Analysis of Near-Surface Temperature Lapse Rates in Mountain Ecosystems of Northern Mexico Using Landsat-8 Satellite Images and ECOSTRESS
Abstract
1. Introduction
2. Materials and Methods
2.1. Study Area
2.2. Images Acquisition
2.3. Spectral Indices Estimation
2.4. Land Surface Temperature Estimation
2.5. Local Solar Zenith Angle
2.6. Evaporative Stress Index
2.7. Near-Surface Temperature Lapse Rate Estimation
3. Results
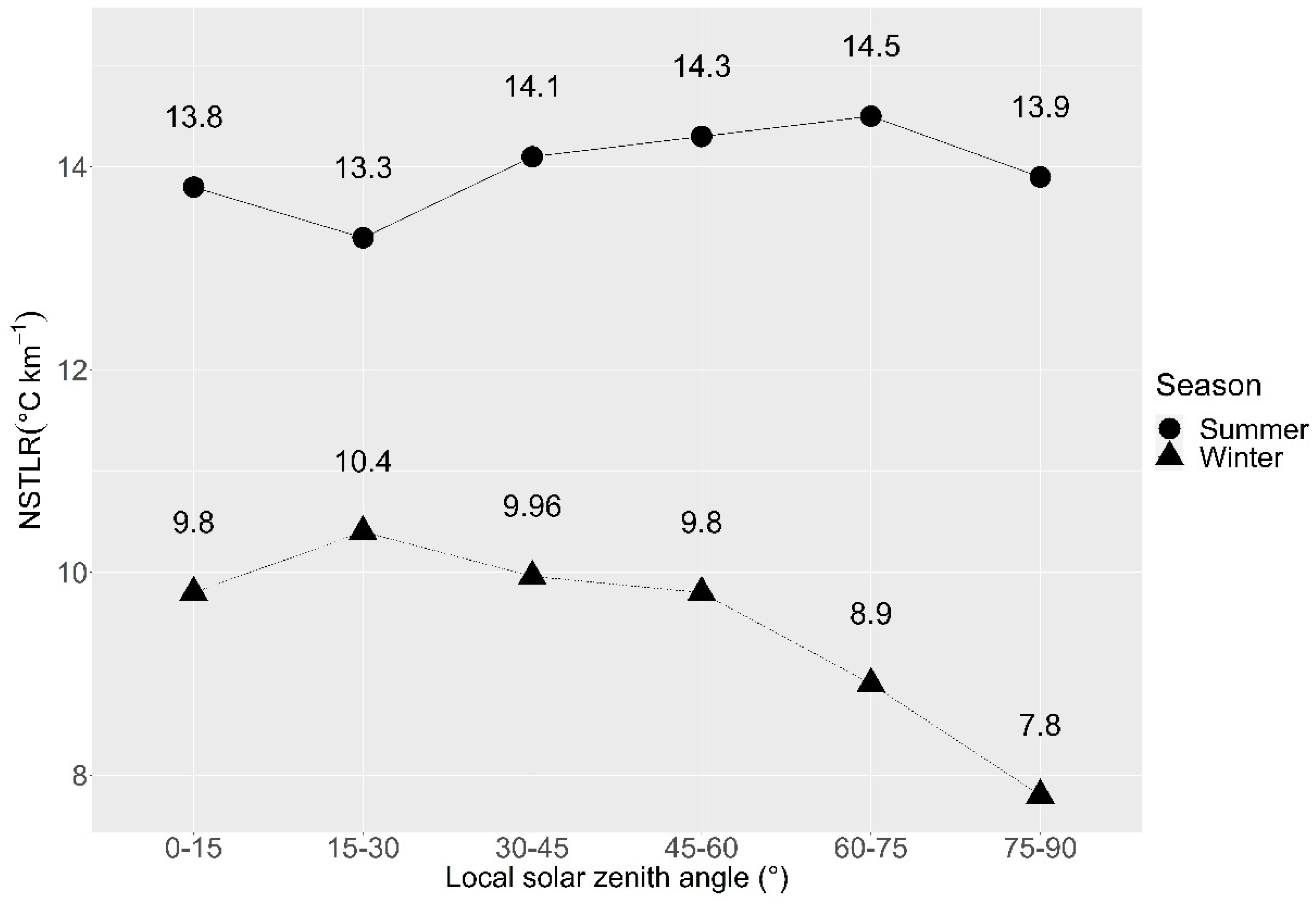
Temperature Lapse Rate
4. Discussion
5. Conclusions
Author Contributions
Funding
Acknowledgments
Conflicts of Interest
References
- Bindajam, A.A.; Mallick, J.; AlQadhi, S.; Singh, C.K.; Hang, H.T. Impacts of Vegetation and Topography on Land Surface Temperature Variability over the Semi-Arid Mountain Cities of Saudi Arabia. Atmosphere 2020, 11, 762. [Google Scholar] [CrossRef]
- Naud, L.; Måsviken, J.; Freire, S.; Angerbjörn, A.; Dalén, L.; Dalerum, F. Altitude effects on spatial components of vascular plant diversity in a subarctic mountain tundra. Ecol. Evol. 2019, 9, 4783–4795. [Google Scholar] [CrossRef]
- Daw, T.M.; Hicks, C.C.; Brown, K.; Chaigneau, T.; Januchowski-Hartley, F.A.; Cheung, W.W.L.; Rosendo, S.; Crona, B.; Coulthard, S.; Sandbrook, C.; et al. Elasticity in ecosystem services: Exploring the variable relationship between ecosystems and human well-being. Ecol. Soc. 2016, 21. [Google Scholar] [CrossRef]
- Pastur, G.J.M.; Perera, A.H.; Peterson, U.; Iverson, L.R. Ecosystem Services from Forest Landscapes: An Overview. In Ecosystem Services from Forest Landscapes; Springer: Singapore, 2018; pp. 1–10. [Google Scholar]
- Liu, L.; Wang, Z.; Wang, Y.; Zhang, Y.; Shen, J.; Qin, D.; Li, S. Trade-off analyses of multiple mountain ecosystem services along elevation, vegetation cover and precipitation gradients: A case study in the Taihang Mountains. Ecol. Indic. 2019, 103, 94–104. [Google Scholar] [CrossRef]
- Mengist, W.; Soromessa, T.; Legese, G. Ecosystem services research in mountainous regions: A systematic literature review on current knowledge and research gaps. Sci. Total Environ. 2020, 702, 134581. [Google Scholar] [CrossRef] [PubMed]
- Spehn, E.M.; Rudmann-Maurer, K.; Körner, C. Mountain biodiversity. Plant Ecol. Divers. 2011, 4, 301–302. [Google Scholar] [CrossRef]
- Firozjaei, M.K.; Fathololoumi, S.; Alavipanah, S.K.; Kiavarz, M.; Vaezi, A.R.; Biswas, A. A new approach for modeling near surface temperature lapse rate based on normalized land surface temperature data. Remote Sens. Environ. 2020, 242, 111746. [Google Scholar] [CrossRef]
- Grêt-Regamey, A.; Brunner, S.H.; Kienast, F. Mountain Ecosystem Services: Who Cares? Mt. Res. Dev. 2012, 32, S23–S34. [Google Scholar] [CrossRef]
- Hagedorn, F.; Mulder, J.; Jandl, R. Mountain soils under a changing climate and land-use. Biogeochemistry 2009, 97, 1–5. [Google Scholar] [CrossRef]
- Beniston, M. Climatic Change in Mountain Regions: A Review of Possible Impacts. Clim. Chang. 2003, 59, 5–31. [Google Scholar] [CrossRef]
