Assimilation of GOSAT Methane in the Hemispheric CMAQ; Part I: Design of the Assimilation System
Abstract
1. Introduction
2. Model and Observation Operator
2.1. Modifications of the CMAQ Model to Handle Methane Transport and Emissions
2.2. GOSAT Observation Operator for Data Assimilation
3. Data Assimilation System
3.1. Background of the Assimilation Scheme
3.2. Forecast Step
3.3. Analysis Step
3.4. Analysis Step with 3D Observation Operator Using Averaging Kernels
3.5. An Overview of the Assimilation Algorithm
4. System Setup
4.1. Initial Conditions
4.2. Observation Bias Correction
4.3. Construction of Spatial Correlation Functions on the H-CMAQ Grid
4.4. Observation, Model and Initial Error Covariance Modelling
5. Verification of the Basic Properties of the Assimilation System
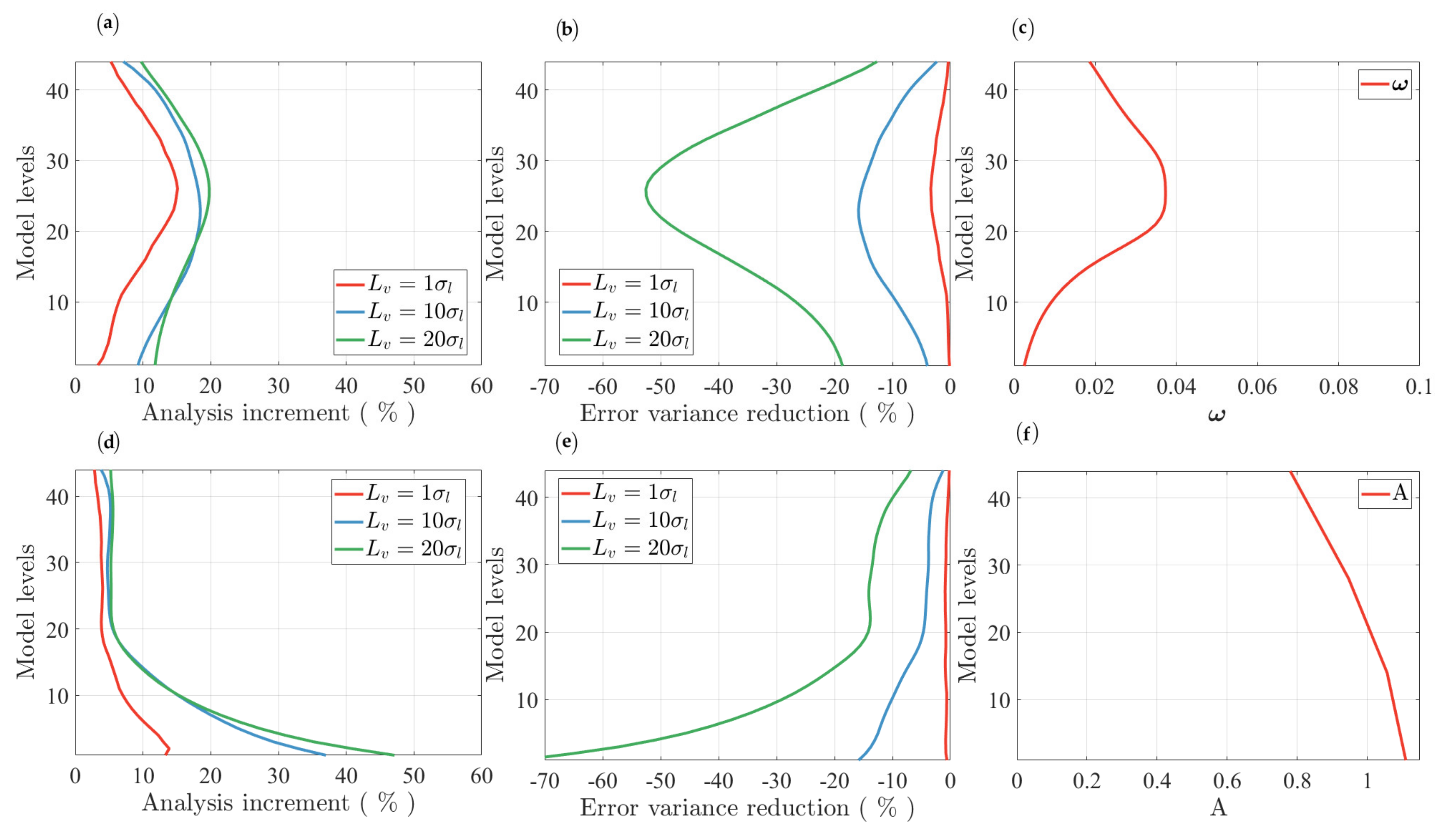
5.1. One-Observation Experiment
5.2. Timing (Computational Efficiency)
6. Summary and Conclusions
Supplementary Materials
Author Contributions
Funding
Institutional Review Board Statement
Informed Consent Statement
Data Availability Statement
Acknowledgments
Conflicts of Interest
Appendix A. Polar Stereographic Projection

Appendix B. PvKF Data Assimilation Algorithm
| Algorithms A1. Parametric variance Kalman filter (PvKF) assimilation. | |
| 1: | Pre-processing of observations (quality control, bias correction, etc.) |
| 2: | |
| 3: | for do |
| 4: | ---------------------------------------Analysis step--------------------------------------- |
| 5: | if then |
| 6: | |
| 7: | |
| 8: | |
| 9: | else |
| 10: | |
| 11: | |
| 12: | end if |
| 13: | ---------------------------------------Forecast step--------------------------------------- |
| 14: | |
| 15: | |
| 16: | Note: |
| 17: | |
| 18: | ----------------------------------------------------------------------------------------------- |
| 19: | end for |
References
- Saunois, M.; Stavert, A.R.; Poulter, B.; Bousquet, P.; Canadell, J.G.; Jackson, R.B.; Raymond, P.A.; Dlugokencky, E.J.; Houweling, S.; Patra, P.K.; et al. The Global Methane Budget 2000–2017. Earth Syst. Sci. Data 2020, 12, 1561–1623. [Google Scholar] [CrossRef]
- Myhre, G.; Shindell, D.; Bréon, F.; Collins, W.; Fuglestvedt, J.; Huang, J.; Koch, D.; Lamarque, J.; Lee, D.; Mendoza, B.; et al. Anthropogenic and natural radiative forcing. In Climate Change 2013: The Physical Science Basis. Contribution of Working Group I to the Fifth Assessment Report of the Intergovernmental Panel on Climate Change; Cambridge University Press: Cambridge, UK, 2013; pp. 659–740. [Google Scholar]
- Etminan, M.; Myhre, G.; Highwood, E.J.; Shine, K.P. Radiative forcing of carbon dioxide, methane, and nitrous oxide: A significant revision of the methane radiative forcing. Geophys. Res. Lett. 2016, 43, 12614–12623. [Google Scholar] [CrossRef]
- Butler, J.H.; Montzka, S.A. The NOAA Annual Greenhouse Gas Index (AGGI). Available online: https://gml.noaa.gov/aggi/aggi.html (accessed on 5 October 2021).
- WMO Greenhouse Gas Bulletin (GHG Bulletin), No.17: The State of Greenhouse Gases in the Atmosphere Based on Global Observations through 2020. Available online: https://library.wmo.int/doc_num.php?explnum_id=10904 (accessed on 2 November 2021).
- Dlugokencky, E.J.; Nisbet, E.G.; Fisher, R.; Lowry, D. Global atmospheric methane: Budget, changes and dangers. Philos. Trans. R. Soc. A-Math. Phys. Eng. Sci. 2011, 369, 2058–2072. [Google Scholar] [CrossRef]
