Detection of Aircraft Emissions Using Long-Path Differential Optical Absorption Spectroscopy at Hefei Xinqiao International Airport
Abstract
:1. Introduction
2. Materials and Methods
2.1. DOAS Instrument
2.2. Equipment Installation
3. Results and Discussion
3.1. Spectral Inversions and Time Series of Pollutants
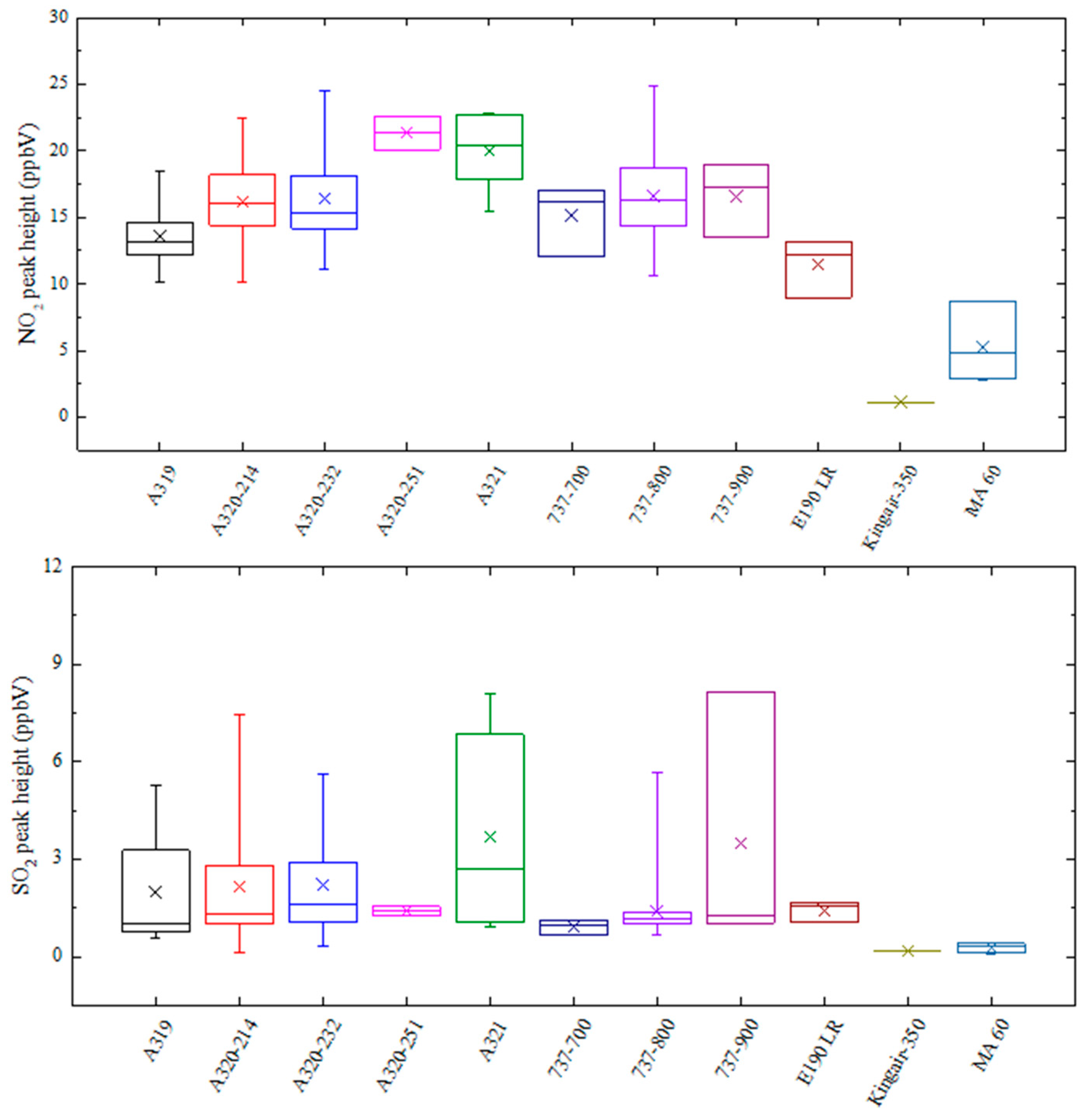
3.2. Data Analysis
4. Conclusions
Author Contributions
Funding
Data Availability Statement
Conflicts of Interest
References
- Pison, I.; Menut, L. Quantification of the impact of aircraft traffic emissions on tropospheric ozone over Paris area. Atmos. Environ. 2004, 38, 971–983. [Google Scholar] [CrossRef]
- Crutzen, P.J. The role of NO and NO2 in the chemistry of the troposphere and stratosphere. Annu. Rev. Earth Planet. Sci. 1979, 7, 443. [Google Scholar] [CrossRef]
- Atkinson, R. Atmospheric chemistry of VOCs and NOx. Atmos. Environ. 2000, 34, 2063. [Google Scholar] [CrossRef]
- Finlayson-Pitts, B.J.; Pitts, J.N. Chemistry of the Upper and Lower Atmosphere: Theory, Experiments, and Applications; Elsevier: Amsterdam, The Netherlands, 2000; p. 264. [Google Scholar]
- Chiusolo, M.; Cadum, E.; Stafoggia, M.; Galassi, C.; Berti, G.; Faustini, A.; Bisanti, L.; Vigotti, M.A.; Dessì, M.P.; Cernigliaro, A.; et al. Short-Term Effects of Nitrogen Dioxide on Mortality and Susceptibility Factors in 10 Italian Cities: The EpiAir Study. Environ. Health Perspect. 2011, 119, 1233–1238. [Google Scholar] [CrossRef] [PubMed]
- Vahedpour, M.; Goodarzi, M.; Hajari, N.; Nazari, F. Theoretical study on the atmospheric formation of sulfur trioxide as the primary agent for acid rain. Struct. Chem. 2011, 22, 817–822. [Google Scholar] [CrossRef]
- Orellano, P.; Reynoso, J.; Quaranta, N. Short-term exposure to sulphur dioxide (SO2) and all-cause and respiratory mortality: A systematic review and meta-analysis. Environ. Int. 2021, 150, 106434. [Google Scholar] [CrossRef]
- Gudmundsson, S.V.; Cattaneo, M.; Redondi, R. Forecasting temporal world recovery in air transport markets in the presence of large economic shocks: The case of COVID-19. J. Air Transp. Manag. 2021, 91, 102007. [Google Scholar] [CrossRef]
