Methodology for Lidar Monitoring of Biomass Burning Smoke in Connection with the Land Cover
Abstract
1. Background
2. Materials and Methods
2.1. Multiwavelength Raman Lidar RALI
2.2. HYSPLIT Back-Trajectory and ERA5 Reanalysis
2.3. MODIS FIRMS
2.4. MODIS Land Cover
2.5. Additional Data/Information
2.5.1. FLEXPART
2.5.2. Photometer
2.5.3. Ground-Based In Situ Data
2.6. Methodology
3. Results and Discussions
3.1. Case Study 25 July 2016
3.2. Overview of All 11 Layers
3.2.1. Fires’ Features
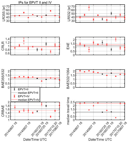
3.2.2. Intensive Parameters Versus Land Cover
4. Conclusions
Supplementary Materials
Author Contributions
Funding
Data Availability Statement
Acknowledgments
Conflicts of Interest
References
- Fiebig, M.; Petzold, A.; Wandinger, U.; Wendisch, M.; Kiemle, C.; Stifter, A.; Ebert, M.; Rother, T.; Leiterer, U. Optical closure for an aerosol column: Method, accuracy, and inferable properties applied to a biomass-burning aerosol and its radiative forcing. J. Geophys. Res. 2002, 107, LAC 12-1–LAC 12-15. [Google Scholar] [CrossRef]
- Adam, M.; Pahlow, M.; Kovalev, V.A.; Ondov, J.M.; Parlange, M.B.; Nair, N. Aerosol optical characterization by nephelometer and lidar: The Baltimore Supersite experiment during the Canadian forest fire smoke intrusion. J. Geophys. Res. 2004, 109, D16S02. [Google Scholar] [CrossRef]
- Sapkota, A.; Symons, J.M.; Kleissl, J.; Wang, L.; Parlange, M.B.; Ondov, J.; Breysse, P.N.; Diette, G.B.; Eggleston, P.A.; Buckley, T. Impact of the 2002 Canadian Forest Fires on Particulate Matter Air Quality in Baltimore City. Environ. Sci. Technol. 2002, 39, 24–32. [Google Scholar] [CrossRef]
- Alonso-Blanco, E.; Castro, A.; Calvo, A.I.; Pont, V.; Mallet, M.; Fraile, R. Wildfire smoke plumes transport under a subsidence inversion: Climate and health implications in a distant urban area. Sci. Total Environ. 2018, 619–620, 988–1002. [Google Scholar] [CrossRef] [PubMed]
- Nicolae, V.; Talianu, C.; Andrei, S.; Antonescu, B.; Ene, D.; Nicolae, D.; Dandocsi, A.; Toader, V.-E.; Ștefan, S.; Savu, T.; et al. Multiyear Typology of Long-Range Transported Aerosols over Europe. Atmosphere 2019, 10, 482. [Google Scholar] [CrossRef]
- Shi, S.; Cheng, T.; Gu, X.; Guo, H.; Wu, Y.; Wang, Y. Biomass burning aerosol characteristics for different vegetation types in different aging periods. Environ. Int. 2019, 126, 504–511. [Google Scholar] [CrossRef] [PubMed]
- Vadrevu, K.P.; Lasko, K.; Giglio, L.; Justice, C. Vegetation fires, absorbing aerosols and smoke plume characteristics in diverse biomass burning regions of Asia. Environ. Res. Lett. 2015, 10, 105003. [Google Scholar] [CrossRef]
- Junghenn Noyes, K.T.; Kahn, R.A.; Limbacher, J.A.; Li, Z.; Fenn, M.A.; Giles, D.M.; Hair, J.W.; Katich, J.M.; Moore, R.H.; Robinson, C.E.; et al. Wildfire Smoke Particle Properties and Evolution, from Space-Based Multi-Angle Imaging II: The Williams Flats Fire during the FIREX-AQ Campaign. Remote Sens. 2020, 12, 3823. [Google Scholar] [CrossRef]
- Smith, D.M.; Fiddler, M.N.; Pokhrel, R.P.; Bililign, S. Laboratory studies of fresh and aged biomass burning aerosol emitted from east African biomass fuels—Part 1: Optical properties. Atmos. Chem. Phys. 2020, 20, 10149–10168. [Google Scholar] [CrossRef]
- Capes, G.; Johnson, B.; McFiggans, G.; Williams, P.I.; Haywood, J.; Coe, H. Aging of biomass burning aerosols over West Africa: Aircraft measurements of chemical composition, microphysical properties, and emission ratios. J. Geophys. Res. Atmos. 2008, 113, D00C15. [Google Scholar] [CrossRef]
- Radenz, M.; Seifert, P.; Baars, H.; Floutsi, A.A.; Yin, Z.; Bühl, J. Automated time–height-resolved air mass source attribution for profiling remote sensing applications. Atmos. Chem. Phys. 2021, 21, 3015–3033. [Google Scholar] [CrossRef]
- Floutsi, A.A.; Baars, H.; Radenz, M.; Haarig, M.; Yin, Z.; Seifert, P.; Jimenez, C.; Ansmann, A.; Engelmann, R.; Barja, B.; et al. Advection of Biomass Burning Aerosols towards the Southern Hemispheric Mid-Latitude Station of Punta Arenas as Observed with Multiwavelength Polarization Raman Lidar. Remote Sens. 2021, 13, 138. [Google Scholar] [CrossRef]