- Fletcher, S.E.M.; Schaefer, H. Rising methane: A new climate challenge. Science 2019, 364, 932–933. [Google Scholar] [CrossRef] [PubMed]
- National Academies of Sciences, Engineering, and Medicine. Improving Characterization of Anthropogenic Methane Emissions in the United States; National Academies Press: Washington, DC, USA, 2018. [Google Scholar] [CrossRef]
- Nisbet, E.G.; Fisher, R.E.; Lowry, D.; France, J.L.; Allen, G.; Bakkaloglu, S.; Broderick, T.J.; Cain, M.; Coleman, M.; Fernandez, J.; et al. Methane Mitigation: Methods to Reduce Emissions, on the Path to the Paris Agreement. Rev. Geophys. 2020, 58, 51. [Google Scholar] [CrossRef]
- Fiore, A.M.; Jacob, D.J.; Field, B.D.; Streets, D.G.; Fernandes, S.D.; Jang, C. Linking ozone pollution and climate change: The case for controlling methane. Geophys. Res. Lett. 2002, 29, 25-1–25-4. [Google Scholar] [CrossRef]
- Forster, P.; Ramaswamy, V.; Artaxo, P.; Berntsen, T.; Betts, R.; Fahey, D.W.; Haywood, J.; Lean, J.; Lowe, D.C.; Myhre, G. Changes in atmospheric constituents and in radiative forcing. Chapter 2. In Climate Change 2007: The Physical Science Basis; IPCC: Geneva, Switzerland, 2007. [Google Scholar]
- Brasseur, G.P.; Jacob, D.J. Modeling of Atmospheric Chemistry; Cambridge University Press: New York, NY, USA, 2017; p. 606. [Google Scholar]
- Jacob, D.J.; Turner, A.J.; Maasakkers, J.D.; Sheng, J.X.; Sun, K.; Liu, X.; Chance, K.; Aben, I.; McKeever, J.; Frankenberg, C. Satellite observations of atmospheric methane and their value for quantifying methane emissions. Atmos. Chem. Phys. 2016, 16, 14371–14396. [Google Scholar] [CrossRef]
- Turner, A.J.; Frankenberg, C.; Kort, E.A. Interpreting contemporary trends in atmospheric methane. Proc. Natl. Acad. Sci. USA 2019, 116, 2805–2813. [Google Scholar] [CrossRef] [PubMed]
- Qu, Z.; Jacob, D.J.; Shen, L.; Lu, X.; Zhang, Y.Z.; Scarpelli, T.R.; Nesser, H.; Sulprizio, M.P.; Maasakkers, J.D.; Bloom, A.A.; et al. Global distribution of methane emissions: A comparative inverse analysis of observations from the TROPOMI and GOSAT satellite instruments. Atmos. Chem. Phys. 2021, 21, 14159–14175. [Google Scholar] [CrossRef]
- Lu, X.; Jacob, D.J.; Zhang, Y.Z.; Maasakkers, J.D.; Sulprizio, M.P.; Shen, L.; Qu, Z.; Scarpelli, T.R.; Nesser, H.; Yantosca, R.M.; et al. Global methane budget and trend, 2010–2017: Complementarity of inverse analyses using in situ (GLOBALVIEWplus CH4 ObsPack) and satellite (GOSAT) observations. Atmos. Chem. Phys. 2021, 21, 4637–4657. [Google Scholar] [CrossRef]
- Kuze, A.; Kikuchi, N.; Kataoka, F.; Suto, H.; Shiomi, K.; Kondo, Y. Detection of Methane Emission from a Local Source Using GOSAT Target Observations. Remote Sens. 2020, 12, 267. [Google Scholar] [CrossRef]
- Wang, F.J.; Maksyutov, S.; Tsuruta, A.; Janardanan, R.; Ito, A.; Sasakawa, M.; Machida, T.; Morino, I.; Yoshida, Y.; Kaiser, J.W.; et al. Methane Emission Estimates by the Global High-Resolution Inverse Model Using National Inventories. Remote Sens. 2019, 11, 2489. [Google Scholar] [CrossRef]
- Johnson, M.R.; Tyner, D.R.; Conley, S.; Schwietzke, S.; Zavala-Araiza, D. Comparisons of Airborne Measurements and Inventory Estimates of Methane Emissions in the Alberta Upstream Oil and Gas Sector. Environ. Sci. Technol. 2017, 51, 13008–13017. [Google Scholar] [CrossRef] [PubMed]
- Zavala-Araiza, D.; Alvarez, R.A.; Lyon, D.R.; Allen, D.T.; Marchese, A.J.; Zimmerle, D.J.; Hamburg, S.P. Super-emitters in natural gas infrastructure are caused by abnormal process conditions. Nat. Commun. 2017, 8, 10. [Google Scholar] [CrossRef] [PubMed]
