Quantify the Contribution of Dust and Anthropogenic Sources to Aerosols in North China by Lidar and Validated with CALIPSO
Abstract
1. Introduction
2. Methods
2.1. Ground-Based Mie–Raman Lidar
2.2. CALIPSO Level 2 Aerosol Products
2.3. Comparison between Mie–Raman Lidar and CALIPSO
3. Results
3.1. Key Property of Typical Aerosol Types in BTH Region
3.1.1. Dust Aerosol
3.1.2. Anthropogenic Aerosols
3.1.3. Polluted Dust
3.2. Aerosol Classification Scheme
3.3. Classification Results Comparison between MRL and CALIPSO
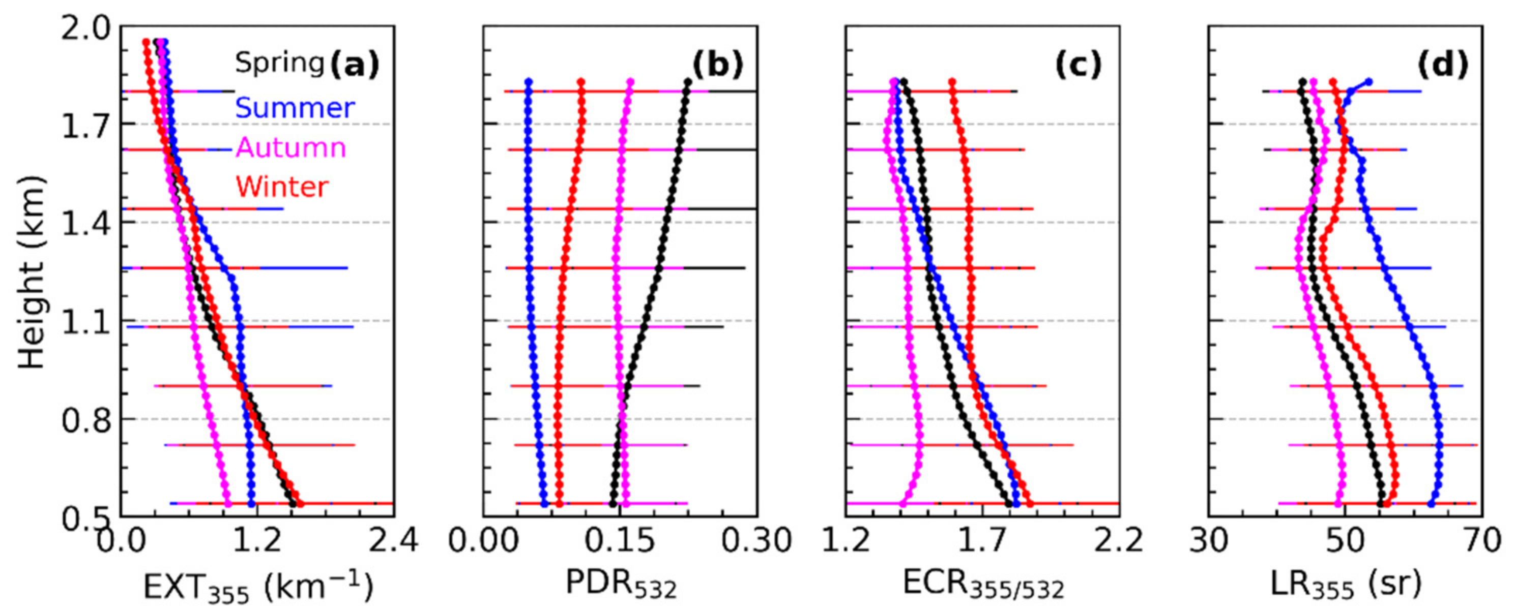
3.4. Mean Vertical Profiles for Three Aerosol Types
3.5. Contribution of Three Aerosol Types to Air Pollution in Different Seasons
4. Discussions
Supplementary Materials
Author Contributions
Funding
Institutional Review Board Statement
Informed Consent Statement
Data Availability Statement
Acknowledgments
Conflicts of Interest
References
- Sokolik, I.N.; Winker, D.M.; Bergametti, G.; Gillette, D.A.; Carmichael, G.; Kaufman, Y.J.; Gomes, L.; Schuetz, L.; Penner, J.E. Introduction to special section: Outstanding problems in quantifying the radiative impacts of mineral dust. Geophys. Res. Lett. 2001, 106, 15–18. [Google Scholar] [CrossRef]
- Zhang, C.; Liu, C.; Chan, K.L.; Hu, Q.; Liu, H.; Li, B.; Xing, C.; Tan, W.; Zhou, H.; Si, F.; et al. First observation of tropospheric nitrogen dioxide from the Environmental Trace Gases Monitoring Instrument onboard the GaoFen-5 satellite. Light. Sci. Appl. 2020, 9, 66. [Google Scholar] [CrossRef] [PubMed]
- Zhang, C.; Liu, C.; Hu, Q.; Cai, Z.; Su, W.; Xia, C.; Zhu, Y.; Wang, S.; Liu, J. Satellite UV-Vis spectroscopy: Implications for air quality trends and their driving forces in China during 2005–2017. Light. Sci. Appl. 2019, 8, 100. [Google Scholar] [CrossRef]
- Zhang, Q.; Zheng, Y.; Tong, D.; Shao, M.; Wang, S.; Zhang, Y.; Xu, X.; Wang, J.; He, H.; Liu, W.; et al. Drivers of improved PM2.5 air quality in China from 2013 to 2017. Proc. Natl. Acad. Sci. USA 2019, 116, 24463–24469. [Google Scholar] [CrossRef]
- Chang, X.; Wang, S.; Zhao, B.; Cai, S.; Hao, J. Assessment of inter-city transport of particulate matter in the Beijing-Tianjin-Hebei region. Atmos. Chem. Phys. 2018, 18, 4843–4858. [Google Scholar] [CrossRef]
- Li, H.; Duan, F.; Ma, Y.; He, K.; Zhu, L.; Ma, T.; Ye, S.; Yang, S.; Huang, T.; Kimoto, T. Case study of spring haze in Beijing: Characteristics, formation processes, secondary transition, and regional transportation. Environ. Pollut. 2018, 242, 544–554. [Google Scholar] [CrossRef] [PubMed]
- Zhang, H.; Cheng, S.; Wang, X.; Yao, S.; Zhu, F. Continuous monitoring, compositions analysis and the implication of regional transport for submicron and fine aerosols in Beijing, China. Atmos. Environ. 2018, 195, 30–45. [Google Scholar] [CrossRef]
