Spatio-Temporal Analysis of Heavy Metals in Arid Soils at the Catchment Scale Using Digital Soil Assessment and a Random Forest Model
Abstract
1. Introduction
2. Materials and Methods
2.1. Study Area
2.2. Environmental Covariates
2.2.1. Digital Elevation Model
2.2.2. Remote Sensing Data
2.2.3. Land Use Map
2.2.4. Geological Map
2.2.5. Groundwater Quality Parameters
2.2.6. Other Geospatial Data
2.3. Soil Data and Laboratory Analysis
2.4. Random Forest
2.5. Historical Spatial Distributions of Soil Heavy Metals
3. Results and Discussion
3.1. Soil Data
3.2. Environmental Covariates
3.3. Current Distributions of Heavy Metals (2016)
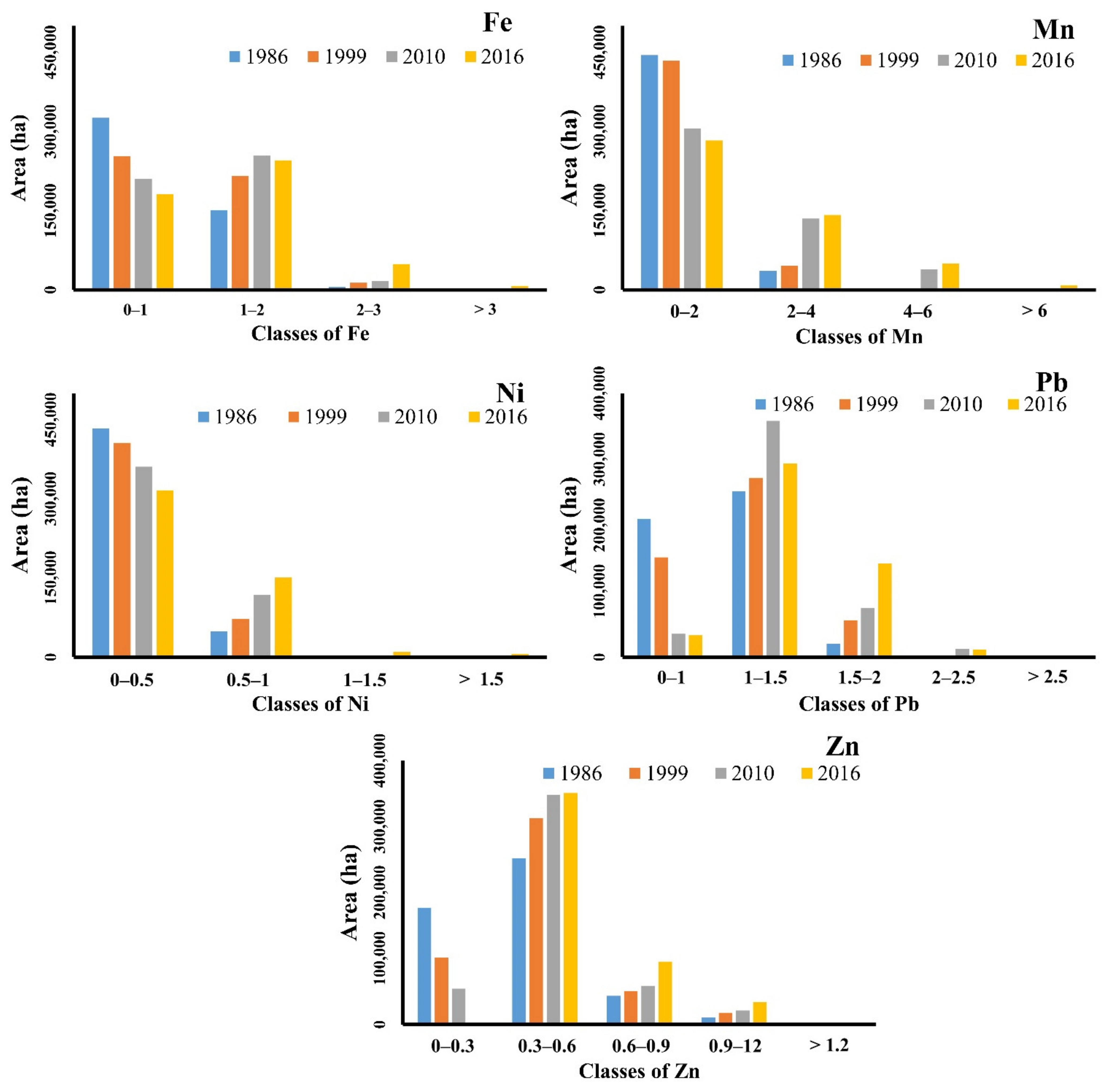
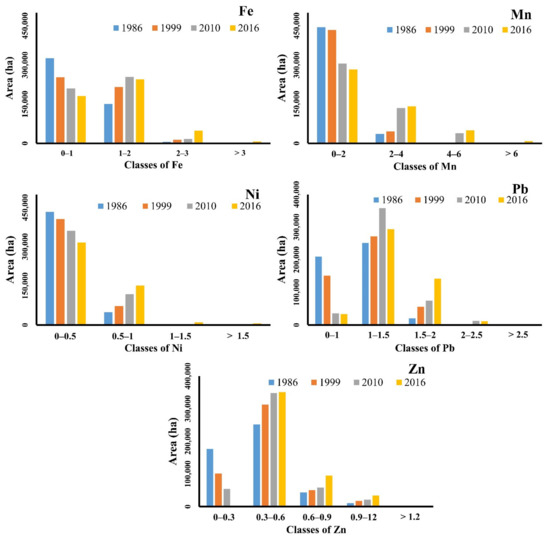
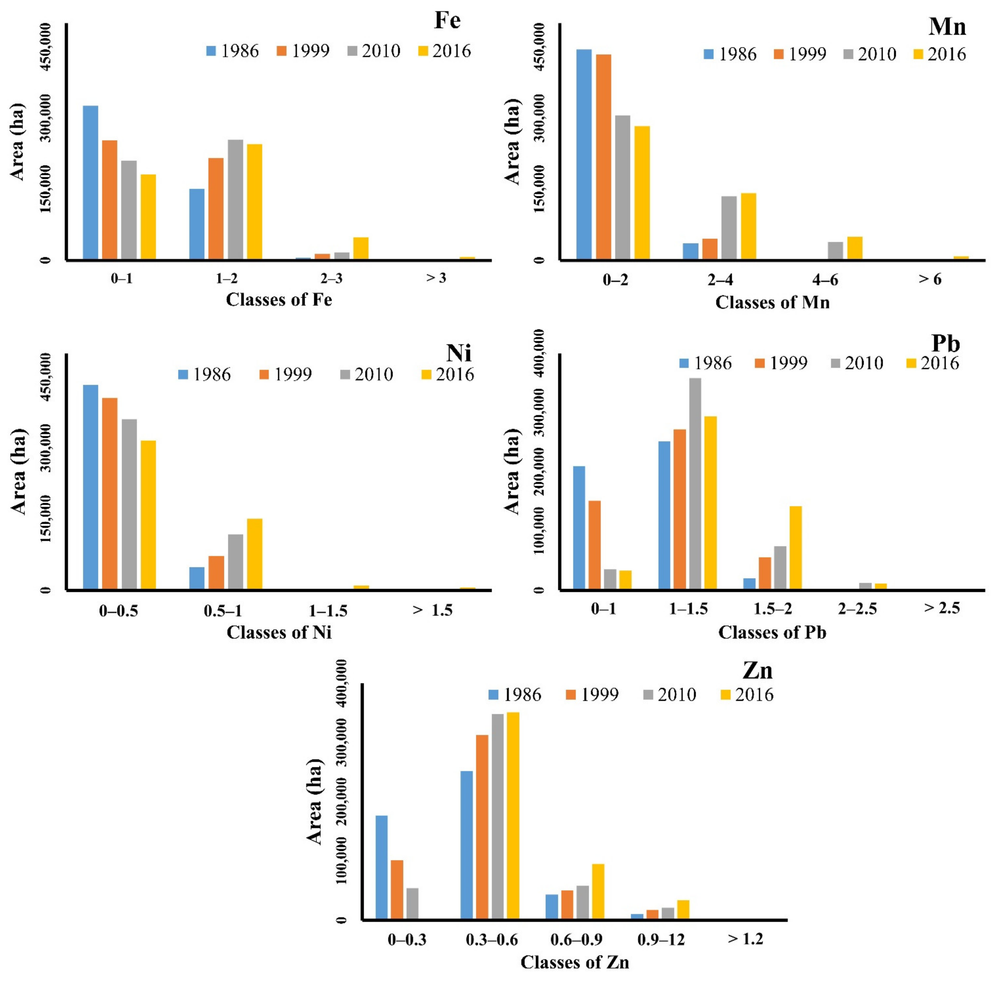
3.4. Historical Distributions of Heavy Metals (1986, 1999, and 2010)
3.5. Comparison of Heavy Metal Distributions (1986 to 2016)
4. Conclusions
Supplementary Materials
Author Contributions
Funding
Informed Consent Statement
Data Availability Statement
Conflicts of Interest
Appendix A
| Covariates | Definition | Reference | Resolution |
|---|---|---|---|
| Analytical hillshade | Angle between the surface and the incoming light beams | [51] | 30 m |
| Mass balance index | Balance between soil mass deposited and eroded | [51] | 30 m |
| Vertical distance to channel network (m) | Calculates the vertical distance to a channel network base level | [51] | 30 m |
| Diurnal anisotropic heating | Calculates a simple approximation of the anisotropic diurnal heat | [51] | 30 m |
| Flow accumulation (number of cells) | Calculates accumulated flow | [51] | 30 m |
| Effective air flow heights (m) | Calculates effective air flow heights | [51] | 30 m |
| Slope gradient (degree) | Average gradient above flow path | [51] | 30 m |
| Valley depth (m) | Relative position of the valley | [51] | 30 m |
| Terrain ruggedness index | Measures terrain ruggedness | [51] | 30 m |
| Average view distance | Land-surface parameters specific to topo-climatology | [51] | 30 m |
| Wind effect | Dimensionless index indicating areas exposed to wind | [51] | 30 m |
| Wind exposition | Dimensionless index highlighting wind-exposed pixels | [51] | 30 m |
| Difference vegetation index (DVI) | NIR −Red | [67] | 30 m |
| Enhanced vegetation index (EVI) | G × (NIR − Red)/(NIR + c1 × Red − c2 × Blue + L) | [67] | 30 m |
| Global vegetation index (GVI) | −0.29⋅ (G) −0.56 (Red) + 0.6 (IR) + 0.49 (ΝΙR) | [67] | 30 m |
| Infrared percentage vegetation index (IPVI) | NIR/(NIR + Red) | [68] | 30 m |
| Normalized difference vegetation index (NDVI) | (Red − NIR)/(Red + NIR) | [69] | 30 m |
| Blue (0.45–0.515 μm) | Reflectance value of Landsat satellite band | Landsat satellite | 30 m |
| Green (0.525–0.605 μm) | Reflectance value of Landsat satellite band | Landsat satellite | 30 m |
| Red (0.63–0.69 μm) | Reflectance value of Landsat satellite band | Landsat satellite | 30 m |
| Near infrared (0.75–0.90 μm) | Reflectance value of Landsat satellite band | Landsat satellite | 30 m |
| Shortwave infrared (1.55–1.75 μm) | Reflectance value of Landsat satellite band | Landsat satellite | 30 m |
| Principal components of Landsat bands | PC1, PC2, PC3, and PC4 | [70] | 30 m |
| Normalized-NDVI | (NIR − (TM1 + Green))/(NIR + (TM1 + Green)) | [69] | 30 m |
| Optimized soil-adjusted vegetation index (OSAVI) | (NIR −Red)/(NIR + Red + 0.16) | [71] | 30 m |
| PD 311 | Red − TM1 | [72] | 30 m |
| PD 312 | (Red − Blue)/(Red + TM1) | [72] | 30 m |
| PD 321 | Red − Green | [72] | 30 m |
| PD 322 | (Red − Green)/(Red + Green) | [72] | 30 m |
