Evaluation of Performance of Three Satellite-Derived Precipitation Products in Capturing Extreme Precipitation Events over Beijing, China
Abstract
:1. Introduction
2. Study Area and Data
2.1. Study Area
2.2. Datasets
2.2.1. Satellite-Derived Precipitation Products
2.2.2. Rainfall Station Data
3. Methods
3.1. Quantitative Index
3.2. Classification Scoring Index
3.3. Extreme Precipitation Index
3.4. Structural Similarity Index
4. Results
4.1. Performance of Daily Satellite-Derived Precipitation Products
4.1.1. Accuracy Evaluation of Precipitation Data
4.1.2. Evaluation of Precipitation Capture Capability
4.2. Capability for Identification of Extreme Precipitation
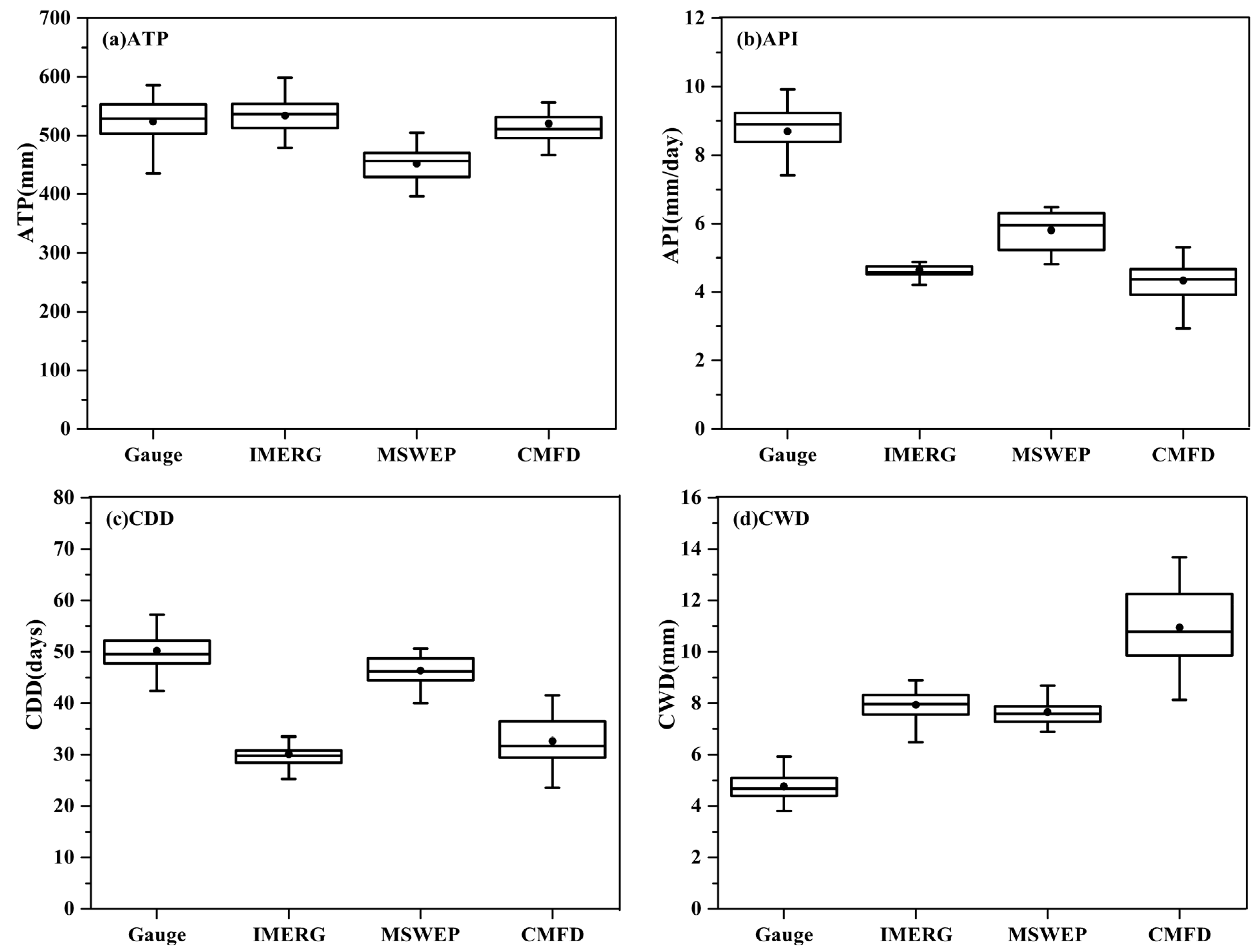
4.2.1. Total Indices and Persistent Indices
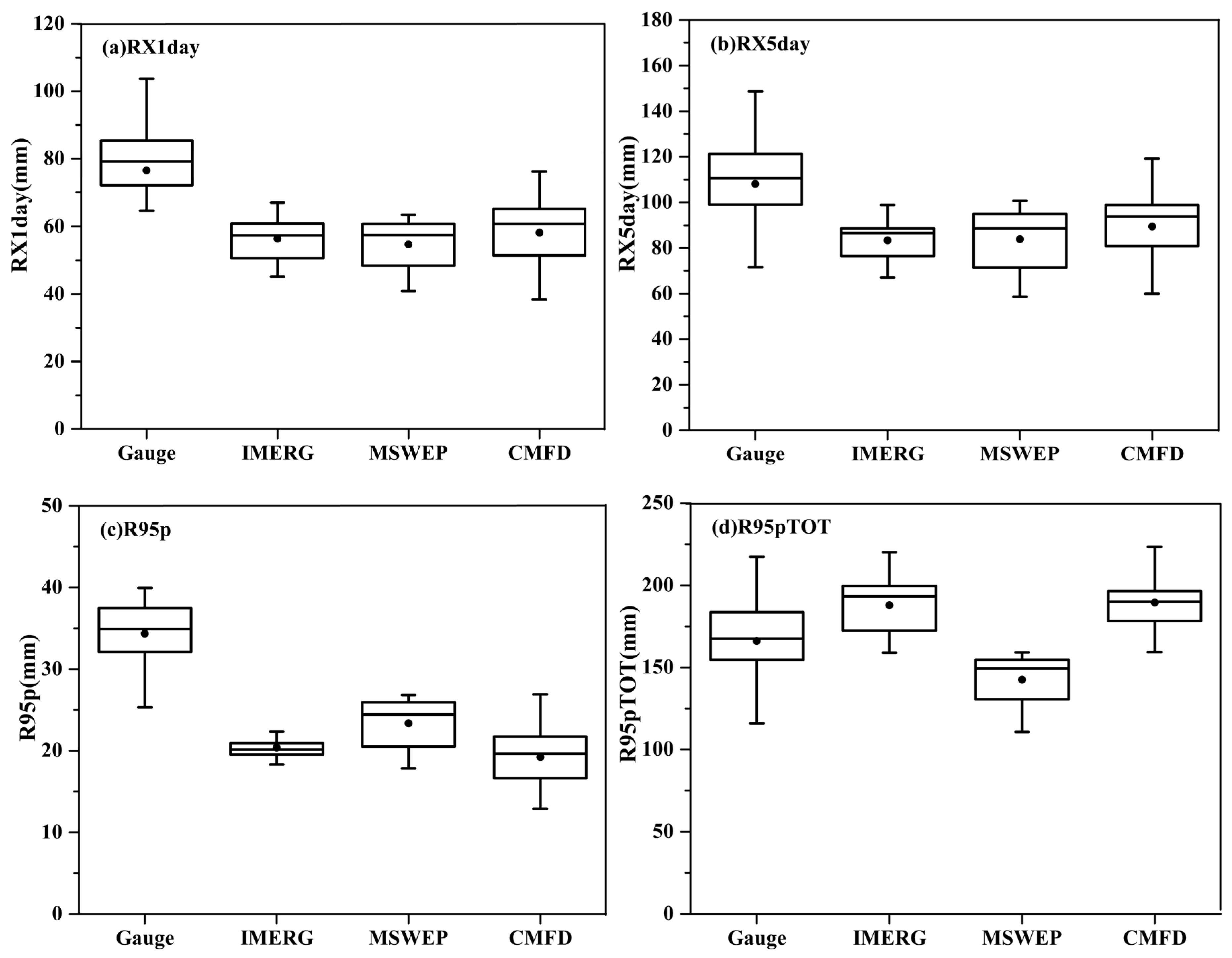
4.2.2. Percentile and Max Indices
4.2.3. Absolute Threshold Indices
4.3. Spatial Comparison Statistics of Extreme Rainstorms
5. Discussion
6. Conclusions
Author Contributions
Funding
Data Availability Statement
Acknowledgments
Conflicts of Interest
References
- Gencer, E.A. Natural disasters, urban vulnerability, and risk management: A theoretical overview. Interplay Urban Dev. Vulnerability Risk Manag. Mediterr. Stud. 2013, 7, 7–43. [Google Scholar]
- Wang, D.; Wang, D.; Qi, X.; Liu, L.; Wang, X. Use of high-resolution precipitation observations in quantifying the effect of urban extent on precipitation characteristics for different climate conditions over the Pearl River Delta, China. Atmos. Sci. Lett. 2018, 19, 820. [Google Scholar] [CrossRef]
- Shastri, H.; Paul, S.; Ghosh, S.; Karmakar, S. Impacts of urbanization on Indian summer monsoon rainfall extremes. J. Geophys. Res. Atmos. 2015, 120, 496–516. [Google Scholar] [CrossRef]
- Zhu, X.; Zhang, Q.; Sun, P.; Singh, V.P.; Shi, P.; Song, C. Impact of urbanization on hourly precipitation in Beijing, China: Spatiotemporal patterns and causes. Glob. Planet. Chang. 2019, 172, 307–324. [Google Scholar] [CrossRef]
- Rahimpour, G.V.; Zeng, Y.; Mannaerts, C.M.; Su, Z. Detecting the effect of urban land use on extreme precipitation in the Netherlands. Weather Clim. Extrem. 2017, 17, 36–46. [Google Scholar] [CrossRef]
- Li, X.; Hu, Q.; Lupo, A.R. Spatiotemporal changes in extreme precipitation and its dependence on topography over the Poyang Lake Basin, China. Adv. Meteorol. 2019, 2019, 1253932. [Google Scholar] [CrossRef] [Green Version]
- AghaKouchak, A. Evaluation of satellite-retrieved extreme precipitation rates across the central United States. J. Geophys. Res. 2011, 116, D02115. [Google Scholar] [CrossRef]
- Cai, Y.; Jin, C.; Wang, A.; Guan, D.; Wu, J.; Yuan, F.; Xu, L. Comprehensive precipitation evaluation of TRMM 3B42 with dense rain gauge networks in a mid-latitude basin, northeast, China. Theor. Appl. Climatol. 2015, 126, 659–671. [Google Scholar] [CrossRef]
- Tang, G.; Ma, Y.; Long, D.; Zhong, L.; Hong, Y. Evaluation of GPM Day-1 IMERG and TMPA Version-7 legacy products over Mainland China at multiple spatiotemporal scales. J. Hydrol. 2016, 533, 152–167. [Google Scholar] [CrossRef]
