Maria Basalts Chronology of the Chang’E-5 Sampling Site
Abstract
1. Introduction
2. Data and Methods
2.1. Data
2.2. FeO and TiO2 Content
2.3. Identifying Pure Basalts
2.4. Crater Size-Frequency Distribution Model
3. Results
3.1. Topography and Geologic Context
3.2. Pure Basaltic Area Identification
- (1)
- The continuous deposits are not contaminated by external ejecta.
- (2)
- The crater is located on a basaltic region.
- (3)
- The crater is large enough to penetrate through the surface mature regolith.
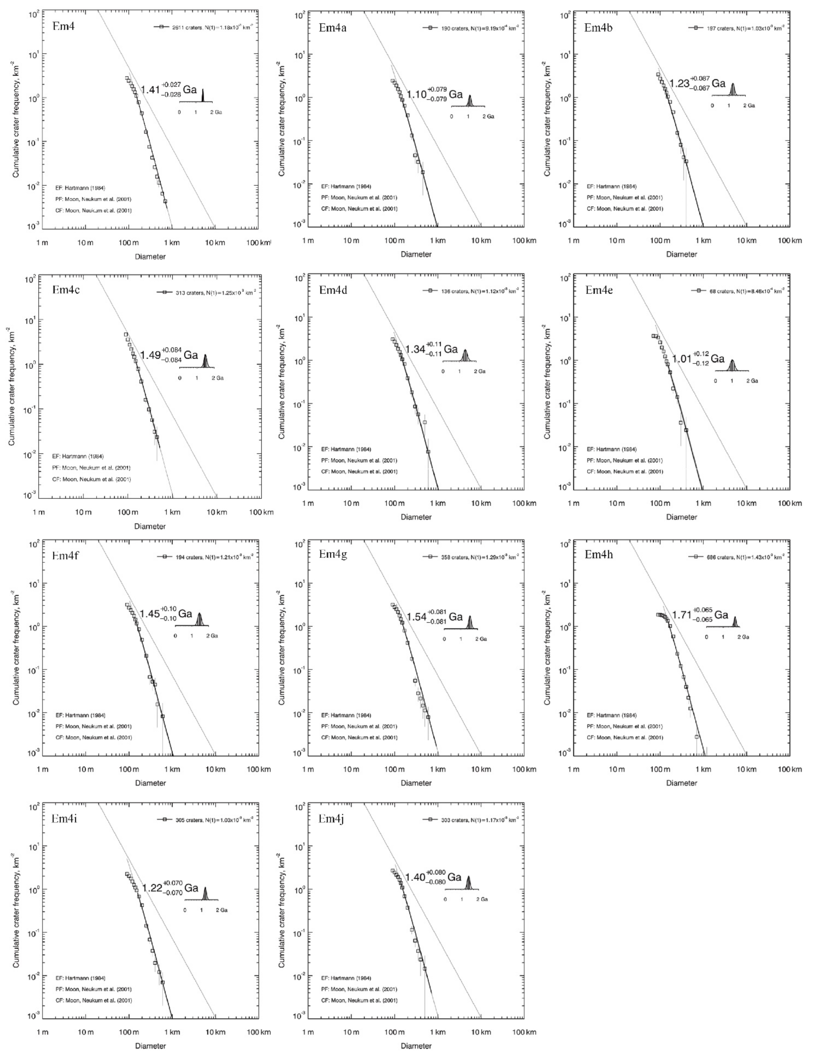
3.3. Model Age Estimates
4. Discussion
4.1. Model Age of the CE-5 Landing Site
4.2. Evaluating Secondary Crater Effects
4.3. Possible Components of the CE-5 Samples
4.4. The Significance of the CE-5 Samples
5. Conclusions
- (1)
- Pure basalt areas in Em4 were mapped out with FeO contents greater than the threshold of 17.2 wt.%, which was derived from the fresh craters of the region.
- (2)
- The model age of the pure basaltic unit where the CE-5 landed was Ga based on the craters with a diameter greater than 100 m.
- (3)
- The ejecta breccia from craters Sharp B, Harding, Copernicus and Aristarchus were possibly sampled by CE-5.