- Heese, B.; Floutsi, A.A.; Baars, H.; Althausen, D.; Hofer, J.; Herzog, A.; Mewes, S.; Radenz, M.; Schechner, Y.Y. The vertical aerosol type distribution above Israel—2 years of lidar observations at the coastal city of Haifa. Atmos. Chem. Phys. 2022, 22, 1633–1648. [Google Scholar] [CrossRef]
- Val Martin, M.; Kahn, R.A.; Tosca, M.G. A Global Analysis of Wildfire Smoke Injection Heights Derived from Space-Based Multi-Angle Imaging. Remote Sens. 2018, 10, 1609. [Google Scholar] [CrossRef]
- Amiridis, V.; Balis, D.S.; Giannakaki, E.; Stohl, A.; Kazadzis, S.; Koukouli, M.E.; Zanis, P. Optical characteristics of biomass burning aerosols over Southeastern Europe determined from UV-Raman lidar measurements. Atmos. Chem. Phys. 2009, 9, 2431–2440. [Google Scholar] [CrossRef]
- Stohl, A.; Berg, T.; Burkhart, J.F.; Fjǽraa, A.M.; Forster, C.; Herber, A.; Hov, Ø.; Lunder, C.; McMillan, W.W.; Oltmans, S.; et al. Arctic smoke–record high air pollution levels in the European Arctic due to agricultural fires in Eastern Europe in spring 2006. Atmos. Chem. Phys. 2007, 7, 511–534. [Google Scholar] [CrossRef]
- Seiler, W.; Crutzen, P.J. Estimates of gross and net fluxes of carbon between the biosphere and the atmosphere from biomass burning. Clim. Chang. 1980, 2, 207–247. [Google Scholar] [CrossRef]
- Labonne, M.; Bréon, F.-M.; Chevallier, F. Injection height of biomass burning aerosols as seen from a spaceborne lidar. Geophys. Res. Lett. 2007, 34. [Google Scholar] [CrossRef]
- Val Martin, M.; Logan, J.A.; Kahn, R.A.; Leung, F.Y.; Nelson, D.L.; Diner, D.J. Smoke injection heights from fires in North America: Analysis of 5 years of satellite observations. Atmos. Chem. Phys. 2010, 10, 1491–1510. [Google Scholar] [CrossRef]
- Amiridis, V.; Giannakaki, E.; Balis, D.S.; Gerasopoulos, E.; Pytharoulis, I.; Zanis, P.; Kazadzis, S.; Melas, D.; Zerefos, C. Smoke injection heights from agricultural burning in Eastern Europe as seen by CALIPSO. Atmos. Chem. Phys. 2010, 10, 11567–11576. [Google Scholar] [CrossRef]
- Pappalardo, G.; Amodeo, A.; Apituley, A.; Comeron, A.; Freudenthaler, V.; Linné, H.; Ansmann, A.; Bösenberg, J.; D’Amico, G.; Mattis, I.; et al. EARLINET: Towards an advanced sustainable European aerosol lidar network. Atmos. Meas. Tech. 2014, 7, 2389–2409. [Google Scholar] [CrossRef]
- Sicard, M.; Granados-Muñoz, M.J.; Alados-Arboledas, L.; Barragán, R.; Bedoya-Velásquez, A.E.; Benavent-Oltra, J.A.; Bortoli, D.; Comerón, A.; Córdoba-Jabonero, C.; Costa, M.J.; et al. Ground/space, passive/active remote sensing observations coupled with particle dispersion modelling to understand the inter-continental transport of wildfire smoke plumes. Remote Sens. Environ. 2019, 232, 111294. [Google Scholar] [CrossRef]
- Baars, H.; Ansmann, A.; Ohneiser, K.; Haarig, M.; Engelmann, R.; Althausen, D.; Hanssen, I.; Gausa, M.; Pietruczuk, A.; Szkop, A.; et al. The unprecedented 2017–2018 stratospheric smoke event: Decay phase and aerosol properties observed with the EARLINET. Atmos. Chem. Phys. 2019, 19, 15183–15198. [Google Scholar] [CrossRef]
- Mamouri, R.E.; Papayannis, A.; Amiridis, V.; Müller, D.; Kokkalis, P.; Rapsomanikis, S.; Karageorgos, E.T.; Tsaknakis, G.; Nenes, A.; Kazadzis, S.; et al. Multi-wavelength Raman lidar, sun photometric and aircraft measurements in combination with inversion models for the estimation of the aerosol optical and physico-chemical properties over Athens, Greece. Atmos. Meas. Tech. 2012, 5, 1793–1808. [Google Scholar] [CrossRef]
- Nicolae, D.; Nemuc, A.; Müller, D.; Talianu, C.; Vasilescu, J.; Belegante, L.; Kolgotin, A. Characterization of fresh and aged biomass burning events using multiwavelength Raman lidar and mass spectrometry. J. Geophys. Res.-Atmos. 2013, 118, 2956–2965. [Google Scholar] [CrossRef]
