Quantifying the Long-Term MODIS Cloud Regime Dependent Relationship between Aerosol Optical Depth and Cloud Properties over China
Abstract
:1. Introduction
2. Data and Methods
2.1. Data
2.2. Methods
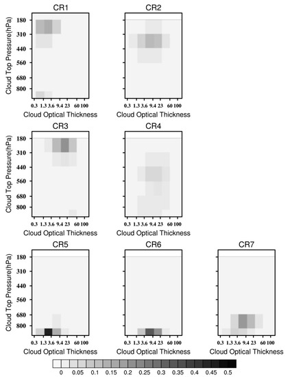
2.2.1. Determination of the Cloud Regimes
2.2.2. The Relationship between Cloud Properties and AOD
2.2.3. Stepwise Multivariable Linear Regression
3. Results
3.1. Cloud Classification over China from 2002 to 2019
3.2. Temporal and Spatial Variation of AOD and Cloud Properties
3.3. Apparent Relationship between AOD and Cloud Properties
3.4. The Relative Contributions of Aerosol and Meteorological Variables to Cloud Variation
4. Conclusions
Supplementary Materials
Author Contributions
Funding
Conflicts of Interest
Nomenclature
| Acronym | Full name |
| ACIs | Aerosol cloud interactions |
| AOD | Aerosol optical depth |
| COT | Cloud optical thickness |
| CRs | Cloud regimes |
| CTP | Cloud top pressure |
| DCCs | Deep convective clouds |
| ECMWF | European Center for Medium-Range Weather Forecasts |
| GPH | Geopotentical height |
| ISCCP | International Satellite Cloud Climatology Project |
| LTS | Low tropospheric stability |
| LWP | Liquid water path |
| MODIS | Moderate-Resolution Imaging Spectroradiometer |
| RFO | Relative frequency of occurrences |
| RH | Relative humidity |
| TCC | Total cloud cover |
| W | Vertical velocity |
References
- Zhang, S.; Wang, M.; Ghan, S.J.; Ding, A.; Fu, C. On the characteristics of aerosol indirect effect based on dynamic regimes in global climate models. Atmos. Chem. Phys. 2016, 16, 23683–23729. [Google Scholar] [CrossRef] [Green Version]
- Li, Z.; Rosenfeld, D.; Fan, J. Aerosols and their Impact on Radiation, Clouds, Precipitation & Severe Weather Events. Oxf. Res. Encycl. Environ. Sci. 2017. [Google Scholar] [CrossRef] [Green Version]
- IPCC; Stocker, T.F.; Qin, D.; Plattner, G.K.; Midgley, P.M. The physical science basis. In Contribution of Working Group I to the Fifth Assessment Report of the Intergovernmental Panel on Climate Change; Cambridge University Press: Cambridge, UK; New York, NY, USA, 2013. [Google Scholar]
- Lohmann, U.; Feichter, J. Global indirect aerosol effects: A review. Atmos. Chem. Phys. 2005, 5, 715–737. [Google Scholar] [CrossRef] [Green Version]
- Rosenfeld, D.; Andreae, M.O.; Asmi, A.; Chin, M.; Quaas, J. Global observations of aerosol-cloud-precipitation-climate interactions. Rev. Geophys. 2014, 52, 750–808. [Google Scholar] [CrossRef] [Green Version]
- Fan, J.; Wang, Y.; Rosenfeld, D.; Liu, X. Review of Aerosol-Cloud Interactions: Mechanisms, Significance and Challenges. J. Atmos. Sci. 2016, 73, 4221–4252. [Google Scholar] [CrossRef]
- Twomey, S. Influence of Pollution on Shortwave Albedo of Clouds. J. Atmos. Sci. 1977, 34, 1149–1152. [Google Scholar] [CrossRef] [Green Version]
- Albrecht, B.A. Aerosols, cloud microphysics, and fractional cloudiness. Science 1989, 245, 1227–1230. [Google Scholar] [CrossRef] [PubMed]
- Borys, R.D.; Lowenthal, D.H.; Cohn, S.A.; Brown, W. Mountaintop and radar measurements of anthropogenic aerosol effects on snow growth and snowfall rate. Geophys. Res. Lett. 2003, 30, 41–45. [Google Scholar] [CrossRef]