- Sigdel, S.R.; Zhang, H.; Zhu, H.; Muhammad, S.; Liang, E. Retreating Glacier and Advancing Forest Over the Past 200 Years in the Central Himalayas. J. Geophys. Res. Biogeosci. 2020, 125, 005751. [Google Scholar] [CrossRef]
- Zeng, Z.; Wang, D.; Yang, L.; Wu, J.; Ziegler, A.D.; Liu, M.; Ciais, P.; Searchinger, T.D.; Yang, Z.-L.; Chen, D.; et al. Deforestation-induced warming over tropical mountain regions regulated by elevation. Nat. Geosci. 2021, 14, 23–29. [Google Scholar] [CrossRef]
- Sakai, A.; Fujita, K. Contrasting glacier responses to recent climate change in high-mountain Asia. Sci. Rep. 2017, 7, 1–8. [Google Scholar] [CrossRef] [PubMed]
- Tuladhar, D.; Dewan, A.; Kuhn, M.; Corner, R.J. Spatio-temporal rainfall variability in the Himalayan mountain catchment of the Bagmati River in Nepal. Theor. Appl. Clim. 2019, 139, 599–614. [Google Scholar] [CrossRef]
- Li, Y.; Zeng, Z.; Zhao, L.; Piao, S. Spatial patterns of climatological temperature lapse rate in mainland China: A multi-time scale investigation. J. Geophys. Res. Atmos. 2015, 120, 2661–2675. [Google Scholar] [CrossRef]
- Fang, J.-Y.; Yoda, K. Climate and vegetation in China (I). Changes in the altitudinal lapse rate of temperature and distribution of sea level temperature. Ecol. Res. 1988, 3, 37–51. [Google Scholar] [CrossRef]
- He, J.; Zhao, W.; Li, A.; Wen, F.; Yu, D. The impact of the terrain effect on land surface temperature variation based on Landsat-8 observations in mountainous areas. Int. J. Remote Sens. 2019, 40, 1808–1827. [Google Scholar] [CrossRef]
- Vuille, M.; Bradley, R.S. Mean annual temperature trends and their vertical structure in the tropical Andes. Geophys. Res. Lett. 2000, 27, 3885–3888. [Google Scholar] [CrossRef]
- Barry, R.G.; Richard, J.C. Atmosphere, Weather and Climate, 1st ed.; Taylor & Francis Group: London, UK, 2009. [Google Scholar]
- Kattel, D.B.; Yao, T.; Panday, P.K. Near-surface air temperature lapse rate in a humid mountainous terrain on the southern slopes of the eastern Himalayas. Theor. Appl. Clim. 2018, 132, 1129–1141. [Google Scholar] [CrossRef]
- Guo, X.; Wang, L.; Tian, L. Spatio-temporal variability of vertical gradients of major meteorological observations around the Tibetan Plateau. Int. J. Clim. 2016, 36, 1901–1916. [Google Scholar] [CrossRef]
- Harlow, R.C.; Burke, E.J.; Scott, R.; Shuttleworth, W.J.; Brown, C.M.; Petti, J.R. Research Note:Derivation of temperature lapse rates in semi-arid south-eastern Arizona. Hydrol. Earth Syst. Sci. 2004, 8, 1179–1185. [Google Scholar] [CrossRef]
- Minder, J.R.; Mote, P.W.; Lundquist, J.D. Surface temperature lapse rates over complex terrain: Lessons from the Cascade Mountains. J. Geophys. Res. Space Phys. 2010, 115, 115. [Google Scholar] [CrossRef]
- Hais, M.; Kučera, T. The influence of topography on the forest surface temperature retrieved from Landsat TM, ETM+ and ASTER thermal channels. ISPRS J. Photogramm. Remote Sens. 2009, 64, 585–591. [Google Scholar] [CrossRef]
- Firozjaei, M.K.; Fathololuomi, S.; Alavipanah, S.K.; Kiavarz, M.; Vaezi, A.; Biswas, A.; Ghorbani, A. Modeling the impact of surface characteristics on the near surface temperature lapse rate. Int. Arch. Photogramm. Remote Sens. Spat. Inf. Sci. 2019, XLII-4/W18, 395–399. [Google Scholar] [CrossRef]