Author Contributions
Funding
Institutional Review Board Statement
Informed Consent Statement
Data Availability Statement
Acknowledgments
Conflicts of Interest
References
- Jolliff, B.L.; Gillis, J.J.; Haskin, L.A.; Korotev, R.L.; Wieczorek, M.A. Major lunar crustal terranes: Surface expressions and crust-mantle origins. J. Geophys. Res. Space Phys. 2000, 105, 4197–4216. [Google Scholar] [CrossRef]
- Borg, L.E.; Gaffney, A.M.; Shearer, C.K.; DePaolo, D.J.; Hutcheon, I.D.; Owens, T.L.; Ramon, E.; Brennecka, G. Mechanisms for incompatible-element enrichment on the Moon deduced from the lunar basaltic meteorite Northwest Africa 032. Geochim. Cosmochim. Acta 2009, 73, 3963–3980. [Google Scholar] [CrossRef]
- Hiesinger, H.; Head, J.W.; Wolf, U.; Jaumann, R.; Neukum, G. Ages and stratigraphy of mare basalts in Oceanus Procellarum, Mare Nubium, Mare Cognitum, and Mare Insularum. J. Geophys. Res. Planets 2003, 108. [Google Scholar] [CrossRef]
- Hiesinger, H.; Head, J.W., III; Wolf, U.; Jaumann, R.; Neukum, G.; Ambrose, W.A.; Williams, D.A. Ages and stratigraphy of lunar mare basalts: A synthesis. In Recent Advances and Current Research Issues in Lunar Stratigraphy; Geological Society of America: Boulder, CO, USA, 2011; Volume 477. [Google Scholar]
- Neukum, G.; Ivanov, B.A. Crater size distributions and impact probabilities on earth from lunar, terrestrial planeta, and asteroid cratering data. In Hazards due to Comets and Asteroids; University of Arizona Press: Tucson, AZ, USA, 1994; pp. 359–416. [Google Scholar]
- Neukum, G.; Ivanov, B.; Hartmann, W.K. Cratering records in the Inner solar system in relation to the lunar reference system. Space Sci. Rev. 2001, 96, 55–86. [Google Scholar] [CrossRef]
- Neukum, G.; König, B.; Arkani-Hamed, J. A study of lunar impact crater size-distributions. Moon 1975, 12, 201–229. [Google Scholar] [CrossRef]
- Qian, Y.Q.; Xiao, L.; Zhao, S.Y.; Zhao, J.N.; Huang, J.; Flahaut, J.; Martinot, M.; Head, J.W.; Hiesinger, H.; Wang, G.X. Geology and scientific significance of the Rumker region in northern Oceanus Procellarum: China’s Chang’E-5 landing region. J. Geophys. Res. Planets 2018, 123, 1407–1430. [Google Scholar] [CrossRef]
- Wu, B.; Huang, J.; Li, Y.; Wang, Y.; Peng, J. Rock abundance and crater density in the candidate Chang’E-5 landing region on the Moon. J. Geophys. Res. Planets 2018, 123, 3256–3272. [Google Scholar] [CrossRef]
- Jia, M.; Yue, Z.; Di, K.; Liu, B.; Liu, J.; Michael, G. A catalogue of impact craters larger than 200 m and surface age analysis in the Chang’e-5 landing area. Earth Planet. Sci. Lett. 2020, 541, 116272. [Google Scholar] [CrossRef]
- Qian, Y.; Xiao, L.; Head, J.W.; van der Bogert, C.H.; Hiesinger, H.; Wilson, L. Young lunar mare basalts in the Chang’e-5 sample return region, northern Oceanus Procellarum. Earth Planet. Sci. Lett. 2021, 555, 116702. [Google Scholar] [CrossRef]
- Basilevsky, A.T.; Kozlova, N.A.; Zavyalov, I.Y.; Karachevtseva, I.P.; Kreslavsky, M.A. Morphometric studies of the Copernicus and Tycho secondary craters on the moon: Dependence of crater degradation rate on crater size. Planet. Space Sci. 2018, 162, 31–40. [Google Scholar] [CrossRef]