- Zavala-Araiza, D.; Lyon, D.R.; Alvarez, R.A.; Davis, K.J.; Harriss, R.; Herndon, S.C.; Karion, A.; Kort, E.A.; Lamb, B.K.; Lan, X.; et al. Reconciling divergent estimates of oil and gas methane emissions. Proc. Natl. Acad. Sci. USA 2015, 112, 15597–15602. [Google Scholar] [CrossRef]
- Fox, T.A.; Barchyn, T.E.; Risk, D.; Ravikumar, A.P.; Hugenholtz, C.H. A review of close-range and screening technologies for mitigating fugitive methane emissions in upstream oil and gas. Environ. Res. Lett. 2019, 14, 18. [Google Scholar] [CrossRef]
- Wecht, K.J.; Jacob, D.J.; Frankenberg, C.; Jiang, Z.; Blake, D.R. Mapping of North American methane emissions with high spatial resolution by inversion of SCIAMACHY satellite data. J. Geophys. Res.-Atmos. 2014, 119, 7741–7756. [Google Scholar] [CrossRef]
- NASA’s Earth Observing System Data and Information System (EOSDIS), Data Processing Levels. Available online: https://earthdata.nasa.gov/collaborate/open-data-services-and-software/data-information-policy/data-levels (accessed on 1 November 2021).
- Kasibhatla, P.S.; Heimann, M.; Rayner, P.J.; Mahowald, N.M.; Prinn, R.G.; Hartley, D.E. Inverse Methods in Global Biogeochemical Cycles; American Geophysical Union: Washington, DC, USA, 2000; Volume 114, p. 324. [Google Scholar]
- Asch, M.; Bocquet, M.; Nodet, M. Data Assimilation: Methods, Algorithms, and Applications; SIAM: Philadelphia, PA, USA, 2016. [Google Scholar]
- Gauthier, P.; Charette, C.; Fillion, L.; Koclas, P.; Laroche, S. Implementation of a 3D variational data assimilation system at the Canadian Meteorological Centre. Part I: The global analysis. Atmosphere-Ocean 1999, 37, 103–156. [Google Scholar] [CrossRef]
- Gauthier, P.; Tanguay, M.; Laroche, S.; Pellerin, S.; Morneau, J. Extension of 3DVAR to 4DVAR: Implementation of 4DVAR at the Meteorological Service of Canada. Mon. Weather Rev. 2007, 135, 2339–2354. [Google Scholar] [CrossRef]
- Errera, Q.; Daerden, F.; Chabrillat, S.; Lambert, J.C.; Lahoz, W.A.; Viscardy, S.; Bonjean, S.; Fonteyn, D. 4D-Var assimilation of MIPAS chemical observations: Ozone and nitrogen dioxide analyses. Atmos. Chem. Phys. 2008, 8, 6169–6187. [Google Scholar] [CrossRef]
- Errera, Q.; Menard, R. Technical Note: Spectral representation of spatial correlations in variational assimilation with grid point models and application to the Belgian Assimilation System for Chemical Observations (BASCOE). Atmos. Chem. Phys. 2012, 12, 10015–10031. [Google Scholar] [CrossRef]
- Massart, S.; Agusti-Panareda, A.; Aben, I.; Butz, A.; Chevallier, F.; Crevoisier, C.; Engelen, R.; Frankenberg, C.; Hasekamp, O. Assimilation of atmospheric methane products into the MACC-II system: From SCIAMACHY to TANSO and IASI. Atmos. Chem. Phys. 2014, 14, 6139–6158. [Google Scholar] [CrossRef]
- Houtekamer, P.L.; Zhang, F.Q. Review of the Ensemble Kalman Filter for Atmospheric Data Assimilation. Mon. Weather Rev. 2016, 144, 4489–4532. [Google Scholar] [CrossRef]
- Skachko, S.; Errera, Q.; Menard, R.; Christophe, Y.; Chabrillat, S. Comparison of the ensemble Kalman filter and 4D-Var assimilation methods using a stratospheric tracer transport model. Geosci. Model Dev. 2014, 7, 1451–1465. [Google Scholar] [CrossRef]
- Skachko, S.; Menard, R.; Errera, Q.; Christophe, Y.; Chabrillat, S. EnKF and 4D-Var data assimilation with chemical transport model BASCOE (version 05.06). Geosci. Model Dev. 2016, 9, 2893–2908. [Google Scholar] [CrossRef]
