Monitoring Asian Dust Storms from NOAA-20 CrIS Double CO2 Band Observations
Abstract
:1. Introduction
2. Data and Model
2.1. NOAA-20 CrIS
2.2. Radiative Transfer Model
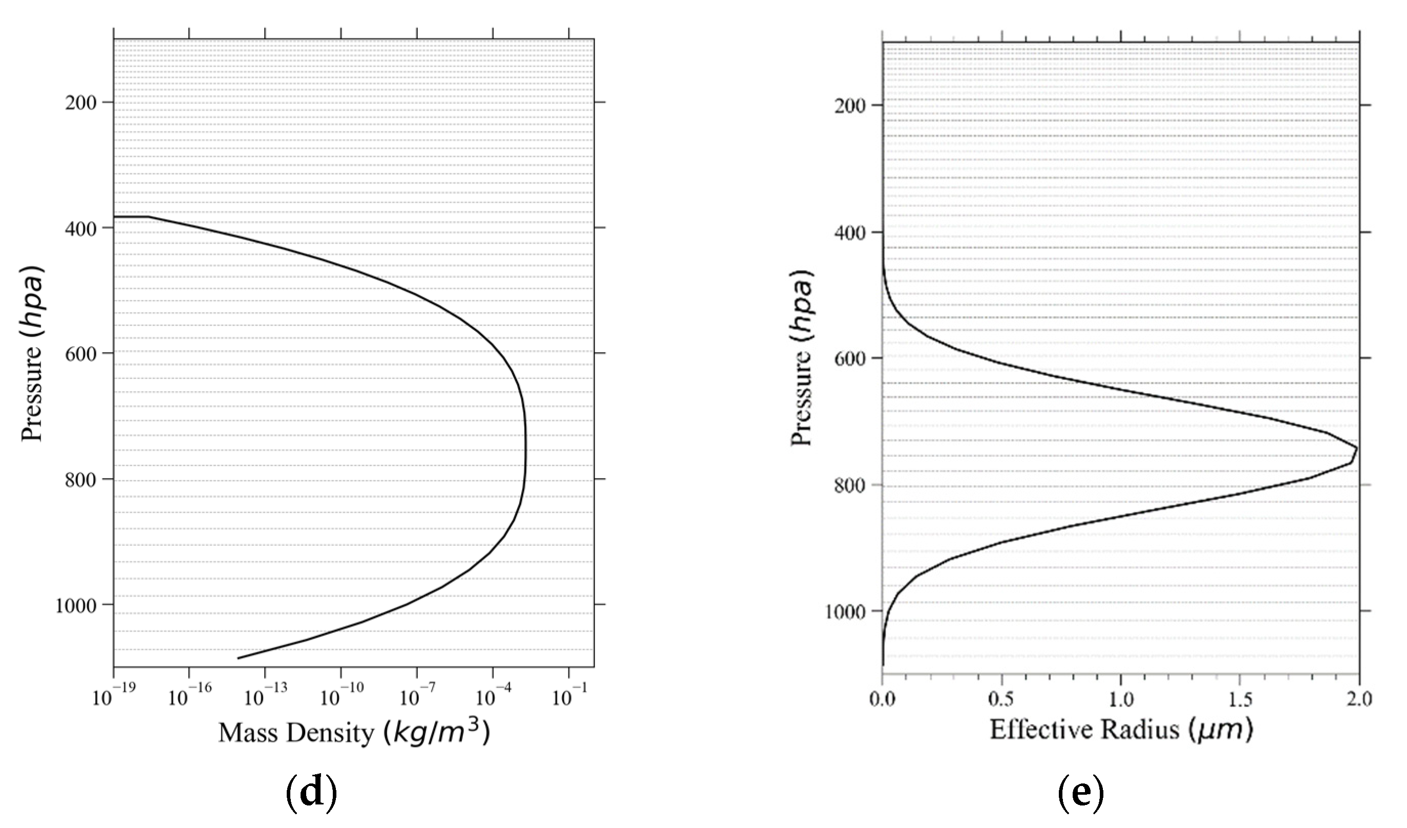
3. CrIS Sensitivity to Sand Aerosols
4. CESI
- The difference in the peak weighting function height for the SWIR and LWIR channels shall be less than 50 hPa. In another word, it promises that the SWIR and LWIR channels are paired to detect the atmosphere profile at almost the same height.
- Aerosol-sensitive levels shall be determined by the following equations:where and represent the ARMS-simulated radiance for the LW or SW channels under clear and aerosol conditions, respectively.