- Ovchinnikov, M.; Korolev, A.; Fan, J. Effects of ice number concentration on dynamics of a shallow mixed-phase stratiform cloud. J. Geophys. Res. Atmos. 2011, 116, D00T06. [Google Scholar] [CrossRef] [Green Version]
- Lohmann, U. A glaciation indirect aerosol effect caused by soot aerosols. Geophys. Res. Lett. 2002, 29, 1052. [Google Scholar] [CrossRef]
- Garrett, T.J.; Maestas, M.M.; Krueger, S.K.; Schmidt, C.T. Acceleration by aerosol of a radiative-thermodynamic cloud feedback influencing Arctic surface warming. Geophys. Res. Lett. 2009, 36, 308. [Google Scholar] [CrossRef] [Green Version]
- Lance, S.; Shupe, M.; Feingold, G.; Brock, C.A.; Cozic, J.; Holloway, J.S.; Moore, R.H.; Nenes, A.; Schwarz, J.P.; Spackman, J.R. Cloud condensation nuclei as a modulator of ice processes in Arctic mixed-phase clouds. Atmos. Chem. Phys. 2011, 11, 8003–8015. [Google Scholar] [CrossRef] [Green Version]
- Garrett, T.J.; Zhao, C. Increased Arctic cloud longwave emissivity associated with pollution from mid-latitudes. Nature 2006, 440, 787–789. [Google Scholar] [CrossRef] [PubMed]
- Boer, G.D.; Feingold, G.; Harrington, J.; Shupe, M.; Morrison, H. Resilience of persistent Arctic mixed-phase clouds. Nat. Geosci. 2011, 5, 11–17. [Google Scholar]
- Rosenfeld, D.; Lohmann, U.; Raga, G.B.; O’Dowd, C.D.; Kulmala, M.; Fuzzi, S.; Reissell, A.; Andreae, M.O. Flood or Drought: How Do Aerosols Affect Precipitation? Science 2008, 321, 1309–1313. [Google Scholar] [CrossRef] [Green Version]
- Yuan, T.; Li, Z. General Macro- and Microphysical Properties of Deep Convective Clouds as Observed by MODIS. J. Clim. 2010, 23, 3457–3473. [Google Scholar] [CrossRef] [Green Version]
- Fan, J.; Rosenfeld, D.; Ding, Y.; Leung, L.R.; Li, Z. Potential aerosol indirect effects on atmospheric circulation and radiative forcing through deep convection. Geophys. Res. Lett. 2012, 39, L09806. [Google Scholar] [CrossRef]
- Guo, J.; Deng, M.; Lee, S.S.; Wang, F.; Li, Z.; Zhai, P.; Liu, H.; Lv, W.; Yao, W.; Li, X. Delaying precipitation and lightning by air pollution over the Pearl River Delta. Part I: Observational analyses. J. Geophys. Res. Atmos. 2016, 121, 6472–6488. [Google Scholar] [CrossRef]
- Li, Z.; Wang, Y.; Guo, J.; Zhao, C.; Cribb, M.C.; Dong, X.; Fan, J.; Gong, D.; Huang, J.; Jiang, M.; et al. East Asian Study of Tropospheric Aerosols and their Impact on Regional Clouds, Precipitation, and Climate (EAST-AIRCPC). J. Geophys. Res. Atmos. 2019, 124, 13026–13054. [Google Scholar] [CrossRef] [Green Version]
- Fan, J.; Rosenfeld, D.; Yang, Y.; Zhao, C.; Leung, L.R.; Li, Z. Substantial contribution of anthropogenic air pollution to catastrophic floods in Southwest China. Geophys. Res. Lett. 2015, 42, 6066–6075. [Google Scholar] [CrossRef]
- Niu, F.; Li, Z. Systematic variations of cloud top temperature and precipitation rate with aerosols over the global tropics. Atmos. Chem. Phys. 2012, 12, 8491–8498. [Google Scholar] [CrossRef] [Green Version]
- Qian, Y.; Gong, D.; Fan, J.; Leung, L.R.; Bennartz, R.; Chen, D.; Wang, W. Heavy pollution suppresses light rain in China: Observations and modeling. J. Geophys. Res. 2009, 114, D00K02. [Google Scholar] [CrossRef]
- Li, Z.; Lau, W.; Ramanathan, V.; Wu, G.; Ding, Y.; Manoj, M.; Liu, J.; Qian, Y.; Li, J.; Zhou, T. Aerosol and monsoon climate interactions over Asia. Rev. Geophys. 2016, 54, 866–929. [Google Scholar] [CrossRef]