- Tang, Z.; Fang, J. Temperature variation along the northern and southern slopes of Mt. Taibai, China. Agric. For. Meteorol. 2006, 139, 200–207. [Google Scholar] [CrossRef]
- Veh, G.; Korup, O.; Walz, A. Hazard from Himalayan glacier lake outburst floods. Proc. Natl. Acad. Sci. USA 2020, 117, 907–912. [Google Scholar] [CrossRef]
- Muradyan, V.; Tepanosyan, G.; Asmaryan, S.; Saghatelyan, A.; Dell’Acqua, F. Relationships between NDVI and climatic factors in mountain ecosystems: A case study of Armenia. Remote Sens. Appl. Soc. Environ. 2019, 14, 158–169. [Google Scholar] [CrossRef]
- García-Santos, V.; Cuxart, J.; Martínez-Villagrasa, D.; Jiménez, M.A.; Simó, G. Comparison of Three Methods for Estimating Land Surface Temperature from Landsat 8-TIRS Sensor Data. Remote Sens. 2018, 10, 1450. [Google Scholar] [CrossRef]
- Jain, S.K.; Goswami, A.; Saraf, A.K. Determination of land surface temperature and its lapse rate in the Satluj River basin using NOAA data. Int. J. Remote Sens. 2008, 29, 3091–3103. [Google Scholar] [CrossRef]
- Wang, Y.; Wang, L.; Li, X.; Chen, D. Temporal and spatial changes in estimated near-surface air temperature lapse rates on Tibetan Plateau. Int. J. Clim. 2018, 38, 2907–2921. [Google Scholar] [CrossRef]
- Zhang, H.; Zhang, F.; Zhang, G.; Che, T.; Yan, W. How Accurately Can the Air Temperature Lapse Rate Over the Tibetan Plateau Be Estimated From MODIS LSTs? J. Geophys. Res. Atmos. 2018, 123, 3943–3960. [Google Scholar] [CrossRef]
- Peters, J.; Van Doninck, J.; Verhoest, N.E.C.; De Baets, B.; De Clercq, E.M.; Ducheyne, E. Influence of topographic normalization on the vegetation index–surface temperature relationship. J. Appl. Remote Sens. 2012, 6, 063518. [Google Scholar] [CrossRef]
- Qin, Y.; Ren, G.; Zhai, T.; Zhang, P.; Wen, K. A New Methodology for Estimating the Surface Temperature Lapse Rate Based on Grid Data and Its Application in China. Remote Sens. 2018, 10, 1617. [Google Scholar] [CrossRef]
- Penton, D.J.; Neumann, L.E.; Karki, R.; Nepal, S. Verifying Temperature Lapse Rates in the Eastern Himalayas using Landsat 7 and 8. In Proceedings of the 21st International Congress on Modelling and Simulation, Gold Coast, Australia, 29 Novembe–4 December 2015. [Google Scholar]
- Zhuang, Y.; Liu, X.; Nguyen, T.; He, Q.; Hong, S. Global remote sensing research trends during 1991–2010: A bibliometric analysis. Science 2013, 96, 203–219. [Google Scholar] [CrossRef]
- Martinez-Gracia, A.; Arauzo, I.; Uche, J. Chapter 5-Solar energy availability. In Solar Hydrogen Production; Calise, F., D’Accadia, M.D., Santarelli, M., Lanzini, A., Ferrero, D., Eds.; Elsevier: Amsterdam, The Netherlands, 2019; pp. 113–149. [Google Scholar]
- Anderson, M.C.; Hain, C.R.; Wardlow, B.; Pimstein, A.; Mecikalski, J.R.; Kustas, W.P. Evaluation of Drought Indices Based on Thermal Remote Sensing of Evapotranspiration over the Continental United States. J. Clim. 2011, 24, 2025–2044. [Google Scholar] [CrossRef]