- Stadermann, A.C.; Zanetti, M.R.; Jolliff, B.L.; Hiesinger, H.; van der Bogert, C.H.; Hamilton, C.W. The age of lunar mare basalts south of the Aristarchus Plateau and effects of secondary craters formed by the Aristarchus event. Icarus 2018, 309, 45–60. [Google Scholar] [CrossRef]
- Werner, S.C.; Ivanov, B.A.; Neukum, G. Theoretical analysis of secondary cratering on Mars and an image-based study on the Cerberus Plains. Icarus 2009, 200, 406–417. [Google Scholar] [CrossRef]
- Lawrence, D.J.; Puetter, R.C.; Elphic, R.C.; Feldman, W.C.; Hagerty, J.J.; Prettyman, T.H.; Spudis, P.D. Global spatial deconvolution of Lunar Prospector Th abundances. Geophys. Res. Lett. 2007, 34. [Google Scholar] [CrossRef]
- Ohtake, M.; Haruyama, J.; Matsunaga, T.; Yokota, Y.; Morota, T.; Honda, C.; Team, L. Performance and scientific objectives of the SELENE (KAGUYA) Multiband Imager. Earth Planets Space 2008, 60, 257–264. [Google Scholar] [CrossRef]
- Haruyama, J.; Ohtake, M.; Matsunaga, T.; Otake, H.; Ishihara, Y.; Masuda, K.; Yokota, Y.; Yamamoto, S. Data products of SELENE (Kaguya) Terrain Camera for future lunar missions. In Proceedings of the Lunar and Planetary Science Conference, The Woodlands, TX, USA, 17–21 March 2014; p. 1304. [Google Scholar]
- Barker, M.K.; Mazarico, E.; Neumann, G.A.; Zuber, M.T.; Haruyama, J.; Smith, D.E. A new lunar digital elevation model from the Lunar Orbiter Laser Altimeter and SELENE Terrain Camera. Icarus 2016, 273, 346–355. [Google Scholar] [CrossRef]
- Robinson, M.S.; Brylow, S.M.; Tschimmel, M.; Humm, D.; Lawrence, S.J.; Thomas, P.C.; Denevi, B.W.; Bowman-Cisneros, E.; Zerr, J.; Ravine, M.A.; et al. Lunar Reconnaissance Orbiter Camera (LROC) instrument overview. Space Sci. Rev. 2010, 150, 81–124. [Google Scholar] [CrossRef]
- Lucey, P.G.; Blewett, D.T.; Jolliff, B.L. Lunar iron and titanium abundance algorithms based on final processing of Clementine ultraviolet-visible images. J. Geophys. Res. Planets 2000, 105, 20297–20305. [Google Scholar] [CrossRef]
- Ling, Z.; Zhang, J.; Liu, J.; Li, B.; Wu, Z.; Ni, Y.; Sun, L.; Chen, J. Lunar global FeO and TiO2 mapping based on the recalibrated Chang ‘ E-1 dataset. Acta Petrol. Sin. 2016, 32, 87–98. [Google Scholar]
- Otake, H.; Ohtake, M.; Hirata, N. Lunar iron and titanium abundance algorithms based on SELENE (Kaguya) Multiband Imager data. In Proceedings of the Lunar and Planetary Science Conference, The Woodlands, TX, USA, 19–23 March 2012; p. 1905. [Google Scholar]
- Lawrence, D.J.; Feldman, W.C.; Elphic, R.C.; Little, R.C.; Prettyman, T.H.; Maurice, S.; Lucey, P.G.; Binder, A.B. Iron abundances on the lunar surface as measured by the Lunar Prospector gamma-ray and neutron spectrometers. J. Geophys. Res. Planets 2002, 107, 13-1–13-26. [Google Scholar] [CrossRef]
- Sato, H.; Robinson, M.S.; Lawrence, S.J.; Denevi, B.W.; Hapke, B.; Jolliff, B.L.; Hiesinger, H. Lunar mare TiO2 abundances estimated from UV/Vis reflectance. Icarus 2017, 296, 216–238. [Google Scholar] [CrossRef]
