Low-Complexity One-Bit DOA Estimation for Massive ULA with a Single Snapshot
Abstract
:1. Introduction
2. One-Bit Signal Model
3. Proposed Method
3.1. DFT
3.2. Covariance Matrix Analysis after One-Bit Quantization
3.3. One-Bit DFT
3.4. Precise Estimation
| Algorithm 1 One-bit DFT. | 
| Input: One-bit quantized data vector , number of signals K, and number of grids J. | 
| Output: . | 
| (1) Construct DFT matrix ; | 
| (2) Find the K largest peaks of , and obtain the initial DOA estimate according to Equation (22); | 
| (3) Construct the phase rotation set, and obtain the optimal offset phase from Equation (26); | 
| (4) Use Equation (25), precise estimates of can be obtained. | 
3.5. Expand to Multiple Snapshot Scenarios
3.6. Performance Analysis
3.7. Computational Complexity Analysis
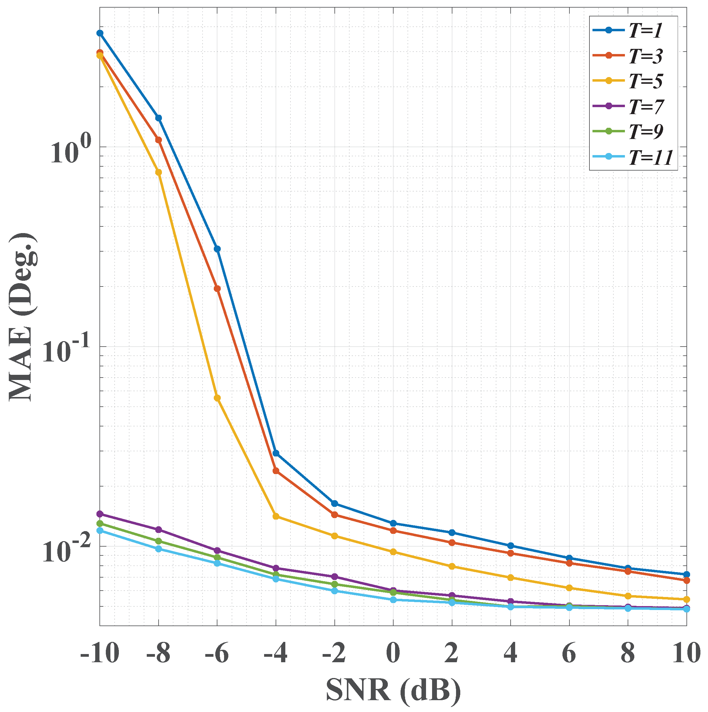
4. Simulation and Results Analysis
5. Conclusions
Author Contributions
Funding
Institutional Review Board Statement
Informed Consent Statement
Data Availability Statement
Conflicts of Interest
Abbreviations
| DOA | Direction of arrival; | 
| MULA | Massive uniform linear arrays; | 
| DFT | Discrete Fourier transform; | 
| Gr-SBL | Generalized sparse Bayesian learning; | 
| one-bit AN | One-bit quantization based on atomic norm minimization; | 
| Modulo operator; | |
| Real part; | |
| Imaginary part; | |
| Expectation; | |
| -th element of matrix ; | |
| q-th row of matrix ; | |
| q-th element of vector ; | |
| Diagonal operator. | 
References
- Luo, J.; Zhang, Y.; Yang, J.; Zhang, D.; Zhang, Y.; Zhang, Y.; Huang, Y.; Jakobsson, A. Online Sparse DOA Estimation Based on Sub–Aperture Recursive LASSO for TDM–MIMO Radar. Remote Sens. 2022, 14, 2133. [Google Scholar] [CrossRef]
- Wang, H.; Wang, J.; Jiang, J.; Liao, K.; Xie, N. Target Detection and DOA Estimation for Passive Bistatic Radar in the Presence of Residual Interference. Remote Sens. 2022, 14, 1044. [Google Scholar] [CrossRef]
- Lai, Y.; Zhou, H.; Zeng, Y.; Wen, B. Quantifying and reducing the DOA estimation error resulting from antenna pattern deviation for direction-finding HF radar. Remote Sens. 2017, 9, 1285. [Google Scholar] [CrossRef] [Green Version]
- Ma, T.; Du, J.; Shao, H. A Nyström-Based Low-Complexity Algorithm with Improved Effective Array Aperture for Coherent DOA Estimation in Monostatic MIMO Radar. Remote Sens. 2022, 14, 2646. [Google Scholar] [CrossRef]
- Liao, K.; Yu, Z.; Xie, N.; Jiang, J. Joint Estimation of Azimuth and Distance for Far-Field Multi Targets Based on Graph Signal Processing. Remote Sens. 2022, 14, 1110. [Google Scholar] [CrossRef]
- Liu, L.; Rao, Z. An Adaptive Lp Norm Minimization Algorithm for Direction of Arrival Estimation. Remote Sens. 2022, 14, 766. [Google Scholar] [CrossRef]
- Ge, S.; Fan, C.; Wang, J.; Huang, X. Robust adaptive beamforming based on sparse Bayesian learning and covariance matrix reconstruction. IEEE Commun. Lett. 2022; Early Access. [Google Scholar] [CrossRef]