- Fisher, J.B.; Lee, B.; Purdy, A.J.; Halverson, G.H.; Dohlen, M.B.; Cawse-Nicholson, K.; Wang, A.; Anderson, R.G.; Aragon, B.; Arain, M.A.; et al. ECOSTRESS: NASA’s Next Generation Mission to Measure Evapotranspiration From the International Space Station. Water Resour. Res. 2020, 56, e2019WR026058. [Google Scholar] [CrossRef]
- Liu, N.; Oishi, A.C.; Miniat, C.F.; Bolstad, P. An evaluation of ECOSTRESS products of a temperate montane humid forest in a complex terrain environment. Remote Sens. Environ. 2021, 265, 112662. [Google Scholar] [CrossRef]
- Moradi, M.; Salahi, B.; Masoodian, S.A. On the relationship between MODIS Land Surface Temperature and topography in Iran. Phys. Geogr. 2018, 39, 354–367. [Google Scholar] [CrossRef]
- Briones-Herrera, C.I.; Vega-Nieva, D.J.; Monjarás-Vega, N.A.; Flores-Medina, F.; Lopez-Serrano, P.M.; Corral-Rivas, J.J.; Carrillo-Parra, A.; Pulgarin-Gámiz, M.Á.; Alvarado-Celestino, E.; González-Cabán, A.; et al. Modeling and Mapping Forest Fire Occurrence from Aboveground Carbon Density in Mexico. Forests 2019, 10, 402. [Google Scholar] [CrossRef]
- Monjarás-Vega, N.A.; Briones-Herrera, C.I.; Vega-Nieva, D.J.; Calleros-Flores, E.; Corral-Rivas, J.J.; López-Serrano, P.M.; Pompa-García, M.; Rodríguez-Trejo, D.A.; Carrillo-Parra, A.; González-Cabán, A.; et al. Predicting forest fire kernel density at multiple scales with geographically weighted regression in Mexico. Sci. Total Environ. 2020, 718, 137313. [Google Scholar] [CrossRef]
- Aragón-Piña, E.E.; Garza-Herrera, A.; González-Elizondo, M.S.; Luna-Vega, I. Composición y estructura de las comunidades vegetales del rancho El Durangueño, en la Sierra Madre Occidental, Durango, México. Rev. Mex. Biodivers. 2010, 81, 771–787. [Google Scholar] [CrossRef]
- González-Elizondo, M.S.; González-Elizondo, M.; Tena-Flores, J.A.; Ruacho-González, L.; López-Enríquez, I.L. Vegetación de la Sierra Madre Occidental, México: Una síntesis. Acta Botánica Mex. 2012, 100, 351–403. [Google Scholar] [CrossRef]
- Hernandez-Díaz, J.C.; Prieto-Ruiz, J.A. Estudio Regional Forestal Caso UMAFOR 1001; Secretaría de Medio Ambiente y Recursos Naturales (SEMARNAT): Durango, Mexico, 2007. [Google Scholar]
- Wehenkel, C.; Reyes-Martínez, A.; Martínez-Guerrero, J.H.; Pinedo-Alvarez, C.; Lopez-Sanchez, C.A. The bird species diversity in the wintering season is negatively associated with precipitation, tree species diversity and stand density in the Sierra Madre Occidental, Durango, Mexico. Community Ecol. 2017, 18, 63–71. [Google Scholar] [CrossRef]
- Silva-Flores, R.; Pérez-Verdín, G.; Wehenkel, C. Patterns of Tree Species Diversity in Relation to Climatic Factors on the Sierra Madre Occidental, Mexico. PLoS ONE 2014, 9, e105034. [Google Scholar] [CrossRef]
- INEGI. Conjunto de Datos Vectoriales de Uso del Suelo y Vegetación Escala 1:250,000, Series VI. Available online: http://www.conabio.gob.mx/informacion/metadata/gis/usv250s6gw.xml?_httpcache=yes&_xsl=/db/metadata/xsl/fgdc_html.xsl&_indent=no (accessed on 5 October 2021).
