Patch-Based Change Detection Method for SAR Images with Label Updating Strategy
Abstract
1. Introduction
1.1. Traditional Methods
1.2. AI-Based Methods
1.2.1. Pixel-Based Methods
1.2.2. Patch/Superpixel-Based Methods
1.2.3. Image-Based Methods
- Change detection through a patch-based approach. A mask function is designed to change labels with irregular shapes into a regular map such that the network can learn patches in an end-to-end way.
- Learning change features iteratively. A two-stage updating strategy is designed to enrich data diversity and suppress noise through iterative learning.
2. Methodology
2.1. Pre-Classification and Patch Generation
2.1.1. Label Pre-Classification
2.1.2. Mask Generation
2.1.3. Patch Generation
2.2. Proposed CNN and Loss Function
2.2.1. Proposed CNN
2.2.2. Loss Function
2.3. Two-Stage Updating Strategy
2.3.1. The First Stage: Classifying in Certain Areas
2.3.2. The Second Stage: Classifying in Uncertain Areas
3. Results
3.1. Introduction of Datasets
3.2. Evaluation Criterion
3.3. Experiment and Analysis
3.3.1. Results on Simulated Datasets
3.3.2. Results on the Ottawa Dataset
3.3.3. Results on the San Francisco Dataset
3.3.4. Results on the Bern Dataset
3.3.5. Results on the Farmland C Dataset
3.3.6. Results on the Farmland D Dataset
3.4. Parameter Analysis
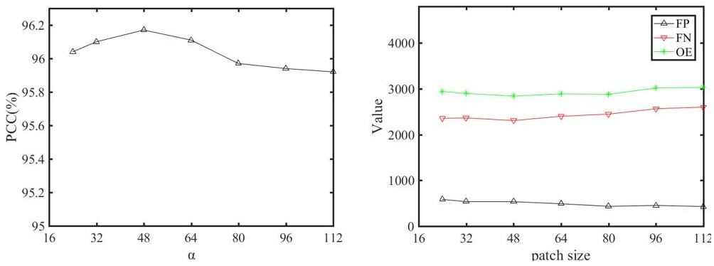
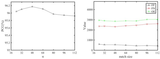
3.4.1. Analysis of the Patch Size
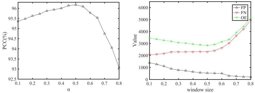
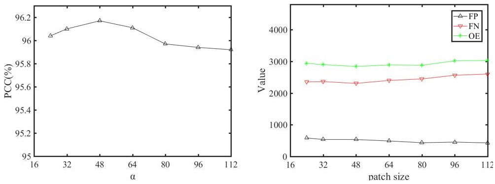
3.4.2. Analysis of the Filter Threshold (α)
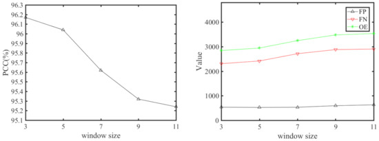
3.4.3. Analysis of the Window Size of the Filter (w)
3.5. Ablation Analysis
3.5.1. Analysis of Network
3.5.2. Analysis of the Computational Time
4. Conclusions
Author Contributions
Funding
Data Availability Statement
Conflicts of Interest
References
- Quan, S.; Xiong, B.; Xiang, D.; Zhao, L.; Zhang, S.; Kuang, G. Eigenvalue-based urban area extraction using polarimetric SAR data. IEEE J. Sel. Top. Appl. Earth Observ. Remote Sens. 2018, 11, 458–471. [Google Scholar] [CrossRef]
- Azzouzi, S.A.; Vidal-Pantaleoni, A.; Bentounes, H.A. Desertification monitoring in Biskra, algeria, with Landsat imagery by means of supervised classification and change detection methods. IEEE Access 2017, 5, 9065–9072. [Google Scholar] [CrossRef]
- Barreto, T.L.; Rosa, R.A.; Wimmer, C.; Nogueira, J.B.; Almeida, J.; Cappabianco, F.A.M. Deforestation change detection using high-resolution multi-temporal X-Band SAR images and supervised learning classification. In Proceedings of the IEEE International Geoscience and Remote Sensing Symposium (IGARSS), Beijing, China, 10–15 July 2016; pp. 5201–5204. [Google Scholar]
- Song, D.; Tan, X.; Wang, B.; Zhang, L.; Shan, X.; Cui, J. Integration of super-pixel segmentation and deep-learning methods for evaluating earthquake-damaged buildings using single-phase remote sensing imagery. Int. J. Remote Sens. 2020, 41, 1040–1066. [Google Scholar] [CrossRef]
- Brisco, B.; Schmitt, A.; Murnaghan, K.; Kaya, S.; Roth, A. SAR polarimetric change detection for flooded vegetation. Int. J. Digit. Earth 2013, 6, 103–114. [Google Scholar] [CrossRef]
- Hussain, M.; Chen, D.; Cheng, A.; Wei, H.; Stanley, D. Change detection from remotely sensed images: From pixel-based to object- based approaches. ISPRS J. Photogramm. Remote Sens. 2013, 80, 91–106. [Google Scholar] [CrossRef]