- Mahmoud, M.T.; Hamouda, M.A.; Mohamed, M.M. Spatiotemporal evaluation of the GPM satellite precipitation products over the United Arab Emirates. Atmos. Res. 2019, 219, 200–212. [Google Scholar] [CrossRef]
- Keigler, J.E.; Krawitz, L. Weather radar observations from an Earth satellite. J. Geophys. Res. 1960, 65, 2793–2808. [Google Scholar] [CrossRef]
- Tian, Y.; Christa, D.P.L.; Eylander, J.B.; Joyce, R.J.; Huffman, G.J.; Adler, R.F.; Hsu, K.-L.; Turk, F.J.; Garcia, M.; Zeng, J. Component analysis of errors in satellite-based precipitation estimates. J. Geophys. Res. 2009, 114, D24101. [Google Scholar] [CrossRef] [Green Version]
- Jiang, D.; Zhang, H.; Li, R. Performance evaluation of TMPA version 7 estimates for precipitation and its extremes in Circum-Bohai-Sea region, China. Theor. Appl. Climatol. 2017, 130, 1021–1033. [Google Scholar] [CrossRef]
- Huffman, G.J.; Adler, R.F.; Bolvin, D.T.; Nelkin, E.J. The TRMM multi-satellite precipitation analysis (TMPA). In Satellite Rainfall Applications for Surface Hydrology; Springer: Dordrecht, The Netherlands, 2010; pp. 3–22. [Google Scholar]
- Sahoo, A.K.; Sheffield, J.; Pan, M.; Wood, E.F. Evaluation of the tropical rainfall measuring mission multi-satellite precipitation analysis (TMPA) for assessment of large-scale meteorological drought. Remote Sens. Environ. 2015, 159, 181–193. [Google Scholar] [CrossRef]
- Joyce, R.J.; Xie, P.; Yarosh, Y.; Janowiak, J.E.; Arkin, P.A. CMORPH: A “Morphing” Approach for High Resolution Precipitation Product Generation; Springer: Dordrecht, The Netherlands, 2010; pp. 23–37. [Google Scholar]
- Joyce, R.; Janowiak, J.E.; Arkin, P.A.; Xie, P. CMORPH: A method that produces Global precipitation estimates from passive microwave and infrared data at high spatial and temporal resolution. J. Hydrometeorol. 2004, 5, 487–503. [Google Scholar] [CrossRef]
- Haile, A.T.; Yan, F.; Habib, E. Accuracy of the CMORPH satellite-rainfall product over Lake Tana Basin in Eastern Africa. Atmos. Res. 2015, 163, 177–187. [Google Scholar] [CrossRef] [Green Version]
- Sun, S.; Zhou, S.; Shen, H.; Chai, R.; Chen, H.; Liu, Y.; Shi, W.; Wang, J.; Wang, G.; Zhou, Y. Dissecting performances of PERSIANN-CDR precipitation product over Huai River Basin, China. Remote Sens. 2019, 11, 1805. [Google Scholar] [CrossRef] [Green Version]
- Sorooshian, S.; Kuo, L.; Hsu, K.L. Evaluation of PERSIANN system satellite-based estimates of tropical rainfall. Bull. Am. Meteorol. Soc. 2000, 81, 2035–2046. [Google Scholar] [CrossRef] [Green Version]
- Ashouri, H.; Hsu, K.L.; Sorooshian, S.; Braithwaite, D.K.; Knapp, K.R.; Cecil, L.D.; Nelson, B.R.; Prat, O.P. PERSIANN-CDR: Daily precipitation climate data record from multisatellite observations for hydrological and climate studies. Bull. Am. Meteorol. Soc. 2015, 96, 69–83. [Google Scholar] [CrossRef] [Green Version]
- Wang, Z.; Zhong, R.D.; Lai, C.G.; Chen, J.C. Evaluation of the GPM IMERG satellite-based precipitation products and the hydrological utility. Atmos. Res. 2017, 196, 151–163. [Google Scholar] [CrossRef]