- Ouyang, W.; Xu, Y.; Cao, J.; Gao, X.; Gao, B.; Hao, Z.; Lin, C. Rainwater characteristics and interaction with atmospheric particle matter transportation analyzed by remote sensing around Beijing. Sci. Total Environ. 2019, 651, 532–540. [Google Scholar] [CrossRef]
- Zhang, Y.; Chen, J.; Yang, H.; Li, R.; Yu, Q. Seasonal variation and potential source regions of PM2.5-bound PAHs in the megacity Beijing, China: Impact of regional transport. Environ. Pollut. 2017, 231, 329–338. [Google Scholar] [CrossRef]
- Sun, J.; Zhang, M.; Liu, T. Spatial and temporal characteristics of dust storms in China and its surrounding regions, 1960–1999: Relations to source area and climate. J. Geophys. Res. Atmos. 2001, 106, 10325–10333. [Google Scholar] [CrossRef]
- Ansmann, A.; Wandinger, U.; Riebesell, M.; Weitkamp, C.; Michaelis, W. Independent measurement of extinction and backscatter profiles in cirrus clouds by using a combined Raman elastic-backscatter lidar. Appl. Opt. 1992, 31, 7113–7131. [Google Scholar] [CrossRef]
- Esselborn, M.; Wirth, M.; Fix, A.; Tesche, M.; Ehret, G. Airborne high spectral resolution lidar for measuring aerosol extinction and backscatter coefficients. Appl. Opt. 2008, 47, 346–358. [Google Scholar] [CrossRef]
- Piironen, P.; Eloranta, E.W. Demonstration of a high-spectral-resolution lidar based on an iodine absorption filter. Opt. Lett. 1994, 19, 234–236. [Google Scholar] [CrossRef]
- Burton, S.P.; Ferrare, R.A.; Hostetler, C.A.; Hair, J.W.; Rogers, R.R.; Obland, M.D.; Butler, C.F.; Cook, A.L.; Harper, D.B.; Froyd, K.D. Aerosol classification using airborne High Spectral Resolution Lidar measurements—Methodology and examples. Atmos. Meas. Tech. 2012, 5, 73–98. [Google Scholar] [CrossRef]
- Burton, S.P.; Ferrare, R.A.; Vaughan, M.A.; Omar, A.H.; Rogers, R.R.; Hostetler, C.A.; Hair, J.W. Aerosol classification from airborne HSRL and comparisons with the CALIPSO vertical feature mask. Atmos. Meas. Tech. 2013, 6, 1397–1412. [Google Scholar] [CrossRef]
- Burton, S.P.; Vaughan, M.A.; Ferrare, R.A.; Hostetler, C.A. Separating mixtures of aerosol types in airborne High Spectral Resolution Lidar data. Atmos. Meas. Tech. 2014, 7, 419–436. [Google Scholar] [CrossRef]
- de Foy, B.; Burton, S.P.; Ferrare, R.A.; Hostetler, C.A.; Hair, J.W.; Wiedinmyer, C.; Molina, L.T. Aerosol plume transport and transformation in high spectral resolution lidar measurements and WRF-Flexpart simulations during the MILAGRO Field Campaign. Atmos. Chem. Phys. 2011, 11, 3543–3563. [Google Scholar] [CrossRef]