| Ratio-based | NIR/(Blue + Green) | [69] | 30 m |
| Ratio vegetation index (RVI) | (NIR/Red) | [73] | 30 m |
| Soil-adjusted vegetation index (SAVI) | ((NIR − Red)/(NIR + Red + L)) × (1 + L) | [67] | 30 m |
| Stress-related | (TM1 × Green)/Red | [69] | 30 m |
| Transformed vegetation index (TVI) | (SWIR − Red)/(SWIR + Red) | [74] | 30 m |
| VIT01 | Red/Thermal | [75] | 30 m |
| VTI02 | Thermal/(Red + SWIR) | [75] | 30 m |
| VIT03 | Thermal/Red | [75] | 30 m |
| VIT04 | Thermal/(SWIR + Green) | [75] | 30 m |
| Brightness index | BI = ((Red × Red) + (NIR × NIR))^0.5 | [76] | 30 m |
| Normalized difference moisture index (NDMI) | NDMI = (NIR − SWIR)/(NIR + SWIR) | [77] | 30 m |
| Normalized difference snow index (NDSI) | NDSI = (Red − NIR)/(Red + NIR) | [78] | 30 m |
| Salinity index1 (S1) | S1 = Blue/Red | [79] | 30 m |
| Salinity index2 (S2) | S2 = (Blue − Red)/(Blue + Red) | [79] | 30 m |
| Salinity index3 (S3) | S3 = (Green × Red)/Blue | [79] | 30 m |
| Salinity index4 (S4) | S4 = (Blue × Red)/Green | [79] | 30 m |
| Salinity index5 (S5) | S5 = (Red × NIR)/Green | [79] | 30 m |
| Salinity index6 (S6) | S6 = (Blue × Red)^0.5 | [79] | 30 m |
| Salinity index7 (S7) | S7 = (Green × Red)^0.5 | [79] | 30 m |
| Salinity index8 (S8) | S8 = ((Blue)2 × (Green)2 × (Red)2)^0.5 | [79] | 30 m |
| Land use map | Representing the uses of a "unit" of land | Landsat satellite | 30 m |
| Distance from mines (m) | Euclidean distance to mines areas | [80] | 30 m |
| Distance from urban (m) | Euclidean distance to urban areas | [80] | 30 m |
| Distance from population (m) | Euclidean distance to population centers | [80] | 30 m |
| Distance from river (m) | Euclidean distance to the rivers | [80] | 30 m |
| Distance from road (m) | Euclidean distance to the roads | [80] | 30 m |
| Geology map | Representing the various geological features | [47] | 30 m |
| Groundwater quality parameters | HCO3−, Cl−, SO4 2−, Na+, Ca2+, Mg2+, EC, TH, SAR, and TDS | [47] | 30 m |
| Unit | Definition | Area (ha) |
|---|---|---|
| Db+sh | - | 32.4 |
| DC | - | 340.5 |
| DCsh | Alternation of shale, marl, and limestone | 126.5 |
| E2s | Sandstone, marl, and limestone | 3823.9 |
| Eag | - | 14.4 |
| Cb | Alternation of dolomite, limestone, and verigated shale | 1632.6 |
| Egr | - | 918.2 |
| EOgr-d | - | 167.1 |
| EOsa | Salt dome | 785.1 |
| Eav | - | 6445.5 |
| pC-C | Late proterozoic–early Cambrian undifferentiated rocks | 361.6 |
| Jbd | Dark grey, well-bedded, oolitic, ammonitiferous limestone, sandstone, and shale | 358.2 |
| Jel | - | 2583.6 |
| TRJs | Sandstone, siltstone, and claystone, variously alternating with thin coal seams | 4779.9 |
| Klbl | Grey, thick-bedded to massive oolitic limestone | 709.4 |
| K1c | Sandstone and conglomerate | 2283.3 |
| Ktl | Thin to meddium-bedded argillaceous limestone and thick-bedded to massive, grey orbitolina bearing limestone | 24,338.9 |
| Kl | Lower Cretaceous undifferentiated rocks | 651.8 |
| PZ | Undifferentiated Paleozoic rocks | 477.6 |
| Pec | Conglomerate and sandstone | 2395.2 |
| pCk | Dull green grey slaty shales with subordinate intercalation of quartzitic sandstone | 661.0 |
| pCrr | Meta-ryolite | 574.6 |
| pC-Cs | Thick dolomite and limestone unit, partly cherty with thick shale intercalations | 533.9 |
| pCs | - | 69.8 |
| Pj | Massive to thick-bedded, dark-gray, partly reef type limestone and a thick yellow dolomite band in the upper part | 94.2 |
| Plc | Polymictic conglomerate and sandstone | 649.4 |
| Qs | Unconsoliated wind-blown sand deposits and back shore sand dunes | 45,525.9 |
| Qft1 | High level piedmont fan and valley terraces deposits | 1197.6 |