- Carslaw, D.C.; Ropkins, K.; Laxen, D.; Moorcroft, S.; Marner, B.; Williams, M.L. Near-Field Commercial Aircraft Contribution to Nitrogen Oxides by Engine, Aircraft Type, and Airline by Individual Plume Sampling. Environ. Sci. Technol. 2008, 42, 1871–1876. [Google Scholar] [CrossRef] [PubMed]
- Schafer, K.; Jahn, C.; Sturm, P.; Lechner, B.; Bacher, M. Aircraft emission measurements by remote sensing methodologies at airports. Atmos. Environ. 2003, 37, 5261–5271. [Google Scholar] [CrossRef]
- Herndon, S.C.; Shorter, J.H.; Zahniser, M.S.; Nelson, D.D.; Jayne, J.; Brown, R.C.; Miake-Lye, R.C.; Waitz, I.; Silva, P.; Lanni, T.; et al. NO and NO2 Emission Ratios Measured from In-Use Commercial Aircraft during Taxi and Takeoff. Environ. Sci. Technol. 2004, 38, 6078–6084. [Google Scholar] [CrossRef] [PubMed]
- Herndon, S.C.; Jayne, J.T.; Lobo, P.; Onasch, T.B.; Fleming, G.; Hagen, D.E.; Whitefield, P.D.; Miake-Lye, R.C. Commercial aircraft engine emissions characterization of in-use aircraft at Hartsfield-Jackson Atlanta International Airport. Environ. Sci. Technol. 2008, 42, 1877–1883. [Google Scholar] [CrossRef] [PubMed]
- Herndon, S.C.; Wood, E.C.; Northway, M.J.; Miake-Lye, R.; Thornhill, L.; Beyersdorf, A.; Anderson, B.E.; Dowlin, R.; Dodds, W.; Knighton, W.B. Aircraft Hydrocarbon Emissions at Oakland International Airport. Environ. Sci. Technol. 2009, 43, 1730–1736. [Google Scholar] [CrossRef]
- Hu, S.; Fruin, S.; Kozawa, K.; Mara, S.; Winer, A.M.; Paulson, S.E. Aircraft Emission Impacts in a Neighborhood Adjacent to a General Aviation Airport in Southern California. Environ. Sci. Technol. 2009, 43, 8039–8045. [Google Scholar] [CrossRef] [PubMed]
- Ionel, I.; Nicolae, D.; Popescu, F.; Talianu, C.; Belegante, L.; Apostol, G. Measuring air pollutants in an international Romania airport with point and open path instruments. Rom. J. Phys. 2011, 56, 507–519. [Google Scholar]
- Kesgin, U. Aircraft emissions at Turkish airports. Energy 2006, 31, 372–384. [Google Scholar] [CrossRef]
- Mazaheri, M.; Johnson, G.R.; Morawska, L. An inventory of particle and gaseous emissions from large aircraft thrust engine operations at an airport. Atmos. Environ. 2011, 45, 3500–3507. [Google Scholar] [CrossRef]