- Arshad, M.; Ma, X.; Yin, J.; Ullah, W.; Ali, G.; Ullah, S.; Liu, M.; Shahzaman, M.; Ullah, I. Evaluation of GPM-IMERG and TRMM-3B42 precipitation products over Pakistan. Atmos. Res. 2021, 249, 105341. [Google Scholar] [CrossRef]
- Sungmin, O.; Kirstetter, P. Evaluation of diurnal variation of GPM IMERG-derived summer precipitation over the contiguous US using MRMS data. Q. J. R. Meteorol. Soc. 2018, 144, 270–281. [Google Scholar]
- Xie, P.; Yatagai, A.; Chen, M.; Hayasaka, T.; Fukushima, Y.; Liu, C.; Yang, S. A gauge-based analysis of daily precipitation over East Asia. J. Hydrometeorol. 2007, 8, 607–626. [Google Scholar] [CrossRef]
- Jiang, S.; Ren, L.; Yang, H.; Yong, B.; Yang, X.; Fei, Y.; Ma, M. Comprehensive evaluation of multi-satellite precipitation products with a dense rain gauge network and optimally merging their simulated hydrological flows using the Bayesian model averaging method. J. Hydrol. 2012, 452–453, 213–225. [Google Scholar] [CrossRef]
- Tan, M.L.; Santo, H. Comparison of GPM IMERG, TMPA 3B42 and PERSIANN-CDR satellite precipitation products over Malaysia. Atmos. Res. 2018, 202, 63–76. [Google Scholar] [CrossRef]
- Yang, Y.; Tang, J.; Xiong, Z.; Dong, X. Evaluation of high-resolution gridded precipitation data in arid and semiarid regions: Heihe River Basin, Northwest China. J. Hydrometeorol. 2017, 18, 3075–3101. [Google Scholar] [CrossRef]
- Liu, J.; Xia, J.; She, D.; Li, L.; Wang, Q.; Zou, L. Evaluation of six satellite-based precipitation products and their ability for capturing characteristics of extreme precipitation events over a climate transition area in China. Remote Sens. 2019, 11, 1477. [Google Scholar] [CrossRef] [Green Version]
- Keikhosravi Kiany, M.S.; Masoodian, S.A.; Balling Jr, R.C.; Montazeri, M. Evaluation of the TRMM 3B42 product for extreme precipitation analysis over southwestern Iran. Adv. Space Res. 2020, 66, 2094–2112. [Google Scholar] [CrossRef]
- Chen, C.; Li, Z.; Song, Y.; Duan, Z.; Mo, K.; Wang, Z.; Chen, Q. Performance of multiple satellite precipitation estimates over a typical arid mountainous area of China: Spatiotemporal patterns and extremes. J. Hydrometeorol. 2020, 21, 533–550. [Google Scholar] [CrossRef]
- Wang, D.; Wang, X.; Liu, L.; Wang, D.; Huang, H.; Pan, C. Evaluation of CMPA precipitation estimate in the evolution of typhoon-related storm rainfall in Guangdong, China. J. Hydrometeorol. 2016, 18, 1055–1068. [Google Scholar] [CrossRef] [Green Version]
- Xiao, L.; Zhang, A.; Min, C.; Chen, S. Evaluation of GPM Satellite-based precipitation estimates during three tropical-related extreme rainfall events. Plateau Meteorol. 2019, 38, 993–1003. [Google Scholar]
- Zhou, C.; Gao, W.; Hu, J.; Du, L.; Du, L. Capability of IMERG V6 early, late and final precipitation products for monitoring extreme precipitation Events. Remote Sens. 2021, 13, 689. [Google Scholar] [CrossRef]