- Nepomuceno Pereira, S.; Preißler, J.; Guerrero-Rascado, J.L.; Silva, A.M.; Wagner, F. Forest Fire Smoke Layers Observed in the Free Troposphere over Portugal with a Multiwavelength Raman Lidar: Optical and Microphysical Properties. Sci. World J. 2014, 2014, 421838. [Google Scholar] [CrossRef]
- Samaras, S.; Nicolae, D.; Böckmann, C.; Vasilescu, J.; Binietoglou, I.; Labzovskii, L.; Toanca, F.; Papayannis, A. Using Raman-lidar-based regularized microphysical retrievals and Aerosol Mass Spectrometer measurements for the characterization of biomass burning aerosols. J. Comput. Phys. 2015, 299, 156–174. [Google Scholar] [CrossRef]
- Mylonaki, M.; Papayannis, A.; Anagnou, D.; Veselovskii, I.; Papanikolaou, C.-A.; Kokkalis, P.; Soupiona, O.; Foskinis, R.; Gidarakou, M.; Kralli, E. Optical and Microphysical Properties of Aged Biomass Burning Aerosols and Mixtures, Based on 9-Year Multiwavelength Raman Lidar Observations in Athens, Greece. Remote Sens. 2021, 13, 3877. [Google Scholar] [CrossRef]
- Stachlewska, I.S.; Samson, M.; Zawadzka, O.; Harenda, K.M.; Janicka, L.; Poczta, P.; Szczepanik, D.; Heese, B.; Wang, D.; Borek, K.; et al. Modification of Local Urban Aerosol Properties by Long-Range Transport of Biomass Burning Aerosol. Remote Sens. 2018, 10, 412. [Google Scholar] [CrossRef]
- Müller, D.; Mattis, I.; Wandinger, U.; Ansmann, A.; Althausen, D.; Stohl, A. Raman lidar observations of aged Siberian and Canadian forest fire smoke in the free troposphere over Germany in 2003: Microphysical particle characterization. J. Geophys. Res. 2005, 110, D17201. [Google Scholar] [CrossRef]
- Vaughan, G.; Draude, A.P.; Ricketts, H.M.A.; Schultz, D.M.; Adam, M.; Sugier, J.; Wareing, D.P. Transport of Canadian forest fire smoke over the UK as observed by lidar. Atmos. Chem. Phys. 2018, 18, 11375–11388. [Google Scholar] [CrossRef]
- Ortiz-Amezcua, P.; Guerrero-Rascado, J.L.; Granados-Muñoz, M.J.; Benavent-Oltra, J.A.; Böckmann, C.; Samaras, S.; Stachlewska, I.S.; Janicka, Ł.; Baars, H.; Bohlmann, S.; et al. Microphysical characterization of long-range transported biomass burning particles from North America at three EARLINET stations. Atmos. Chem. Phys. 2017, 17, 5931–5946. [Google Scholar] [CrossRef]
- Haarig, M.; Ansmann, A.; Baars, H.; Jimenez, C.; Veselovskii, I.; Engelmann, R.; Althausen, D. Depolarization and lidar ratios at 355, 532, and 1064 nm and microphysical properties of aged tropospheric and stratospheric Canadian wildfire smoke. Atmos. Chem. Phys. 2018, 18, 11847–11861. [Google Scholar] [CrossRef]
- Markowicz, K.M.; Chilinski, M.T.; Lisok, J.; Zawadzka, O.; Stachlewska, I.S.; Janicka, L.; Rozwadowska, A.; Makuch, P.; Pakszys, P.; Zielinski, T.; et al. Study of aerosol optical properties during long-range transport of biomass burning from Canada to Central Europe in July 2013. J. Aerosol Sci. 2016, 101, 156–173. [Google Scholar] [CrossRef]
- Markowicz, K.M.; Pakszys, P.; Ritter, C.; Zielinski, T.; Udisti, R.; Cappelletti, D.; Mazzola, M.; Shiobara, M.; Xian, P.; Zawadzka, O.; et al. Impact of North American intense fires on aerosol optical properties measured over the European Arctic in July 2015. J. Geophys. Res. Atmos. 2016, 121, 14487–14512. [Google Scholar] [CrossRef]
- Hu, Q.; Goloub, P.; Veselovskii, I.; Bravo-Aranda, J.A.; Popovici, I.E.; Podvin, T.; Haeffelin, M.; Lopatin, A.; Dubovik, O.; Pietras, C.; et al. Long-range-transported Canadian smoke plumes in the lower stratosphere over northern France. Atmos. Chem. Phys. 2019, 19, 1173–1193. [Google Scholar] [CrossRef]
- Adam, M.; Nicolae, D.; Stachlewska, I.S.; Papayannis, A.; Balis, D. Biomass burning events measured by lidars in EARLINET—Part 1: Data analysis methodology. Atmos. Chem. Phys. 2020, 20, 13905–13927. [Google Scholar] [CrossRef]
- Nemuc, A.; Vasilescu, J.; Talianu, C.; Belegante, L.; Nicolae, D. Assessment of aerosol’s mass concentrations from measured linear particle depolarization ratio (vertically resolved) and simulations. Atmos. Meas. Tech. 2013, 6, 3243–3255. [Google Scholar] [CrossRef]