- Xiong, C.; Fan, C.; Huang, X. Time Reversal Linearly Constrained Minimum Power Algorithm for Direction of Arrival Estimation in Diffuse Multipath Environments. Remote Sens. 2020, 12, 3344. [Google Scholar] [CrossRef]
- Mao, Z.; Liu, S.; Qin, S.; Huang, Y. Cramér-Rao Bound of Joint DOA-Range Estimation for Coprime Frequency Diverse Arrays. Remote Sens. 2022, 14, 583. [Google Scholar] [CrossRef]
- Cheng, Z.; Tao, M.; Kam, P.Y. Channel path identification in mmWave systems with large-scale antenna arrays. IEEE Trans. Commun. 2020, 68, 5549–5562. [Google Scholar] [CrossRef]
- Li, Q.; Su, T.; Wu, K. Accurate DOA estimation for large-scale uniform circular array using a single snapshot. IEEE Commun. Lett. 2019, 23, 302–305. [Google Scholar] [CrossRef]
- Dai, Z.; Su, W.; Gu, H. A gain and phase autocalibration approach for large-scale planar antenna arrays. IEEE Commun. Lett. 2020, 25, 1645–1649. [Google Scholar] [CrossRef]
- Gong, Z.; Wu, L.; Zhang, Z.; Dang, J.; Zhu, B.; Jiang, H.; Li, G.Y. Joint TOA and DOA estimation with CFO compensation using large-scale array. IEEE Trans. Signal Process. 2021, 69, 4204–4218. [Google Scholar] [CrossRef]
- Zheng, W.; Zhang, X.; Wang, Y.; Zhou, M.; Wu, Q. Extended coprime array configuration generating large-scale antenna co-array in massive MIMO system. IEEE Trans. Veh. Technol. 2019, 68, 7841–7853. [Google Scholar] [CrossRef]
- Cao, R.; Liu, B.; Gao, F.; Zhang, X. A low-complex one-snapshot DOA estimation algorithm with massive ULA. IEEE Commun. Lett. 2017, 21, 1071–1074. [Google Scholar] [CrossRef]
- Li, B.; Zhang, X.; Li, J.; Ma, P. DOA Estimation of Non-Circular Source for Large Uniform Linear Array With a Single Snapshot: Extended DFT Method. IEEE Commun. Lett. 2021, 25, 3843–3847. [Google Scholar] [CrossRef]
- Liu, Y.; Hou, L.; Shen, Q.; Lv, C.; Na, S.; Qiu, T. Beamspace U-ESPRIT DOA Estimation Algorithm of Coherently Distributed Sources in Massive MIMO Systems. In Proceedings of the 2020 12th International Conference on Advanced Computational Intelligence (ICACI), Dali, China, 14–16 March 2020; pp. 126–132. [Google Scholar]
- Shafin, R.; Liu, L.; Zhang, J.; Wu, Y.C. DoA estimation and capacity analysis for 3-D millimeter wave massive-MIMO/FD-MIMO OFDM systems. IEEE Trans. Wirel. Commun. 2016, 15, 6963–6978. [Google Scholar] [CrossRef]
- Walden, R.H. Analog-to-digital converter survey and analysis. IEEE J. Sel. Areas Commun. 1999, 17, 539–550. [Google Scholar] [CrossRef] [Green Version]
- Wang, S.; Li, Y.; Wang, J. Multiuser detection in massive spatial modulation MIMO with low-resolution ADCs. IEEE Trans. Wirel. Commun. 2014, 14, 2156–2168. [Google Scholar] [CrossRef]
- Mo, J.; Alkhateeb, A.; Abu-Surra, S.; Heath, R.W. Hybrid architectures with few-bit ADC receivers: Achievable rates and energy-rate tradeoffs. IEEE Trans. Wirel. Commun. 2017, 16, 2274–2287. [Google Scholar] [CrossRef]