- Wang, Z.; Bovik, A.C.; Sheikh, H.R.; Simoncelli, E.P. Image quality assessment: From error visibility to structural similarity. IEEE Trans. Image Processing 2004, 13, 600–612. [Google Scholar] [CrossRef] [Green Version]
- Wiederholt, R.; Paudel, R.; Khare, Y.; Davis, S.E.; Melodie Naja, G.; Romañach, S.; Pearlstine, L.; Van Let, T. A multi-indicator spatial similarity approach for evaluating ecological restoration scenarios. Landsc. Ecol. 2019, 34, 2557–2574. [Google Scholar] [CrossRef]
- Jones, E.L.; Rendell, L.; Pirotta, E.; Long, J.A. Novel application of a quantitative spatial comparison tool to species distribution data. Ecol. Indic. 2016, 70, 67–76. [Google Scholar] [CrossRef]
- Islam, M.A.; Yu, B.; Cartwright, N. Assessment and comparison of five satellite precipitation products in Australia. J. Hydrol. 2020, 590, 125474. [Google Scholar] [CrossRef]
- Hu, Z.; Hu, Q.; Zhang, C.; Chen, X.; Li, Q. Evaluation of reanalysis, spatially interpolated and satellite remotely sensed precipitation data sets in central Asia. J. Geophys. Res. Atmos. 2016, 121, 5648–5663. [Google Scholar] [CrossRef] [Green Version]
- Mahmoud, M.T.; Al-Zahrani, M.A.; Sharif, H.O. Assessment of global precipitation measurement satellite products over Saudi Arabia. J. Hydrol. 2018, 559, 1–12. [Google Scholar] [CrossRef]
- Oreggioni Weiberlen, F.; Báez Benítez, J. Assessment of satellite-based precipitation estimates over Paraguay. Acta Geophys. 2018, 66, 369–379. [Google Scholar] [CrossRef]
- Nan, L.; Yang, M.; Wang, H.; Xiang, Z.; Hao, S. Comprehensive evaluation of global precipitation measurement mission (GPM) IMERG precipitation products over Mainland China. Water 2021, 13, 3381. [Google Scholar] [CrossRef]
- Ning, S.; Song, F.; Udmale, P.; Jin, J.; Thapa, B.R.; Ishidaira, H. Error analysis and evaluation of the latest GSMap and IMERG precipitation products over Eastern China. Adv. Meteorol. 2017, 2017, 1803492. [Google Scholar] [CrossRef] [Green Version]
- Fang, J.; Yang, W.; Luan, Y.; Du, J.; Lin, A.; Zhao, L. Evaluation of the TRMM 3B42 and GPM IMERG products for extreme precipitation analysis over China. Atmos. Res. 2019, 223, 24–38. [Google Scholar] [CrossRef]
- Liu, J.; Shangguan, D.; Liu, S.; Ding, Y.; Wang, S.; Wang, X. Evaluation and comparison of CHIRPS and MSWEP daily-precipitation products in the Qinghai-Tibet Plateau during the period of 1981–2015. Atmos. Res. 2019, 230, 104634. [Google Scholar] [CrossRef]
- Funk, C.; Peterson, P.; Landsfeld, M.; Pedreros, D.; Verdin, J.; Shukla, S.; Husak, G.; Rowland, J.; Harrison, L.; Hoell, A.; et al. The climate hazards infrared precipitation with stations—A new environmental record for monitoring extremes. Sci. Data 2015, 2, 150066. [Google Scholar] [CrossRef] [Green Version]
- He, J.; Yang, K.; Tang, W.; Lu, H.; Qin, J.; Chen, Y.; Li, X. The first high-resolution meteorological forcing dataset for land process studies over China. Sci. Data 2020, 7, 25. [Google Scholar] [CrossRef] [PubMed] [Green Version]
