Cooling by Cyprus Lows of Surface and Epilimnion Water in Subtropical Lake Kinneret in Rainy Seasons
Abstract
:1. Introduction
2. Materials and Method
2.1. Study Area
2.2. Method
2.3. Materials
3. Results
3.1. Definition of High and Low-Precipitation Years over Lake Kinneret
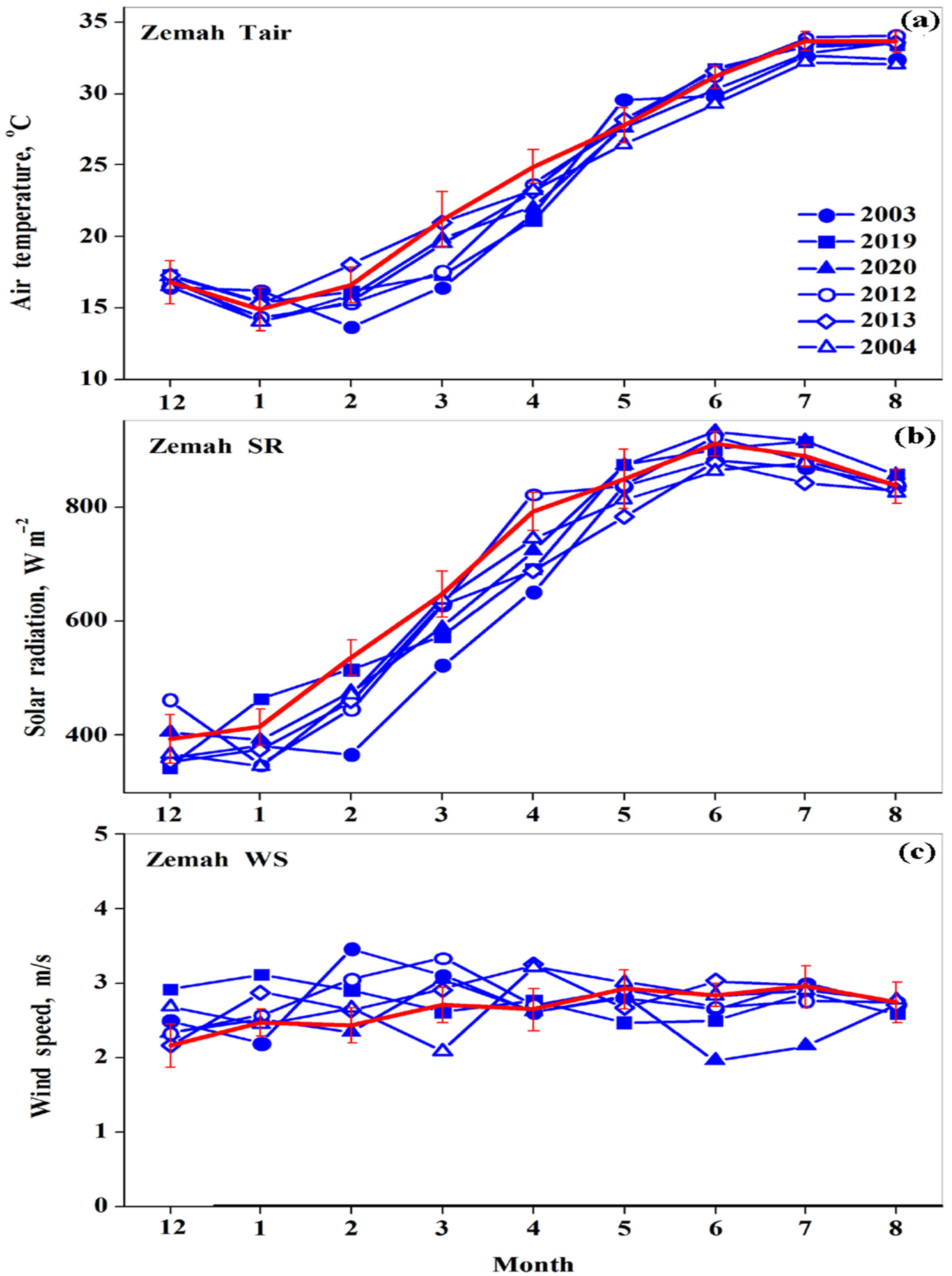
3.2. Month-to-Month Variations in Meteorological Parameters in the HP and LP Years
3.3. Kinneret SWT and WT at Various Depths in HP and LP Years
3.4. Comparison of Mediterranean Sea Surface Temperature (SST) in HP and LP Years
4. Discussion
5. Conclusions
Author Contributions
Funding
Data Availability Statement
Acknowledgments
Conflicts of Interest
Appendix A




References
- O’Reilly, C.M.; Sharma, S.; Gray, D.K.; Hampton, S.E.; Read, J.S.; Rowley, R.J.; Schneider, P.; Lenters, J.D.; McIntyre, P.B.; Kraemer, B.M.; et al. Rapid and highly variable warming of lake surface waters around the globe. Geophys. Res. Lett. 2015, 42, 10773–10781. [Google Scholar] [CrossRef]
- He, J.; Soden, B. A re-examination of the projected subtropical precipitation decline. Nat. Clim. Chang. 2017, 7, 53–57. [Google Scholar] [CrossRef]
- Feng, X.; Liu, C.; Xie, F.; Lu, J.; Chiu, L.S.; Tintera, G.; Chen, B. Precipitation characteristic changes due to global warming in a high-resolution (16 km) ECMWF simulation. Q. J. R. Meteorol. Soc. 2019, 145, 303–317. [Google Scholar] [CrossRef] [PubMed]
- Hambright, K.D.; Gofen, M.; Serruya, S. Influence of long-term climatic changes on the stratification of a subtropical, warm monomictic lake. Limnol. Oceanogr. 1994, 39, 1233–1242. [Google Scholar] [CrossRef]
- Kishcha, P.; Starobinets, B.; Lechinsky, Y.; Alpert, P. Absence of Surface Water Temperature Trends in Lake Kinneret despite Present Atmospheric Warming: Comparisons with Dead Sea Trends. Remote Sens. 2021, 13, 3461. [Google Scholar] [CrossRef]
- Gal, G.; Yael, G.; Noam, S.; Moshe, E.; Schlabing, D. Ensemble modeling of the impact of climate warming and increased frequency of extreme climatic events on the thermal characteristics of a sub-tropical Lake. Water 2020, 12, 1982. [Google Scholar] [CrossRef]