| Qft2 | Low level piedmont fan and valley terraces deposits | 347,704.3 |
| TRn | Greenish gray shale and gray limestone | 1844.9 |
| Mur | Red marl, gypsiferous marl, sandstone, and conglomerate | 30,819.1 |
References
- Lin, Y.P. Multivariate geostatistical methods to identify and map spatial variations of soil heavy metals. Environ. Geol. 2002, 42, 1–10. [Google Scholar] [CrossRef]
- Micó, C.; Recatalá, L.; Peris, M.; Sánchez, J. Assessing heavy metal sources in agricultural soils of an European Mediterranean area by multivariate analysis. Chemosphere 2006, 65, 863–872. [Google Scholar] [CrossRef] [PubMed]
- He, J.; Yang, Y.; Christakos, G.; Liu, Y.; Yang, X. Assessment of soil heavy metal pollution using stochastic site indicators. Geoderma 2019, 337. [Google Scholar] [CrossRef]
- Li, Z.; Ma, Z.; van der Kuijp, T.J.; Yuan, Z.; Huang, L. A review of soil heavy metal pollution from mines in China: Pollution and health risk assessment. Sci. Total Environ. 2014, 468–469, 843–853. [Google Scholar] [CrossRef]
- Tan, K.; Ma, W.; Chen, L.; Wang, H.; Du, Q.; Du, P.; Yan, B.; Liu, R.; Li, H. Estimating the distribution trend of soil heavy metals in mining area from HyMap airborne hyperspectral imagery based on ensemble learning. J. Hazard. Mater. 2021, 401, 123288. [Google Scholar] [CrossRef] [PubMed]
- Shi, T.; Guo, L.; Chen, Y.; Wang, W.; Shi, Z.; Li, Q.; Wu, G. Proximal and remote sensing techniques for mapping of soil contamination with heavy metals. Appl. Spectrosc. Rev. 2018, 53, 783–805. [Google Scholar] [CrossRef]
- Al-Khashman, O.A. Heavy metal distribution in dust, street dust and soils from the work place in Karak Industrial Estate, Jordan. Atmos. Environ. 2004, 38, 6803–6812. [Google Scholar] [CrossRef]
- Subida, M.D.; Berihuete, A.; Drake, P.; Blasco, J. Multivariate methods and artificial neural networks in the assessment of the response of infaunal assemblages to sediment metal contamination and organic enrichment. Sci. Total Environ. 2013, 450–451, 289–300. [Google Scholar] [CrossRef]
- Fu, F.; Wang, Q. Removal of heavy metal ions from wastewaters: A review. J. Environ. Manag. 2011, 92, 407–418. [Google Scholar] [CrossRef]
- Wang, D.; He, Y.; Liang, J.; Liu, P.; Zhuang, P. Distribution and source analysis of aluminum in rivers near Xi’an City, China. Environ. Monit. Assess. 2013, 185, 1041–1053. [Google Scholar] [CrossRef] [PubMed]
- Yang, Q.; Li, Z.; Lu, X.; Duan, Q.; Huang, L.; Bi, J. A review of soil heavy metal pollution from industrial and agricultural regions in China: Pollution and risk assessment. Sci. Total Environ. 2018, 642, 690–700. [Google Scholar] [CrossRef] [PubMed]
- Keller, A.; von Steiger, B.; van der Zee, S.E.A.T.M.; Schulin, R. A Stochastic Empirical Model for Regional Heavy-Metal Balances in Agroecosystems. J. Environ. Qual. 2001, 30, 1976–1989. [Google Scholar] [CrossRef] [PubMed]
- Keller, A.; Schulin, R. Modelling regional-scale mass balances of phosphorus, cadmium and zinc fluxes on arable and dairy farms. Eur. J. Agron. 2003, 20, 181–198. [Google Scholar] [CrossRef]
- Tan, M.Z.; Xu, F.M.; Chen, J.; Zhang, X.L.; Chen, J.Z. Spatial Prediction of Heavy Metal Pollution for Soils in Peri-Urban Beijing, China Based on Fuzzy Set Theory1 1 Project supported by the National Natural Science Foundation of China (Nos. 40571065 and 40235054) and the National Key Basic Research Support. Pedosphere 2006, 16, 545–554. [Google Scholar] [CrossRef]
- Wang, H.; Yilihamu, Q.; Yuan, M.; Bai, H.; Xu, H.; Wu, J. Prediction models of soil heavy metal(loid)s concentration for agricultural land in Dongli: A comparison of regression and random forest. Ecol. Indic. 2020, 119. [Google Scholar] [CrossRef]