- Winther, M.; Kousgaard, U.; Ellermann, T.; Massling, A.; Nøjgaard, J.K.; Ketzel, M. Emissions of NOx, particle mass and particle numbers from aircraft main engines, APU’s and handling equipment at Copenhagen Airport. Atmos. Environ. 2015, 100, 218–229. [Google Scholar] [CrossRef]
- Zhou, Y.; Jiao, Y.; Lang, J.; Chen, D.; Huang, C.; Wei, P.; Li, S.; Cheng, S. Improved estimation of air pollutant emissions from landing and takeoff cycles of civil aircraft in China. Environ. Pollut. 2019, 249, 463–471. [Google Scholar] [CrossRef]
- Zaporozhets, O.; Synylo, K. Improvements on aircraft engine emission and emission inventory asesessment inside the airport area. Energy 2017, 140, 1350–1357. [Google Scholar] [CrossRef]
- Turgut, E.T.; Rosen, M.A. Assessment of emissions at busy airports. Int. J. Energy Res. 2010, 34, 800–814. [Google Scholar] [CrossRef]
- Masiol, M.; Harrison, R.M. Aircraft engine exhaust emissions and other airport-related contributions to ambient air pollution: A review. Atmos. Environ. 2014, 95, 409–455. [Google Scholar] [CrossRef]
- Popp, P.J.; Bishop, G.A.; Stedman, D.H. Method for Commercial Aircraft Nitric Oxide Emission Measurements. Environ. Sci. Technol. 1999, 33, 1542–1544. [Google Scholar] [CrossRef]
- Schürmann, G.; Schafer, K.; Jahn, C.; Hoffmann, H.; Bauerfeind, M.; Fleuti, E.; Rappengluck, B. The impact of NOx, CO and VOC emissions on the air quality of Zurich airport. Atmos. Environ. 2007, 41, 103–118. [Google Scholar] [CrossRef]
- Qing, X.; Hongfu, Z.; Juan, X. Remote Sensing of Aircraft Engine Exhausts Using FTIR-emission-spectroscopy. Acta Aeronaut. Astronaut. Sin. 2009, 30, 837–841. [Google Scholar]
- Xin, H.; Xiangxian, L.; Minguang, G.; Xiuli, W.; Jingjing, T.; Sheng, L.; Shubin, Y.; Yan, L. Monitoring and analyzing VOCs pollution emissions in airport with SOF-FTIR. Chin. J. Quantum Electron. 2019, 36, 101–107. [Google Scholar]
- Platt, U.; Stutz, J. Differential Optical Absorption Spectroscopy; Springer: Berlin/Heidelberg, Germany, 2008; pp. 2458–2462. [Google Scholar]
- Qin, M.; Xie, P.; Su, H.; Gu, J.; Peng, F.; Li, S.; Zeng, L.; Liu, J.; Liu, W.; Zhang, Y. An observational study of the HONO-NO2 coupling at an urban site in Guangzhou City, South China. Atmos. Environ. 2009, 43, 5731–5742. [Google Scholar] [CrossRef]