- Yatagai, A.; Kamiguchi, K.; Arakawa, O.; Hamada, A.; Yasutomi, N.; Kitoh, A. APHRODITE: Constructing a long-term daily gridded precipitation dataset for asia based on a dense network of rain gauges. Bull. Am. Meteorol. Soc 2012, 93, 1401–1415. [Google Scholar] [CrossRef]
- He, Q.; Yang, J.; Chen, H.; Liu, J.; Ji, Q.; Wang, Y.; Tang, F. Evaluation of extreme precipitation based on three long-term gridded products over the Qinghai-Tibet Plateau. Remote Sens. 2021, 13, 3010. [Google Scholar] [CrossRef]
- Chen, B.; Huang, B.; Xu, B. Multi-source remotely sensed data fusion for improving land cover classification. Isprs J. Photogramm. Remote Sens. 2017, 124, 27–39. [Google Scholar] [CrossRef]
- Li, Z.; Deng, X.; Yin, F.; Yang, C.; Singh, R.B. Analysis of climate and land use changes impacts on land degradation in the north China plain. Adv. Meteorol. 2015, 2015, 976370. [Google Scholar] [CrossRef]
- Xu, Y.; Liu, Y. Monitoring the near-surface urban heat island in Beijing, China by satellite remote sensing. Geogr. Res. 2014, 53, 16–25. [Google Scholar] [CrossRef]
- Ren, M.; Xu, Z.; Pang, B.; Liu, J.; Du, L. Spatiotemporal variability of precipitation in Beijing, China during the wet seasons. Water 2020, 12, 716. [Google Scholar] [CrossRef] [Green Version]
- Zhang, Y.; Smith, J.A.; Luo, L.; Wang, Z.; Baeck, M.L. Urbanization and rainfall variability in the Beijing metropolitan region. J. Hydrometeorol. 2014, 15, 2219–2235. [Google Scholar] [CrossRef]
- Song, X.; Zhang, J.; AghaKouchak, A.; Roy, S.S.; Xuan, Y.; Wang, G.; He, R.; Wang, X.; Liu, C. Rapid urbanization and changes in spatiotemporal characteristics of precipitation in Beijing metropolitan area. J. Geophys. Res. Atmos. 2014, 119, 211–250. [Google Scholar] [CrossRef] [Green Version]
- Tan, J.; Huffman, G.J.; Bolvin, D.T.; Nelkin, E.J. IMERG V06: Changes to the morphing algorithm. J. Atmos. Ocean. Technol. 2019, 36, 2471–2482. [Google Scholar] [CrossRef]
- Liu, Z. Comparison of integrated multisatellite retrievals for GPM (IMERG) and TRMM multisatellite precipitation analysis (TMPA) monthly precipitation products: Initial results. J. Hydrometeorol. 2015, 17, 1058033559. [Google Scholar] [CrossRef]
- Sharifi, E.; Steinacker, R.; Saghafian, B. Assessment of GPM-IMERG and other precipitation products against gauge data under different topographic and climatic conditions in Iran: Preliminary results. Remote Sens. 2016, 8, 135. [Google Scholar] [CrossRef] [Green Version]
- Ren, Y.; Yong, B.; Lu, D.; Chen, H. Evaluation of the Integrated multi-satellite retrievals (IMERG) for global precipitation measurement (GPM) mission over the Mainland China at multiple scales. J. Lake Sci. 2019, 31, 560–572. [Google Scholar]
- Huffman, G.J.; Bolvin, D.T.; Braithwaite, D.; Hsu, K.; Joyce, R.; Kidd, C.; Nelkin, E.J.; Sorooshian, S.; Tan, J.; Xie, P. NASA global precipitation measurement (GPM). In Integrated Multi-Satellite Retrievals for GPM (IMERG), Algorithm Theoretical Basis Document (ATBD) Version 5.2; NASA/GSFC: Greenbelt, MD, USA, 2018. [Google Scholar]