- Cao, W.; Zhang, C. A Collaborative Compound Neural Network Model for Soil Heavy Metal Content Prediction. IEEE Access 2020, 8, 129497–129509. [Google Scholar] [CrossRef]
- Zhao, Y.F.; Shi, X.Z.; Huang, B.; Yu, D.S.; Wang, H.J.; Sun, W.X.; Öboern, I.; Blombäck, K. Spatial Distribution of Heavy Metals in Agricultural Soils of an Industry-Based Peri-Urban Area in Wuxi, China1 1 Project supported by the RURBIFARM (Sustainable Farming at the Rural-Urban Interface) project of the European Union (No. ICA4-CT-2002-10021). Pedosphere 2007, 17, 44–51. [Google Scholar] [CrossRef]
- Cao, J.; Li, C.; Wu, Q.; Qiao, J. Improved Mapping of Soil Heavy Metals Using a Vis-NIR Spectroscopy Index in an Agricultural Area of Eastern China. IEEE Access 2020, 8, 42584–42594. [Google Scholar] [CrossRef]
- Adimalla, N.; Chen, J.; Qian, H. Spatial characteristics of heavy metal contamination and potential human health risk assessment of urban soils: A case study from an urban region of South India. Ecotoxicol. Environ. Saf. 2020, 194, 110406. [Google Scholar] [CrossRef] [PubMed]
- Li, M.; Shao, Q. An improved statistical approach to merge satellite rainfall estimates and raingauge data. J. Hydrol. 2010, 385, 51–64. [Google Scholar] [CrossRef]
- Li, X.; Feng, L. Multivariate and geostatistical analyzes of metals in urban soil of Weinan industrial areas, Northwest of China. Atmos. Environ. 2012, 47, 58–65. [Google Scholar] [CrossRef]
- He, M.; Yan, P.; Yu, H.; Yang, S.; Xu, J.; Liu, X. Spatiotemporal modeling of soil heavy metals and early warnings from scenarios-based prediction. Chemosphere 2020, 255, 126908. [Google Scholar] [CrossRef] [PubMed]
- Rodríguez Martín, J.A.; Arias, M.L.; Grau Corbí, J.M. Heavy metals contents in agricultural topsoils in the Ebro basin (Spain). Application of the multivariate geoestatistical methods to study spatial variations. Environ. Pollut. 2006, 144, 1001–1012. [Google Scholar] [CrossRef]
- McGrath, D.; Zhang, C.; Carton, O.T. Geostatistical analyses and hazard assessment on soil lead in Silvermines area, Ireland. Environ. Pollut. 2004, 127, 239–248. [Google Scholar] [CrossRef] [PubMed]
- Hu, B.; Shao, S.; Ni, H.; Fu, Z.; Hu, L.; Zhou, Y.; Min, X.; She, S.; Chen, S.; Huang, M.; et al. Current status, spatial features, health risks, and potential driving factors of soil heavy metal pollution in China at province level. Environ. Pollut. 2020, 266, 114961. [Google Scholar] [CrossRef] [PubMed]
- Yu, A.H.; Zhao, Y. Evaluation on the soil pollution degree on two sides of highway with the fuzzy mathematics method. In Proceedings of the 2011 International Conference on Remote Sensing, Environment and Transportation Engineering, RSETE, Nanjing, China, 24–26 June 2011; pp. 4023–4026. [Google Scholar]
- Behrens, T.; Scholten, T. Chapter 25 A Comparison of Data-Mining Techniques in Predictive Soil Mapping. Dev. Soil Sci. 2006, 31, 353–617. [Google Scholar]
- Lagacherie, P. Digital soil mapping: A state of the art. In Digital Soil Mapping with Limited Data; Springer: Amsterdam, The Netherlands, 2008; pp. 3–14. ISBN 9781402085918. [Google Scholar]
- Veronesi, F.; Schillaci, C. Comparison between geostatistical and machine learning models as predictors of topsoil organic carbon with a focus on local uncertainty estimation. Ecol. Indic. 2019, 101, 1032–1044. [Google Scholar] [CrossRef]
- Lombardo, L.; Saia, S.; Schillaci, C.; Mai, P.M.; Huser, R. Modeling soil organic carbon with Quantile Regression: Dissecting predictors’ effects on carbon stocks. Geoderma 2018, 318, 148–159. [Google Scholar] [CrossRef]