- Upon the above two conditions, the smallest standard deviation of the brightness temperatures or radiance from the LWIR channel should be chosen to pair the SWIR channels. It has been found that a SWIR channel could be paired with more than one LWIR channel. This condition is to make the optimal pairing with the dual CO2 channels at a specified weighting function peak pressure level.
5. Monitoring Asian Sand Storms
5.1. Asian Sand Storm
5.2. VIIRS Dust RGB Product
5.3. SESI Monitoring SDS
6. Conclusions
Author Contributions
Funding
Data Availability Statement
Acknowledgments
Conflicts of Interest
References
- Tsolmon, R.; Ochirkhuyag, L.; Sternberg, T. Monitoring the source of trans-national dust storms in north East Asia. Int. J. Digit. Earth 2008, 1, 119–129. [Google Scholar] [CrossRef]
- Jin, Q.; Wei, J.; Lau, W.K.M.; Pu, B.; Wang, C. Interactions of Asian mineral dust with Indian summer monsoon: Recent advances and challenges. Earth-Sci. Rev. 2021, 215, 103562. [Google Scholar] [CrossRef]
- Asiri, M.A.; Almazroui, M.; Awad, A.M. Synoptic features associated with the winter variability of the subtropical jet stream over Africa and the Middle East. Arch. Meteorol. Geophys. Bioclimatol. Ser. B 2020, 132, 819–831. [Google Scholar] [CrossRef]
- Wei, J.; Lu, B.; Song, Y.; Jin, Q.; Yang, Y.; Chen, Q.; Chen, H. Impact of Aerosol Radiative Effect on the Diurnal Cycle of Summer Precipitation Over North China: Distinct Results From Simulations With Parameterized Versus Explicit Convection. Geophys. Res. Lett. 2022, 49, e2022GL098795. [Google Scholar] [CrossRef]
- Mashat, A.-W.S.; Awad, A.M.; Assiri, M.E.; Labban, A.H. Dynamic and synoptic study of spring dust storms over northern Saudi Arabia. Arch. Meteorol. Geophys. Bioclimatol. Ser. B 2020, 140, 619–634. [Google Scholar] [CrossRef]
- Mashat, A.-W.S.; Awad, A.M.; Assiri, M.E.; Labban, A.H. Synoptic pattern of the Red Sea trough associated with spring dust over the northern and western Arabian Peninsula. Arch. Meteorol. Geophys. Bioclimatol. Ser. B 2021, 133, 655–673. [Google Scholar] [CrossRef]
- Francis, D.; Chaboureau, J.-P.; Nelli, N.; Cuesta, J.; Alshamsi, N.; Temimi, M.; Pauluis, O.; Xue, L. Summertime dust storms over the Arabian Peninsula and impacts on radiation, circulation, cloud development and rain. Atmos. Res. 2021, 250, 105364. [Google Scholar] [CrossRef]
- Liu, H.; Yan, R.; Yang, J. Credibility and statistical characteristics of CAMSRA and MERRA-2 AOD reanalysis products over the Sichuan Basin during 2003–2018. Atmos. Environ. 2021, 244, 117980. [Google Scholar] [CrossRef]
- Hu, Z.; Jin, Q.; Ma, Y.; Pu, B.; Ji, Z.; Wang, Y.; Dong, W. Temporal evolution of aerosols and their extreme events in polluted Asian regions during Terra’s 20-year observations. Remote Sens. Environ. 2021, 263, 112541. [Google Scholar] [CrossRef]
- Shaheen, A.; Wu, R.; Lelieveld, J.; Yousefi, R.; Aldabash, M. Winter AOD trend changes over the Eastern Mediterranean and Middle East region. Int. J. Clim. 2021, 41, 5516–5535. [Google Scholar] [CrossRef]
- Jin, Q.; Pryor, S.C. Long-Term Trends of High Aerosol Pollution Events and Their Climatic Impacts in North America Using Multiple Satellite Retrievals and Modern-Era Retrospective Analysis for Research and Applications version 2. J. Geophys. Res. Atmos. 2020, 125, e2019JD031137. [Google Scholar] [CrossRef]
- Shao, Y.; Dong, C.H. A review on East Asian dust storm climate, modelling and monitoring. Glob. Planet. Change 2006, 52, 1–22. [Google Scholar] [CrossRef]
- Muhammad, A.; Sheltami, T.R.; Mouftah, H.T. A review of techniques and technologies for sand and dust storm detection. Rev. Environ. Sci. Bio/Technol. 2012, 11, 305–322. [Google Scholar] [CrossRef]
