An eLoran Signal Cycle Identification Method Based on Joint Time–Frequency Domain
Abstract
:1. Introduction
2. Materials and Methods
2.1. eLoran Signal Format
2.2. Skywave Interference and Cycle Identification
2.3. Time–Frequency Domain Cycle Identification Method
2.3.1. Digital Bandpass Filtering and Linear Digital Average
2.3.2. Spectrum Division in Frequency Domain
2.3.3. Peak-to-Peak Ratio and Waveform Matching in Time Domain
3. Results
3.1. Validation of Cycle Identification Method
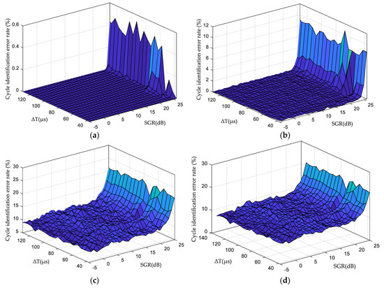
3.2. Performance Analysis of Cycle Identification Method
3.3. Experimental Verification of Cycle Identification Method
4. Discussion
5. Conclusions
Author Contributions
Funding
Institutional Review Board Statement
Informed Consent Statement
Data Availability Statement
Acknowledgments
Conflicts of Interest
References
- Xu, J.N. Analysis on underwater PNT system and key technologies. Navig. Position. Timing 2017, 4, 1–3. [Google Scholar] [CrossRef]
- Zhang, H.Y.; Xu, B.; Li, H.B.; Liao, D.Y.; Chen, H.Q. Prospects for development of loran-C navigation system for building up national comprehensive PNT system. J. Astronaut. Metrol. Meas. 2020, 40, 6–7. [Google Scholar] [CrossRef]
- Gao, Z.Z.; Ge, M.R.; Li, Y.; Shen, W.B.; Zhang, H.P.; Schuh, H. Railay irregularity measuring using rauch-tung-striebel smoothed multi-sensors fusion system: Quad-GNSS PPP, IMU, odometer, and track gauge. GPS Solut. 2018, 22, 22–36. [Google Scholar] [CrossRef]
- Di, Q.; Dan, B.; Sherman, L.; Per, E. Reliable location-based services from radio navigation systems. Sensors 2010, 10, 11369–11385. [Google Scholar] [CrossRef]
- Specht, M. Determination of navigation system positioning accuracy using the reliability method based on real measurements. Remote Sens. 2021, 13, 4424. [Google Scholar] [CrossRef]
- Krasuski, K.; Savchuk, S. Determination of the precise coordinates of the GPS reference station in of a GBAS system in the air transport. Commun. Sci. Lett. Univ. Zilina 2020, 22, 11–18. [Google Scholar] [CrossRef]
- Li, Y.; Hua, Y.; Yan, B.R.; Guo, W. Experimental study on a modified method for propagation delay of long wave signal. IEEE Antennas Wirel. Propag. Lett. 2019, 18, 1719. [Google Scholar] [CrossRef]
- Specht, C.; Weintrit, A.; Specht, M. A History of maritime radio-navigation positioning systems used in Poland. J. Navig. 2016, 69, 468–480. [Google Scholar] [CrossRef] [Green Version]
- Offermans, G.; Bartlett, S.; Schue, C. Providing a resilient timing and UTC service using eLoran in the United States. Navig. J. Inst. Navig. 2017, 64, 339–345. [Google Scholar] [CrossRef]
- Ren, S.H.; Lou, Y.L.; Yang, N.; Zheng, X.X.; Kang, S.L. Navigation warfare and its countermeasures. J. Navig. Pos. 2020, 8, 100–104. [Google Scholar] [CrossRef]
- Ge, Y.T.; Xu, L.L. Analysis on the disadvantage of American navigation and timing warfare. Aerodyn. Missile J. 2020, 6, 6–11. [Google Scholar] [CrossRef]
- Wang, X.Y.; Zhang, S.F.; Sun, X.W. The additional secondary phase correction system for AIS signals. Sensors 2017, 17, 736. [Google Scholar] [CrossRef] [Green Version]
- Strategy for the Department of Defense Positioning, Navigation and Timing (PNT) Enterprise—Ensuring a US Military PNT Advantage. Available online: https://rntfnd.org/wp-content/uploads/DoD-PNT-Strategy.pdf (accessed on 15 October 2021).
- Yan, W.H.; Zhao, K.J.; Li, S.F.; Wang, X.H.; Hua, Y. Precise loran-C signal acquisition based on envelope delay correlation method. Sensors 2020, 20, 2329. [Google Scholar] [CrossRef] [Green Version]
- About the Main Directions (Plan) of the Development of Radio Navigation CIS Member States for 2019–2024. Available online: https://rntfnd.org/wp-content/uploads/CIS-Russia-Radionav-Plan-2019-2024.pdf (accessed on 18 October 2021).