- Rimmer, A.; Givati, A.; Samuels, R.; Alpert, P. Using ensemble of climate models to evaluate future water and solutes budgets in Lake Kinneret, Israel. J. Hydrol. 2011, 410, 248–259. [Google Scholar] [CrossRef]
- La Fuente, S.; Woolway, I.; Jennings, E.; Gal, G.; Kirillin, G.; Shatwell, T.; Ladwig, R.; Moore, T.; Couture, R.-M.; Côté, M.; et al. Multi-model projections of evaporation in a sub-tropical lake. In Proceedings of the Online EGU General Assembly 2021, Online, 19–30 April 2021. Including display materials, EGU21-10186. [Google Scholar]
- Gophen, M. Climate and water balance changes in the Kinneret watershed: A review. Open J. Mod. Hydrol. 2020, 10, 21–29. [Google Scholar] [CrossRef]
- Saaroni, H.; Halfon, N.; Ziv, B.; Alpert, P.; Kutiel, H. Links between the rainfall regime in Israel and location and intensity of Cyprus Lows. Int. J. Climatol. 2010, 30, 1014–1025. [Google Scholar] [CrossRef]
- Alpert, P.; Osetinsky, I.; Ziv, B.; Shafir, H. A new seasons’ definition based on the classified daily synoptic systems, an example for the Eastern Mediterranean. Int. J. Climatol. 2004, 24, 1013–1021. [Google Scholar] [CrossRef]
- Shay-El, Y.; Alpert, P. A diagnostic study of winter diabatic heating in the Mediterranean in relation to cyclones. Q. J. R. Meteorol. Soc. 1991, 117, 715–747. [Google Scholar] [CrossRef]
- Ziv, B.; Shilo, E.; Lechinsky, Y.; Rimmer, A. Meteorology. In Lake Kinneret—Ecology and Management; Zohary, T., Sukenik, A., Berman, T., Nishri, A., Eds.; Springer: Dordrecht, The Netherlands, 2014; pp. 81–96. [Google Scholar]
- Ostrovsky, I.; Rimmer, A.; Yacobi, Y.Z.; Nishri, A.; Sukenik, A.; Hadas, O.; Zohary, T. Long-term changes in the Lake Kinneret ecosystem: The effects of climate change and anthropogenic Factors. In Climatic Change and Global Warming of Inland Water: Impacts and Mitigation for Ecosystems and Societies, 1st ed.; Goldman, C.R., Kumagai, M., Robats, R.D., Eds.; John Willey & Sons, Ltd.: New York, NY, USA, 2013; Chapter 13; pp. 271–293. [Google Scholar]