- Beck, H.; Wood, E.; Pan, M.; Fisher, C.; Miralles, D.; van Dijk, A.; McVicar, T.; Adler, R. MSWEP V2 global 3-hourly 0.1° precipitation: Methodology and quantitative assessment. Bull. Am. Meteorol. Soc. 2019, 100, 473–500. [Google Scholar] [CrossRef] [Green Version]
- Xuan, D.; Hu, Q.; Wang, Y.; Yang, H.; Li, L.; Wang, L. Precipitation characteristic analysis of the Zhoushan Archipelago: From the view of MSWEP and rainfall merging. Water 2020, 12, 829. [Google Scholar] [CrossRef] [Green Version]
- Cavalcante, R.B.L.; Ferreira, D.B.D.S.; Pontes, P.R.M.; Tedeschi, R.G.; Da Costa, C.P.W.; de Souza, E.B. Evaluation of extreme rainfall indices from CHIRPS precipitation estimates over the Brazilian Amazonia. Atmos. Res. 2020, 238, 104879. [Google Scholar] [CrossRef]
- Mekonnen, K.; Melesse, A.M.; Woldesenbet, T.A. Spatial evaluation of satellite-retrieved extreme rainfall rates in the Upper Awash River Basin, Ethiopia. Atmos. Res. 2021, 249, 105297. [Google Scholar] [CrossRef]
- Chen, F.; Gao, Y. Evaluation of precipitation trends from high-resolution satellite precipitation products over Mainland China. Clim. Dyn. 2018, 51, 3311–3331. [Google Scholar] [CrossRef]
- Chen, Z.; Qin, Y.; Shen, Y.; Zhang, S.; Bonafoni, S. Evaluation of global satellite mapping of precipitation project daily precipitation estimates over the Chinese Mainland. Adv. Meteorol. 2016, 2016, 9365294. [Google Scholar] [CrossRef]
- Prakash, S.; Mitra, A.K.; AghaKouchak, A.; Liu, Z.; Norouzi, H.; Pai, D.S. A preliminary assessment of GPM-based multi-satellite precipitation estimates over a monsoon dominated region. J. Hydrol. 2018, 556, 865–876. [Google Scholar] [CrossRef] [Green Version]
- Liu, J.; Xu, Z.; Zhao, H.; Peng, D.; Zhang, R. Accuracy assessment for two satellite precipitation products: Case studies in the Yarlung Zangbo River Basin. Plateau Meteorol. 2019, 38, 386–396. [Google Scholar]
- Frich, P.; Alexander, L.V.; Della-Marta, P.; Gleason, B.; Haylock, M.; Klein Tank, A.M.G.; Peterson, T. Observed coherent changes in climatic extremes during the second half of the twentieth century. Clim. Res. 2002, 19, 193–212. [Google Scholar] [CrossRef] [Green Version]
- Zhang, X.; Alexander, L.; Hegerl, G.C.; Jones, P.; Tank, A.K.; Peterson, T.C.; Trewin, B.; Zwiers, F.W. Indices for monitoring changes in extremes based on daily temperature and precipitation data. WIREs Clim. Chang. 2011, 2, 851–870. [Google Scholar] [CrossRef]
- Ding, K.X.; Zhang, L.P.; Song, X.M.; She, D.X.; Xia, J. Temporal and spatial features of precipitation and impact of urbanization on precipitation characteristics in flood season in Beijing. Prog. Geogr. 2019, 38, 1917–1932. [Google Scholar] [CrossRef]
- Rahman, K.U.; Shang, S. A Regional blended precipitation dataset over Pakistan based on regional selection of blending satellite precipitation datasets and the dynamic weighted average least squares algorithm. Remote Sens. 2020, 12, 4009. [Google Scholar] [CrossRef]
- Stampoulis, D.; Anagnostou, E.N. Evaluation of global satellite rainfall products over continental europe. J. Hydrometeorol. 2012, 13, 588–603. [Google Scholar] [CrossRef]