- Yang, X.; Zhao, C.; Zhou, L.; Wang, Y.; Liu, X. Distinct impact of different types of aerosols on surface solar radiation in China. J. Geophys. Res. Atmos. 2016, 121, 6459–6471. [Google Scholar] [CrossRef]
- Liu, Y.; de Leeuw, G.; Kerminen, V.M.; Zhang, J.; Zhou, P.; Nie, W.; Qi, X.; Hong, J.; Wang, Y.; Ding, A.; et al. Analysis of aerosol effects on warm clouds over the Yangtze River Delta from multi-sensor satellite observations. Atmos. Chem. Phys. 2017, 17, 5623–5641. [Google Scholar] [CrossRef]
- Tang, J.; Wang, P.; Mickley, L.J.; Xia, X.; Liao, H.; Yue, X.; Sun, L.; Xia, J. Positive relationship between liquid cloud droplet effective radius and aerosol optical depth over Eastern China from satellite data. Atmos. Environ. 2014, 84, 244–253. [Google Scholar] [CrossRef]
- Fu, W.; Guo, J.; Wu, Y.; Zhang, X.; Deng, M.; Li, X.; Zhang, J.; Jing, Z. Satellite observed aerosol-induced variability in warm cloud properties under different meteorological conditions over eastern China. Atmos. Environ. 2014, 84, 122–132. [Google Scholar]
- Wang, F.; Guo, J.; Zhang, J.; Huang, J.; Min, M.; Chen, T.; Liu, H.; Deng, M.; Li, X. Multi-sensor quantification of aerosol-induced variability in warm clouds over eastern China. Atmos. Environ. 2015, 113, 1–9. [Google Scholar] [CrossRef]
- Liu, J.; Li, Z. First Surface-based Estimation of the Aerosol Indirect Effect over a Site in Southeastern China. Adv. Atmos. Sci. 2018, 35, 169–181. [Google Scholar] [CrossRef]
- Chen, T.; Guo, J.; Li, Z.; Zhao, C.; He, J. A CloudSat Perspective on the Cloud Climatology and Its Association with Aerosol Perturbations in the Vertical over Eastern China. J. Atmos. Sci. 2016, 73, 3599–3616. [Google Scholar] [CrossRef]
- Yan, H.; Wang, T. Ten Years of Aerosol Effects on Single-Layer Overcast Clouds over the US Southern Great Plains and the China Loess Plateau. Adv. Meteorol. 2020, 73, 1–15. [Google Scholar] [CrossRef]
- Stevens, B.; Feingold, G. Untangling aerosol effects on clouds and precipitation in a buffered system. Nature 2009, 461, 607–613. [Google Scholar] [CrossRef] [PubMed]
- Gryspeerdt, E.; Stier, P.; Grandey, B.S. Cloud fraction mediates the aerosol optical depth-cloud top height relationship. Geophys. Res. Lett. 2014, 41, 3622–3627. [Google Scholar] [CrossRef]
- Gryspeerdt, E.G.; Stier, P.; Partridge, D.G. Satellite observations of cloud regime development: The role of aerosol processes. Atmos. Chem. Phys. 2014, 14, 1141–1158. [Google Scholar] [CrossRef] [Green Version]
- Oreopoulos, L.; Cho, N.; Lee, D. A Global Survey of Apparent Aerosol-Cloud Interaction Signals. J. Geophys. Res. Atmos. 2020, 125, e2019JD031287. [Google Scholar] [CrossRef]
- Leinonen, J.; Lebsock, M.D.; Oreopoulos, L.; Cho, N. Interregional differences in MODIS-derived cloud regimes. J. Geophys. Res. Atmos. 2016, 121, 648–665. [Google Scholar] [CrossRef]
- Oreopoulos, L.; Cho, N.; Lee, D.; Kato, S.; Huffman, G.J. An examination of the nature of global MODIS cloud regimes. J. Geophys. Res. Atmos. 2014, 119, 8362–8383. [Google Scholar] [CrossRef] [Green Version]
- Saide, P.E.; Kim, J.; Song, C.H.; Choi, M.; Cheng, Y.; Carmichael, G.R. Assimilation of next generation geostationary aerosol optical depth retrievals to improve air quality simulations. Geophys. Res. Lett. 2015, 41, 9188–9196. [Google Scholar] [CrossRef]