- Lemelin, M.; Lucey, P.G.; Song, E.; Taylor, G.J. Lunar central peak mineralogy and iron content using the Kaguya Multiband Imager: Reassessment of the compositional structure of the lunar crust. J. Geophys. Res. Planets 2015, 120, 869–887. [Google Scholar] [CrossRef]
- Pieters, C.M.; Englert, P.A.J. Compositional diversity and stratigraphy of the lunar crust derived from reflectance spectroscopy. In Remote Geochemical Analysis, Elemental and Mineralogical Composition; Pieters, C.M., Ed.; Cambridge University Press: Cambridge, UK, 1993. [Google Scholar]
- Korotev, R.L.; Jolliff, B.L.; Zeigler, R.A.; Gillis, J.J.; Haskin, L.A. Feldspathic lunar meteorites and their implications for compositional remote sensing of the lunar surface and the composition of the lunar crust. Geochim. Cosmochim. Acta 2003, 67, 4895–4923. [Google Scholar] [CrossRef]
- Hörz, F.; Ostertag, R.; Rainey, D.A. Bunte Breccia of the Ries: Continuous deposits of large impact craters. Rev. Geophys. 1983, 21, 1667–1725. [Google Scholar] [CrossRef]
- Xie, M.; Zhu, M.-H. Estimates of primary ejecta and local material for the Orientale basin: Implications for the formation and ballistic sedimentation of multi-ring basins. Earth Planet. Sci. Lett. 2016, 440, 71–80. [Google Scholar] [CrossRef]
- Hiesinger, H.; Jaumann, R.; Neukum, G.; Head III, J.W. Ages of mare basalts on the lunar nearside. J. Geophys. Res. Planets 2000, 105, 29239–29275. [Google Scholar] [CrossRef]
- Neukum, G. Meteorite Bombardment and Dating of Planetary Surfaces; National Aeronautics and Space Administration: Washington, DC, USA, 1984. [Google Scholar]
- Hartmann, W.K. Martian cratering 8: Isochron refinement and the chronology of Mars. Icarus 2005, 174, 294–320. [Google Scholar] [CrossRef]
- Neukum, G.; Horn, P. Effects of lava flows on lunar crater populations. Moon 1976, 15, 205–222. [Google Scholar] [CrossRef]
- Michael, G.G.; Neukum, G. Planetary surface dating from crater size–frequency distribution measurements: Partial resurfacing events and statistical age uncertainty. Earth Planet. Sci. Lett. 2010, 294, 223–229. [Google Scholar] [CrossRef]
- Hartmann, W.K. Does crater “saturation equilibrium” occur in the solar system? Icarus 1984, 60, 56–74. [Google Scholar] [CrossRef]
- Michael, G.G.; Kneissl, T.; Neesemann, A. Planetary surface dating from crater size-frequency distribution measurements: Poisson timing analysis. Icarus 2016, 277, 279–285. [Google Scholar] [CrossRef]
- Konopliv, A.S.; Park, R.S.; Yuan, D.-N.; Asmar, S.W.; Watkins, M.M.; Williams, J.G.; Fahnestock, E.; Kruizinga, G.; Paik, M.; Strekalov, D.; et al. High-resolution lunar gravity fields from the GRAIL Primary and Extended Missions. Geophys. Res. Lett. 2014, 41, 1452–1458. [Google Scholar] [CrossRef]
- Hurwitz, D.M.; Head, J.W.; Hiesinger, H. Lunar sinuous rilles: Distribution, characteristics, and implications for their origin. Planet. Space Sci. 2013, 79–80, 1–38. [Google Scholar] [CrossRef]