- Dinku, T.; Connor, S.J.; Ceccato, P. Comparison of CMORPH and TRMM-3B42 over Mountainous Regions of Africa and South America; Springer: Dordrecht, The Netherlands, 2009; pp. 193–204. [Google Scholar]
- Derin, Y.; Anagnostou, E.; Berne, A.; Borga, M.; Boudevillain, B.; Buytaert, W.; Chang, C.; Delrieu, G.; Hong, Y.; Hsu, Y.C.; et al. Multiregional satellite precipitation products evaluation over complex terrain. J. Hydrometeorol. 2016, 17, 1817–1836. [Google Scholar] [CrossRef]
- Ren, M.; Xu, Z.; Pang, B.; Liu, W.; Liu, J.; Du, L.; Wang, R. Assessment of satellite-derived precipitation products for the Beijing Region. Remote Sens. 2018, 10, 1914. [Google Scholar] [CrossRef] [Green Version]
- Kimani, M.W.; Hoedjes, J.C.B.; Su, Z. An assessment of satellite-derived rainfall products relative to ground observations over East Africa. Remote Sens. 2017, 9, 430. [Google Scholar] [CrossRef] [Green Version]










| Satellite Product | Temporal Resolution | Space Resolution | Temporal Span | Source Data | References |
|---|---|---|---|---|---|
| IMERG V06 Early-Run | Daily | 0.1° | 2001–2021 | Satellite data | [58] |
| MSWEP V2 | 3 h | 0.1° | 1979–2016 | Gauge, satellite, reanalysis data | [61] |
| CMFD | 3 h | 0.1° | 1979–2018 | Gauge, satellite, reanalysis data | [47] |
| Rainfall Stations ≥0.1 mm/d | Rainfall Stations <0.1 mm/d | |
|---|---|---|
| Satellite-derived data ≥ 0.1 mm/d | Hit | False |
| Satellite-derived data < 0.1 mm/d | Miss | 0 |
| Thresholds | ||||||
|---|---|---|---|---|---|---|
| R75p | R80p | R85p | R90p | R95p | R99p | |
| Rainfall stations (mm) | 10.0 | 12.7 | 16.6 | 22.8 | 34.4 | 73.1 |
| Rdays (Precipitation > thr) | 18 | 15 | 11 | 7 | 4 | 1 |
| Sort | Index | Definition | Units |
|---|---|---|---|
| Total indices | ATP | Annual total precipitation | mm |
| API | Annual mean precipitation intensity | mm/day | |
| Persistent indices | CDD | Maximum number of consecutive dry days | days |
| CWD | Maximum number of consecutive wet days | days | |
| Max indices | RX1day | Annual max 1-day precipitation | mm |
| RX5day | Annual max 5 days of consecutive precipitation | mm | |
| Percentile indices | R95p | The 95th percentile of daily precipitation on wet days | mm |
| R95pTOT | The annual sum of precipitation on days where daily precipitation exceeds the 95th percentile of daily precipitation | mm | |
| Absolute threshold indices | R0.1 mm | Annual count of days when daily precipitation is between 0.1 and 5 mm | days |
| R5 mm | Annual count of days when daily precipitation is between 5 and 10 mm | days | |
| R10 mm | Annual count of days when daily precipitation is between 10 and 25 mm | days | |
| R25 mm | Annual count of days when daily precipitation is between 25 and 50 mm | days | |
| R50 mm | Annual count of days when daily precipitation is >50 mm | days |
| Index | UA | ISAS | ISAN | SWMA | NWMA | OSA | Beijing | |
|---|---|---|---|---|---|---|---|---|
| Corr | IMERG | 0.74 | 0.73 | 0.76 | 0.68 | 0.70 | 0.75 | 0.72 |