- Groß, S.; Esselborn, M.; Weinzierl, B.; Wirth, M.; Fix, A.; Petzold, A. Aerosol classification by airborne high spectral resolution lidar observations. Atmos. Chem. Phys. 2013, 13, 2487–2505. [Google Scholar] [CrossRef]
- Groß, S.; Freudenthaler, V.; Schepanski, K.; Toledano, C.; Schäfler, A.; Ansmann, A.; Weinzierl, B. Optical properties of long-range transported Saharan dust over Barbados as measured by dual-wavelength depolarization Raman lidar measurements. Atmos. Chem. Phys. 2015, 15, 11067–11080. [Google Scholar] [CrossRef]
- Groß, S.; Tesche, M.; Freudenthaler, V.; Toledano, C.; Wiegner, M.; Ansmann, A.; Althausen, D.; Seefeldner, M. Characterization of Saharan dust, marine aerosols and mixtures of biomass-burning aerosols and dust by means of multi-wavelength depolarization and Raman lidar measurements during SAMUM 2. Tellus B 2017, 63, 706–724. [Google Scholar] [CrossRef]
- Weinzierl, B.; Sauer, D.; Esselborn, M.; Petzold, A.; Veira, A.; Rose, M.; Mund, S.; Wirth, M.; Ansmann, A.; Tesche, M.; et al. Microphysical and optical properties of dust and tropical biomass burning aerosol layers in the Cape Verde region-an overview of the airborne in situ and lidar measurements during SAMUM-2. Tellus B 2011, 63, 589–618. [Google Scholar] [CrossRef]
- Li, Z.; Guo, J.; Ding, A.; Liao, H.; Liu, J.; Sun, Y.; Wang, T.; Xue, H.; Zhang, H.; Zhu, B. Aerosol and boundary-layer interactions and impact on air quality. Natl. Sci. Rev. 2017, 4, 810–833. [Google Scholar] [CrossRef]
- Tesche, M.; Ansmann, A.; Müller, D.; Althausen, D.; Engelmann, R.; Hu, M.; Zhang, Y. Particle backscatter, extinction, and lidar ratio profiling with Raman lidar in south and north China. Appl. Opt. 2007, 46, 6302–6308. [Google Scholar] [CrossRef] [PubMed]
- Xie, C.; Nishizawa, T.; Sugimoto, N.; Matsui, I.; Wang, Z. Characteristics of aerosol optical properties in pollution and Asian dust episodes over Beijing, China. Appl. Opt. 2008, 47, 4945–4951. [Google Scholar] [CrossRef] [PubMed]
- Hänel, A.; Baars, H.; Althausen, D.; Ansmann, A.; Engelmann, R.; Sun, J.Y. One-year aerosol profiling with EUCAARI Raman lidar at Shangdianzi GAW station: Beijing plume and seasonal variations. J. Geophys. Res. Atmos. 2012, 117, D13201. [Google Scholar] [CrossRef]
- Kim, M.; Omar, A.; Tackett, J.L.; Vaughan, M.A.; Winker, D.M.; Trepte, C.R.; Hu, Y.; Liu, Z.; Poole, L.R.; Pitts, M.C. The CALIPSO version 4 automated aerosol classification and lidar ratio selection algorithm. Atmos. Meas. Tech. 2018, 11, 6107–6135. [Google Scholar] [CrossRef] [PubMed]
- Omar, A.H.; Winker, D.M.; Vaughan, M.A.; Hu, Y.; Trepte, C.R.; Ferrare, R.A.; Lee, K.-P.; Hostetler, C.A.; Kittaka, C.; Rogers, R.R.; et al. The CALIPSO Automated Aerosol Classification and Lidar Ratio Selection Algorithm. J. Atmos. Oceanic Technol. 2009, 26, 1994–2014. [Google Scholar] [CrossRef]