- QGIS Development Team. QGIS Geographic Information System. Open Source Geospatial Foundation Project. 2016. Available online: http://qgis.osgeo.org (accessed on 22 November 2020).
- Gorelick, N.; Hancher, M.; Dixon, M.; Ilyushchenko, S.; Thau, D.; Moore, R. Google Earth Engine: Planetary-scale geospatial analysis for everyone. Remote Sens. Environ. 2017, 202, 18–27. [Google Scholar] [CrossRef]
- Parastatidis, D.; Mitraka, Z.; Chrysoulakis, N.; Abrams, M. Online Global Land Surface Temperature Estimation from Landsat. Remote Sens. 2017, 9, 1208. [Google Scholar] [CrossRef]
- Dewan, A.; Kiselev, G.; Botje, D. Diurnal and seasonal trends and associated determinants of surface urban heat islands in large Bangladesh cities. Appl. Geogr. 2021, 135, 102533. [Google Scholar] [CrossRef]
- Rouse, J.W.; Haas, R.H.; Schell, J.A.; Deering, D.W. Monitoring vegetation systems in the great plains with ERTS. NASA Spec. Publ. 1973, 351, 309–317. [Google Scholar]
- Zha, Y.; Gao, J.; Ni, S. Use of normalized difference built-up index in automatically mapping urban areas from TM imagery. Int. J. Remote Sens. 2003, 24, 583–594. [Google Scholar] [CrossRef]
- Gao, B.-C. NDWI—A normalized difference water index for remote sensing of vegetation liquid water from space. Remote Sens. Environ. 1996, 58, 257–266. [Google Scholar] [CrossRef]
- Sobrino, J.A.; Raissouni, N. Toward remote sensing methods for land cover dynamic monitoring: Application to Morocco. Int. J. Remote Sens. 2000, 21, 353–366. [Google Scholar] [CrossRef]
- Ermida, S.L.; Soares, P.; Mantas, V.; Göttsche, F.-M.; Trigo, I.F. Google Earth Engine Open-Source Code for Land Surface Temperature Estimation from the Landsat Series. Remote Sens. 2020, 12, 1471. [Google Scholar] [CrossRef]
- Dozier, J.; Frew, J. Rapid calculation of terrain parameters for radiation modeling from digital elevation data. IEEE Trans. Geosci. Remote Sens. 1990, 28, 963–969. [Google Scholar] [CrossRef]
- Nguyen, H.; Wheeler, M.C.; A Otkin, J.; Cowan, T.; Frost, A.J.; Stone, R.C. Using the evaporative stress index to monitor flash drought in Australia. Environ. Res. Lett. 2019, 14, 064016. [Google Scholar] [CrossRef]
- Fisher, J.B. Level-4 Evaporative Stress Index L4(ESI_PT-JPL) Algorithm Theoretical Basis Document; JPL: Pasadena, CA, USA, 2018; p. 13. [Google Scholar]
- Hutengs, C.; Vohland, M. Downscaling land surface temperatures at regional scales with random forest regression. Remote Sens. Environ. 2016, 178, 127–141. [Google Scholar] [CrossRef]
- Sismanidis, P.; Keramitsoglou, I.; Bechtel, B.; Kiranoudis, C.T. Improving the Downscaling of Diurnal Land Surface Temperatures Using the Annual Cycle Parameters as Disaggregation Kernels. Remote Sens. 2016, 9, 23. [Google Scholar] [CrossRef]
- Bennie, J.; Hill, M.O.; Baxter, R.; Huntley, B. Influence of slope and aspect on long-term vegetation change in British chalk grasslands. J. Ecol. 2006, 94, 355–368. [Google Scholar] [CrossRef]
- Weiss, D.J.; Walsh, S.J. Remote Sensing of Mountain Environments. Geogr. Compass 2008, 3, 1–21. [Google Scholar] [CrossRef]
- Fu, P.; Rich, P.M. A geometric solar radiation model with applications in agriculture and forestry. Comput. Electron. Agric. 2002, 37, 25–35. [Google Scholar] [CrossRef]