- Menard, R.; Cohn, S.E.; Chang, L.P.; Lyster, P.M. Assimilation of stratospheric chemical tracer observations using a Kalman filter. Part I: Formulation. Mon. Weather Rev. 2000, 128, 2654–2671. [Google Scholar] [CrossRef]
- Menard, R.; Changs, L.P. Assimilation of stratospheric chemical tracer observations using a Kalman filter. Part II: Chi(2)-validated results and analysis of variance and correlation dynamics. Mon. Weather Rev. 2000, 128, 2672–2686. [Google Scholar] [CrossRef]
- Khattatov, B.V.; Lamarque, J.F.; Lyjak, L.V.; Menard, R.; Levelt, P.; Tie, X.X.; Brasseur, G.P.; Gille, J.C. Assimilation of satellite observations of long-lived chemical species in global chemistry transport models. J. Geophys. Res.-Atmos. 2000, 105, 29135–29144. [Google Scholar] [CrossRef]
- Eskes, H.J.; Van Velthoven, P.F.J.; Valks, P.J.M.; Kelder, H.M. Assimilation of GOME total-ozone satellite observations in a three-dimensional tracer-transport model. Q. J. R. Meteorol. Soc. 2003, 129, 1663–1681. [Google Scholar] [CrossRef]
- Rosevall, J.D.; Murtagh, D.P.; Urban, J.; Jones, A.K. A study of polar ozone depletion based on sequential assimilation of satellite data from the ENVISAT/MIPAS and Odin/SMR instruments. Atmos. Chem. Phys. 2007, 7, 899–911. [Google Scholar] [CrossRef]
- Van der A, R.J.; Allaart, M.A.F.; Eskes, H.J. Multi sensor reanalysis of total ozone. Atmos. Chem. Phys. 2010, 10, 11277–11294. [Google Scholar] [CrossRef]
- Pannekoucke, O.; Ricci, S.; Barthelemy, S.; Menard, R.; Thual, O. Parametric Kalman filter for chemical transport models. Tellus Ser. A-Dyn. Meteorol. Oceanogr. 2016, 68, 31547, Erratum in Tellus Ser. A-Dyn. Meteorol. Oceanogr. 2018, 70, 1472954. [Google Scholar] [CrossRef]
- Pannekoucke, O.; Menard, R.; El Aabaribaoune, M.; Plu, M. A methodology to obtain model-error covariances due to the discretization scheme from the parametric Kalman filter perspective. Nonlinear Processes Geophys. 2021, 28, 1–22. [Google Scholar] [CrossRef]
- Prinn, R.G.; Huang, J.; Weiss, R.F.; Cunnold, D.M.; Fraser, P.J.; Simmonds, P.G.; McCulloch, A.; Harth, C.; Reimann, S.; Salameh, P.; et al. Evidence for variability of atmospheric hydroxyl radicals over the past quarter century. Geophys. Res. Lett. 2005, 32, 4. [Google Scholar] [CrossRef]
- Prather, M.J.; Holmes, C.D.; Hsu, J. Reactive greenhouse gas scenarios: Systematic exploration of uncertainties and the role of atmospheric chemistry. Geophys. Res. Lett. 2012, 39, 5. [Google Scholar] [CrossRef]
- Gaspari, G.; Cohn, S.E. Construction of correlation functions in two and three dimensions. Q. J. R. Meteorol. Soc. 1999, 125, 723–757. [Google Scholar] [CrossRef]
- Byun, D.; Schere, K.L. Review of the governing equations, computational algorithms, and other components of the models-3 Community Multiscale Air Quality (CMAQ) modeling system. Appl. Mech. Rev. 2006, 59, 51–77. [Google Scholar] [CrossRef]
- Mathur, R.; Xing, J.; Gilliam, R.; Sarwar, G.; Hogrefe, C.; Pleim, J.; Pouliot, G.; Roselle, S.; Spero, T.L.; Wong, D.C.; et al. Extending the Community Multiscale Air Quality (CMAQ) modeling system to hemispheric scales: Overview of process considerations and initial applications. Atmos. Chem. Phys. 2017, 17, 12449–12474. [Google Scholar] [CrossRef] [PubMed]
- CMAQ Tutorials. Available online: https://www.epa.gov/cmaq/cmaq-documentation (accessed on 14 October 2021).