- D’Amico, G.; Amodeo, A.; Baars, H.; Binietoglou, I.; Freudenthaler, V.; Mattis, I.; Wandinger, U.; Pappalardo, G. EARLINET Single Calculus Chain—Overview on methodology and strategy. Atmos. Meas. Tech. 2015, 8, 4891–4916. [Google Scholar] [CrossRef]
- D’Amico, G.; Amodeo, A.; Mattis, I.; Freudenthaler, V.; Pappalardo, G. EARLINET Single Calculus Chain—technical—Part 1: Pre-processing of raw lidar data. Atmos. Meas. Tech. 2016, 9, 491–507. [Google Scholar] [CrossRef]
- Mattis, I.; D’Amico, G.; Baars, H.; Amodeo, A.; Madonna, F.; Iarlori, M. EARLINET Single Calculus Chain—technical—Part 2: Calculation of optical products. Atmos. Meas. Tech. 2016, 9, 3009–3029. [Google Scholar] [CrossRef]
- Adam, M.; Nicolae, V.; Boldeanu, M. Algorithm to determine the aerosol pollution layers from ceilometer profiles. In Proceedings of the European Lidar Conference ELC2021, Granada, Spain, 16–18 November 2021; p. S02P12. [Google Scholar]
- Adam, M.; Fragkos, K.; Binietoglou, I.; Wang, D.; Stachlewska, I.S.; Belegante, L.; Nicolae, V. Towards Early Detection of Tropospheric Aerosol Layers Using Monitoring with Ceilometer, Photometer, and Air Mass Trajectories. Remote Sens. 2022, 14, 1217. [Google Scholar] [CrossRef]
- MathWorks. Available online: https://www.mathworks.com/help/matlab/ref/islocalmin.html?s_tid=srchtitle_islocalmin_1 (accessed on 12 July 2022).
- Rolph, G.; Stein, A.; Sunder, B. Real-time Environmental Applications and Display sYstem: READY. Environ. Modell. Softw. 2017, 95, 210–228. [Google Scholar] [CrossRef]
- Stein, A.F.; Draxler, R.R.; Rolph, G.D.; Stunder, B.J.B.; Cohen, M.D.; Ngan, F. NOAA’s HYSPLIT Atmospheric Transport and Dispersion Modeling System. Bull. Amer. Meteor. Soc. 2015, 96, 2059–2077. [Google Scholar] [CrossRef]
- Janicka, L.; Stachlewska, I.S.; Veselovskii, I.; Baars, H. Temporal variations in optical and microphysical properties of mineral dust and biomass burning aerosol derived from daytime Raman lidar observations over Warsaw, Poland. Atmos. Environ. 2017, 169, 162–174. [Google Scholar] [CrossRef]
- Ohneiser, K.; Ansmann, A.; Baars, H.; Seifert, P.; Barja, B.; Jimenez, C.; Radenz, M.; Teisseire, A.; Floutsi, A.; Haarig, M.; et al. Smoke of extreme Australian bushfires observed in the stratosphere over Punta Arenas, Chile, in January 2020: Optical thickness, lidar ratios, and depolarization ratios at 355 and 532 nm. Atmos. Chem. Phys. 2020, 20, 8003–8015. [Google Scholar] [CrossRef]
- Sitnov, S.A.; Mokhov, I.I.; Gorchakov, G.I.; Dzhola, A.V. Smoke Haze over the European part of Russia in the Summer of 2016: A Link to Wild fires in Siberia and Atmospheric Circulation Anomalies. Russ. Meteorol. Hydrol. 2017, 42, 518–528. [Google Scholar] [CrossRef]
- Engelmann, R.; Ansmann, A.; Ohneiser, K.; Griesche, H.; Radenz, M.; Hofer, J.; Althausen, D.; Dahlke, S.; Maturilli, M.; Veselovskii, I.; et al. Wildfire smoke, Arctic haze, and aerosol effects on mixed-phase and cirrus clouds over the North Pole region during MOSAiC: An introduction. Atmos. Chem. Phys. 2021, 21, 13397–13423. [Google Scholar] [CrossRef]
- Ohneiser, K.; Ansmann, A.; Chudnovsky, A.; Engelmann, R.; Ritter, C.; Veselovskii, I.; Baars, H.; Gebauer, H.; Griesche, H.; Radenz, M.; et al. The unexpected smoke layer in the High Arctic winter stratosphere during MOSAiC 2019–2020. Atmos. Chem. Phys. 2021, 21, 15783–15808. [Google Scholar] [CrossRef]
- Quaglia, F.C.; Meloni, D.; Muscari, G.; Di Iorio, T.; Ciardini, V.; Pace, G.; Becagli, S.; Di Bernardino, A.; Cacciani, M.; Hannigan, J.W.; et al. On the Radiative Impact of Biomass-Burning Aerosols in the Arctic: The August 2017 Case Study. Remote Sens. 2022, 14, 313. [Google Scholar] [CrossRef]
- ARL. Global Data Assimilation System (GDAS1) Archive Information; ARL: Washington, DC, USA, 2004. [Google Scholar]
- Radenz, M.; Zhenping, Y. ARLreader Python Library. Available online: https://github.com/martin-rdz/ARLreader (accessed on 12 July 2022).