- Fan, J.; Yuan, T.; Comstock, J.M.; Ghan, S.; Khain, A.; Leung, L.R.; Li, Z.; Martins, V.J.; Ovchinnikov, M. Dominant role by vertical wind shear in regulating aerosol effects on deep convective clouds. J. Geophys. Res. 2009, 114, D22206. [Google Scholar] [CrossRef]
- Anderberg, M.R. Cluster Analysis for Applications: Probability & Mathematical Statistics; Academic Press: New York, NY, USA, 1973; pp. 347–353. [Google Scholar]
- Rossow, W.B.; Tselioudis, G.; Polak, A.; Jakob, C. Tropical climate described as a distribution of weather states indicated by distinct mesoscale cloud property mixtures. Geophys. Res. Lett. 2005, 32, L21812. [Google Scholar] [CrossRef] [Green Version]
- Oreopoulos, L.; Cho, N.; Lee, D.; Kato, S. Radiative effects of global MODIS cloud regimes. J. Geophys. Res. Atmos. 2016, 121, 2299–2317. [Google Scholar] [CrossRef] [PubMed]
- Williams, K.D.; Webb, M.J. A quantitative performance assessment of cloud regimes in climate models. Clim. Dynam. 2008, 33, 141–157. [Google Scholar] [CrossRef]
- Gryspeerdt, E.; Stier, P. Regime-based analysis of aerosol-cloud interactions. Geophys. Res. Lett. 2012, 39, L21802. [Google Scholar] [CrossRef]
- Feingold, G.; Eberhard, W.L.; Veron, D.E.; Previdi, M. First measurements of the Twomey indirect effect using ground-based remote sensors. Geophys. Res. Lett. 2003, 30, 1287. [Google Scholar] [CrossRef] [Green Version]
- Roscow, W.B.; Schiffer, R.A. Advances in understanding clouds from ISCCP. Bull. Am. Meteorol. Soc. 1999, 80, 2261–2288. [Google Scholar] [CrossRef] [Green Version]
- Yang, B.; Xiaojing, W.U.; Guo, Z. The Characteristics of Cloud Properties in Deep Convective Clouds across China with the Cloud Sat Dataset. Plateau Meteorol. 2017, 36, 1655–1664. [Google Scholar] [CrossRef]
- Fan, T.; Liu, X.; Wu, C.; Zhang, Q.; Zhao, C.; Yang, X.; Li, Y. Comparison of the anthropogenic emission inventory for CMIP6 models with a country-level inventory over China and the simulations of the aerosol properties. Adv. Atmos. Sci. 2022, 39, 80–96. [Google Scholar] [CrossRef]
- Liu, X.; Mao, J. Statistical Relation Research between Cloud Liquid Water Content and Cloud Optical Thickness from Multiple Observations. Acta Entiarum Nat. Univ. Pekin. 2008, 44, 115. [Google Scholar] [CrossRef]
- Chuanbo, F.U.; Dan, L.; Feng, J.; Peng, J.; Ying, N. Temporal and Spatial Variations of Total Cloud Amount and Their Possible Relationships with Temperature and Water Vapor over China during 1960 to 2012. Chin. J. Atmos. Sci. 2019, 43, 87–98. [Google Scholar]
- Shi, R.; Wang, T.; Shu, L.I.; Zhuang, B.; Jiang, Z.; Liao, J.; Yin, C. The Spatial and Temporal Characteristics of Aerosol-Cloud-Precipitation Interactions during Summer in East Asia. Chin. J. Atmos. Sci. 2015, 39, 12–22. [Google Scholar]
- Koren, I.; Kaufman, Y.J.; Rosenfeld, D.; Remer, L.A.; Rudich, Y. Aerosol invigoration and restructuring of Atlantic convective clouds. Geophys. Res. Lett. 2005, 32, L14828. [Google Scholar] [CrossRef] [Green Version]
- Koren, I.; Feingold, G.; Remer, L.A. The invigoration of deep convective clouds over the Atlantic: Aerosol effect, meteorology or retrieval artifact? Atmos. Chem. Phys. 2010, 10, 8855–8872. [Google Scholar] [CrossRef] [Green Version]