- Roth, K.; Nossek, J.A. Achievable rate and energy efficiency of hybrid and digital beamforming receivers with low resolution ADC. IEEE J. Sel. Areas Commun. 2017, 35, 2056–2068. [Google Scholar] [CrossRef] [Green Version]
- Zhi, K.; Pan, C.; Ren, H.; Wang, K. Uplink achievable rate of intelligent reflecting surface-aided millimeter-wave communications with low-resolution ADC and phase noise. IEEE Wirel. Commun. Lett. 2020, 10, 654–658. [Google Scholar] [CrossRef]
- Choi, J.; Sung, J.; Prasad, N.; Qi, X.F.; Evans, B.L.; Gatherer, A. Base station antenna selection for low-resolution ADC systems. IEEE Trans. Commun. 2019, 68, 1951–1965. [Google Scholar] [CrossRef]
- Li, Y.; Tao, C.; Seco-Granados, G.; Mezghani, A.; Swindlehurst, A.L.; Liu, L. Channel estimation and performance analysis of one-bit massive MIMO systems. IEEE Trans. Signal Process. 2017, 65, 4075–4089. [Google Scholar] [CrossRef]
- Jeon, Y.S.; Lee, N.; Hong, S.N.; Heath, R.W. One-bit sphere decoding for uplink massive MIMO systems with one-bit ADCs. IEEE Trans. Wirel. Commun. 2018, 17, 4509–4521. [Google Scholar] [CrossRef] [Green Version]
- Jeon, Y.S.; Lee, N.; Poor, H.V. Robust data detection for MIMO systems with one-bit ADCs: A reinforcement learning approach. IEEE Trans. Wirel. Commun. 2019, 19, 1663–1676. [Google Scholar] [CrossRef]
- Kong, C.; Mezghani, A.; Zhong, C.; Swindlehurst, A.L.; Zhang, Z. Multipair massive MIMO relaying systems with one-bit ADC s and DAC s. IEEE Trans. Signal Process. 2018, 66, 2984–2997. [Google Scholar] [CrossRef] [Green Version]
- Khalili, A.; Shirani, F.; Erkip, E.; Eldar, Y.C. MIMO Networks with One-Bit ADCs: Receiver Design and Communication Strategies. IEEE Trans. Commun. 2021, 70, 1580–1594. [Google Scholar] [CrossRef]
- Cheng, Z.; He, Z.; Liao, B. Target detection performance of collocated MIMO radar with one-bit ADCs. IEEE Signal Process. Lett. 2019, 26, 1832–1836. [Google Scholar] [CrossRef]
- Stöckle, C.; Munir, J.; Mezghani, A.; Nossek, J.A. 1-bit direction of arrival estimation based on compressed sensing. In Proceedings of the IEEE 16th International Workshop Signal Processing Advances in Wireless Communications, Stockholm, Sweden, 28 June–1 July 2015; pp. 246–250. [Google Scholar]
- Meng, X.; Zhu, J. A generalized sparse Bayesian learning algorithm for 1-bit DOA estimation. IEEE Commun. Lett. 2018, 22, 1414–1417. [Google Scholar] [CrossRef]
- Huang, X.; Liao, B. One-bit MUSIC. IEEE Signal Process. Lett. 2019, 26, 961–965. [Google Scholar] [CrossRef] [Green Version]
- Wei, Z.; Wang, W.; Dong, F.; Liu, Q. Gridless one-bit direction-of-arrival estimation via atomic norm denoising. IEEE Commun. Lett. 2020, 24, 2177–2181. [Google Scholar] [CrossRef]