- Hersbach, H.; Bell, B.; Berrisford, P.; Hirahara, S.; Horányi, A.; Muñoz-Sabater, J.; Nicolas, J.; Peubey, C.; Radu, R.; Schepers, D.; et al. The ERA5 global reanalysis. Q. J. R. Meteorol. Soc. 2020, 146, 1999–2049. [Google Scholar] [CrossRef]
- Chen, Y.; Sharma, S.; Zhou, X.; Yang, K.; Li, X.; Niu, X.; Hu, X.; Khadka, N. Spatial performance of multiple reanalysis precipitation datasets on the southern slope of central Himalaya. Atmos. Res. 2021, 250, 106365. [Google Scholar] [CrossRef]
- Dong, Z.; Jin, S. Evaluation of Spaceborne GNSS-R Retrieved Ocean Surface Wind Speed with Multiple Datasets. Remote Sens. 2019, 11, 2747. [Google Scholar] [CrossRef]
- Davies, D.K.; Ilavajhala, S.; Wong, M.M.; Justice, C.O. Fire Information for Resource Management System: Archiving and Distributing MODIS Active Fire Data. IEEE T. Geosci. Remote 2009, 47, 72–79. [Google Scholar] [CrossRef]
- Kaiser, J.W.; Heil, A.; Andreae, M.O.; Benedetti, A.; Chubarova, N.; Jones, L.; Morcrette, J.J.; Razinger, M.; Schultz, M.G.; Suttie, M.; et al. Biomass burning emissions estimated with a global fire assimilation system based on observed fire radiative power. Biogeosciences 2012, 9, 527–554. [Google Scholar] [CrossRef]
- Kaiser, J.W.; Suttie, M.; Flemming, J.; Morcrette, J.J.; Boucher, O.; Schultz, M.G. Global Real-time Fire Emission Estimates Based on Space-borne Fire Radiative Power Observations. In Proceedings of the Current Problems in Atmospheric Radiation (IRS 2008) and International Radiation Symposium (IRC/IAMAS), Foz do Iguaçu Brazil, 3–8 August 2008; pp. 645–648. [Google Scholar]
- Freeborn, P.; Wooster, M.; Roy, D.; Cochrane, M. Quantification of MODIS fire radiative power (FRP) measurement uncertainty for use in satellite-based active fire characterization and biomass burning estimation. Geophys. Res. Lett. 2014, 41, 1988–1994. [Google Scholar] [CrossRef]
- Rémy, S.; Veira, A.; Paugam, R.; Sofiev, M.; Kaiser, J.W.; Marenco, F.; Burton, S.P.; Benedetti, A.; Engelen, R.J.; Ferrare, R.; et al. Two global data sets of daily fire emission injection heights since 2003. Atmos. Chem. Phys. 2017, 17, 2921–2942. [Google Scholar] [CrossRef]
- Di Giuseppe, F.; Rémy, S.; Pappenberger, F.; Wetterhall, F. Using the Fire Weather Index (FWI) to improve the estimation of fire emissions from fire radiative power (FRP) observations. Atmos. Chem. Phys. 2018, 18, 5359–5370. [Google Scholar] [CrossRef]
- Sulla-Menashe, D.; Friedl, M.A. User Guide to Collection 6 MODIS Land Cover (MCD12Q1 and MCD12C1) Product. Available online: https://lpdaac.usgs.gov/documents/101/MCD12_User_Guide_V6.pdf (accessed on 6 June 2022).
- NASA. Fire Energetics and Emissions Research. Available online: https://feer.gsfc.nasa.gov/data/emissions/ (accessed on 6 June 2022).
- Stohl, A.; Forster, C.; Frank, A.; Seibert, P.; Wotawa, G. Technical note: The Lagrangian particle dispersion model FLEXPART version 6.2. Atmos. Chem. Phys. 2005, 5, 2461–2474. [Google Scholar] [CrossRef]
- Seibert, P.; Frank, A. Source-receptor matrix calculation with a Lagrangian particle dispersion model in backward mode. Atmos. Chem. Phys. 2004, 4, 51–63. [Google Scholar] [CrossRef]
- Pisso, I.; Sollum, E.; Grythe, H.; Kristiansen, N.I.; Cassiani, M.; Eckhardt, S.; Arnold, D.; Morton, D.; Thompson, R.L.; Groot Zwaaftink, C.D.; et al. The Lagrangian particle dispersion model FLEXPART version 10.4. Geosci. Model Dev. 2019, 12, 4955–4997. [Google Scholar] [CrossRef]
- ECCAD. Emissions of atmospheric Compounds and Compilation of Ancillary Data. Available online: https://eccad.aeris-data.fr/ (accessed on 12 July 2022).