- Crippa, M.; Solazzo, E.; Huang, G.L.; Guizzardi, D.; Koffi, E.; Muntean, M.; Schieberle, C.; Friedrich, R.; Janssens-Maenhout, G. High resolution temporal profiles in the Emissions Database for Global Atmospheric Research. Sci. Data 2020, 7, 121. [Google Scholar] [CrossRef]
- Crippa, M.; Guizzardi, D.; Muntean, M.; Schaaf, E.; Lo Vullo, E.; Solazzo, E.; Monforti-Ferrario, F.; Olivier, J.; Vignati, E. EDGAR v6.0 Greenhouse Gas Emissions. Available online: https://data.jrc.ec.europa.eu/dataset/97a67d67-c62e-4826-b873-9d972c4f670b (accessed on 5 November 2021).
- UNC. Community Modeling and Analysis System CMAS [WWW Document]. SMOKE v4.5 User’s Man. Available online: https://www.cmascenter.org/smoke/ (accessed on 2 November 2021).
- Cressot, C.; Chevallier, F.; Bousquet, P.; Crevoisier, C.; Dlugokencky, E.J.; Fortems-Cheiney, A.; Frankenberg, C.; Parker, R.; Pison, I.; Scheepmaker, R.A.; et al. On the consistency between global and regional methane emissions inferred from SCIAMACHY, TANSO-FTS, IASI and surface measurements. Atmos. Chem. Phys. 2014, 14, 577–592. [Google Scholar] [CrossRef]
- Bloom, A.A.; Bowman, K.W.; Lee, M.; Turner, A.J.; Schroeder, R.; Worden, J.R.; Weidner, R.; McDonald, K.C.; Jacob, D.J. A global wetland methane emissions and uncertainty dataset for atmospheric chemical transport models (WetCHARTs version 1.0). Geosci. Model Dev. 2017, 10, 2141–2156. [Google Scholar] [CrossRef]
- Kuze, A.; Suto, H.; Nakajima, M.; Hamazaki, T. Thermal and near infrared sensor for carbon observation Fourier-transform spectrometer on the Greenhouse Gases Observing Satellite for greenhouse gases monitoring. Appl. Opt. 2009, 48, 6716–6733. [Google Scholar] [CrossRef] [PubMed]
- Butz, A.; Guerlet, S.; Hasekamp, O.; Schepers, D.; Galli, A.; Aben, I.; Frankenberg, C.; Hartmann, J.M.; Tran, H.; Kuze, A.; et al. Toward accurate CO2 and CH4 observations from GOSAT. Geophys. Res. Lett. 2011, 38, 1–6. [Google Scholar] [CrossRef]
- Schepers, D.; Guerlet, S.; Butz, A.; Landgraf, J.; Frankenberg, C.; Hasekamp, O.; Blavier, J.F.; Deutscher, N.M.; Griffith, D.W.T.; Hase, F.; et al. Methane retrievals from Greenhouse Gases Observing Satellite (GOSAT) shortwave infrared measurements: Performance comparison of proxy and physics retrieval algorithms. J. Geophys. Res.-Atmos. 2012, 117, 17549. [Google Scholar] [CrossRef]
- Buchwitz, M.; Reuter, M.; Schneising, O.; Hewson, W.; Detmers, R.G.; Boesch, H.; Hasekamp, O.P.; Aben, I.; Bovensmann, H.; Burrows, J.P.; et al. Global satellite observations of column-averaged carbon dioxide and methane: The GHG-CCI XCO2 and XCH4 CRDP3 data set. Remote Sens. Environ. 2017, 203, 276–295. [Google Scholar] [CrossRef]
- Turner, A.J.; Jacob, D.J.; Wecht, K.J.; Maasakkers, J.D.; Lundgren, E.; Andrews, A.E.; Biraud, S.C.; Boesch, H.; Bowman, K.W.; Deutscher, N.M.; et al. Estimating global and North American methane emissions with high spatial resolution using GOSAT satellite data. Atmos. Chem. Phys. 2015, 15, 7049–7069. [Google Scholar] [CrossRef]
- Parker, R.J.; Boesch, H.; Byckling, K.; Webb, A.J.; Palmer, P.I.; Feng, L.; Bergamaschi, P.; Chevallier, F.; Notholt, J.; Deutscher, N.; et al. Assessing 5 years of GOSAT Proxy XCH4 data and associated uncertainties. Atmos. Meas. Tech. 2015, 8, 4785–4801. [Google Scholar] [CrossRef]
- Bovensmann, H.; Burrows, J.; Buchwitz, M.; Frerick, J.; Noël, S.; Rozanov, V.; Chance, K.; Goede, A. SCIAMACHY: Mission objectives and measurement modes. J. Atmos. Sci. 1999, 56, 127–150. [Google Scholar] [CrossRef]
- Bergamaschi, P.; Frankenberg, C.; Meirink, J.F.; Krol, M.; Dentener, F.; Wagner, T.; Platt, U.; Kaplan, J.O.; Korner, S.; Heimann, M.; et al. Satellite chartography of atmospheric methane from SCIAMACHYon board ENVISAT: 2. Evaluation based on inverse model simulations. J. Geophys. Res.-Atmos. 2007, 112, 07268. [Google Scholar] [CrossRef]
- Cohn, S.E. Dynamics of short-term univariate forecast error covariances. Mon. Weather Rev. 1993, 121, 3123–3149. [Google Scholar] [CrossRef]