- Lu, Y.; Wu, Y.; Michael, G.G.; Basilevsky, A.T.; Li, C. Young wrinkle ridges in Mare Imbrium: Evidence for very recent compressional tectonism. Icarus 2019, 329, 24–33. [Google Scholar] [CrossRef]
- Yue, Z.; Li, W.; Di, K.; Liu, Z.; Liu, J. Global mapping and analysis of lunar wrinkle ridges. J. Geophys. Res. Planets 2015, 120, 978–994. [Google Scholar] [CrossRef]
- Boyce, J.M.; Giguere, T.; Mouginis-Mark, P.; Glotch, T.; Taylor, G.J. Geology of Mairan middle dome: Its implication to silicic volcanism on the Moon. Planet. Space Sci. 2018, 162, 62–72. [Google Scholar] [CrossRef]
- Glotch, T.D.; Hagerty, J.J.; Lucey, P.G.; Hawke, B.R.; Giguere, T.A.; Arnold, J.A.; Williams, J.-P.; Jolliff, B.L.; Paige, D.A. The Mairan domes: Silicic volcanic constructs on the Moon. Geophys. Res. Lett. 2011, 38. [Google Scholar] [CrossRef]
- Xiao, Z.; Zeng, Z.; Ding, N.; Molaro, J. Mass wasting features on the Moon—How active is the lunar surface? Earth Planet. Sci. Lett. 2013, 376, 1–11. [Google Scholar] [CrossRef]
- Giguere, T.A.; Taylor, G.J.; Hawke, B.R.; Lucey, P.G. The titanium contents of lunar mare basalts. Meteorit. Planet. Sci. 2000, 35, 193–200. [Google Scholar] [CrossRef]
- Fischer, E.M.; Pieters, C.M. Remote determination of exposure degree and iron concentration of lunar soils using VIS-NIR spectroscopic methods. Icarus 1994, 111, 475–488. [Google Scholar] [CrossRef]
- Xiao, Z.; Strom, R.G. Problems determining relative and absolute ages using the small crater population. Icarus 2012, 220, 254–267. [Google Scholar] [CrossRef]
- Michael, G.G.; Platz, T.; Kneissl, T.; Schmedemann, N. Planetary surface dating from crater size-frequency distribution measurements: Spatial randomness and clustering. Icarus 2012, 218, 169–177. [Google Scholar] [CrossRef]
- Mazrouei, S.; Ghent, R.R.; Bottke, W.F.; Parker, A.H.; Gernon, T.M. Response to Comment on “Earth and Moon impact flux increased at the end of the Paleozoic”. Science 2019, 365. [Google Scholar] [CrossRef]
- Mustard, J.F.; Pieters, C.M.; Isaacson, P.J.; Head, J.W.; Besse, S.; Clark, R.N.; Klima, R.L.; Petro, N.E.; Staid, M.I.; Sunshine, J.M.; et al. Compositional diversity and geologic insights of the Aristarchus crater from Moon Mineralogy Mapper data. J. Geophys. Res. Planets 2011, 116. [Google Scholar] [CrossRef]
- Le Mouelic, S.; Langevin, Y.; Erard, S. The distribution of olivine in the crater Aristarchus inferred from Clementine NIR data. Geophys. Res. Lett. 1999, 26, 1195–1198. [Google Scholar] [CrossRef]
- Ling, Z.; Zhang, J.; Wu, Z.; Sun, L.; Liu, J. The compositional distribution and rock types of the Aristarchus region on the Moon. Sci. Sin. Phys. Mech. Astron. Astrophys. 2013, 43, 1403–1410. (In Chinese) [Google Scholar] [CrossRef]
- Dhingra, D.; Pieters, C.M.; Head, J.W.; Isaacson, P.J. Large mineralogically distinct impact melt feature at Copernicus crater—Evidence for retention of compositional heterogeneity. Geophys. Res. Lett. 2013, 40, 1043–1048. [Google Scholar] [CrossRef]
- Lucey, P.G.; Hawke, B.R.; Horton, K. The distribution of olivine in the Crater Copernicus. Geophys. Res. Lett. 1991, 18, 2133–2136. [Google Scholar] [CrossRef]