- Coppin, P.R.; Bauer, M.E. Digital change detection in forest ecosystems with remote sensing imagery. Remote Sens. Rev. 1996, 13, 207–234. [Google Scholar] [CrossRef]
- Rignot, E.J.; Van Zyl, J.J. Change detection techniques for ERS-1 SAR data. IEEE Trans. Geosci. Remote Sens. 1993, 31, 896–906. [Google Scholar] [CrossRef]
- Chen, J.; Gong, P.; He, C.; Pu, R.; Shi, P. Land-use/land-cover change detection using improved change-vector analysis. Photogramm. Eng. Remote Sens. 2003, 69, 369–379. [Google Scholar] [CrossRef]
- Nackaerts, K.; Vaesen, K.; Muys, B.; Coppin, P. Comparative performance of a modified change vector analysis in forest change detection. Int. J. Remote Sens. 2005, 26, 839–852. [Google Scholar] [CrossRef]
- Ji, W.; Ma, J.; Twibell, R.W.; Underhill, K. Characterizing urban sprawl using multi-stage remote sensing images and landscape metrics. Comput. Environ. Urban Syst. 2006, 30, 861–879. [Google Scholar] [CrossRef]
- Lunetta, R.S.; Knight, J.F.; Ediriwickrema, J.; Lyon, J.G.; Worthy, L.D. Land-cover change detection using multi-temporal MODIS NDVI data. Remote Sens. Environ. 2006, 105, 142–154. [Google Scholar] [CrossRef]
- Bovolo, F.; Bruzzone, L. A detail-preserving scale-driven approach to change detection in multitemporal SAR images. IEEE Trans. Geosci. Remote Sens. 2005, 43, 2963–2972. [Google Scholar] [CrossRef]
- Inglada, J.; Mercier, G. A new statistical similarity measure for change detection in multitemporal SAR images and its extension to multiscale change analysis. IEEE Trans. Geosci. Remote Sens. 2007, 45, 1432–1445. [Google Scholar] [CrossRef]
- Hou, B.; Wei, Q.; Zheng, Y.; Wang, S. Unsupervised change detection in SAR image based on Gauss-log ratio image fusion and compressed projection. IEEE J. Sel. Top. Appl. Earth Obs. Remote Sens. 2014, 7, 3297–3317. [Google Scholar] [CrossRef]
- Gong, M.; Cao, Y.; Wu, Q. A neighborhood-based ratio approach for change detection in SAR images. IEEE Geosci. Remote Sens. Lett. 2012, 9, 307–311. [Google Scholar] [CrossRef]
- Kittler, J.; Illingworth, J. Minimum error thresholding. Pattern Recognit. 1986, 19, 41–47. [Google Scholar] [CrossRef]
- Figueiredo, M.A.; Nowak, R.D. An EM algorithm for wavelet-based image restoration. IEEE Trans. Image Process. 2003, 12, 906–916. [Google Scholar] [CrossRef]
- Dunn, J.C. A fuzzy relative of the ISODATA process and its use in detecting compact well-separated clusters. J. Cybern. 1973, 3, 32–57. [Google Scholar] [CrossRef]
- Krinidis, S.; Chatzis, V. A robust fuzzy local information C-means clustering algorithm. IEEE Trans. Image Process. 2010, 19, 1328–1337. [Google Scholar] [CrossRef]
- Gong, M.; Zhou, Z.; Ma, J. Change detection in synthetic aperture radar images based on image fusion and fuzzy clustering. IEEE Trans. Image Process. 2012, 21, 2141–2151. [Google Scholar] [CrossRef]
- Wang, F.; Wu, Y.; Zhang, Q.; Zhang, P.; Li, M.; Lu, Y. Unsupervised change detection on SAR images using triplet Markov field model. IEEE Geosci. Remote Sens. Lett. 2012, 10, 697–701. [Google Scholar] [CrossRef]
- Marin, C.; Bovolo, F.; Bruzzone, L. Building change detection in multitemporal very high resolution SAR images. IEEE Trans. Geosci. Remote Sens. 2014, 53, 2664–2682. [Google Scholar] [CrossRef]