- Lu, X.; Qin, M.; Xie, P.; Shen, L.; Duan, J.; Liang, S.; Fang, W.; Liu, J.; Liu, W. Ambient BTX Observation nearby Main Roads in Hefei during Summer Time. Aerosol Air Qual. Res. 2017, 17, 933–943. [Google Scholar] [CrossRef]
- Nasse, J.M.; Eger, P.G.; Pohler, D.; Schmitt, S.; Friess, U.; Platt, U. Recent improvements of long-path DOAS measurements: Impact on accuracy and stability of short-term and automated long-term observations. Atmos. Meas. Tech. 2019, 12, 4149–4169. [Google Scholar] [CrossRef]
- Islam, M.; Ciaffoni, L.; Hancock, G.; Ritchie, G.A.D. Demonstration of a novel laser-driven light source for broadband spectroscopy between 170 nm and 2.1 μm. Analyst 2013, 138, 4741–4745. [Google Scholar] [CrossRef]
- Voigt, S.; Orphal, J.; Burrows, J.P. The temperature and pressure dependence of the absorption cross-sections of NO2 in the 250–800 nm region measured by Fourier-transform spectroscopy. J. Photochem. Photobiol. A Chem. 2002, 149, 1–7. [Google Scholar] [CrossRef]
- Vandaele, A.C.; Simon, P.C.; Guilmot, J.M.; Carleer, M.; Colin, R. SO2 absorption cross section measurement in the UV using a Fourier transform spectrometer. J. Geophys. Res. Atmos. 1994, 99, 25599–25605. [Google Scholar] [CrossRef]
- Voigt, S.; Orphal, J.; Bogumil, K.; Burrows, J.P. The temperature dependence (203–293 K) of the absorption cross sections of O3 in the 230-850 nm region measured by Fourier-transform spectroscopy. J. Photochem. Photobiol. A Chem. 2001, 143, 1–9. [Google Scholar] [CrossRef]
- Yang, X.; Cheng, S.; Wang, G.; Xu, R.; Wang, X.; Zhang, H.; Chen, G. Characterization of volatile organic compounds and the impacts on the regional ozone at an international airport. Environ. Pollut. 2018, 238, 491–499. [Google Scholar] [CrossRef] [PubMed]
- Valotto, G.; Varin, C. Characterization of hourly NOx atmospheric concentrations near the Venice International Airport with additive semi-parametric statistical models. Atmos. Res. 2016, 167, 216–223. [Google Scholar] [CrossRef]








| Flight Number | NO2 Peak Height Taxi Out (ppbV) | NO2 Peak Height Take Off (ppbV) | SO2 Peak Height Taxi Out (ppbV) | SO2 Peak Height Take Off (ppbV) | Age of Aircraft (Year) |
|---|---|---|---|---|---|
| ZH9710 | 6.8 | 13.9 | 0.74 | 1.05 | 1.5 |