- Pieters, C.M. Copernicus crater central peak: Lunar mountain of unique composition. Science 1982, 215, 59–61. [Google Scholar] [CrossRef] [PubMed]
- Ohtake, M.; Matsunaga, T.; Haruyama, J.; Yokota, Y.; Morota, T.; Honda, C.; Ogawa, Y.; Torii, M.; Miyamoto, H.; Arai, T.; et al. The global distribution of pure anorthosite on the Moon. Nature 2009, 461, 236–240. [Google Scholar] [CrossRef] [PubMed]










| Crater Number (No.) | X (°) | Y (°) | Diameter (m) | FeO (wt.%) Mean | FeO (wt.%) Median | Standard Deviation |
|---|---|---|---|---|---|---|
| 1 | 309.2483 | 43.5156 | 898 | 17.0 | 17.0 | 1.05 |
| 2 | 308.2003 | 42.6849 | 275 | 17.6 | 17.7 | 0.66 |
| 3 | 306.5969 | 41.0291 | 396 | 16.9 | 16.9 | 0.97 |
| 4 | 310.9380 | 40.0592 | 335 | 17.7 | 17.7 | 0.63 |
| 5 | 309.7386 | 40.4121 | 252 | 17.4 | 17.3 | 0.71 |
| 6 | 308.0127 | 43.1216 | 339 | 17.7 | 17.6 | 0.74 |
| 7 | 307.2733 | 43.2583 | 646 | 17.2 | 17.2 | 0.63 |
| 8 | 306.6480 | 41.2637 | 328 | 17.5 | 17.4 | 0.85 |
| 9 | 309.7550 | 42.8579 | 747 | 17.2 | 17.0 | 0.90 |
| 10 | 311.4511 | 40.6872 | 477 | 17.5 | 17.5 | 0.64 |
| 11 | 311.2801 | 41.4460 | 443 | 17.4 | 17.4 | 0.68 |
| 12 | 305.0674 | 41.7707 | 307 | 17.5 | 17.5 | 0.56 |
| 13 | 311.2772 | 42.9367 | 392 | 17.2 | 17.2 | 0.63 |
| All craters | 16.6 | 17.2 | 3.49 |
| Crater Mapping Image | Em4 AMA (Ga) | Crater Countering Area (km2) | Minimum Diameter (m) | Crater Number | |
|---|---|---|---|---|---|
| Qian et al. [8] | Kaguya TC | 4742 | 200 | 1580 | |
| Wu et al. [9] | NAC | 5607 | 500 | 77 | |
| Jia et al. [10] | NAC | 17,074 | >200 | 6455 | |
| Qian et al. [11] | NAC | 29,600 | 300 | 3268 | |
| This study | NAC | 2361 | >100 | 2611 |
| Crater Name | Longitude (°) | Latitude (°) | Diameter (km) | Distance (km) | AMA (Ga) |
|---|---|---|---|---|---|
| Sharp B | 314.63 | 47.02 | 20.56 | 184.64 | |
| Harding | 288.31 | 43.55 | 22.68 | 435.60 | |
| Copernicus Aristarchus | 339.87 | 9.68 | 95.10 | 1315.05 | 0.80 a |
| 312.45 | 23.77 | 40.32 | 594.93 |
Publisher’s Note: MDPI stays neutral with regard to jurisdictional claims in published maps and institutional affiliations. |
© 2021 by the authors. Licensee MDPI, Basel, Switzerland. This article is an open access article distributed under the terms and conditions of the Creative Commons Attribution (CC BY) license (https://creativecommons.org/licenses/by/4.0/).
Share and Cite
Xu, Z.; Guo, D.; Liu, J. Maria Basalts Chronology of the Chang’E-5 Sampling Site. Remote Sens. 2021, 13, 1515. https://doi.org/10.3390/rs13081515
Xu Z, Guo D, Liu J. Maria Basalts Chronology of the Chang’E-5 Sampling Site. Remote Sensing. 2021; 13(8):1515. https://doi.org/10.3390/rs13081515
Chicago/Turabian StyleXu, Zhen, Dijun Guo, and Jianzhong Liu. 2021. "Maria Basalts Chronology of the Chang’E-5 Sampling Site" Remote Sensing 13, no. 8: 1515. https://doi.org/10.3390/rs13081515
APA StyleXu, Z., Guo, D., & Liu, J. (2021). Maria Basalts Chronology of the Chang’E-5 Sampling Site. Remote Sensing, 13(8), 1515. https://doi.org/10.3390/rs13081515