- Maurer, E.P.; Wood, A.W.; Adam, J.C.; Lettenmaier, D.P.; Nijssen, B. A Long-Term Hydrologically Based Dataset of Land Surface Fluxes and States for the Conterminous United States. J. Clim. 2002, 15, 3237–3251. [Google Scholar] [CrossRef]
- Córdova, M.; Célleri, R.; Shellito, C.J.; Orellana-Alvear, J.; Abril, A.; Carrillo-Rojas, G. Near-Surface Air Temperature Lapse Rate Over Complex Terrain in the Southern Ecuadorian Andes: Implications for Temperature Mapping. Arct. Antarct. Alp. Res. 2016, 48, 673–684. [Google Scholar] [CrossRef]
- Molina, V.H.S.; Granados, H.D. Estimación de la temperatura del aire en la alta montaña mexicana mediante un modelo de elevación del terreno: Caso del volcán Nevado de Toluca (México)/Estimation of the air temperature in the Mexican high mountain environment by means of a model of elevation of the terrain, case of the Nevado de Toluca volcano (Mexico). Ería 2020, 2, 167–182. [Google Scholar] [CrossRef]
- Navarro-Serrano, F.; Lopez-Moreno, I.; Azorin-Molina, C.; González, E.A.; Tomás-Burguera, M.; Sanmiguel-Vallelado, A.; Revuelto, J.; Vicente-Serrano, S.M. Estimation of near-surface air temperature lapse rates over continental Spain and its mountain areas. Int. J. Clim. 2018, 38, 3233–3249. [Google Scholar] [CrossRef]
- Rolland, C. Spatial and Seasonal Variations of Air Temperature Lapse Rates in Alpine Regions. J. Clim. 2003, 16, 1032–1046. [Google Scholar] [CrossRef]
- Li, X.; Wang, L.; Chen, D.; Yang, K.; Xue, B.; Sun, L. Near-surface air temperature lapse rates in the mainland China during 1962–2011. J. Geophys. Res. Atmos. 2013, 118, 7505–7515. [Google Scholar] [CrossRef]
- Echeverría, C.; Huber, A.; Taberlet, F. Estudio comparativo de los componentes del balance hídrico en un bosque nativo y una pradera en el sur de Chile. Bosque (Valdivia) 2007, 28, 271–280. [Google Scholar] [CrossRef][Green Version]
- Blandford, T.R.; Humes, K.S.; Harshburger, B.J.; Moore, B.C.; Walden, V.P.; Ye, H. Seasonal and Synoptic Variations in Near-Surface Air Temperature Lapse Rates in a Mountainous Basin. J. Appl. Meteorol. Clim. 2008, 47, 249–261. [Google Scholar] [CrossRef]
- Liu, Y.; Li, F. A preliminary approach on the land surface temperature (LST) lapse rate of mountain area using MODIS data. In Proceedings of the Remote Sensing and Space Technology for Multidisciplinary Research and Applications, Beijing, China, 19 May 2006; Volume 6199, p. 619907. [Google Scholar]
- Kattel, D.B.; Yao, T.; Yang, K.; Tian, L.; Yang, G.; Joswiak, D. Temperature lapse rate in complex mountain terrain on the southern slope of the central Himalayas. Theor. Appl. Clim. 2013, 113, 671–682. [Google Scholar] [CrossRef]
- Joshi, R.; Sambhav, K. Near Surface Temperature Lapse Rate for Treeline Environment in Western Himalaya and Possible Impacts on Ecotone Vegetation; ResearchGate: Berlin, Germany, 2018. [Google Scholar]
- Lute, A.C.; Abatzoglou, J.T. Best practices for estimating near-surface air temperature lapse rates. Int. J. Clim. 2021, 41, E110–E125. [Google Scholar] [CrossRef]
- Gheyret, G.; Mohammat, A.; Tang, Z.-Y. Elevational patterns of temperature and humidity in the middle Tianshan Mountain area in Central Asia. J. Mt. Sci. 2020, 17, 397–409. [Google Scholar] [CrossRef]