- Holben, B.N.; Eck, T.F.; Slutsker, I.; Tanre, D.; Buis, J.P.; Setzer, A.; Vermote, E.; Reagan, J.A.; Kaufman, Y.J.; Nakajima, T.; et al. AERONET—A federated instrument network and data archive for aerosol characterization. Remote Sens. Env. 1998, 66, 1–16. [Google Scholar] [CrossRef]
- Carstea, E.; Fragkos, E.; Siomos, N.; Antonescu, B.; Belegante, L. Columnar aerosol measurements in a continental southeastern Europe site: Climatology and trends. Theor. Appl. Climatol. 2019, 137, 3149–3159. [Google Scholar] [CrossRef]
- Barreto, Á.; Cuevas, E.; Granados-Muñoz, M.J.; Alados-Arboledas, L.; Romero, P.M.; Gröbner, J.; Kouremeti, N.; Almansa, A.F.; Stone, T.; Toledano, C.; et al. The new sun-sky-lunar Cimel CE318-T multiband photometer—A comprehensive performance evaluation. Atmos. Meas. Tech. 2016, 9, 631–654. [Google Scholar] [CrossRef]
- Holben, B.N.; Tanre, D.; Smirnov, A.; Eck, T.F.; Slutsker, I.; Abuhassan, N.; Newcomb, W.W.; Schafer, J.S.; Chatenet, B.; Lavenu, F.; et al. An emerging ground-based aerosol climatology: Aerosol optical depth from AERONET. J. Geophys. Res. 2011, 106, 12067–12097. [Google Scholar] [CrossRef]
- O’Neill, N.T.; Eck, T.F.; Smirnov, A.; Holben, B.N.; Thulasiraman, S. Spectral discrimination of coarse and fine mode optical depth. J. Geophys. Res. 2003, 108, 4559. [Google Scholar] [CrossRef]
- Giles, D.M.; Sinyuk, A.; Sorokin, M.G.; Schafer, J.S.; Smirnov, A.; Slutsker, I.; Eck, T.F.; Holben, B.N.; Lewis, J.R.; Campbell, J.R.; et al. Advancements in the Aerosol Robotic Network (AERONET) Version 3 database—Automated near-real-time quality control algorithm with improved cloud screening for Sun photometer aerosol optical depth (AOD) measurements. Atmos. Meas. Tech. 2019, 12, 169–209. [Google Scholar] [CrossRef]
- Sandradewi, J.; Prevot, A.S.H.; Weingartner, E.; Schmidhauser, R.; Gysel, M.; Baltensperger, U. A study of wood burning and traffic aerosols in an Alpine valley using a multi-wavelength Aethalometer. Atmos. Environ. 2008, 42, 101–112. [Google Scholar] [CrossRef]
- Becerril-Valle, M.; Coz, E.; Prevot, A.S.H.; Mocnik, G.; Pandis, S.N.; de la Campa, A.M.S.; Alastuey, A.; Diaz, E.; Perez, R.M.; Artinano, B. Characterization of atmospheric black carbon and co-pollutants in urban and rural areas of Spain. Atmos. Environ. 2017, 169, 36–53. [Google Scholar] [CrossRef]
- Müller, D.; Mattis, I.; Ansmann, A.; Wandinger, U.; Ritter, C.; Kaiser, D. Multiwavelength Raman lidar observations of particle growth during long-range transport of forest-fire smoke in the free troposphere. Geophys. Res. Lett. 2007, 34, L05803. [Google Scholar] [CrossRef]
- Ansmann, A.; Tesche, M.; Seifert, P.; Groß, S.; Freudenthaler, V.; Apituley, A.; Wilson, K.M.; Serikov, I.; Linné, H.; Heinold, B.; et al. Ash and fine-mode particle mass profiles from EARLINET-AERONET observations over central Europe after the eruptions of the Eyjafjallajökull volcano in 2010. J. Geophys. Res. Atmos. 2011, 116, D00U02. [Google Scholar] [CrossRef]
- Chen, J.; Budisulistiorini, S.H.; Itoh, M.; Kuwata, M. Roles of Relative Humidity and Particle Size on Chemical Aging of Tropical Peatland Burning Particles: Potential Influence of Phase State and Implications for Hygroscopic Property. J. Geophys. Res. Atmos. 2022, 127, e2022JD036871. [Google Scholar] [CrossRef]









| LR355 [sr] | LR532 [sr] | EAE | BAE355/532 | BAE532/1064 | |
|---|---|---|---|---|---|
| All events | 21–130 | 26–147 | 0–2.4 | 0.35–2.8 | 0.29–2.85 |