| MSWEP | 0.82 | 0.82 | 0.77 | 0.80 | 0.78 | 0.80 | 0.81 | |
| CMFD | 0.79 | 0.77 | 0.74 | 0.70 | 0.71 | 0.78 | 0.76 | |
| RB | IMERG | 1.0% | 13.6% | 4.5% | 2.3% | 2.8% | −1.6% | 3.2% |
| MSWEP | −13.0% | −2.5% | −17.9% | −6.6% | −16.0% | −26.2% | −12.5% | |
| CMFD | −5.8% | 10.0% | 4.5% | 2.6% | 2.4% | 5.4% | 0.4% | |
| AD (mm) | IMERG | 1.33 | 1.29 | 1.24 | 1.27 | 1.27 | 1.32 | 1.30 |
| MSWEP | 0.94 | 0.90 | 0.96 | 0.94 | 0.97 | 1.07 | 0.95 | |
| CMFD | 1.10 | 1.08 | 1.19 | 1.23 | 1.22 | 1.23 | 1.15 | |
| RMSE (mm) | IMERG | 5.02 | 4.68 | 4.46 | 4.94 | 4.40 | 4.73 | 4.80 |
| MSWEP | 4.22 | 3.81 | 4.30 | 4.10 | 3.81 | 4.38 | 4.10 | |
| CMFD | 4.54 | 4.37 | 4.60 | 4.76 | 4.25 | 4.41 | 4.49 | |
| Index | UA | ISAS | ISAN | SWMA | NWMA | OSA | Beijing | |
|---|---|---|---|---|---|---|---|---|
| Corr | IMERG | 0.41 | 0.41 | 0.22 | 0.18 | 0.48 | 0.26 | 0.36 |
| MSWEP | 0.48 | 0.27 | 0.40 | 0.19 | 0.29 | 0.45 | 0.37 | |
| CMFD | 0.17 | 0.39 | 0.47 | 0.11 | 0.31 | 0.19 | 0.23 | |
| RB | IMERG | 1.7% | −1.6% | −1.4% | 4.4% | −0.7% | 1.4% | 1.0% |
| MSWEP | 4.3% | −1.9% | −1.3% | 6.3% | 2.4% | 2.1% | 2.9% | |
| CMFD | 0.8% | −1.7% | −1.8% | 3.3% | −1.2% | 0.4% | 0.3% | |
| AD (days) | IMERG | 20 | 25 | 23 | 28 | 22 | 19 | 22 |
| MSWEP | 18 | 24 | 17 | 29 | 28 | 19 | 22 | |
| CMFD | 23 | 25 | 18 | 32 | 27 | 19 | 25 | |
| RMSE (days) | IMERG | 31 | 38 | 34 | 40 | 32 | 29 | 33 |
| MSWEP | 29 | 43 | 27 | 45 | 41 | 30 | 35 | |
| CMFD | 36 | 39 | 28 | 50 | 42 | 31 | 38 | |
Publisher’s Note: MDPI stays neutral with regard to jurisdictional claims in published maps and institutional affiliations. |
© 2022 by the authors. Licensee MDPI, Basel, Switzerland. This article is an open access article distributed under the terms and conditions of the Creative Commons Attribution (CC BY) license (https://creativecommons.org/licenses/by/4.0/).
Share and Cite
Li, Y.; Pang, B.; Ren, M.; Shi, S.; Peng, D.; Zhu, Z.; Zuo, D. Evaluation of Performance of Three Satellite-Derived Precipitation Products in Capturing Extreme Precipitation Events over Beijing, China. Remote Sens. 2022, 14, 2698. https://doi.org/10.3390/rs14112698
Li Y, Pang B, Ren M, Shi S, Peng D, Zhu Z, Zuo D. Evaluation of Performance of Three Satellite-Derived Precipitation Products in Capturing Extreme Precipitation Events over Beijing, China. Remote Sensing. 2022; 14(11):2698. https://doi.org/10.3390/rs14112698
Chicago/Turabian StyleLi, Yu, Bo Pang, Meifang Ren, Shulan Shi, Dingzhi Peng, Zhongfan Zhu, and Depeng Zuo. 2022. "Evaluation of Performance of Three Satellite-Derived Precipitation Products in Capturing Extreme Precipitation Events over Beijing, China" Remote Sensing 14, no. 11: 2698. https://doi.org/10.3390/rs14112698
APA StyleLi, Y., Pang, B., Ren, M., Shi, S., Peng, D., Zhu, Z., & Zuo, D. (2022). Evaluation of Performance of Three Satellite-Derived Precipitation Products in Capturing Extreme Precipitation Events over Beijing, China. Remote Sensing, 14(11), 2698. https://doi.org/10.3390/rs14112698