- Kidane, Y.O.; Steinbauer, M.J.; Beierkuhnlein, C. Dead end for endemic plant species? A biodiversity hotspot under pressure. Glob. Ecol. Conserv. 2019, 19, e00670. [Google Scholar] [CrossRef]
- Holden, Z.A.; Jolly, W.M.; Swanson, A.; Warren, D.A.; Jencso, K.; Maneta, M.; Burgard, M.; Gibson, C.; Hoylman, Z.; Landguth, E.L. TOPOFIRE: A Topographically Resolved Wildfire Danger and Drought Monitoring System for the Conterminous United States. Bull. Am. Meteorol. Soc. 2019, 100, 1607–1613. [Google Scholar] [CrossRef]
- Havel, A.; Tasdighi, A.; Arabi, M. Assessing the hydrologic response to wildfires in mountainous regions. Hydrol. Earth Syst. Sci. 2018, 22, 2527–2550. [Google Scholar] [CrossRef]
- Holden, Z.A.; Jolly, W.M. Modeling topographic influences on fuel moisture and fire danger in complex terrain to improve wildland fire management decision support. For. Ecol. Manag. 2011, 262, 2133–2141. [Google Scholar] [CrossRef]
- Flores-Medina, F.; Vega Nieva, D.J.; Monjarás-Vega, N.; Briones-Herrera, C.I.; Corral-Rivas, J.J. Mapping fuel loads and fire behavior from Sentinel in Durango, NW Mexico. In Proceedings of the 6th International Fire Behavior and Fuels Conference, Albuquerque, NM, USA, 29 April–3 May 2019. [Google Scholar]
- Vega-Nieva, D.J.; Briseño-Reyes, J.; Nava-Miranda, M.G.; Calleros-Flores, E.; López-Serrano, P.M.; Corral-Rivas, J.J.; Montiel-Antuna, E.; Cruz-López, M.I.; Cuahutle, M.; Ressl, R.; et al. Developing Models to Predict the Number of Fire Hotspots from an Accumulated Fuel Dryness Index by Vegetation Type and Region in Mexico. Forests 2018, 9, 190. [Google Scholar] [CrossRef]
- Vega-Nieva, D.J.; Nava-Miranda, M.G.; Calleros-Flores, E.; López-Serrano, P.M.; Briseño-Reyes, J.; López-Sánchez, C.; Corral-Rivas, J.J.; Montiel-Antuna, E.; Cruz-Lopez, M.I.; Ressl, R.; et al. Temporal patterns of active fire density and its relationship with a satellite fuel greenness index by vegetation type and region in Mexico during 2003–2014. Fire Ecol. 2019, 15, 28. [Google Scholar] [CrossRef]
- Briseño-Reyes, J.; Corral-Rivas, J.J.; Solis-Moreno, R.; Padilla-Martínez, J.R.; Vega-Nieva, D.J.; López-Serrano, P.M.; Vargas-Larreta, B.; Diéguez-Aranda, U.; Quiñonez-Barraza, G.; López-Sánchez, C.A. Individual Tree Diameter and Height Growth Models for 30 Tree Species in Mixed-Species and Uneven-Aged Forests of Mexico. Forests 2020, 11, 429. [Google Scholar] [CrossRef]
- López-Serrano, P.M.; Cárdenas-Domínguez, J.L.; Corral-Rivas, J.J.; Jiménez, E.; López-Sánchez, C.A.; Vega-Nieva, D.J. Modeling of Aboveground Biomass with Landsat 8 OLI and Machine Learning in Temperate Forests. Forests 2019, 11, 11. [Google Scholar] [CrossRef]







| Path/Row | Acquisition Date | Path/Row | Acquisition Date | ||
|---|---|---|---|---|---|
| Winter | Summer | Winter | Summer | ||
| 31/42 | 31 December 2018 | 05 June 2019 | 32/41 | 22 December 2018 | 02 June 2019 | 
| 16 January 2019 | 11 July 2019 | 07 January 2019 | 18 June 2019 | ||
| 01 February 2019 | 27 July 2019 | 23 January 2019 | 03 August 2019 | ||
| 17 February 2019 | 12 August 2019 | 08 February 2019 | 19 August 2019 | ||
| 05 March 2019 | 28 August 2019 | 24 February 2019 | 04 September 2019 | ||
| 12 March 2019 | 20 September 2019 | ||||
| 31/43 | 31 December 2018 | 25 June 2019 | 32/42 | 22 December 2018 | 02 July 2019 | 