| Fresh smoke | 40–114 | 30–100 | 0.87–2 | 0.58–1.8 | 0.39–1.32 |
| # | I | II | III | IV | V | VI | VII | VIII | IX | X | XI |
|---|---|---|---|---|---|---|---|---|---|---|---|
| Vegetation type | water | grasses or cereal | shrubs | broadleaf crops | savannah | evergreen broadleaf forest | deciduous broadleaf forest | evergreen needleleaf forest | deciduous needleleaf forest | unvegetated | urban |
| Lidar Time UTC | Layer [m] a.g.l. | LR355 [sr] | LR532 [sr] | CRLR | EAE 355/532 | BAE 355/532 | BAE 532/1064 | EPVT |
|---|---|---|---|---|---|---|---|---|
| ~17:30–18:30 | 2670 | 43 ± 0.4 | 34 ± 3.1 | 0.8 ± 0.1 | 1.65 ± 0.22 | 1.11 ± 0.03 | 1.64 ± 0.02 | II |
| ~18:30–19:30 | 1500 | 40 ± 0.4 | 32 ± 2.1 | 0.8 ± 0.1 | 1.34 ± 0.16 | 0.79 ± 0.04 | 1.48 ± 0.02 | IV |
| 2790 | 45 ± 0.3 | 50 ± 3.3 | 1.1 ± 0.1 | 0.72 ± 0.16 | 0.99 ± 0.02 | 1.76 ± 0.01 | II |
| Vegetation Type | Median | Minimum | Maximum |
|---|---|---|---|
| II—Grass/cereals (38) | 1.29 | 0.25 | 3.4 |
| IV—Broadleaf crops (196) | 2.29 | 1/24 | 2.46 |
| V—Savannah (9) | 2.92 | 2.42 | 3.42 |
| VII—Deciduous broadleaf forest (4) | 3.4 | 3.4 | 3.4 |
| Overall (247) | 2.29 | 1/24 | 3.42 |
| LR 355 | LR 532 | BAE 355/532 | BAE 532/1064 | CRLR | EAE | CRBAE | Travel Time (Days) | |
|---|---|---|---|---|---|---|---|---|
| EPVT = II (grasses/cereal)—2 cases | ||||||||
| median | 44.12 | 42.44 | 1.05 | 1.70 | 0.96 | 1.19 | 1.63 | 1.10 |
| min | 42.95 | 34.49 | 0.99 | 1.64 | 0.80 | 0.72 | 1.48 | 1.08 |
| max | 45.30 | 50.40 | 1.11 | 1.76 | 1.11 | 1.65 | 1.78 | 1.13 |
| EPVT = IV (broadleaf crops)—9 cases | ||||||||
| median | 44.00 | 39.53 | 1.20 | 1.81 | 0.96 | 1.34 | 1.52 | 2.29 |
| min | 38.59 | 32.13 | 0.79 | 1.37 | 0.69 | 0.71 | 1.18 | 0.31 |
| max | 57.32 | 67.45 | 1.32 | 2.04 | 1.28 | 2.08 | 1.88 | 2.4 |
| Date | 20140807 | 20140807 | 20140807 | 20140807 | 20140807 | 20160725 | 20160725 | 20160725 | 20170710 | 20170807 | 20170807 |
|---|---|---|---|---|---|---|---|---|---|---|---|
| time start back-trajectory | 18 | 18 | 18 | 19 | 19 | 18 | 19 | 19 | 20 | 18 | 18 |
| layer bottom agl [m] | 930 | 1830 | 2910 | 930 | 1590 | 1830 | 930 | 2190 | 1230 | 1950 | 3030 |
| layer top agl [m] | 1705 | 2790 | 3390 | 1470 | 3270 | 3510 | 2070 | 3390 | 2190 | 2910 | 3750 |
| layer mean altitude agl [m] | 1318 | 2310 | 3150 | 1200 | 2430 | 2670 | 1500 | 2790 | 1710 | 2430 | 3390 |
| extinction 532 [1/m] | 1.10E-04 | 7.90E-05 | 8.70E-05 | 8.30E-05 | 9.60E-05 | 5.70E-05 | 5.50E-05 | 9.90E-05 | 4.23E-05 | 9.20E-05 | 4.10E-05 |
| σ extinction [1/m] | 6.10E-06 | 4.10E-06 | 1.10E-05 | 6.40E-06 | 2.80E-06 | 5.10E-06 | 3.40E-06 | 6.50E-06 | 4.47E-06 | 6.70E-06 | 5.40E-06 |
| mass conc. [μg/m3] | 29.21 | 20.98 | 23.10 | 22.04 | 25.49 | 15.13 | 14.60 | 26.28 | 11.23 | 24.43 | 10.89 |
| σ mass conc. [μg/m3] | 6.61 | 4.73 | 5.85 | 5.13 | 5.64 | 3.59 | 3.33 | 6.02 | 2.74 | 5.65 | 2.79 |
| mass conc. agric. FLEXPART [μg/m3] | 23.68 | 17.08 | 22.35 | 24.25 | 19.86 | 15.07 | 21.62 | 23.97 | 12.25 | 13.72 | 7.90 |
| STD mass conc. agric. FLEXPART [μg/m3] | 2.4E-02 | 1.7E-02 | 2.9E-02 | 2.4E-02 | 3.2E-02 | 1.3E-02 | 1.6E-02 | 2.2E-02 | 1.3E-02 | 7.8E-03 | 5.0E-03 |
| # fires | 5 | 35 | 3 | 4 | 26 | 2 | 9 | 3 | 4 | 26 | 19 |
| # detections | 9 | 60 | 4 | 6 | 49 | 4 | 15 | 5 | 6 | 52 | 37 |
| Rsa | 4.00 | 29.77 | 3.54 | 2.88 | 24.68 | 6.82 | 23.34 | 7.09 | 3.20 | 77.65 | 47.97 |
| <travel time> [days] | 2.29 | 2.38 | 1.40 | 1.98 | 2.38 | 1.08 | 1.33 | 1.12 | 0.31 | 2.29 | 2.29 |