- Schillaci, C.; Acutis, M.; Lombardo, L.; Lipani, A.; Fantappiè, M.; Märker, M.; Saia, S. Spatio-temporal topsoil organic carbon mapping of a semi-arid Mediterranean region: The role of land use, soil texture, topographic indices and the influence of remote sensing data to modelling. Sci. Total Environ. 2017, 601–602, 821–832. [Google Scholar] [CrossRef]
- Schmidt, K.; Behrens, T.; Scholten, T. Instance selection and classification tree analysis for large spatial datasets in digital soil mapping. Geoderma 2008, 146, 138–146. [Google Scholar] [CrossRef]
- Grimm, R.; Behrens, T.; Märker, M.; Elsenbeer, H. Soil organic carbon concentrations and stocks on Barro Colorado Island—Digital soil mapping using Random Forests analysis. Geoderma 2008, 146, 102–113. [Google Scholar] [CrossRef]
- Heung, B.; Ho, H.C.; Zhang, J.; Knudby, A.; Bulmer, C.E.; Schmidt, M.G. An overview and comparison of machine-learning techniques for classification purposes in digital soil mapping. Geoderma 2016, 265, 62–77. [Google Scholar] [CrossRef]
- Heung, B.; Hodúl, M.; Schmidt, M.G. Comparing the use of training data derived from legacy soil pits and soil survey polygons for mapping soil classes. Geoderma 2017, 290, 51–68. [Google Scholar] [CrossRef]
- Amirian-Chakan, A.; Minasny, B.; Taghizadeh-Mehrjardi, R.; Akbarifazli, R.; Darvishpasand, Z.; Khordehbin, S. Some practical aspects of predicting texture data in digital soil mapping. Soil Tillage Res. 2019, 194, 104289. [Google Scholar] [CrossRef]
- Rentschler, T.; Werban, U.; Ahner, M.; Behrens, T.; Gries, P.; Scholten, T.; Teuber, S.; Schmidt, K. 3D mapping of soil organic carbon content and soil moisture with multiple geophysical sensors and machine learning. Vadose Zone J. 2020, 19, e20062. [Google Scholar] [CrossRef]
- McBratney, A.B.; Mendonça Santos, M.L.; Minasny, B. On digital soil mapping. Geoderma 2003, 117, 3–52. [Google Scholar] [CrossRef]
- Arrouays, D.; Grundy, M.G.; Hartemink, A.E.; Hempel, J.W.; Heuvelink, G.B.M.; Hong, S.Y.; Lagacherie, P.; Lelyk, G.; McBratney, A.B.; McKenzie, N.J.; et al. GlobalSoilMap. Toward a Fine-Resolution Global Grid of Soil Properties. In Advances in Agronomy; Academic Press: Cambridge, MA, USA, 2014; Volume 125, pp. 93–134. [Google Scholar]
- Karrari, P.; Mehrpour, O.; Abdollahi, M. A systematic review on status of lead pollution and toxicity in Iran; Guidance for preventive measures. DARU J. Pharm. Sci. 2012, 20, 1–17. [Google Scholar] [CrossRef]
- Chen, Y.; Liu, Y.; Liu, Y.; Lin, A.; Kong, X.; Liu, D.; Li, X.; Zhang, Y.; Gao, Y.; Wang, D. Mapping of Cu and Pb contaminations in soil using combined geochemistry, topography, and remote sensing: A case study in the le’an river floodplain, China. Int. J. Environ. Res. Public Health 2012, 9, 1874–1886. [Google Scholar] [CrossRef]
- Shokr, M.S.; Baroudy, A.A.; El-Fullen, M.A.; El-Beshbeshy, T.R.; Ali, R.R.; Elhalim, A.; Guerra, A.J.T.; Jorge, M.C.O. Mapping of heavy metal contamination in alluvial soils of the Middle Nile Delta of Egypt. J. Environ. Eng. Landsc. Manag. 2016, 24, 218–231. [Google Scholar] [CrossRef]
- Choe, E.; van der Meer, F.; van Ruitenbeek, F.; van der Werff, H.; de Smeth, B.; Kim, K.W. Mapping of heavy metal pollution in stream sediments using combined geochemistry, field spectroscopy, and hyperspectral remote sensing: A case study of the Rodalquilar mining area, SE Spain. Remote Sens. Environ. 2008, 112, 3222–3233. [Google Scholar] [CrossRef]
- Dana, I.F.; Badea, A. Studies regarding the use of remote sensing satellite data for the identification of heavy metal pollution in agricultural fields. Ann. DAAAM 2011, 22, 1726–9679. [Google Scholar]