- Draxler, R.R.; Hess, G. An overview of the HYSPLIT_4 modelling system for trajectories. Aust. Meteorol. Mag. 1998, 47, 295–308. [Google Scholar]
- Ji, X.; Liu, C.; Xie, Z.; Hu, Q.; Dong, Y.; Fan, G.; Zhang, T.; Xing, C.; Wang, Z.; Javed, Z.; et al. Comparison of mixing layer height inversion algorithms using lidar and a pollution case study in Baoding, China. J. Environ. Sci. 2019, 79, 81–90. [Google Scholar] [CrossRef]
- Wang, Z.; Liu, C.; Xie, Z.; Hu, Q.; Andreae, M.O.; Dong, Y.; Zhao, C.; Liu, T.; Zhu, Y.; Liu, H.; et al. Elevated dust layers inhibit dissipation of heavy anthropogenic surface air pollution. Atmos. Chem. Phys. 2020, 20, 14917–14932. [Google Scholar] [CrossRef]
- Ansmann, A.; Riebesell, M.; Wandinger, U.; Weitkamp, C.; Voss, E.; Lahmann, W.; Michaelis, W. Combined Raman elastic-backscatter lidar for vertical profiling of moisture, aerosol extinction, backscatter, and lidar ratio. Appl. Opt. 1992, 55, 18–28. [Google Scholar] [CrossRef]
- Ansmann, A.; Riebesell, M.; Weitkamp, C. Measurement of atmospheric aerosol extinction profiles with a Raman lidar. Opt. Lett. 1990, 15, 746–748. [Google Scholar] [CrossRef]
- Wandinger, U.; Ansmann, A. Experimental determination of the lidar overlap profile with Raman lidar. Appl. Opt. 2002, 41, 511–514. [Google Scholar] [CrossRef]
- Fernald, F.G. Analysis of atmospheric lidar observations: Some comments. Appl. Opt. 1984, 23, 652–653. [Google Scholar] [CrossRef]
- Klett, J.D. Stable analytical inversion solution for processing lidar returns. Appl. Opt. 1981, 20, 211–220. [Google Scholar] [CrossRef]
- Sugimoto, N.; Matsui, I.; Shimizu, A.; Uno, I.; Asai, K.; Endoh, T.; Nakajima, T. Observation of dust and anthropogenic aerosol plumes in the northwest Pacific with a two-wavelength polarization lidar on board the research vessel Mirai. Geophys. Res. Lett. 2002, 29, 1901. [Google Scholar] [CrossRef]
- Freudenthaler, V.; Esselborn, M.; Wiegner, M.; Heese, B.; Tesche, M.; Ansmann, A.; Müller, D.; Althausen, D.; Wirth, M.; Fix, A. Depolarization ratio profiling at several wavelengths in pure Saharan dust during SAMUM 2006. Tellus B 2009, 61, 165–179. [Google Scholar] [CrossRef]
- Tesche, M.; Ansmann, A.; Müller, D.; Althausen, D.; Engelmann, R.; Freudenthaler, V.; Groß, S. Vertically resolved separation of dust and smoke over Cape Verde using multiwavelength Raman and polarization lidars during Saharan Mineral Dust Experiment 2008. J. Geophys. Res. Atmos. 2009, 114, D13202. [Google Scholar] [CrossRef]
- Heese, B.; Flentje, H.; Althausen, D.; Ansmann, A.; Frey, S. Ceilometer lidar comparison: Backscatter coefficient retrieval and signal-to-noise ratio determination. Atmos. Meas. Tech. 2010, 3, 1763–1770. [Google Scholar] [CrossRef]