- Lv, R.L.; Deng, X.B.; Ding, J.L.; Liu, H.L.; Huang, Q.H. Hyperspectral Satellite Remote Sensing Dust Aerosol Depth: A New Retrieval Method Based on SVD. Appl. Mech. Mater. 2014, 644–650, 2071–2075. [Google Scholar] [CrossRef]
- Mohammadpour, K.; Rashki, A.; Sciortino, M.; Kaskaoutis, D.G.; Darvishi Boloorani, A. A statistical approach for identification of dust-AOD hotspots climatology and clustering of dust regimes over Southwest Asia and the Arabian Sea. Atmos. Pollut. Res. 2022, 13, 101395. [Google Scholar] [CrossRef]
- Mohammadpour, K.; Sciortino, M.; Kaskaoutis, D.G.; Rashki, A. Classification of synoptic weather clusters associated with dust accumulation over southeastern areas of the Caspian Sea (Northeast Iran and Karakum desert). Aeolian Res. 2022, 54, 100771. [Google Scholar] [CrossRef]
- Ackerman, S.A. Remote sensing aerosols using satellite infrared observations. J. Geophys. Res. Earth Surf. 1997, 102, 17069–17079. [Google Scholar] [CrossRef]
- Huang, J.; Minnis, P.; Yi, Y.; Tang, Q.; Wang, X.; Hu, Y.; Liu, Z.; Ayers, K.; Trepte, C.; Winker, D. Summer dust aerosols detected from CALIPSO over the Tibetan Plateau. Geophys. Res. Lett. 2007, 34, L18805. [Google Scholar] [CrossRef]
- Ge, J.; Huang, J.; Weng, F.; Sun, W. Effects of dust storms on microwave radiation based on satellite observation and model simulation over the Taklamakan desert. Atmos. Chem. Phys. 2008, 8, 4903–4909. [Google Scholar] [CrossRef]
- Han, Y.; Zou, X.; Weng, F. Cloud and precipitation features of Super Typhoon Neoguri revealed from dual oxygen absorption band sounding instruments on board FengYun-3C satellite. Geophys. Res. Lett. 2015, 42, 916–924. [Google Scholar] [CrossRef]
- Lin, L.; Zou, X.; Weng, F. Combining CrIS double CO2 bands for detecting clouds located in different layers of the atmosphere. J. Geophys. Res. Atmos. 2017, 122, 1811–1827. [Google Scholar] [CrossRef]
- Wang, L.; Zheng, Y.; Liu, C.; Niu, Z.; Xu, J.; Chen, W.; Jiang, R. Combination of AIRS Dual CO2 Absorption Bands to Develop an Ice Clouds Detection Algorithm in Different Atmospheric Layers. Remote Sens. 2020, 12, 6. [Google Scholar] [CrossRef]
- Xia, X.; Zou, X. Development of CO2 Band-Based Cloud Emission and Scattering Indices and Their Applications to FY-3D Hyperspectral Infrared Atmospheric Sounder. Remote Sens. 2020, 12, 4171. [Google Scholar] [CrossRef]
- Weng, F.; Yu, X.; Duan, Y.; Yang, J.; Wang, J. Advanced Radiative Transfer Modeling System (ARMS): A New-Generation Satellite Observation Operator Developed for Numerical Weather Prediction and Remote Sensing Applications. Adv. Atmos. Sci. 2020, 37, 131–136. [Google Scholar] [CrossRef]
- Weng, F.; Liu, Q. Satellite data assimilation in numerical weather prediction models, 1. Forward radiative transfer and Jacobian models under cloudy conditions. J. Atmos. Sci. 2003, 60, 2633–2646. [Google Scholar] [CrossRef]
- Liu, Q.; Weng, F. A microwave polarimetric two-stream radiative transfer model. J. Atmos. Sci. 2002, 59, 2396–2402. [Google Scholar] [CrossRef]
- Evans, K.F.; Stephens, G.L. A new polarized atmospheric radiative transfer model. J. Quant. Spectrosc. Radiat. Transf. 1991, 46, 413–423. [Google Scholar] [CrossRef]
- Weng, F. A multi-layer discrete-ordinate method for vector radiative transfer in a vertically-inhomogeneous, emitting and scattering atmosphere—I. Theory. J. Quant. Spectrosc. Radiat. Transf. 1992, 47, 19–33. [Google Scholar] [CrossRef]
- Shi, Y.-N.; Yang, J.; Weng, F. Discrete Ordinate Adding Method (DOAM), a new solver for Advanced Radiative transfer Modeling System (ARMS). Opt. Express 2021, 29, 4700–4720. [Google Scholar] [CrossRef]