| EPVT | IV | IV | IV | IV | IV | II | IV | II | IV | IV | IV |
| LR355 [sr] | 43.35 | 44.16 | 52.56 | 38.59 | 47.10 | 42.95 | 40.15 | 45.30 | 57.32 | 44.00 | 40.09 |
| σLR355 [sr] | 0.89 | 0.85 | 1.49 | 0.86 | 0.52 | 0.35 | 0.44 | 0.34 | 1.70 | 0.71 | 0.94 |
| LR532 [sr] | 39.23 | 46.04 | 67.45 | 33.32 | 45.25 | 34.49 | 32.13 | 50.40 | 39.53 | 46.47 | 38.81 |
| σ LR532 [sr] | 2.39 | 2.47 | 8.30 | 2.79 | 1.45 | 3.12 | 2.05 | 3.33 | 4.20 | 3.42 | 5.18 |
| BAE355/532 | 1.20 | 1.32 | 1.32 | 1.25 | 1.29 | 1.11 | 0.79 | 0.99 | 1.16 | 1.06 | 0.90 |
| σ BAE355/532 | 0.06 | 0.04 | 0.06 | 0.08 | 0.03 | 0.03 | 0.04 | 0.02 | 0.03 | 0.03 | 0.06 |
| BAE532/1064 | 2.04 | 1.92 | 2.04 | 1.90 | 1.81 | 1.64 | 1.48 | 1.76 | 1.37 | 1.61 | 1.64 |
| σ BAE532/1064 | 0.04 | 0.03 | 0.04 | 0.05 | 0.02 | 0.02 | 0.02 | 0.01 | 0.02 | 0.02 | 0.03 |
| EAE | 1.45 | 1.22 | 0.71 | 1.61 | 1.39 | 1.65 | 1.34 | 0.72 | 2.08 | 0.93 | 0.98 |
| σ EAE | 0.15 | 0.14 | 0.31 | 0.20 | 0.08 | 0.22 | 0.16 | 0.16 | 0.27 | 0.18 | 0.33 |
| CRLR | 0.90 | 1.04 | 1.28 | 0.86 | 0.96 | 0.80 | 0.80 | 1.11 | 0.69 | 1.06 | 0.97 |
| σ CRLR | 0.06 | 0.06 | 0.16 | 0.07 | 0.03 | 0.07 | 0.05 | 0.07 | 0.08 | 0.08 | 0.13 |
| CRBAE | 1.70 | 1.46 | 1.54 | 1.52 | 1.41 | 1.48 | 1.88 | 1.78 | 1.18 | 1.51 | 1.81 |
| σ CRBAE | 0.09 | 0.05 | 0.07 | 0.11 | 0.04 | 0.04 | 0.09 | 0.04 | 0.04 | 0.05 | 0.14 |
| AE 440/675 | 1.79 | 1.79 | 1.79 | 1.79 | 1.79 | 1.46 | 1.46 | 1.46 | 1.36 | 1.66 | 1.66 |
| FMF | 0.91 | 0.91 | 0.91 | 0.91 | 0.91 | 0.94 | 0.94 | 0.94 | 0.63 | 0.82 | 0.82 |
| BC max BB [%] | 20.35 | 20.35 | 20.35 | 19.6 | 19.6 | 28.55 | 29.37 | 29.37 | |||
| BC conc. max BB [μg/m3] | 3.52 | 3.52 | 3.52 | 3.05 | 3.05 | 1.4 | 2.24 | 2.24 | |||
| smoke type | fresh | aged | aged | fresh | fresh/aged | fresh | fresh | aged | fresh | aged | aged |
Publisher’s Note: MDPI stays neutral with regard to jurisdictional claims in published maps and institutional affiliations. |
© 2022 by the authors. Licensee MDPI, Basel, Switzerland. This article is an open access article distributed under the terms and conditions of the Creative Commons Attribution (CC BY) license (https://creativecommons.org/licenses/by/4.0/).
Share and Cite
Adam, M.; Fragkos, K.; Solomos, S.; Belegante, L.; Andrei, S.; Talianu, C.; Mărmureanu, L.; Antonescu, B.; Ene, D.; Nicolae, V.; et al. Methodology for Lidar Monitoring of Biomass Burning Smoke in Connection with the Land Cover. Remote Sens. 2022, 14, 4734. https://doi.org/10.3390/rs14194734
Adam M, Fragkos K, Solomos S, Belegante L, Andrei S, Talianu C, Mărmureanu L, Antonescu B, Ene D, Nicolae V, et al. Methodology for Lidar Monitoring of Biomass Burning Smoke in Connection with the Land Cover. Remote Sensing. 2022; 14(19):4734. https://doi.org/10.3390/rs14194734
Chicago/Turabian StyleAdam, Mariana, Konstantinos Fragkos, Stavros Solomos, Livio Belegante, Simona Andrei, Camelia Talianu, Luminița Mărmureanu, Bogdan Antonescu, Dragos Ene, Victor Nicolae, and et al. 2022. "Methodology for Lidar Monitoring of Biomass Burning Smoke in Connection with the Land Cover" Remote Sensing 14, no. 19: 4734. https://doi.org/10.3390/rs14194734
APA StyleAdam, M., Fragkos, K., Solomos, S., Belegante, L., Andrei, S., Talianu, C., Mărmureanu, L., Antonescu, B., Ene, D., Nicolae, V., & Amiridis, V. (2022). Methodology for Lidar Monitoring of Biomass Burning Smoke in Connection with the Land Cover. Remote Sensing, 14(19), 4734. https://doi.org/10.3390/rs14194734