- Son, P.W.; Park, S.G.; Han, Y.; Seo, K. eLoran: Resilient positioning, navigation, and timing infrastructure in maritime areas. IEEE Access 2020, 8, 193708–193710. [Google Scholar] [CrossRef]
- Rhee, J.H.; Kim, S.; Son, P.W.; Seo, J. eLoran: Enhanced accuracy simulator for a future Korean nationwide eLoran system. IEEE Access 2021, 9, 115042–115045. [Google Scholar] [CrossRef]
- Zhou, L.L.; Yan, J.J.; Mu, Z.L.; Pu, Y.R.; Wang, Q.Q.; He, L.F. Field-strength variations of LF one-hop sky waves propagation in the earth-ionosphere waveguide at short ranges. IEEE Trans. Antennas Propag. 2021, 69, 3443–3445. [Google Scholar] [CrossRef]
- Last, J.D.; Farnworth, R.G.; Searle, M.D. Effect of skywave interference on the coverage of loran-C. IEE Proc. F-Radar Signal Process. 1992, 139, 306–312. [Google Scholar] [CrossRef]
- Zou, D.C.; Bian, Y.J.; Wu, H.T.; Su, J.F.; Li, Y. Digital algorithm realized with SOPC for cycle identification of Loran-C. J. Harbin Inst. Technol. 2005, 37, 1644–1646. [Google Scholar] [CrossRef]
- Fisher, A.J. Loran-C cycle identification in hard-limiting receivers. IEEE Trans. Aerosp. Electron. Syst. 2000, 36, 290–297. [Google Scholar] [CrossRef]
- Yan, Y.J.; Guo, Q. A novel signal search algorithm for loran-C receiver. Electron. Technol. 2010, 47, 20–21. [Google Scholar] [CrossRef]
- Yan, W.H.; Hua, Y.; Yuan, J.B.; Zhao, K.J.; Li, S.F. A ioint detection method of cycle-identification for loran-C signal. In Proceedings of the 2017 13th IEEE International Conference on Electronic Measurement & Instruments (ICEMI), Yangzhou, China, 20–22 October 2017. [Google Scholar] [CrossRef]
- Lin, H.Z.; Luo, B.F.; Hu, D.L.; Yang, Z.J. Algorithm of matching wave for cycle identification of LORAN-C. Ship Electron. Eng. 2008, 167, 81–83. [Google Scholar] [CrossRef]
- Sui, J.P.; Jin, X.Q.; Shu, D.L.; Ma, R.S. Improved Loran-C joint identification algorithm for sky-ground wave and cycle based on optimized envelope. Electron. Meas. Technol. 2020, 43, 115–119. [Google Scholar] [CrossRef]
- Li, S.F.; Gao, Y.Y.; Hua, Y. Joint cycle-identification method for Loran-C signal. J. Jiangsu Univ. 2014, 35, 547–551. [Google Scholar] [CrossRef]
- Bian, Y.; Last, J.D. Loran-C skywave delay estimation using eigen-decomposition techniques. eLectronics Lett. 1995, 31, 133–134. [Google Scholar] [CrossRef]
- Mohammed, A.; Last, D. Loran-C skywave delay estimation using the AR algorithm. eLectronics Lett. 1998, 34, 2217–2219. [Google Scholar] [CrossRef]
- Zhu, Y.B.; Xu, J.N.; Wang, H.X.; Cao, K.J.; Hu, D.L. A New Loran C Sky-wave and ground-wave identification algorithm based on IFFT spectral division. J. Electron. Inf. Technol. 2009, 31, 1153–1156. [Google Scholar] [CrossRef] [Green Version]
- Hu, D.L.; Yang, Y.C.; Fan, J.H. Loran-C receiver sky-wave detection based on MUSIC algorithms. J. Nav. Aeronaut. Astronaut. Univ. 2006, 18, 7–9. [Google Scholar] [CrossRef]
- U.S. Coast Guard and the U.S. Coast Guard Auxiliary. Loran-C User Handbook. Available online: https://www.loran.org/otherarchives/-1992%20-Loran-C%20User%20Handbook%20-%20USCG.pdf (accessed on 13 October 2021).
