossRef]
- He, C.; Hong, S.; Zhang, L.; Mu, H.; Xin, A.X.; Zhou, Y.Q.; Liu, J.K.; Liu, N.J.; Su, Y.M.; Tian, Y.; et al. Global, continental, and national variation in PM2.5, O3, and NO2 concentrations during the early 2020 COVID-19 lockdown. Atmos. Pollut. Res. 2021, 12, 136–145. [Google Scholar] [CrossRef] [PubMed]
- Field, R.D.; Hickman, J.E.; Geogdzhayev, I.V.; Tsigaridis, K.; Bauer, S.E. Changes in satellite retrievals of atmospheric composition over eastern China during the 2020 COVID-19 lockdowns. Atmos. Chem. Phys. 2020, 21, 18333–18350. [Google Scholar] [CrossRef]
- Biswal, A.; Singh, V.; Singh, S.; Kesarkar, A.P.; Ravindra, K.; Sokhi, R.S.; Chipperfield, M.P.; Dhomse, S.S.; Pope, R.J.; Singh, T.; et al. COVID-19 lockdown-induced changes in NO2 levels across India observed by multi-satellite and surface observations. Atmos. Chem. Phys. 2021, 21, 5235–5251. [Google Scholar] [CrossRef]
- Huang, B.; Wang, J.; Cai, J.; Yao, S.; Chan, P.K.S.; Tam, T.H.; Hong, Y.Y.; Ruktanonchai, C.W.; Carioli, A.; Floyd, J.R.; et al. Integrated vaccination and physical distancing interventions to prevent future COVID-19 waves in Chinese cities. Nat. Hum. Behav. 2021, 5, 695–705. [Google Scholar] [CrossRef]
- Zhang, C.; Liu, C.; Hu, Q.; Cai, Z.; Su, W.; Xia, C.; Zhu, Y.; Wang, S.; Liu, J. Satellite UV-Vis spectroscopy: Implications for air quality trends and their driving forces in China during 2005–2017. Light Sci. Appl. 2019, 8, 100. [Google Scholar] [CrossRef] [Green Version]
- Zhang, R.X.; Zhang, Y.Z.; Lin, H.P.; Feng, X.; Fu, T.M.; Wang, Y.H. NOx Emission Reduction and Recovery during COVID-19 in East China. Atmosphere 2020, 11, 433. [Google Scholar] [CrossRef] [Green Version]
- Zheng, Z.H.; Yang, Z.W.; Wu, Z.F.; Marinello, F. Spatial Variation of NO2 and Its Impact Factors in China: An Application of Sentinel-5P Products. Remote Sens. 2019, 11, 1939. [Google Scholar] [CrossRef] [Green Version]
- Veefkind, J.P.; Aben, I.; McMullan, K.; Forster, H.; de Vries, J.; Otter, G.; Claas, J.; Eskes, H.J.; de Haan, J.F.; Kleipool, Q.; et al. TROPOMI on the ESA Sentinel-5 Precursor: A GMES mission for global observations of the atmospheric composition for climate, air quality and ozone layer applications. Remote Sens. Environ. 2012, 120, 70–83. [Google Scholar] [CrossRef]
- Cugny, B.; Karafolas, N.; Armandillo, E.; van der Valk, N.; Lobb, D.; de Vries, J.; Veefkind, P.; Aben, I.; Wood, T.; Bhatti, I.S.; et al. TROPOMI, the Sentinel 5 precursor instrument for air quality and climate observations: Status of the current design. In Proceedings of the International Conference on Space Optics—ICSO 2012, Ajaccio, France, 9–12 October 2012. [Google Scholar]
- Zhang, C.X.; Liu, C.; Chan, K.L.; Hu, Q.H.; Liu, H.R.; Li, B.; Xing, C.Z.; Tan, W.; Zhou, H.J.; Si, F.Q.; et al. First observation of tropospheric nitrogen dioxide from the Environmental Trace Gases Monitoring Instrument onboard the GaoFen-5 satellite. Light-Sci. Appl. 2020, 9, 66. [Google Scholar] [CrossRef] [Green Version]
- Su, W.J.; Liu, C.; Hu, Q.H.; Fan, G.Q.; Xie, Z.Q.; Huang, X.; Zhang, T.S.; Chen, Z.Y.; Dong, Y.S.; Ji, X.G.; et al. Characterization of ozone in the lower troposphere during the 2016 G20 conference in Hangzhou. Sci. Rep. 2017, 7, 17368. [Google Scholar] [CrossRef] [Green Version]
- Kuhlmann, G.; Hartl, A.; Cheung, H.M.; Lam, Y.F.; Wenig, M.O. A novel gridding algorithm to create regional trace gas maps from satellite observations. Atmos. Meas. Tech. 2014, 7, 451–467. [Google Scholar] [CrossRef] [Green Version]
- Su, W.J.; Liu, C.; Chan, K.L.; Hu, Q.H.; Liu, H.R.; Ji, X.G.; Zhu, Y.Z.; Liu, T.; Zhang, C.X.; Chen, Y.J.; et al. An improved TROPOMI tropospheric HCHO retrieval over China. Atmos. Meas. Tech. 2020, 13, 6271–6292. [Google Scholar] [CrossRef]