- Huang, J.; Minnis, P.; Lin, B.; Wang, T.; Yi, Y.; Hu, Y.; Sunmack, S.; Ayers, K. Possible influences of Asian dust aerosols on cloud properties and radiative forcing observed from MODIS and CERES. Geophys. Res. Lett. 2006, 33, L06824. [Google Scholar] [CrossRef] [Green Version]
- Pincus, R.; Baker, M.B. Effect of precipitation on the albedo susceptibility of clouds in the marine boundary layer. Nature 1994, 372, 250–252. [Google Scholar] [CrossRef]
- Kang, F. A Numerical Study of Effects of Mineral Dust Particles on Cloud and Precipitation in the Northwest China. Meteorol. Mon. 2009. [Google Scholar] [CrossRef]
- Toll, V.; Christensen, M.; Quaas, J.; Bellouin, N. Weak average liquid-cloud-water response to anthropogenic aerosols. Nature 2019, 572, 51–55. [Google Scholar] [CrossRef]
- Quaas, J.; Ming, Y.; Menon, S.; Takemura, T.; Wang, M.; Penner, J.E.; Gettelman, A.; Lohmann, U.; Bellouin, N.; Boucher, O.; et al. Aerosol indirect effects—General circulation model intercomparison and evaluation with satellite data. Atmos. Chem. Phys. 2009, 9, 8697–8717. [Google Scholar] [CrossRef] [Green Version]
- Grandey, B.S.; Stier, P.; Wagner, T.M. Investigating relationships between aerosol optical depth and cloud fraction using satellite, aerosol reanalysis and general circulation model data. Atmos. Chem. Phys. 2013, 13, 3177–3184. [Google Scholar] [CrossRef] [Green Version]
- Engström, A.; Ekman, A. Impact of meteorological factors on the correlation between aerosol optical depth and cloud fraction. Geophys. Res. Lett. 2010, 37, L18814. [Google Scholar] [CrossRef]
- Huang, J.; Hsu, C.; Tsay, S.; Jeong, M.; Holben, B.N.; Berkoff, T.A.; Welton, E.J. Susceptibility of aerosol optical thickness retrievals to thin cirrus contamination during the BASE-ASIA campaign. J. Geophys. Res. Atmos. 2011, 116, D08214. [Google Scholar] [CrossRef]
- Várnai, T.; Marshak, A. MODIS observations of enhanced clear sky reflectance near clouds. Geophys. Res. Lett. 2009, 36, L06807. [Google Scholar] [CrossRef]
- Quaas, J.; Stevens, B.; Stier, P.; Lohmann, U. Interpreting the cloud cover–Aerosol optical depth relationship found in satellite data using a general circulation model. Atmos. Chem. Phys. 2010, 10, 6129–6135. [Google Scholar] [CrossRef] [Green Version]
- L’Ecuyer, T.S.; Hang, Y.; Matus, A.V.; Wang, Z. Reassessing the Effect of Cloud Type on Earth’s Energy Balance in the Age of Active Spaceborne Observations. Part I: Top of Atmosphere and Surface. J. Clim. 2019, 32, 6197–6217. [Google Scholar] [CrossRef] [Green Version]











| CR | COT (/) | CTP (hPa) | TCC (%) | LWP(g/m2) | Description |
|---|---|---|---|---|---|
| 1 | 5.0 | 438.6 | 50.0 | 85.8 | Cirrostratus with low LWP and TCC |
| 2 | 7.1 | 428.9 | 91.9 | 130.1 | Cirrostratus with high LWP and TCC |
| 3 | 17.4 | 323.0 | 98.3 | 295.7 | Cirrostrats (ISCCP defination), but contains deep convection cloud in the lower reach of YRD, and low-level stratocumulus over TP |
| 4 | 13.9 | 626.6 | 87.8 | 178.7 | Altostratus (ISCCP definatiion), with CTP span a wide range from surface to 400 hpa, |
| 5 | 6.5 | 727.7 | 29.0 | 74.3 | Stratocumulus (ISCCP defination) |
| 6 | 3.9 | 885.3 | 91.1 | 50.8 | Stratocumulus with high TCC |
| 7 | 7.0 | 749.8 | 74.3 | 94.8 | Stratocumulus with high LWP |