| 16 January 2019 | 11 July 2019 | 07 January 2019 | 18 July 2019 | ||
| 01 February 2019 | 27 July 2019 | 23 January 2019 | 03 August 2019 | ||
| 17 February 2019 | 12 August 2019 | 08 February 2019 | 19 August 2019 | ||
| 05 March 2019 | 28 August 2019 | 24 February 2019 | 04 September 2019 | ||
| 12 March 2019 | 20 September 2019 | ||||
| Parameter | Min | Q1 | Mean | Q3 | Max | 
|---|---|---|---|---|---|
| NLSTw (°C) | 5.8 | 14.5 | 17.4 | 20.3 | 26.7 | 
| NLSTs (°C) | 18.1 | 29.9 | 34.3 | 39.57 | 47.8 | 
| ESIw | 0.03 | 0.2 | 0.3 | 0.4 | 0.7 | 
| ESIs | 0.3 | 0.6 | 0.7 | 0.8 | 0.9 | 
| Elevation (m) | 1587 | 1897 | 2,31 | 2492 | 3285 | 
| R2 | RMSE | ||||
|---|---|---|---|---|---|
| Summer | Winter | Summer | Winter | ||
| Aspect | North | 0.79 | 0.72 | 2.47 | 2.05 | 
| Northeast | 0.82 | 0.76 | 2.33 | 1.83 | |
| East | 0.81 | 0.78 | 2.26 | 1.64 | |
| Southeast | 0.83 | 0.80 | 2.26 | 1.53 | |
| South | 0.82 | 0.82 | 2.31 | 1.51 | |
| Southwest | 0.83 | 0.81 | 2.36 | 1.63 | |
| West | 0.81 | 0.77 | 2.42 | 1.91 | |
| Northwest | 0.78 | 0.71 | 2.55 | 2.13 | |
| LSZA | 0–15° | 0.80 | 0.71 | 2.23 | 1.48 | 
| 15–30° | 0.69 | 0.77 | 2.55 | 1.52 | |
| 30–45° | 0.75 | 0.81 | 2.30 | 1.68 | |
| 45–60° | 0.81 | 0.73 | 2.27 | 1.81 | |
| 60–75° | 0.82 | 0.66 | 2.44 | 1.69 | |
| 75–90° | 0.77 | 0.63 | 2.40 | 1.62 | |
| ESI | 0–0.2 | - | 0.61 | - | 1.08 | 
| 0.2–0.4 | 0.35 | 0.63 | 2.92 | 1.66 | |
| 0.4–0.6 | 0.51 | 0.48 | 1.63 | 1.96 | |
| 0.6–0.8 | 0.77 | 0.59 | 2.54 | 1.63 | |
| 0.8–1 | 0.25 | - | 3.87 | - | |
| Publisher’s Note: MDPI stays neutral with regard to jurisdictional claims in published maps and institutional affiliations. | 
© 2021 by the authors. Licensee MDPI, Basel, Switzerland. This article is an open access article distributed under the terms and conditions of the Creative Commons Attribution (CC BY) license (https://creativecommons.org/licenses/by/4.0/).
Share and Cite
Rosas-Chavoya, M.; López-Serrano, P.M.; Hernández-Díaz, J.C.; Wehenkel, C.; Vega-Nieva, D.J. Analysis of Near-Surface Temperature Lapse Rates in Mountain Ecosystems of Northern Mexico Using Landsat-8 Satellite Images and ECOSTRESS. Remote Sens. 2022, 14, 162. https://doi.org/10.3390/rs14010162
Rosas-Chavoya M, López-Serrano PM, Hernández-Díaz JC, Wehenkel C, Vega-Nieva DJ. Analysis of Near-Surface Temperature Lapse Rates in Mountain Ecosystems of Northern Mexico Using Landsat-8 Satellite Images and ECOSTRESS. Remote Sensing. 2022; 14(1):162. https://doi.org/10.3390/rs14010162
Chicago/Turabian StyleRosas-Chavoya, Marcela, Pablito Marcelo López-Serrano, José Ciro Hernández-Díaz, Christian Wehenkel, and Daniel José Vega-Nieva. 2022. "Analysis of Near-Surface Temperature Lapse Rates in Mountain Ecosystems of Northern Mexico Using Landsat-8 Satellite Images and ECOSTRESS" Remote Sensing 14, no. 1: 162. https://doi.org/10.3390/rs14010162
APA StyleRosas-Chavoya, M., López-Serrano, P. M., Hernández-Díaz, J. C., Wehenkel, C., & Vega-Nieva, D. J. (2022). Analysis of Near-Surface Temperature Lapse Rates in Mountain Ecosystems of Northern Mexico Using Landsat-8 Satellite Images and ECOSTRESS. Remote Sensing, 14(1), 162. https://doi.org/10.3390/rs14010162
 
         
                                                




 
       