- Food and Agriculture Organization of the United Nations. GB3095-2012, Ambient Air Quality Standards; Food and Agriculture Organization of the United Nations: Rome, Italy, 2012. [Google Scholar]
- Silver, B.; Reddington, C.L.; Arnold, S.R.; Spracklen, D.V. Substantial changes in air pollution across China during 2015–2017. Environ. Res. Lett. 2018, 13, 114012. [Google Scholar] [CrossRef]
- Liu, C.; Xing, C.; Hu, Q.; Li, Q.; Liu, H.; Hong, Q.; Tan, W.; Ji, X.; Lin, H.; Lu, C.; et al. Ground-based Hyperspectral Stereoscopic Remote Sensing Network: A Promising Strategy to Learn Coordinated Control of O3 and PM2.5 over China. Engineering 2021, 148, 968–979. [Google Scholar] [CrossRef]
- Vandaele, A.C.; Hermans, C.; Simon, P.C.; Carleer, M.; Colin, R.; Fally, S.; Merienne, M.F.; Jenouvrier, A.; Coquart, B. Measurements of the NO2 absorption cross-section from 42 000 cm(−1) to 10 000 cm(−1) (238–1000 nm) at 220 K and 294 K. J. Quant. Spectrosc. Radiat. 1998, 59, 171–184. [Google Scholar] [CrossRef] [Green Version]
- Wu, S.; Huang, B.; Wang, J.; He, L.; Wang, Z.; Yan, Z.; Lao, X.; Zhang, F.; Liu, R.; Du, Z. Spatiotemporal mapping and assessment of daily ground NO2 concentrations in China using high-resolution TROPOMI retrievals. Environ. Pollut. 2021, 273, 116456. [Google Scholar] [CrossRef] [PubMed]
- Verhoelst, T.; Compernolle, S.; Pinardi, G.; Lambert, J.C.; Eskes, H.J.; Eichmann, K.U.; Fjaeraa, A.M.; Granville, J.; Niemeijer, S.; Cede, A.; et al. Ground-based validation of the Copernicus Sentinel-5P TROPOMI NO2 measurements with the NDACC ZSL-DOAS, MAX-DOAS and Pandonia global networks. Atmos. Meas. Tech. 2021, 14, 481–510. [Google Scholar] [CrossRef]
- Xing, C.Z.; Liu, C.; Wang, S.S.; Chan, K.L.; Gao, Y.; Huang, X.; Su, W.J.; Zhang, C.X.; Dong, Y.S.; Fan, G.Q.; et al. Observations of the vertical distributions of summertime atmospheric pollutants and the corresponding ozone production in Shanghai, China. Atmos. Chem. Phys. 2017, 17, 14275–14289. [Google Scholar] [CrossRef] [Green Version]
- Tan, W.; Liu, C.; Wang, S.S.; Liu, H.R.; Zhu, Y.Z.; Su, W.J.; Hu, Q.H.; Liu, J.G. Long-distance mobile MAX-DOAS observations of NO2 and SO2 over the North China Plain and identification of regional transport and power plant emissions. Atmos. Res. 2020, 245, 105037. [Google Scholar] [CrossRef]
- Wang, C.; Wang, T.; Wang, P.; Rakitin, V. Comparison and Validation of TROPOMI and OMI NO2 Observations over China. Atmosphere 2020, 11, 636. [Google Scholar] [CrossRef]
- Yin, H.; Sun, Y.W.; Liu, C.; Zhang, L.; Lu, X.; Wang, W.; Shan, C.G.; Hu, Q.H.; Tian, Y.; Zhang, C.X.; et al. FTIR time series of stratospheric NO2 over Hefei, China, and comparisons with OMI and GEOS-Chem model data. Opt. Express 2019, 27, A1225–A1240. [Google Scholar] [CrossRef]
- Kendrick, C.M.; Koonce, P.; George, L.A. Diurnal and seasonal variations of NO, NO2 and PM2.5 mass as a function of traffic volumes alongside an urban arterial. Atmos. Environ. 2015, 122, 133–141. [Google Scholar] [CrossRef] [Green Version]
- Zhu, Y.Z.; Hu, Q.H.; Gao, M.; Zhao, C.; Zhang, C.X.; Liu, T.; Tian, Y.; Yan, L.; Su, W.J.; Hong, X.H.; et al. Quantifying Contributions of Local Emissions and Regional Transport to NOX in Beijing Using TROPOMI Constrained WRF-Chem Simulation. Remote Sens. 2021, 13, 1798. [Google Scholar] [CrossRef]
- Fan, H.; Wang, Y.; Zhao, C.; Yang, Y.; Yang, X.; Sun, Y.; Jiang, S. The Role of Primary Emission and Transboundary Transport in the Air Quality Changes During and After the COVID-19 Lockdown in China. Geophys. Res. Lett. 2021, 48, e2020GL091065. [Google Scholar] [CrossRef] [PubMed]