| Sensitivity | CR1 | CR2 | CR3 | CR4 | CR5 | CR6 | CR7 | |
|---|---|---|---|---|---|---|---|---|
| bTCC | West | 0.591 | 0.515 | 0.559 | 0.506 | 0.649 | 0.818 | 0.591 |
| East | 0.817 | 0.750 | 0.717 | 0.685 | 0.770 | 0.925 | 0.734 | |
| bCTP | West | −0.077 | −0.086 | −0.074 | −0.086 | −0.077 | −0.027 | −0.089 |
| East | −0.048 | −0.080 | −0.066 | −0.054 | −0.040 | −0.012 | −0.101 | |
| West | East | |||||||
|---|---|---|---|---|---|---|---|---|
| CR | Linear Regression Coefficient β | Standardized Partial Regression Coefficient βm | Change | Major Meteor. Factors | Linear Regression Coefficient β | Standardized Partial Regression Coefficient βm | Change | Major Factors |
| CTP | ||||||||
| 1 | −0.086 * | −0.022 | ↓ | W1000 RH500 | 0.027 * | 0.048 | ↑ | RH200 RH500 |
| 2 | −0.095 * | −0.015 | ↓ | GPH500 W1000 | −0.006 * | 0.041 | ↔ | RH200 RH500 |
| 3 | −0.071 * | −0.020 | ↓ | GPH700 GH500 | 0.017 * | 0.036 | ↑ | RH200 W1000 |
| 4 | −0.098 * | - | - | GPH850 GPH1000 | 0.022 * | 0.028 | ↑ | W1000 RH200 |
| 5 | −0.144 * | - | - | GPH850 GPH1000 | −0.017 * | 0.032 | ↑ | RH200 GPH700 |
| 6 | −0.117 * | - | - | GPH850 GPH1000 | −0.085 | 0.049 | ↔ | GPH700 GPH500 |
| 7 | −0.113 * | - | - | GPH850 GPH700 | 0.002 | 0.027 | ↑ | RH200 RH500 |
| TCC | ||||||||
| West | East | |||||||
| 1 | 0.321 * | 0.276 | ↓ | T850 AOD | 0.527 * | 0.347 | ↓ | AOD GH700 |
| 2 | 0.301 * | 0.248 | ↓ | W1000 AOD | 0.503 * | 0.339 | ↓ | AOD GPH850 |
| 3 | 0.348 * | 0.276 | ↓ | AOD W1000 | 0.477 * | 0.322 | ↓ | AOD GPH850 |
| 4 | 0.343 * | 0.246 | ↓ | GPH700 GPH500 | 0.479 * | 0.318 | ↓ | GPH700 GH850 |
| 5 | 0.276 * | 0.251 | ↓ | GPH700 GPH500 | 0.503 * | 0.340 | ↓ | AOD GPH500 |
| 6 | 0.307 * | 0.254 | ↓ | GPH1000 GPH850 | 0.508 * | 0.364 | ↓ | GPH700 GPH850 |
| 7 | 0.290 * | 0.228 | ↓ | GPH1000 GPH850 | 0.466 * | 0.314 | ↓ | GPH700 GPH850 |
Publisher’s Note: MDPI stays neutral with regard to jurisdictional claims in published maps and institutional affiliations. |
© 2022 by the authors. Licensee MDPI, Basel, Switzerland. This article is an open access article distributed under the terms and conditions of the Creative Commons Attribution (CC BY) license (https://creativecommons.org/licenses/by/4.0/).
Share and Cite
Li, Y.; Fan, T.; Zhao, C.; Yang, X.; Zhou, P.; Li, K. Quantifying the Long-Term MODIS Cloud Regime Dependent Relationship between Aerosol Optical Depth and Cloud Properties over China. Remote Sens. 2022, 14, 3844. https://doi.org/10.3390/rs14163844
Li Y, Fan T, Zhao C, Yang X, Zhou P, Li K. Quantifying the Long-Term MODIS Cloud Regime Dependent Relationship between Aerosol Optical Depth and Cloud Properties over China. Remote Sensing. 2022; 14(16):3844. https://doi.org/10.3390/rs14163844
Chicago/Turabian StyleLi, Yanglian, Tianyi Fan, Chuanfeng Zhao, Xin Yang, Ping Zhou, and Keying Li. 2022. "Quantifying the Long-Term MODIS Cloud Regime Dependent Relationship between Aerosol Optical Depth and Cloud Properties over China" Remote Sensing 14, no. 16: 3844. https://doi.org/10.3390/rs14163844
APA StyleLi, Y., Fan, T., Zhao, C., Yang, X., Zhou, P., & Li, K. (2022). Quantifying the Long-Term MODIS Cloud Regime Dependent Relationship between Aerosol Optical Depth and Cloud Properties over China. Remote Sensing, 14(16), 3844. https://doi.org/10.3390/rs14163844