- Müller, D.; Ansmann, A.; Mattis, I.; Tesche, M.; Wandinger, U.; Althausen, D.; Pisani, G. Aerosol-type-dependent lidar ratios observed with Raman lidar. J. Geophys. Res. 2007, 112, D16202. [Google Scholar] [CrossRef]
- Hunt, W.H.; Winker, D.M.; Vaughan, M.A.; Powell, K.A.; Lucker, P.L.; Weimer, C. CALIPSO Lidar Description and Performance Assessment. J. Atmos. Oceanic Technol. 2009, 26, 1214–1228. [Google Scholar] [CrossRef]
- Liu, Z.; Vaughan, M.; Winker, D.; Kittaka, C.; Getzewich, B.; Kuehn, R.; Omar, A.; Powell, K.; Trepte, C.; Hostetler, C. The CALIPSO Lidar Cloud and Aerosol Discrimination: Version 2 Algorithm and Initial Assessment of Performance. J. Atmos. Oceanic Technol. 2009, 26, 1198–1213. [Google Scholar] [CrossRef]
- Young, S.A.; Vaughan, M.A.; Kuehn, R.E.; Winker, D.M. The retrieval of profiles of particulate extinction from Cloud Aerosol Lidar Infrared Pathfinder Satellite Observations (CALIPSO) data: Uncertainty and error sensitivity analyses. J. Atmos. Ocean. Tech. 2016, 33, 1795–1798. [Google Scholar] [CrossRef]
- Holben, B.N.; Eck, T.F.; Slutsker, I.; Tanre, D.; Buis, J.; Setzer, A.; Vermote, E.; Reagan, J.; Kaufman, Y.; Nakajima, T. AERONET: A federated instrument network and data archive for aerosol characterization. Remote Sens. Environ. 1998, 66, 1–16. [Google Scholar] [CrossRef]
- Winker, D.M.; Tackett, J.L.; Getzewich, B.J.; Liu, Z.; Vaughan, M.A.; Rogers, R.R. The global 3-D distribution of tropospheric aerosols as characterized by CALIOP. Atmos. Chem. Phys. 2013, 13, 3345–3361. [Google Scholar] [CrossRef]
- Anderson, T.L.; Charlson, R.J.; Winker, D.M.; Ogren, J.A.; Holmén, K. Mesoscale variations of tropospheric aerosols. J. Atmos. Sci. 2003, 60, 119–136. [Google Scholar] [CrossRef]
- Tesche, M.; Wandinger, U.; Ansmann, A.; Althausen, D.; Müller, D.; Omar, A.H. Ground-based validation of CALIPSO observations of dust and smoke in the Cape Verde region. J. Geophys. Res. Atmos. 2013, 118, 2889–2902. [Google Scholar] [CrossRef]
- Tesche, M.; Ansmann, A.; Muller, D.; Althausen, D.; Mattis, I.; Heese, B.; Freudenthaler, V.; Wiegner, M.; Esselborn, M.; Pisani, G. Vertical profiling of Saharan dust with Raman lidars and airborne HSRL in southern Morocco during SAMUM. Tellus B 2009, 61, 144–164. [Google Scholar] [CrossRef]
- Liu, Y.; Tang, G.; Zhou, L.; Hu, B.; Liu, B.; Li, Y.; Liu, S.; Wang, Y. Mixing layer transport flux of particulate matter in Beijing, China. Atmos. Chem. Phys. 2019, 19, 9531–9540. [Google Scholar] [CrossRef]
- Zongming Tao, Z.T.; Dong Liu, D.L.; Zhiqing Zhong, Z.Z.; Bo Shi, B.S.; Miao Nie, M.N.; Xiaomin Ma, X.M.; Jun Zhou, J.Z. Measurements of cirrus clouds with a three-wavelength lidar. Chin. Opt. Lett. 2012, 10, 050101–050103. [Google Scholar] [CrossRef]