- Menard, R.; Gauthier, P.; Rochon, Y.; Robichaud, A.; de Grandpre, J.; Yang, Y.; Charrette, C.; Chabrillat, S. Coupled Stratospheric Chemistry-Meteorology Data Assimilation. Part II: Weak and Strong Coupling. Atmosphere 2019, 10, 798. [Google Scholar] [CrossRef]
- Seinfeld, J.I. Atmospheric Chemistry and Physics: From Air Pollution to Climate Change; John Wiley & Sons: Hoboken, NJ, USA, 2016. [Google Scholar]
- Jacobson, M.Z.C.U.P. Fundamentals of Atmospheric Modeling; Cambridge University Press: Cambridge, UK, 2020. [Google Scholar]
- Menard, R.; Skachko, S.; Pannekoucke, O. Numerical discretization causing error variance loss and the need for inflation. Q. J. R. Meteorol. Soc. 2021, 147, 3498–3520. [Google Scholar] [CrossRef]
- Courtier, P.; Thepaut, J.N.; Hollingsworth, A. A strategy for operational implementation of 4D-VAR, using an incremental approach. Q. J. R. Meteorol. Soc. 1994, 120, 1367–1387. [Google Scholar] [CrossRef]
- Kirschke, S.; Bousquet, P.; Ciais, P.; Saunois, M.; Canadell, J.G.; Dlugokencky, E.J.; Bergamaschi, P.; Bergmann, D.; Blake, D.R.; Bruhwiler, L.; et al. Three decades of global methane sources and sinks. Nat. Geosci. 2013, 6, 813–823. [Google Scholar] [CrossRef]
- Olsen, E.; Fetzer, E.; Hulley, G.; Manning, E.; Blaisdell, J.; Iredell, L.; Susskind, J.; Warner, J.; Wei, Z.; Blackwell, W. AIRS/AMSU/HSB Version 6 Level 2 Product User Guide; JPL Technical Report; NASA: Washington, DC, USA, 2013. [Google Scholar]
- Xiong, X.Z.; Barnet, C.; Maddy, E.; Sweeney, C.; Liu, X.P.; Zhou, L.H.; Goldberg, M. Characterization and validation of methane products from the Atmospheric Infrared Sounder (AIRS). J. Geophys. Res.-Biogeosci. 2008, 113, 500. [Google Scholar] [CrossRef]
- Dlugokencky. NOAA/GML. 2020; pp. 17021–17043. Available online: www.esrl.noaa.gov/gmd/ccgg/trends_ch4/ (accessed on 20 November 2021).
- Schuldt, K.N.; Aalto, T.; Andrews, A.; Aoki, S.; Arduini, J.; Baier, B.; Bergamaschi, P.; Biermann, T.; Biraud, S.C.; Boenisch, H.; et al. Multi-Laboratory Compilation of Atmospheric Methane Data for the Period 1983–2020; obspack_ch4_1_GLOBALVIEWplus_v3.0_2021–05–07; NOAA Earth System Research Laboratory, Global Monitoring Laboratory: Boulder, CO, USA, 2021. [Google Scholar] [CrossRef]
- Buchwitz, M.; Reuter, M.; Schneising, O.; Boesch, H.; Guerlet, S.; Dils, B.; Aben, I.; Armante, R.; Bergamaschi, P.; Blumenstock, T.; et al. The Greenhouse Gas Climate Change Initiative (GHG-CCI): Comparison and quality assessment of near-surface-sensitive satellite-derived CO2 and CH4 global data sets. Remote Sens. Environ. 2015, 162, 344–362. [Google Scholar] [CrossRef]
- Oshio, H.; Yoshida, Y.; Matsunaga, T.; Deutscher, N.M.; Dubey, M.; Griffith, D.W.T.; Hase, F.; Iraci, L.T.; Kivi, R.; Liu, C.; et al. Bias Correction of the Ratio of Total Column CH4 to CO2 Retrieved from GOSAT Spectra. Remote Sens. 2020, 12, 3155. [Google Scholar] [CrossRef]
- Inoue, M.; Morino, I.; Uchino, O.; Nakatsuru, T.; Yoshida, Y.; Yokota, T.; Wunch, D.; Wennberg, P.O.; Roehl, C.M.; Griffith, D.W.T.; et al. Bias corrections of GOSAT SWIR XCO2 and XCH4 with TCCON data and their evaluation using aircraft measurement data. Atmos. Meas. Tech. 2016, 9, 3491–3512. [Google Scholar] [CrossRef]
- Zhou, M.Q.; Dils, B.; Wang, P.C.; Detmers, R.; Yoshida, Y.; O’Dell, C.W.; Feist, D.G.; Velazco, V.A.; Schneider, M.; De Maziere, M. Validation of TANSO-FTS/GOSAT XCO2 and XCH4 glint mode retrievals using TCCON data from near-ocean sites. Atmos. Meas. Tech. 2016, 9, 1415–1430. [Google Scholar] [CrossRef]
- Wunch, D.; Toon, G.C.; Blavier, J.F.L.; Washenfelder, R.A.; Notholt, J.; Connor, B.J.; Griffith, D.W.T.; Sherlock, V.; Wennberg, P.O. The Total Carbon Column Observing Network. Philos. Trans. R. Soc. A-Math. Phys. Eng. Sci. 2011, 369, 2087–2112. [Google Scholar] [CrossRef]