- Lo, S.C.; Peterson, B.B.; Enge, P.K. Loran data modulation: A primer. IEEE Aerosp. Electron. Syst. Mag. 2007, 22, 31–38. [Google Scholar] [CrossRef]
- Li, S.F.; Wang, Y.L.; Hua, Y.; Xu, Y.L. Research of Loran-C data demodulation and decoding technology. Chin. J. Sci. Instrum. 2012, 33, 1407–1413. [Google Scholar] [CrossRef]
- Zhou, L.L.; Yan, J.J.; Mu, Z.L.; Wang, Q.Q.; Liu, C.L.; He, L.F. Study on time delay characteristics of low frequency one-hop sky waves in the isotropic ionosphere. J. Electron. Inf. Technol. 2020, 42, 1606–1610. [Google Scholar] [CrossRef]
- Liatos, P.; Hussein, A.M. Characterization of 100-kHz noise in the lightning current derivative signals measured at the CN tower. IEEE Trans. Electromagn. Compat. 2005, 47, 986–997. [Google Scholar] [CrossRef]
- Minimum Performance Standards for Marine eLORAN Receiving Equipment. Radio Technical Commission for Maritime Services. Available online: https://rtcm.myshopify.com/collections/maritime-navigation-equipment-standards/products/copy-of-differential-gnss-package-both-of-the-current-standards-10402-3-and-10403-3 (accessed on 11 October 2021).
- Yang, S.H.; Lee, C.B.; Lee, Y.K.; Lee, J.K.; Kim, Y.J.; Lee, S.J. Accuracy Improvement technique for timing application of LORAN-C signal. IEEE Trans. Instrum. Measurement 2011, 60, 2648–2654. [Google Scholar] [CrossRef]
- Wu, H.R.; Liu, R.Z. A new algorithm for sky-wave and ground-wave detection of loran C based on FFT/IFFT technology. J. Nav. Aeronaut. Astronaut. Univ. 2009, 24, 317–319. [Google Scholar] [CrossRef]
- Li, C.; Zhen, J.; Chang, K.; Xu, A.; Zhu, H.; Wu, J. An indoor positioning and tracking algorithm based on angle-of-arrival using a dual-channel array antenna. Remote Sens. 2021, 13, 4301. [Google Scholar] [CrossRef]
- Wu, M.; Xu, J.N.; Chen, Z.Y.; Wang, G.C. Skywave delay estimation of Loran C based on modern signal processing methods. Hydrogr. Surv. Charting 2011, 31, 1–13. [Google Scholar] [CrossRef]


















| Ground | Master | Secondary |
|---|---|---|
| A | + + − − + − + − + | + + + + + − − + |
| B | + − − + + + + + − | + − + − + + − − |
| Time (μs) | 10 | 20 | 30 | 40 | 50 | 60 | 70 |
|---|---|---|---|---|---|---|---|
| 18.3790 | 2.3819 | 1.5338 | 1.2571 | 1.1218 | 1.0419 | 0.9892 |
| Test | City | Coordinates | Great Circle Distance (km) | Electric-Field Strength (dBμV/m) | SNR (dB) |
|---|---|---|---|---|---|
| Lintong City, Shaanxi Province | 71.2 | 60.4 | 9.8 | ||
| 2 | Fuyang City, Anhui Province | 635.1 | 65.5 | 12.1 | |
| 3 | Nanjing City, Jiangsu Province | 862.5 | 45.1 | −4.9 |
Publisher’s Note: MDPI stays neutral with regard to jurisdictional claims in published maps and institutional affiliations. |
© 2022 by the authors. Licensee MDPI, Basel, Switzerland. This article is an open access article distributed under the terms and conditions of the Creative Commons Attribution (CC BY) license (https://creativecommons.org/licenses/by/4.0/).
Share and Cite
Yan, W.; Dong, M.; Li, S.; Yang, C.; Yuan, J.; Hu, Z.; Hua, Y. An eLoran Signal Cycle Identification Method Based on Joint Time–Frequency Domain. Remote Sens. 2022, 14, 250. https://doi.org/10.3390/rs14020250
Yan W, Dong M, Li S, Yang C, Yuan J, Hu Z, Hua Y. An eLoran Signal Cycle Identification Method Based on Joint Time–Frequency Domain. Remote Sensing. 2022; 14(2):250. https://doi.org/10.3390/rs14020250
Chicago/Turabian StyleYan, Wenhe, Ming Dong, Shifeng Li, Chaozhong Yang, Jiangbin Yuan, Zhaopeng Hu, and Yu Hua. 2022. "An eLoran Signal Cycle Identification Method Based on Joint Time–Frequency Domain" Remote Sensing 14, no. 2: 250. https://doi.org/10.3390/rs14020250
APA StyleYan, W., Dong, M., Li, S., Yang, C., Yuan, J., Hu, Z., & Hua, Y. (2022). An eLoran Signal Cycle Identification Method Based on Joint Time–Frequency Domain. Remote Sensing, 14(2), 250. https://doi.org/10.3390/rs14020250