- Taghizadeh-Mehrjardi, R.; Mahdianpari, M.; Mohammadimanesh, F.; Behrens, T.; Toomanian, N.; Scholten, T.; Schmidt, K. Multi-task convolutional neural networks outperformed random forest for mapping soil particle size fractions in central Iran. Geoderma 2020, 376, 114552. [Google Scholar] [CrossRef]
- Fathizad, H.; Ali Hakimzadeh-Ardakani, M.; Sodaiezadeh, H.; Kerry, R.; Taghizadeh-Mehrjardi, R. Investigation of the spatial and temporal variation of soil salinity using random forests in the central desert of Iran. Geoderma 2020, 365, 114233. [Google Scholar] [CrossRef]
- Fathizad, H.; Ardakani, M.A.H.; Heung, B.; Sodaiezadeh, H.; Rahmani, A.; Fathabadi, A.; Scholten, T.; Taghizadeh-Mehrjardi, R. Spatio-temporal dynamic of soil quality in the central Iranian desert modeled with machine learning and digital soil assessment techniques. Ecol. Indic. 2020, 118, 106736. [Google Scholar] [CrossRef]
- Nabiollahi, K.; Golmohamadi, F.; Taghizadeh-Mehrjardi, R.; Kerry, R.; Davari, M. Assessing the effects of slope gradient and land use change on soil quality degradation through digital mapping of soil quality indices and soil loss rate. Geoderma 2018, 318, 16–28. [Google Scholar] [CrossRef]
- Mahmoudzadeh, H.; Matinfar, H.R.; Taghizadeh-Mehrjardi, R.; Kerry, R. Spatial prediction of soil organic carbon using machine learning techniques in western Iran. Geoderma Reg. 2020, 21, e00260. [Google Scholar] [CrossRef]
- Farr, T.G.; Kobrick, M. The Shuttle Radar Topography Mission. Rev. Geophys. 2000. [Google Scholar] [CrossRef]
- Conrad, O.; Bechtel, B.; Bock, M.; Dietrich, H.; Fischer, E.; Gerlitz, L.; Wehberg, J.; Wichmann, V.; Böhner, J. System for Automated Geoscientific Analyses (SAGA) v. 2.1.4. Geosci. Model Dev. 2015, 8, 1991–2007. [Google Scholar] [CrossRef]
- Fathizad, H.; Hakimzadeh-Ardakani, M.A.; Mehrjardi, R.T.; Sodaiezadeh, H. Evaluating desertification using remote sensing technique and object-oriented classification algorithm in the Iranian central desert. J. African Earth Sci. 2018, 145, 115–130. [Google Scholar] [CrossRef]
- Minasny, B.; McBratney, A.B. A conditioned Latin hypercube method for sampling in the presence of ancillary information. Comput. Geosci. 2006, 32, 1378–1388. [Google Scholar] [CrossRef]
- Poppiel, R.R.; Demattê, J.A.M.; Rosin, N.A.; Campos, L.R.; Tayebi, M.; Bonfatti, B.R.; Ayoubi, S.; Tajik, S.; Afshar, F.A.; Jafari, A.; et al. High resolution middle eastern soil attributes mapping via open data and cloud computing. Geoderma 2021, 385, 114890. [Google Scholar] [CrossRef]
- Galagan, A.O.; Korogoda, N.P.; Grodzinsky, M.D.; Obodovsky, A.G. Geoinformation modeling of soil pollution processes by lead compounds in highway geosystems. Visnyk V.N. Karazin Kharkiv Natl. Univ. Ser. Geol. Geogr. Ecol. 2020, 52, 103–118. [Google Scholar] [CrossRef]
- Lindsay, W.L.; Norvell, W.A. Development of a DTPA soil test for zinc, iron, manganese, and copper. Soil Sci. Soc. Am. J. 1978, 42, 421–428. [Google Scholar] [CrossRef]
- Hastie, R. Problems for Judgment and Decision Making. Annu. Rev. Psychol. 2001, 52, 653–683. [Google Scholar] [CrossRef]
- Breiman, L. Random forests. Mach. Learn. 2001, 45, 5–32. [Google Scholar] [CrossRef]
- Liaw, A.; Wiener, M. Classification and Regression by randomForest. R news 2002, 18–22. [Google Scholar] [CrossRef]
- Bou-Kheir, R.; Shomar, B.; Greve, M.B.; Greve, M.H. On the quantitative relationships between environmental parameters and heavy metals pollution in Mediterranean soils using GIS regression-trees: The case study of Lebanon. J. Geochem. Explor. 2014, 147, 250–259. [Google Scholar] [CrossRef]