- Sakai, T.; Nagai, T.; Nakazato, M.; Mano, Y.; Matsumura, T. Ice clouds and Asian dust studied with lidar measurements of particle extinction-to-backscatter ratio, particle depolarization, and water-vapor mixing ratio over Tsukuba. Appl. Opt. 2003, 42, 7103–7116. [Google Scholar] [CrossRef]
- Noel, V.; Chepfer, H.; Ledanois, G.; Delaval, A.; Flamant, P.H. Classification of particle effective shape ratios in cirrus clouds based on the lidar depolarization ratio. Appl. Opt. 2002, 41, 4245–4257. [Google Scholar] [CrossRef]
- Chen, W.-N.; Chiang, C.-W.; Nee, J.-B. Lidar ratio and depolarization ratio for cirrus clouds. Appl. Opt. 2002, 41, 6470. [Google Scholar] [CrossRef]
- Reichardt, J.; Reichardt, S.; Behrendt, A.; McGee, T.J. Correlations among the optical properties of cirrus-cloud particles: Implications for spaceborne remote sensing. Geophys. Res. Lett. 2002, 29, 1668. [Google Scholar] [CrossRef]
- Voudouri, K.A.; Giannakaki, E.; Komppula, M.; Balis, D. Variability in cirrus cloud properties using a PollyXT Raman lidar over high and tropical latitudes. Atmos. Chem. Phys. 2020, 20, 4427–4444. [Google Scholar] [CrossRef]
- Janicka, L.; Stachlewska, I.S. Properties of biomass burning aerosol mixtures derived at fine temporal and spatial scales from Raman lidar measurements: Part I optical properties. Atmos. Chem. Phys. Discuss. 2019, 1–46. [Google Scholar] [CrossRef]
- Giannakaki, E.; van Zyl, P.G.; Müller, D.; Balis, D.; Komppula, M. Optical and microphysical characterization of aerosol layers over South Africa by means of multi-wavelength depolarization and Raman lidar measurements. Atmos. Chem. Phys. 2016, 16, 8109–8123. [Google Scholar] [CrossRef]
- Sakai, T.; Shibata, T.; Iwasaka, Y.; Nagai, T.; Nakazato, M.; Matsumura, T.; Ichiki, A.; Kim, Y.-S.; Tamura, K.; Troshkin, D. Case study of Raman lidar measurements of Asian dust events in 2000 and 2001 at Nagoya and Tsukuba, Japan. Atmos. Environ. 2002, 36, 5479–5489. [Google Scholar] [CrossRef]
- Murayama, T.; Masonis, S.J.; Redemann, J.; Anderson, T.L.; Schmid, B.; Livingston, J.M.; Russell, P.B.; Huebert, B.; Howell, S.G.; McNaughton, C.S.; et al. An intercomparison of lidar-derived aerosol optical properties with airborne measurements near Tokyo during ACE-Asia. J. Geophys. Res. 2003, 108, 8651. [Google Scholar] [CrossRef]
- Vaughan, M.A.; Powell, K.A.; Winker, D.M.; Hostetler, C.A.; Kuehn, R.E.; Hunt, W.H.; Getzewich, B.J.; Young, S.A.; Liu, Z.; McGill, M.J. Fully Automated Detection of Cloud and Aerosol Layers in the CALIPSO Lidar Measurements. J. Atmos. Ocean. Tech. 2009, 26, 2034–2050. [Google Scholar] [CrossRef]