- Maasakkers, J.D.; Jacob, D.J.; Sulprizio, M.P.; Scarpelli, T.R.; Nesser, H.; Sheng, J.X.; Zhang, Y.Z.; Hersher, M.; Bloom, A.A.; Bowman, K.W.; et al. Global distribution of methane emissions, emission trends, and OH concentrations and trends inferred from an inversion of GOSAT satellite data for 2010–2015. Atmos. Chem. Phys. 2019, 19, 7859–7881. [Google Scholar] [CrossRef]
- Alexe, M.; Bergamaschi, P.; Segers, A.; Detmers, R.; Butz, A.; Hasekamp, O.; Guerlet, S.; Parker, R.; Boesch, H.; Frankenberg, C.; et al. Inverse modelling of CH4 emissions for 2010–2011 using different satellite retrieval products from GOSAT and SCIAMACHY. Atmos. Chem. Phys. 2015, 15, 113–133. [Google Scholar] [CrossRef]
- Saad, K.M.; Wunch, D.; Deutscher, N.M.; Griffith, D.W.T.; Hase, F.; De Maziere, M.; Notholt, J.; Pollard, D.F.; Roehl, C.M.; Schneider, M.; et al. Seasonal variability of stratospheric methane: Implications for constraining tropospheric methane budgets using total column observations. Atmos. Chem. Phys. 2016, 16, 14003–14024. [Google Scholar] [CrossRef]
- Patra, P.K.; Houweling, S.; Krol, M.; Bousquet, P.; Belikov, D.; Bergmann, D.; Bian, H.; Cameron-Smith, P.; Chipperfield, M.P.; Corbin, K.; et al. TransCom model simulations of CH4 and related species: Linking transport, surface flux and chemical loss with CH4 variability in the troposphere and lower stratosphere. Atmos. Chem. Phys. 2011, 11, 12813–12837. [Google Scholar] [CrossRef]
- Bader, W.; Bovy, B.; Conway, S.; Strong, K.; Smale, D.; Turner, A.J.; Blumenstock, T.; Boone, C.; Coen, M.C.; Coulon, A.; et al. The recent increase of atmospheric methane from 10 years of ground-based NDACC FTIR observations since 2005. Atmos. Chem. Phys. 2017, 17, 2255–2277. [Google Scholar] [CrossRef]
- Zhang, Y.Z.; Jacob, D.J.; Lu, X.; Maasakkers, J.D.; Scarpelli, T.R.; Sheng, J.X.; Shen, L.; Qu, Z.; Sulprizio, M.P.; Chang, J.F.; et al. Attribution of the accelerating increase in atmospheric methane during 2010–2018 by inverse analysis of GOSAT observations. Atmos. Chem. Phys. 2021, 21, 3643–3666. [Google Scholar] [CrossRef]
- Seber, G.A.; Lee, A.J. Linear Regression Analysis; John Wiley & Sons: Hoboken, NJ, USA, 2012; Volume 329. [Google Scholar]
- Menard, R.; Deshaies-Jacques, M.; Gasset, N. A comparison of correlation-length estimation methods for the objective analysis of surface pollutants at Environment and Climate Change Canada. J. Air Waste Manag. Assoc. 2016, 66, 874–895. [Google Scholar] [CrossRef][Green Version]
- Jazwinski, A.H. Stochastic Processes and Filtering Theory; Academic Press: New York, NY, USA, 1970. [Google Scholar]
- Janjic, T.; Bormann, N.; Bocquet, M.; Carton, J.A.; Cohn, S.E.; Dance, S.L.; Losa, S.N.; Nichols, N.K.; Potthast, R.; Waller, J.A.; et al. On the representation error in data assimilation. Q. J. R. Meteorol. Soc. 2018, 144, 1257–1278. [Google Scholar] [CrossRef]
- Cohn, S.E. An introduction to estimation theory. J. Meteorol. Soc. Jpn. 1997, 75, 257–288. [Google Scholar] [CrossRef]
- Szenasi, B.; Berchet, A.; Broquet, G.; Segers, A.; van der Gon, H.D.; Krol, M.; Hullegie, J.J.S.; Kiesow, A.; Gunther, D.; Petrescu, A.M.R.; et al. A pragmatic protocol for characterising errors in atmospheric inversions of methane emissions over Europe. Tellus Ser. B-Chem. Phys. Meteorol. 2021, 73, 1–23. [Google Scholar] [CrossRef]
- Berchet, A.; Pison, I.; Chevallier, F.; Bousquet, P.; Conil, S.; Geever, M.; Laurila, T.; Lavric, J.; Lopez, M.; Moncrieff, J.; et al. Towards better error statistics for atmospheric inversions of methane surface fluxes. Atmos. Chem. Phys. 2013, 13, 7115–7132. [Google Scholar] [CrossRef]
- Heald, C.L.; Jacob, D.J.; Jones, D.B.A.; Palmer, P.I.; Logan, J.A.; Streets, D.G.; Sachse, G.W.; Gille, J.C.; Hoffman, R.N.; Nehrkorn, T. Comparative inverse analysis of satellite (MOPITT) and aircraft (TRACE-P) observations to estimate Asian sources of carbon monoxide. J. Geophys. Res.-Atmos. 2004, 109, 5185. [Google Scholar] [CrossRef]
- Segers, A.J.; Eskes, H.J.; Van der A, R.J.; Van Oss, F.; Van Velthoven, P.F.J. Assimilation of GOME ozone profiles and a global chemistry-transport model using a Kalman filter with anisotropic covariance. Q. J. R. Meteorol. Soc. 2005, 131, 477–502. [Google Scholar] [CrossRef]