- Taghizadeh-Mehrjardi, R.; Minasny, B.; Sarmadian, F.; Malone, B.P. Digital mapping of soil salinity in ardakan region, central iran. Geoderma 2014, 213, 15–28. [Google Scholar] [CrossRef]
- Taghizadeh-Mehrjardi, R.; Neupane, R.; Sood, K.; Kumar, S. Artificial bee colony feature selection algorithm combined with machine learning algorithms to predict vertical and lateral distribution of soil organic matter in South Dakota, USA. Carbon Manag. 2017, 8, 277–291. [Google Scholar] [CrossRef]
- Nabiollahi, K.; Eskandari, S.; Taghizadeh-Mehrjardi, R.; Kerry, R.; Triantafilis, J. Assessing soil organic carbon stocks under land-use change scenarios using random forest models. Carbon Manag. 2019, 10, 63–77. [Google Scholar] [CrossRef]
- Heath, P.H.; Malcolm, W.S.; Dobson, S.; World Health Organization; International Programme on Chemical Safety. Manganese and Its Compounds: Environmental Aspects; WHO: Geneva, Switzerland, 2004. [Google Scholar]
- Ajmone-Marsan, F.; Biasioli, M.; Kralj, T.; Grčman, H.; Davidson, C.M.; Hursthouse, A.S.; Madrid, L.; Rodrigues, S. Metals in particle-size fractions of the soils of five European cities. Environ. Pollut. 2008, 152, 73–81. [Google Scholar] [CrossRef]
- Facchinelli, A.; Sacchi, E.; Mallen, L. Multivariate statistical and GIS-based approach to identify heavy metal sources in soils. Environ. Pollut. 2001, 114, 313–324. [Google Scholar] [CrossRef]
- Huete, A.R. A soil-adjusted vegetation index (SAVI). Remote Sens. Environ. 1988, 25, 295–309. [Google Scholar] [CrossRef]
- Crippen, R.E. Calculating the vegetation index faster. Remote Sens. Environ. 1990, 34, 71–73. [Google Scholar] [CrossRef]
- Foody, G.M.; Cutler, M.E.; McMorrow, J.; Pelz, D.; Tangki, H.; Boyd, D.S.; Douglas, I. Mapping the biomass of Bornean tropical rain forest from remotely sensed data. Glob. Ecol. Biogeogr. 2001, 10, 379–387. [Google Scholar] [CrossRef]
- Nield, S.J.; Boettinger, J.L.; Ramsey, R.D. Digitally Mapping Gypsic and Natric Soil Areas Using Landsat ETM Data. Soil Sci. Soc. Am. J. 2007, 71, 245–252. [Google Scholar] [CrossRef]
- Rondeaux, G.; Steven, M.; Baret, F. Optimization of soil-adjusted vegetation indices. Remote Sens. Environ. 1996, 55, 95–107. [Google Scholar] [CrossRef]
- Arzani, H.; King, G.W. Application of Remote Sensing (Landsat TM data) for Vegetation Parameters Measurement in Western Division of NSW. In Proceedings of the International Grassland Congress, Hohhot, China, 29 June–5 July 2008. [Google Scholar]
- Jordan, C.F. Derivation of Leaf-Area Index from Quality of Light on the Forest Floor. Ecology 1969, 50, 663–666. [Google Scholar] [CrossRef]
- Pettorelli, N.; Vik, J.O.; Mysterud, A.; Gaillard, J.M.; Tucker, C.J.; Stenseth, N.C. Using the satellite-derived NDVI to assess ecological responses to environmental change. Trends Ecol. Evol. 2005, 20, 503–510. [Google Scholar] [CrossRef] [PubMed]
- Kullberg, E.G.; DeJonge, K.C.; Chávez, J.L. Evaluation of thermal remote sensing indices to estimate crop evapotranspiration coefficients. Agric. Water Manag. 2017, 179, 64–73. [Google Scholar] [CrossRef]
- Khan, N.M.; Rastoskuev, V.V.; Sato, Y.; Shiozawa, S. Assessment of hydrosaline land degradation by using a simple approach of remote sensing indicators. Agric. Water Manag. 2005, 77, 96–109. [Google Scholar] [CrossRef]
- Wilson, E.H.; Sader, S.A. Detection of forest harvest type using multiple dates of Landsat TM imagery. Remote Sens. Environ. 2002, 80, 385–396. [Google Scholar] [CrossRef]