- Guo, S.; Hu, M.; Zamora, M.L.; Peng, J.; Shang, D.; Zheng, J.; Du, Z.; Wu, Z.; Shao, M.; Zeng, L.; et al. Elucidating severe urban haze formation in China. Proc. Natl. Acad. Sci. USA 2014, 111, 17373–17378. [Google Scholar] [CrossRef]
- Nie, W.; Ding, A.; Wang, T.; Kerminen, V.M.; George, C.; Xue, L.; Wang, W.; Zhang, Q.; Petaja, T.; Qi, X.; et al. Polluted dust promotes new particle formation and growth. Sci. Rep. 2014, 4, 6634. [Google Scholar] [CrossRef] [PubMed]
- Ding, A.; Huang, X.; Nie, W.; Sun, J.; Kerminen, V.M.; Petäjä, T.; Su, H.; Cheng, Y.; Yang, X.Q.; Wang, M. Enhanced haze pollution by black carbon in megacities in China. Geophys. Res. Lett. 2016, 43, 2873–2879. [Google Scholar] [CrossRef]
- Zhang, J.; Campbell, J.R.; Reid, J.S.; Westphal, D.L.; Baker, N.L.; Campbell, W.F.; Hyer, E.J. Evaluating the impact of assimilating CALIOP-derived aerosol extinction profiles on a global mass trans-port model. Geophys. Res. Lett. 2011, 38, L14801. [Google Scholar] [CrossRef]
- El Amraoui, L.; Sič, B.; Piacentini, A.; Marécal, V.; Frebourg, N.; Attié, J.-L. Aerosol data assimilation in the MOCAGE chemical transport model during the TRAQA/ChArMEx campaign: Lidar observations. Atmos. Meas. Tech. 2020, 13, 4645–4667. [Google Scholar] [CrossRef]












| Case | Date | Time (LTC) | Separation (km) | Heights (km) | R2 |
|---|---|---|---|---|---|
| 1 | 27 Jan | 0231 | 44 | 0.54–2.22 | 0.43 |
| 2 | 9 Mar | 0225 | 86 | 0.96–2.70 | 0.91 |
| 3 | 1 Apr | 0232 | 53 | 0.54–3.84 | 0.90 |
| 4 | 1 Apr | 1336 | 15 | 0.54–2.04 | 0.99 |
| 5 | 17 Apr | 0232 | 52 | 0.54–3.90 | 0.94 |
| 6 | 17 Apr | 1336 | 14 | 0.54–3.18 | 0.65 |
| 7 | 26 Apr | 0225 | 86 | 0.54–3.45 | 0.21 |
| 8 | 6 Jul | 0231 | 50 | 0.54–5.22 | 0.66 |
| 9 | 6 Jul | 1336 | 10 | 0.54–2.34 | 0.74 |
| 10 | 15 Jul | 0225 | 87 | 0.54–1.86 | 0.52 |
| 11 | 23 Aug | 0231 | 50 | 0.54–1.92 | 0.22 |
| 12 | 23 Aug | 1336 | 10 | 0.54–1.38 | 0.26 |
| 13 | 8 Sep | 1335 | 7 | 0.78–2.70 | 0.09 |
| 14 | 3 Nov | 0232 | 58 | 0.54–2.88 | 0.87 |
| 15 | 3 Nov | 1335 | 39 | 0.54–3.12 | 0.90 |
| 16 | 29 Nov | 1338 | 32 | 0.54–1.80 | 0.80 |
| 17 | 4 Dec | 0229 | 21 | 0.54–2.28 | 0.67 |
| 18 | 13 Dec | 1340 | 65 | 0.54–1.44 | 0.89 |
| 19 | 12 Jan | 0234 | 74 | 0.54–2.10 | 0.44 |
| PDR532 | LR355 | ECR355/532 | |
|---|---|---|---|
| Anthropogenic | 0.063 ± 0.022 | 55.2 ± 10.4 | 1.72 ± 0.25 |
| Polluted dust | 0.146 ± 0.042 | 48.2 ± 7.6 | 1.52 ± 0.27 |
| Dust | 0.322 ± 0.055 | 43.0 ± 5.2 | 1.20 ± 0.22 |
| Spring | 0.184 ± 0.091 | 48.2 ± 7.1 | 1.55 ± 0.33 |
| Summer | 0.054 ± 0.023 | 57.2 ± 6.6 | 1.57 ± 0.22 |
| Autumn | 0.151 ± 0.074 | 46.3 ± 6.7 | 1.42 ± 0.32 |
| Winter | 0.090 ± 0.061 | 51.2 ± 9.5 | 1.67 ± 0.25 |
| LR (sr) | PDR532 | Location | Reference |