- Rimer, A.; Givati, A. Hydrology. In Lake Kinneret—Ecology and Management; Zohary, T., Sukenik, A., Berman, T., Nishri, A., Eds.; Springer: Dordrecht, The Netherlands, 2014; pp. 97–111. [Google Scholar]
- Doron, M. Monitoring and Management Lake Kinneret (Sea of Galilee)—Preserving Israel’s Major Surface Water Resource. EnviroGeoChimica Acta 2014, 1, 411–420. Available online: https://www.gov.il/BlobFolder/generalpage/kinneret-monitoring/he/Monitoring_and_management_Lake_Kinneret-markel-20.10.14.pdf (accessed on 30 July 2022).
- Sade, R.; Rimmer, A.; Samuels, R.; Salingar, Y.; Denisyuk, M.; Alpert, P. Water management in a complex hydrological basin—Application of Water Evaluation and Planning tool (WEAP) to the Lake Kinneret watershed, Israel. In Integrated Water Resources Management: Concept, Research and Implementation; Borchardt, D., Bogardi, J., Ibisch, R., Eds.; Springer: Cham, Switzerland, 2016; pp. 35–37. [Google Scholar]
- Petterssen, S. Weather Analysis and Forecasting, Volume 1, Motion and Motion Systems, 2nd ed.; McGraw-Hill: New York, NY, USA, 1956; 428p. [Google Scholar]
- Wan, Z. New refinements and validation of the Collection-6 MODIS land-surface temperature/emissivity products. Remote Sens. Environ. 2014, 140, 36–45. [Google Scholar] [CrossRef]
- Carrea, L.; Embury, O.; Merchant, C.J. Dataset related to in-land water for limnology and remote sensing applications: Distance-to-land, distance-to-water, water-body identifier and lake-center coordinates. Geosci. Data J. 2015, 2, 83–97. [Google Scholar] [CrossRef] [PubMed]
- Kishcha, P.; Lechinsky, Y.; Starobinets, B. Measurements of Water Levels and Water Temperature Profiles in Lake Kinneret (2000–2020). Zenodo Repository 2022. Available online: https://zenodo.org/record/6207765#.YhPLuDhByiS (accessed on 5 August 2022).
- Specifications of the AML MINOS X Probe. Available online: http://www.mdsys.co.kr/down/AML/Minos%20X.pdf (accessed on 5 September 2022).
- Global Precipitation Measurements GPM_3IMERGM V6 Data at 0.1° × 0.1° Spatial Resolution. Available online: https://disc.gsfc.nasa.gov/datasets/GPM_3IMERGM_06/summary (accessed on 5 September 2022).