- Di Biagio, C.; Formenti, P.; Styler, S.A.; Pangui, E.; Doussin, J.F. Laboratory chamber measurements of the longwave extinction spectra and complex refractive indices of African and Asian mineral dusts. Geophys. Res. Lett. 2015, 41, 6289–6297. [Google Scholar] [CrossRef]
- Di Biagio, C.; Formenti, P.; Balkanski, Y.; Caponi, L.; Cazaunau, M.; Pangui, E.; Journet, E.; Nowak, S.; Caquineau, S.; Andreae, M.O.; et al. Global scale variability of the mineral dust longwave refractive index: A new dataset of in situ measurements for climate modelling and remote sensing. Atmos. Chem. Phys. 2017, 17, 1901–1929. [Google Scholar] [CrossRef]
- Bi, L.; Ding, S.; Zong, R.; Yi, B. Examining Asian dust refractive indices for brightness temperature simulations in the 650-1135 cm−1 spectral range. J. Quant. Spectrosc. Radiat. Transf. 2020, 247, 106945. [Google Scholar] [CrossRef]
- Fuell, K.K.; Guyer, B.J.; Kann, D.; Molthan, A.L.; Elmer, N. Next generation satellite RGB dust imagery leads to operational changes at NWS Alburquerque. J. Oper. Meteorol. 2016, 4, 75–91. [Google Scholar] [CrossRef]
- Zhang, H.; Ciren, P.; Kondragunta, S.; Laszlo, I. Evaluation of VIIRS dust detection algorithms over land. J. Appl. Remote Sens. 2018, 12, 042609. [Google Scholar] [CrossRef]














| Frequency Band | Spectral Range (cm−1) | Spectral Range (µm) | Number of Channel (Unapodized) | Spectral Resolution (cm−1) | Effective Maximum Path Difference (cm) | Number of Channels with Guard Bands |
|---|---|---|---|---|---|---|
| LWIR | 650–1095 | 15.38–9.14 | 713 * (717) | 0.625 | 0.8 | 864 |
| MWIR | 1210–1750 | 8.26–5.71 | 865 * (869) | 0.625 | 0.8 | 1050 |
| SWIR | 2155–2550 | 4.64–3.92 | 633 * (637) | 0.625 | 0.8 | 797 |
| Experiment | Description |
|---|---|
| Exp. 1 | Aerosol concentration is scaled with a factor of 0.1–10 |
| Exp. 2 | Aerosol effective radius is scaled with a factor of 0.0–2.0 |
| Exp. 3 | Change the height of the sand aerosol layers from 500 to 900 hPa |
| Color | Wavelengths | Min | Max | Gamma |
|---|---|---|---|---|
| R | 12.0 μm–10.8 μm | −4 K | +2 K | 1.0 |
| G | 10.8 μm–8.7 μm | 0 K | 15 K | 2.5 |
| B | 10.8 μm | 261 K | 289 K | 1.0 |
| Date | True Positive | True Negative | Total Matchups | Positive Percent |
|---|---|---|---|---|
| 2021.3.14 | 339 | 1039 | 1378 | 32.63% |
| 2021.3.15 | 629 | 263 | 892 | 70.5% |
| 2021.3.16 | 1135 | 554 | 1689 | 67.2% |
| 2021.3.17 | 1431 | 616 | 2047 | 69.9% |
| Total | 3534 | 2472 | 6006 | 58.8% |
Publisher’s Note: MDPI stays neutral with regard to jurisdictional claims in published maps and institutional affiliations. |
© 2022 by the authors. Licensee MDPI, Basel, Switzerland. This article is an open access article distributed under the terms and conditions of the Creative Commons Attribution (CC BY) license (https://creativecommons.org/licenses/by/4.0/).
Share and Cite
Fang, C.; Han, Y.; Weng, F. Monitoring Asian Dust Storms from NOAA-20 CrIS Double CO2 Band Observations. Remote Sens. 2022, 14, 4659. https://doi.org/10.3390/rs14184659
Fang C, Han Y, Weng F. Monitoring Asian Dust Storms from NOAA-20 CrIS Double CO2 Band Observations. Remote Sensing. 2022; 14(18):4659. https://doi.org/10.3390/rs14184659
Chicago/Turabian StyleFang, Chenggege, Yang Han, and Fuzhong Weng. 2022. "Monitoring Asian Dust Storms from NOAA-20 CrIS Double CO2 Band Observations" Remote Sensing 14, no. 18: 4659. https://doi.org/10.3390/rs14184659
APA StyleFang, C., Han, Y., & Weng, F. (2022). Monitoring Asian Dust Storms from NOAA-20 CrIS Double CO2 Band Observations. Remote Sensing, 14(18), 4659. https://doi.org/10.3390/rs14184659