|---|---|---|---|
| Ice clouds | |||
| 0.3–0.6 | Palaiseau, France | Noel et al. 2002 [52] | |
| 29 ± 12(LR 532) | 0.2–0.6 | Taiwan | Chen et al. 2002 [53] |
| 17 ± 14(LR 532) | 0.22 ± 0.07 | Tsukuba, Japan | Sakai et al. 2003 [51] |
| 10 ± 30(LR 355) | 0.13–0.35 | Arctic | Reichardt et al. 2002 [54] |
| ~20(LR 355) | Germany | Ansmann et al. 1992b [11] | |
| 25 ± 1(LR 355) | Beijing, China | Zongming Tao et al. 2012 [50] | |
| ~20(LR 532) | North America | Burton et al. 2012 [14] | |
| 27 ± 12(LR 355) | Gwal Pahari | Voudouri et al. 2020 [55] | |
| Anthropogenic aerosols | |||
| 56 ± 6(LR 532) | 0.06 ± 0.01 | Central Europe | Groß et al., 2013 [18] |
| 50–70(LR 532) | <0.1 | North America | Burton et al., 2012 [14] |
| 53–57(LR 355) | 0.05 | Warsaw | Janicka et al., 2019 [56] |
| 52 ± 7(LR 355) | 0.09 ± 0.04 | South Africa | Giannakaki et al., 2016 [57] |
| Dust | |||
| 47 ± 18(LR 532) | 0.20 ± 0.07 | Tsukuba, Japan | Sakai et al., 2003 [51] |
| 46 ± 5(LR 532) | 0.20–0.33 | Tsukuba, Japan | Sakai et al., 2002 [58] |
| 46.5 ± 10.5(LR 532) | ~0.30 | Tokyo, Japan | Murayama et al., 2003 [59] |
| 58 ± 7(LR 355) | 0.30 ± 0.01 | Praia | Groß et al., 2017 [20] |
| 53±5(LR 355) | 0.27 ± 0.01 | Barbados | Groß et al., 2015 [19] |
Publisher’s Note: MDPI stays neutral with regard to jurisdictional claims in published maps and institutional affiliations. |
© 2021 by the authors. Licensee MDPI, Basel, Switzerland. This article is an open access article distributed under the terms and conditions of the Creative Commons Attribution (CC BY) license (https://creativecommons.org/licenses/by/4.0/).
Share and Cite
Wang, Z.; Liu, C.; Hu, Q.; Dong, Y.; Liu, H.; Xing, C.; Tan, W. Quantify the Contribution of Dust and Anthropogenic Sources to Aerosols in North China by Lidar and Validated with CALIPSO. Remote Sens. 2021, 13, 1811. https://doi.org/10.3390/rs13091811
Wang Z, Liu C, Hu Q, Dong Y, Liu H, Xing C, Tan W. Quantify the Contribution of Dust and Anthropogenic Sources to Aerosols in North China by Lidar and Validated with CALIPSO. Remote Sensing. 2021; 13(9):1811. https://doi.org/10.3390/rs13091811
Chicago/Turabian StyleWang, Zhuang, Cheng Liu, Qihou Hu, Yunsheng Dong, Haoran Liu, Chengzhi Xing, and Wei Tan. 2021. "Quantify the Contribution of Dust and Anthropogenic Sources to Aerosols in North China by Lidar and Validated with CALIPSO" Remote Sensing 13, no. 9: 1811. https://doi.org/10.3390/rs13091811
APA StyleWang, Z., Liu, C., Hu, Q., Dong, Y., Liu, H., Xing, C., & Tan, W. (2021). Quantify the Contribution of Dust and Anthropogenic Sources to Aerosols in North China by Lidar and Validated with CALIPSO. Remote Sensing, 13(9), 1811. https://doi.org/10.3390/rs13091811