- Lefebvre, A.; Corpetti, T.; Hubert-Moy, L. Object-oriented approach and texture analysis for change detection in very high resolution images. In Proceedings of the IGARSS 2008—2008 IEEE International Geoscience and Remote Sensing Symposium, Boston, MA, USA, 7–11 July 2008; Volume 4. p. IV–663. [Google Scholar]
- Liu, B.; Hu, H.; Wang, H.; Wang, K.; Liu, X.; Yu, W. Superpixel-based classification with an adaptive number of classes for polarimetric SAR images. IEEE Trans. Geosci. Remote Sens. 2012, 51, 907–924. [Google Scholar] [CrossRef]
- Wu, Z.; Hu, Z.; Fan, Q. Superpixel-based unsupervised change detection using multi-dimensional change vector analysis and SVM-based classification. ISPRS Ann. Photogramm. Remote Sens. Spat. Inf. Sci. 2012, 7, 257–262. [Google Scholar] [CrossRef]
- Barreto, T.L.; Rosa, R.A.; Wimmer, C.; Moreira, J.R.; Bins, L.S.; Cappabianco, F.A.M.; Almeida, J. Classification of Detected Changes from Multitemporal High-Res Xband SAR Images Intensity and Texture Descriptors from SuperPixels. IEEE J. Sel. Top. Appl. Earth Observ. 2016, 9, 5436–5448. [Google Scholar] [CrossRef]
- Chen, G.; Hay, G.J.; Carvalho, L.M.; Wulder, M.A. Object-based change detection. Int. J. Remote Sens. 2012, 33, 4434–4457. [Google Scholar] [CrossRef]
- Daudt, R.C.; Le Saux, B.; Boulch, A.; Gousseau, Y. Urban Change Detection for Multispectral Earth Observation Using Convolutional Neural Networks. In Proceedings of the IEEE International Geoscience and Remote Sensing Symposium, Valencia, Spain, 22–27 July 2018; pp. 2115–2118. [Google Scholar]
- Yang, K.; Xia, G.S.; Liu, Z.; Du, B.; Yang, W.; Pelillo, M. Asymmetric Siamese Networks for Semantic Change Detection. arXiv 2020, arXiv:2010.05687. [Google Scholar]
- Peng, D.; Bruzzone, L.; Zhang, Y.; Guan, H.; Ding, H.; Huang, X. SemiCDNet: A Semisupervised Convolutional Neural Network for Change Detection in High Resolution Remote-Sensing Images. IEEE Trans. Geosci. Remote Sens. 2020. [Google Scholar] [CrossRef]
- Yang, M.; Jiao, L.; Liu, F.; Hou, B.; Yang, S. Transferred Deep Learning-Based Change Detection in Remote Sensing Images. IEEE Trans. Geosci. Remote Sens. 2019, 57, 6960–6973. [Google Scholar] [CrossRef]
- Li, Y.; Peng, C.; Chen, Y.; Jiao, L.; Zhou, L. A deep learning method for change detection in synthetic aperture radar images. IEEE Trans. Geosci. Remote Sens. 2019, 57, 5751–5763. [Google Scholar] [CrossRef]
- Liu, J.; Gong, M.; Qin, K.; Zhang, P. A deep convolutional coupling network for change detection based on heterogeneous optical and radar images. IEEE Trans. Neural Netw. Learn. Syst. 2016, 29, 545–559. [Google Scholar] [CrossRef] [PubMed]
- Geng, J.; Ma, X.; Zhou, X.; Wang, H. Saliency-Guided Deep Neural Networks for SAR Image Change Detection. IEEE Trans. Geosci. Remote Sens. 2019, 57, 7365–7377. [Google Scholar] [CrossRef]
- Du, B.; Ru, L.; Wu, C.; Zhang, L. Unsupervised deep slow feature analysis for change detection in multi-temporal remote sensing images. IEEE Trans. Geosci. Remote Sens. 2019, 57, 9976–9992. [Google Scholar] [CrossRef]
- Planinšič, P.; Gleich, D. Temporal change detection in SAR images using log cumulants and stacked autoencoder. IEEE Geosci. Remote Sens. Lett. 2018, 15, 297–301. [Google Scholar] [CrossRef]
- Gong, M.; Zhan, T.; Zhang, P.; Miao, Q. Superpixel-Based Difference Representation Learning for Change Detection in Multispectral Remote Sensing Images. IEEE Trans. Geosci. Remote Sens. 2017, 55, 2658–2673. [Google Scholar] [CrossRef]