| HU7441 | 8.7 | 22.2 | 0.74 | 2.06 | 19.5 |
| CA1256 | 8.7 | 16.4 | 0.92 | 1.46 | 11.3 |
| CA1256 | 9.1 | 22.0 | 0.81 | 2.12 | 11.3 |
| Y87595 | 9.3 | 22.2 | 0.46 | 1.20 | 2.1 |
| KN5878 | 7.7 | 15.1 | 2.99 | 5.65 | 9.0 |
| HU7692 | 10.6 | 19.5 | 0.72 | 1.30 | 7.6 |
| HU7692 | 9.0 | 16.6 | 0.69 | 1.09 | 2.3 |
| SC8879 | 10.6 | 17.0 | 0.74 | 1.09 | 5.1 |
| SC8879 | 7.6 | 16.0 | 0.55 | 1.01 | 3.9 |
| SC8879 | 10.3 | 15.8 | 0.53 | 0.68 | 4.5 |
| HU7468 | 7.9 | 16.3 | 1.08 | 2.23 | 5.0 |
| HU7468 | 7.5 | 14.4 | 0.63 | 1.23 | 1.1 |
| HU7468 | 6.4 | 14.8 | 0.67 | 1.03 | 4.9 |
| HU7468 | 8.0 | 24.9 | 1.42 | 1.67 | 1.1 |
| HU7441 | 9.7 | 20.7 | 0.61 | 1.61 | 14.3 |
| Y87595 | 10.0 | 16.0 | 0.57 | 1.02 | 2.1 |
| Y87595 | 8.9 | 18.7 | 0.48 | 0.91 | 2.1 |
| Y87595 | 10.4 | 16.8 | 0.58 | 1.11 | 7.3 |
| Y87595 | 7.3 | 15.4 | 0.41 | 1.17 | 7.3 |
| ZH9710 | 10.6 | 16.6 | 0.61 | 0.95 | 4.3 |
| HU7209 | 8.6 | 18.7 | 0.53 | 1.21 | 14.3 |
| KN5878 | 7.8 | 21.9 | 2.51 | 5.29 | 5.3 |
| DZ6343 | 9.6 | 15.9 | 0.53 | 1.04 | 0.8 |
| DR6592 | 10.2 | 17.6 | 0.55 | 1.16 | 2.1 |
| CZ3665 | 9.1 | 10.6 | 1.00 | 0.79 | 1.4 |
| ZH9719 | 11.1 | 17.0 | 0.51 | 0.74 | 6.0 |
| CA8933 | 7.0 | 16.4 | 0.47 | 0.98 | 1.4 |
| HU7209 | 12.1 | 16.3 | 0.86 | 1.20 | 5.0 |
| HU7209 | 8.1 | 12.0 | 0.81 | 1.04 | 3.8 |
| ZH9710 | 7.2 | 13.3 | 0.94 | 1.16 | 6.2 |
| HU7441 | 9.1 | 11.7 | 0.75 | 1.06 | 5.3 |
| CA1256 | 12.8 | 14.4 | 1.19 | 1.37 | 6.5 |
| SC8796 | 8.4 | 16.6 | 0.57 | 0.83 | 7.8 |
| SC8796 | 13.0 | 15.2 | 0.95 | 1.26 | 11.3 |
| SC8735 | 11.4 | 19.2 | 0.84 | 1.58 | 6.3 |
| SC8796 | 8.3 | 19.6 | 0.80 | 1.29 | 6.0 |
| ZH9710 | 6.3 | 20.8 | 0.56 | 1.24 | 1.5 |
| SC8879 | 6.6 | 12.1 | 0.60 | 0.97 | 3.3 |
| 8L9862 | 7.1 | 18.7 | 0.57 | 1.13 | 3.1 |
| CA1256 | 8.6 | 18.3 | 0.65 | 1.67 | 2.9 |
| HU7441 | 12.5 | 18.1 | 0.90 | 1.31 | 1.1 |
| HU7473 | 9.8 | 11.7 | 0.93 | 1.29 | 4.1 |
| SC8879 | 10.4 | 16.1 | 0.27 | 1.17 | 5.1 |
| HU7692 | 9.9 | 13.9 | 0.55 | 0.95 | 1.6 |
| HU7572 | 9.5 | 12.1 | 0.56 | 0.87 | 4.3 |
| HU7209 | 8.9 | 13.8 | 0.42 | 0.97 | 3.3 |
| Flight Number | Aircraft Type | Aircraft’s Age | Measurement Time | Wind Speed | Wind Direction | Time Interval | NO2 Peak Height |
|---|---|---|---|---|---|---|---|