- Li, Z.; Shi, J.; Wang, X.; Wen, F. Joint angle and frequency estimation using one-bit measurements. Sensors 2019, 19, 5422. [Google Scholar] [CrossRef] [PubMed] [Green Version]
- Li, J.; Ma, P.; Zhang, X.; Zhao, G. Improved DFT algorithm for 2D DOA estimation based on 1D nested array motion. IEEE Commun. Lett. 2020, 24, 1953–1956. [Google Scholar] [CrossRef]
- Huang, Z.; Wang, W.; Dong, F.; Wang, D. A one-snapshot localization algorithm for mixed far-field and near-field sources. IEEE Commun. Lett. 2020, 24, 1010–1014. [Google Scholar] [CrossRef]
- Xie, H.; Gao, F.; Zhang, S.; Jin, S. A unified transmission strategy for TDD/FDD massive MIMO systems with spatial basis expansion model. IEEE Trans. Veh. Technol. 2016, 66, 3170–3184. [Google Scholar] [CrossRef]
- Van Vleck, J.H.; Middleton, D. The spectrum of clipped noise. Proc. IEEE 1966, 54, 2–19. [Google Scholar] [CrossRef]
- Jacovitti, G.; Neri, A. Estimation of the autocorrelation function of complex Gaussian stationary processes by amplitude clipped signals. IEEE Trans. Inf. Theory. 1994, 40, 239–245. [Google Scholar] [CrossRef]
- Xiao, P.; Liao, B.; Deligiannis, N. Deepfpc: A deep unfolded network for sparse signal recovery from 1-bit measurements with application to doa estimation. Signal Process. 2020, 176, 107699. [Google Scholar] [CrossRef]
- Liu, Y.; Zhang, Z.; Zhou, C.; Yan, C.; Shi, Z. Robust Variational Bayesian Inference for Direction-of-Arrival Estimation with Sparse Array. IEEE Trans. Veh. Technol. 2022; Early Access. [Google Scholar] [CrossRef]








| 337 | 455 | 127 | 217 | |||||
| 675 | 910 | 255 | 434 | |||||
| 3373 | 4550 | 1273 | 2170 | |||||
| 10,000 | 6745 | 9100 | 2546 | 4341 | ||||
| Publisher’s Note: MDPI stays neutral with regard to jurisdictional claims in published maps and institutional affiliations. | 
© 2022 by the authors. Licensee MDPI, Basel, Switzerland. This article is an open access article distributed under the terms and conditions of the Creative Commons Attribution (CC BY) license (https://creativecommons.org/licenses/by/4.0/).
Share and Cite
Ge, S.; Fan, C.; Wang, J.; Huang, X. Low-Complexity One-Bit DOA Estimation for Massive ULA with a Single Snapshot. Remote Sens. 2022, 14, 3436. https://doi.org/10.3390/rs14143436
Ge S, Fan C, Wang J, Huang X. Low-Complexity One-Bit DOA Estimation for Massive ULA with a Single Snapshot. Remote Sensing. 2022; 14(14):3436. https://doi.org/10.3390/rs14143436
Chicago/Turabian StyleGe, Shaodi, Chongyi Fan, Jian Wang, and Xiaotao Huang. 2022. "Low-Complexity One-Bit DOA Estimation for Massive ULA with a Single Snapshot" Remote Sensing 14, no. 14: 3436. https://doi.org/10.3390/rs14143436
APA StyleGe, S., Fan, C., Wang, J., & Huang, X. (2022). Low-Complexity One-Bit DOA Estimation for Massive ULA with a Single Snapshot. Remote Sensing, 14(14), 3436. https://doi.org/10.3390/rs14143436
 
         
                                                

 
       