- Major, D.J.; Baret, F.; Guyot, G. A ratio vegetation index adjusted for soil brightness. Int. J. Remote Sens. 1990, 11, 727–740. [Google Scholar] [CrossRef]
- Douaoui, A.E.K.; Nicolas, H.; Walter, C. Detecting salinity hazards within a semiarid context by means of combining soil and remote-sensing data. Geoderma 2006, 134, 217–230. [Google Scholar] [CrossRef]
- Danielsson, P.-E. Euclidean distance mapping. Comput. Graph. Image Process. 1980, 14, 227–248. [Google Scholar] [CrossRef]











| Parameter | Fe | Mn | Ni | Pb | Zn |
|---|---|---|---|---|---|
| Minimum | 0.04 | 0.00 | 0.00 | 0.00 | 0.00 |
| Maximum | 6.08 | 10.59 | 3.59 | 6.74 | 2.16 |
| Average | 1.20 | 1.66 | 0.32 | 1.37 | 0.50 |
| Standard deviation | 0.99 | 2.04 | 0.49 | 1.03 | 0.39 |
| Variance | 0.97 | 4.18 | 0.24 | 1.05 | 0.15 |
| Skewness | 2.19 | 2.65 | 4.58 | 1.73 | 1.70 |
| CV | 0.78 | 0.75 | 1.53 | 1.22 | 0.82 |
| Shear.S | Na | K | Ca | Mg | CO3 | HCO3 | Cl | SOC | Bulk.D | Clay | Sand | Silt | EC | SAR | |
|---|---|---|---|---|---|---|---|---|---|---|---|---|---|---|---|
| Fe | −0.07 | 0.09 | −0.04 | −0.04 | 0.13 | −0.03 | 0.06 | 0.36 ** | 0.10 | −0.16 * | 0.04 | −0.08 | 0.09 | 0.35 ** | 0.04 |
| Mn | 0.11 | −0.03 | −0.00 | −0.00 | 0.01 | −0.04 | 0.13 | −0.10 | 0.11 | −0.01 | −0.01 | 0.07 | −0.09 | −0.124 | −0.03 |
| Ni | −0.19 ** | 0.13 | 0.07 | 0.07 | −0.02 | −0.03 | −0.01 | 0.35 ** | 0.03 | −0.12 | 0.08 | −0.13 | 0.13 | 0.27 ** | 0.12 |
| Pb | 0.03 | −0.02 | −0.01 | −0.01 | 0.00 | −0.10 | 0.09 | −0.08 | 0.02 | 0.02 | −0.05 | 0.01 | 0.01 | −0.138 | 0.06 |
| Zn | 0.17 * | −0.02 | 0.05 | 0.05 | 0.09 | 0.09 | 0.33 ** | 0.05 | 0.28 ** | 0.01 | −0.11 | 0.00 | 0.05 | 0.02 | −0.06 |
| Parameter | R2 | RMSE | MAE | %Error |
|---|---|---|---|---|
| Fe | 0.53 | 0.56 | 0.37 | 46.7 |
| Mn | 0.59 | 0.60 | 0.47 | 36.1 |
| Ni | 0.41 | 0.16 | 0.11 | 50.0 |
| Pb | 0.45 | 0.35 | 0.28 | 25.5 |
| Zn | 0.60 | 0.15 | 0.10 | 30.0 |
Publisher’s Note: MDPI stays neutral with regard to jurisdictional claims in published maps and institutional affiliations. |
© 2021 by the authors. Licensee MDPI, Basel, Switzerland. This article is an open access article distributed under the terms and conditions of the Creative Commons Attribution (CC BY) license (https://creativecommons.org/licenses/by/4.0/).
Share and Cite
Taghizadeh-Mehrjardi, R.; Fathizad, H.; Ali Hakimzadeh Ardakani, M.; Sodaiezadeh, H.; Kerry, R.; Heung, B.; Scholten, T. Spatio-Temporal Analysis of Heavy Metals in Arid Soils at the Catchment Scale Using Digital Soil Assessment and a Random Forest Model. Remote Sens. 2021, 13, 1698. https://doi.org/10.3390/rs13091698
Taghizadeh-Mehrjardi R, Fathizad H, Ali Hakimzadeh Ardakani M, Sodaiezadeh H, Kerry R, Heung B, Scholten T. Spatio-Temporal Analysis of Heavy Metals in Arid Soils at the Catchment Scale Using Digital Soil Assessment and a Random Forest Model. Remote Sensing. 2021; 13(9):1698. https://doi.org/10.3390/rs13091698
Chicago/Turabian StyleTaghizadeh-Mehrjardi, Ruhollah, Hassan Fathizad, Mohammad Ali Hakimzadeh Ardakani, Hamid Sodaiezadeh, Ruth Kerry, Brandon Heung, and Thomas Scholten. 2021. "Spatio-Temporal Analysis of Heavy Metals in Arid Soils at the Catchment Scale Using Digital Soil Assessment and a Random Forest Model" Remote Sensing 13, no. 9: 1698. https://doi.org/10.3390/rs13091698
APA StyleTaghizadeh-Mehrjardi, R., Fathizad, H., Ali Hakimzadeh Ardakani, M., Sodaiezadeh, H., Kerry, R., Heung, B., & Scholten, T. (2021). Spatio-Temporal Analysis of Heavy Metals in Arid Soils at the Catchment Scale Using Digital Soil Assessment and a Random Forest Model. Remote Sensing, 13(9), 1698. https://doi.org/10.3390/rs13091698