| SC8879 | 737–800 | 5.1 years | 16 Oct 2019 16:15 | 2 m/s | 330° | 192 s | 16.1 ppbV |
| 21 Oct 2019 15:53 | 3 m/s | 100° | 184 s | 17.0 ppbV | |||
| Y87595 | 737–800 | 7.3 years | 23 Oct 2019 15:47 | 1 m/s | 90° | 196 s | 15.4 ppbV |
| 21 Oct 2019 16:06 | 2 m/s | 100° | 152 s | 16.8 ppbV | |||
| Y87595 | 737–800 | 2.1 years | 19 Oct 2019 15:53 | 2 m/s | 140° | 180 s | 16.0 ppbV |
| 20 Oct 2019 15:50 | 3 m/s | 150° | 172 s | 18.7 ppbV | |||
| 8L9862 | 320–251N | 1.3 years | 23 Oct 2019 11:25 | 1 m/s | 0° | 192 s | 20.1 ppbV |
| 17 Oct 2019 14:22 | 2 m/s | 330° | 160 s | 22.6 ppbV |
Publisher’s Note: MDPI stays neutral with regard to jurisdictional claims in published maps and institutional affiliations. |
© 2022 by the authors. Licensee MDPI, Basel, Switzerland. This article is an open access article distributed under the terms and conditions of the Creative Commons Attribution (CC BY) license (https://creativecommons.org/licenses/by/4.0/).
Share and Cite
Duan, J.; Qin, M.; Fang, W.; Liao, Z.; Gui, H.; Shi, Z.; Yang, H.; Meng, F.; Shao, D.; Hu, J.; et al. Detection of Aircraft Emissions Using Long-Path Differential Optical Absorption Spectroscopy at Hefei Xinqiao International Airport. Remote Sens. 2022, 14, 3927. https://doi.org/10.3390/rs14163927
Duan J, Qin M, Fang W, Liao Z, Gui H, Shi Z, Yang H, Meng F, Shao D, Hu J, et al. Detection of Aircraft Emissions Using Long-Path Differential Optical Absorption Spectroscopy at Hefei Xinqiao International Airport. Remote Sensing. 2022; 14(16):3927. https://doi.org/10.3390/rs14163927
Chicago/Turabian StyleDuan, Jun, Min Qin, Wu Fang, Zhitang Liao, Huaqiao Gui, Zheng Shi, Haining Yang, Fanhao Meng, Dou Shao, Jiaqi Hu, and et al. 2022. "Detection of Aircraft Emissions Using Long-Path Differential Optical Absorption Spectroscopy at Hefei Xinqiao International Airport" Remote Sensing 14, no. 16: 3927. https://doi.org/10.3390/rs14163927
APA StyleDuan, J., Qin, M., Fang, W., Liao, Z., Gui, H., Shi, Z., Yang, H., Meng, F., Shao, D., Hu, J., Han, B., Xie, P., & Liu, W. (2022). Detection of Aircraft Emissions Using Long-Path Differential Optical Absorption Spectroscopy at Hefei Xinqiao International Airport. Remote Sensing, 14(16), 3927. https://doi.org/10.3390/rs14163927