- Tan, Q.; Ge, B.; Xu, X.; Gan, L.; Yang, W.; Chen, X.; Pan, X.; Wang, W.; Li, J.; Wang, Z. Increasing impacts of the relative contributions of regional transport on air pollution in Beijing: Observational evidence. Environ. Pollut. 2021, 292, 118407. [Google Scholar] [CrossRef] [PubMed]
- Chen, Z.F.; Hao, X.Y.; Zhang, X.Y.; Chen, F.L. Have traffic restrictions improved air quality? A shock from COVID-19. J. Clean. Prod. 2021, 279, 123622. [Google Scholar] [CrossRef]
- Zhang, X.Y.; Zhang, W.T.; Lu, X.H.; Liu, X.J.; Chen, D.M.; Liu, L.; Huang, X.J. Long-term trends in NO2 columns related to economic developments and air quality policies from 1997 to 2016 in China. Sci. Total Environ. 2018, 639, 146–155. [Google Scholar] [CrossRef]
- Bei, N.F.; Li, G.H.; Huang, R.J.; Cao, J.J.; Meng, N.; Feng, T.; Liu, S.X.; Zhang, T.; Zhang, Q.; Molina, L.T. Typical synoptic situations and their impacts on the wintertime air pollution in the Guanzhong basin, China. Atmos. Chem. Phys. 2016, 16, 7373–7387. [Google Scholar] [CrossRef] [Green Version]
- Du, Q.Y.; Zhao, C.; Zhang, M.S.; Dong, X.; Chen, Y.; Liu, Z.; Hu, Z.Y.; Zhang, Q.; Li, Y.B.; Yuan, R.M.; et al. Modeling diurnal variation of surface PM2.5 concentrations over East China with WRF-Chem: Impacts from boundary-layer mixing and anthropogenic emission. Atmos. Chem. Phys. 2020, 20, 2839–2863. [Google Scholar] [CrossRef] [Green Version]
- Yan, D.D.; Liu, T.Y.; Dong, W.J.; Liao, X.H.; Luo, S.Q.; Wu, K.; Zhu, X.; Zheng, Z.Y.; Wen, X.H. Integrating remote sensing data with WRF model for improved 2-m temperature and humidity simulations in China. Dyn. Atmos. Oceans 2020, 89, 101127. [Google Scholar] [CrossRef]
- Pei, Z.; Han, G.; Ma, X.; Su, H.; Gong, W. Response of major air pollutants to COVID-19 lockdowns in China. Sci. Total Environ. 2020, 743, 140879. [Google Scholar] [CrossRef] [PubMed]
- Le, T.H.; Wang, Y.; Liu, L.; Yang, J.N.; Yung, Y.L.; Li, G.H.; Seinfeld, J.H. Unexpected air pollution with marked emission reductions during the COVID-19 outbreak in China. Science 2020, 369, 702–706. [Google Scholar] [CrossRef] [PubMed]
- Wang, X.Y.; Zhang, R.H. How Did Air Pollution Change during the COVID-19 Outbreak in China? Am. Meteorol. Soc. 2020, 101, E1645–E1652. [Google Scholar] [CrossRef]









Publisher’s Note: MDPI stays neutral with regard to jurisdictional claims in published maps and institutional affiliations. |
© 2022 by the authors. Licensee MDPI, Basel, Switzerland. This article is an open access article distributed under the terms and conditions of the Creative Commons Attribution (CC BY) license (https://creativecommons.org/licenses/by/4.0/).
Share and Cite
Zhao, C.; Zhang, C.; Lin, J.; Wang, S.; Liu, H.; Wu, H.; Liu, C. Variations of Urban NO2 Pollution during the COVID-19 Outbreak and Post-Epidemic Era in China: A Synthesis of Remote Sensing and In Situ Measurements. Remote Sens. 2022, 14, 419. https://doi.org/10.3390/rs14020419
Zhao C, Zhang C, Lin J, Wang S, Liu H, Wu H, Liu C. Variations of Urban NO2 Pollution during the COVID-19 Outbreak and Post-Epidemic Era in China: A Synthesis of Remote Sensing and In Situ Measurements. Remote Sensing. 2022; 14(2):419. https://doi.org/10.3390/rs14020419
Chicago/Turabian StyleZhao, Chunhui, Chengxin Zhang, Jinan Lin, Shuntian Wang, Hanyang Liu, Hongyu Wu, and Cheng Liu. 2022. "Variations of Urban NO2 Pollution during the COVID-19 Outbreak and Post-Epidemic Era in China: A Synthesis of Remote Sensing and In Situ Measurements" Remote Sensing 14, no. 2: 419. https://doi.org/10.3390/rs14020419
APA StyleZhao, C., Zhang, C., Lin, J., Wang, S., Liu, H., Wu, H., & Liu, C. (2022). Variations of Urban NO2 Pollution during the COVID-19 Outbreak and Post-Epidemic Era in China: A Synthesis of Remote Sensing and In Situ Measurements. Remote Sensing, 14(2), 419. https://doi.org/10.3390/rs14020419