- Tremolet, Y. Accounting for an imperfect model in 4D-Var. Q. J. R. Meteorol. Soc. 2006, 132, 3127. [Google Scholar] [CrossRef]
- Stanevich, I.; Jones, D.; Strong, K.; Parker, R.J.; Boesch, H.; Wunch, D.; Notholt, J.; Petri, C.; Warneke, T.; Sussmann, R. Characterizing model errors in chemical transport modeling of methane: Impact of model resolution in versions v9–02 of GEOS-Chem and v35j of its adjoint model. Geosci. Model Dev. 2020, 13, 3839–3862. [Google Scholar] [CrossRef]
- Lahoz, W.A.; Schneider, P. Data assimilation: Making sense of Earth Observation. Front. Environ. Sci. 2014, 2, 16. [Google Scholar] [CrossRef]
- Buehner, M.; Houtekamer, P.L.; Charette, C.; Mitchell, H.L.; He, B. Intercomparison of Variational Data Assimilation and the Ensemble Kalman Filter for Global Deterministic NWP. Part I: Description and Single-Observation Experiments. Mon. Weather Rev. 2010, 138, 1550–1566. [Google Scholar] [CrossRef]
- Gilpin, S.; Matsuo, T.; Cohn, S.E. Continuum covariance propagation for understanding variance loss in advective systems. arXiv 2021, arXiv:2109.02530. [Google Scholar]
- CMAQv5.3 User’s Guide. Available online: https://github.com/USEPA/CMAQ/blob/5.3/DOCS/Users_Guide/README.md (accessed on 14 October 2021).
- Menard, R.; Deshaies-Jacques, M. Evaluation of Analysis by Cross-Validation, Part II: Diagnostic and Optimization of Analysis Error Covariance. Atmosphere 2018, 9, 70. [Google Scholar] [CrossRef]
- Krishnamoorthy, A.; Menon, D. Matrix inversion using Cholesky decomposition. In Proceedings of the 2013 Signal Processing: Algorithms, Architectures, Arrangements, and Applications (SPA), Poznan, Poland, 26–28 September 2013. [Google Scholar]
- Hakami, A.; Henze, D.K.; Seinfeld, J.H.; Singh, K.; Sandu, A.; Kim, S.T.; Byun, D.W.; Li, Q.B. The adjoint of CMAQ. Environ. Sci. Technol. 2007, 41, 7807–7817. [Google Scholar] [CrossRef] [PubMed]
- Zhao, S.L.; Russell, M.G.; Hakami, A.; Capps, S.L.; Turner, M.D.; Henze, D.K.; Percell, P.B.; Resler, J.; Shen, H.; Russell, A.G.; et al. A multiphase CMAQ version 5.0 adjoint. Geosci. Model Dev. 2020, 13, 2925–2944. [Google Scholar] [CrossRef] [PubMed]
- Peng, Z.; Zhang, M.; Kou, X.; Tian, X.; Ma, X. A regional carbon data assimilation system and its preliminary evaluation in East Asia. Atmos. Chem. Phys. 2015, 15, 1087–1104. [Google Scholar] [CrossRef]
- Otte, T.L.; Pleim, J.E. The Meteorology-Chemistry Interface Processor (MCIP) for the CMAQ modeling system: Updates through MCIPv3.4.1. Geosci. Model Dev. 2010, 3, 243–256. [Google Scholar] [CrossRef]










Publisher’s Note: MDPI stays neutral with regard to jurisdictional claims in published maps and institutional affiliations. |
© 2022 by the authors. Licensee MDPI, Basel, Switzerland. This article is an open access article distributed under the terms and conditions of the Creative Commons Attribution (CC BY) license (https://creativecommons.org/licenses/by/4.0/).
Share and Cite
Voshtani, S.; Ménard, R.; Walker, T.W.; Hakami, A. Assimilation of GOSAT Methane in the Hemispheric CMAQ; Part I: Design of the Assimilation System. Remote Sens. 2022, 14, 371. https://doi.org/10.3390/rs14020371
Voshtani S, Ménard R, Walker TW, Hakami A. Assimilation of GOSAT Methane in the Hemispheric CMAQ; Part I: Design of the Assimilation System. Remote Sensing. 2022; 14(2):371. https://doi.org/10.3390/rs14020371
Chicago/Turabian StyleVoshtani, Sina, Richard Ménard, Thomas W. Walker, and Amir Hakami. 2022. "Assimilation of GOSAT Methane in the Hemispheric CMAQ; Part I: Design of the Assimilation System" Remote Sensing 14, no. 2: 371. https://doi.org/10.3390/rs14020371
APA StyleVoshtani, S., Ménard, R., Walker, T. W., & Hakami, A. (2022). Assimilation of GOSAT Methane in the Hemispheric CMAQ; Part I: Design of the Assimilation System. Remote Sensing, 14(2), 371. https://doi.org/10.3390/rs14020371