- TRMM_3B43 Satellite Data at 0.25° × 0.25° Spatial Resolution. Available online: https://disc.gsfc.nasa.gov/datasets/TRMM_3B43_7/summary (accessed on 5 September 2022).
- MERRA-2 Reanalysis Data M2TMNXFLX V5.12.4 at 0.5° × 0.625° Special Resolution. Available online: https://disc.gsfc.nasa.gov/datasets/M2TMNXFLX_5.12.4/summary (accessed on 5 September 2022).
- Hou, A.Y.; Kakar, R.K.; Neeck, S.; Azarbarzin, A.A.; Kummerow, C.D.; Kojima, M.; Oki, R.; Nakamura, K.; Iguchi, T. The global precipitation measurement mission. Bull. Am. Meteorol. Soc. 2014, 95, 701–722. [Google Scholar] [CrossRef]
- Vallejo-Bernal, S.M.; Urrea, V.; Bedoya-Soto, J.M.; Posada, D.; Olarte, A.; Cárdenas-Posso, Y.; Ruiz-Murcia, F.; Martínez, M.T.; Petersen, W.A.; Huffman, G.J.; et al. Ground validation of TRMM 3B43 V7 precipitation estimates over Colombia. Part I: Monthly and seasonal timescales. Int. J. Climatol. 2021, 41, 601–624. [Google Scholar] [CrossRef]
- Hamal, K.; Sharma, S.; Khadka, N.; Baniya, B.; Ali, M.; Shrestha, M.S.; Xu, T.; Shrestha, D.; Dawadi, B. Evaluation of MERRA-2 Precipitation Products Using Gauge Observation in Nepal. Hydrology 2020, 7, 40. [Google Scholar] [CrossRef]
- IMS—Israel Meteorological Service. Measurements of 2-m Air Temperature, Wind Speed, and Pyranometer Measurements of Surface Solar Radiation at the Zemah Meteorological Stations Located in the Vicinity of Lake Kinneret. Available online: https://ims.data.gov.il/ims/7 (accessed on 5 September 2022).
- Hochman, A.; Harpaz, T.; Saaroni, H.; Alpert, P. Synoptic classification in 21st century CMIP5 predictions over the Eastern Mediterranean with focus on cyclones. Int. J. Climatol. 2018, 38, 1476–1483. [Google Scholar] [CrossRef]













Publisher’s Note: MDPI stays neutral with regard to jurisdictional claims in published maps and institutional affiliations. |
© 2022 by the authors. Licensee MDPI, Basel, Switzerland. This article is an open access article distributed under the terms and conditions of the Creative Commons Attribution (CC BY) license (https://creativecommons.org/licenses/by/4.0/).
Share and Cite
Kishcha, P.; Lechinsky, Y.; Starobinets, B. Cooling by Cyprus Lows of Surface and Epilimnion Water in Subtropical Lake Kinneret in Rainy Seasons. Remote Sens. 2022, 14, 4709. https://doi.org/10.3390/rs14194709
Kishcha P, Lechinsky Y, Starobinets B. Cooling by Cyprus Lows of Surface and Epilimnion Water in Subtropical Lake Kinneret in Rainy Seasons. Remote Sensing. 2022; 14(19):4709. https://doi.org/10.3390/rs14194709
Chicago/Turabian StyleKishcha, Pavel, Yury Lechinsky, and Boris Starobinets. 2022. "Cooling by Cyprus Lows of Surface and Epilimnion Water in Subtropical Lake Kinneret in Rainy Seasons" Remote Sensing 14, no. 19: 4709. https://doi.org/10.3390/rs14194709
APA StyleKishcha, P., Lechinsky, Y., & Starobinets, B. (2022). Cooling by Cyprus Lows of Surface and Epilimnion Water in Subtropical Lake Kinneret in Rainy Seasons. Remote Sensing, 14(19), 4709. https://doi.org/10.3390/rs14194709