- Gong, M.; Zhao, J.; Liu, J.; Miao, Q.; Jiao, L. Change detection in synthetic aperture radar images based on deep neural networks. IEEE Trans. Neural Netw. Learn. Syst. 2016, 27, 125–138. [Google Scholar] [CrossRef] [PubMed]
- Gao, F.; Dong, J.; Li, B.; Xu, Q. Automatic change detection in synthetic aperture radar images based on PCANet. IEEE Geosci. Remote Sens. Lett. 2016, 13, 1792–1796. [Google Scholar] [CrossRef]
- Gao, Y.; Gao, F.; Dong, J.; Wang, S. Change Detection from Synthetic Aperture Radar Images Based on Channel Weighting-Based Deep Cascade Network. IEEE J. Sel. Top. Appl. Earth Observ. 2019, 12, 4517–4529. [Google Scholar] [CrossRef]
- Gong, M.; Yang, H.; Zhang, P. Feature learning and change feature classification based on deep learning for ternary change detection in SAR images. ISPRS J. Photogramm. Remote Sens. 2017, 129, 212–225. [Google Scholar] [CrossRef]
- Lei, Y.; Liu, X.; Shi, J.; Lei, C.; Wang, J. Multiscale superpixel segmentation with deep features for change detection. IEEE Access 2019, 7, 36600–36616. [Google Scholar] [CrossRef]
- Lv, N.; Chen, C.; Qiu, T.; Sangaiah, A.K. Deep learning and superpixel feature extraction based on contractive autoencoder for change detection in SAR images. IEEE Trans. Ind. Inf. 2018, 14, 5530–5538. [Google Scholar] [CrossRef]
- El Amin, A.M.; Liu, Q.; Wang, Y. Zoom out cnns features for optical remote sensing change detection. In Proceedings of the 2017 2nd International Conference on Image, Vision and Computing (ICIVC), Chengdu, China, 2–4 June 2017; pp. 812–817. [Google Scholar]
- Zhang, X.; Liu, G.; Zhang, C.; Atkinson, P.M.; Tan, X.; Jian, X.; Zhou, X.; Li, Y. Two-phase object-based deep learning for multi-temporal SAR image change detection. Remote Sens. 2020, 12, 548. [Google Scholar] [CrossRef]
- Chen, J.; Liu, H.; Hou, J.; Yang, M.; Deng, M. Improving Building Change Detection in VHR Remote Sensing Imagery by Combining Coarse Location and Co-Segmentation. ISPRS Int. J. Geo-Inf. 2018, 7, 213. [Google Scholar] [CrossRef]
- Chen, H.; Shi, Z. A Spatial-Temporal Attention-Based Method and a New Dataset for Remote Sensing Image Change Detection. Remote Sens. 2020, 12, 1662. [Google Scholar] [CrossRef]
- Hou, B.; Wang, Y.; Liu, Q. Change detection based on deep features and low rank. IEEE Geosci. Remote Sens. Lett. 2017, 14, 2418–2422. [Google Scholar] [CrossRef]
- Zhan, Y.; Fu, K.; Yan, M.; Sun, X.; Wang, H.; Qiu, X. Change detection based on deep siamese convolutional network for optical aerial images. IEEE Geosci. Remote Sens. Lett. 2017, 14, 1845–1849. [Google Scholar] [CrossRef]
- Daudt, R.C.; Le Saux, B.; Boulch, A. Fully convolutional siamese networks for change detection. In Proceedings of the ICIP, Athens, Greece, 7–10 October 2018; pp. 4063–4067. [Google Scholar]
- Guo, E.; Fu, X.; Zhu, J.; Deng, M.; Liu, Y.; Zhu, Q.; Li, H. Learning to measure change: Fully convolutional siamese metric networks for scene change detection. arXiv 2018, arXiv:1810.09111. [Google Scholar]
- Chen, J.; Yuan, Z.; Peng, J.; Chen, L.; Huang, H.; Zhu, J.; Liu, Y.; Li, H. DASNet: Dual attentive fully convolutional Siamese networks for change detection of high resolution satellite images. arXiv 2020, arXiv:2020:2003.03608. [Google Scholar] [CrossRef]
- Zhang, P.; Gong, M.; Zhang, H.; Liu, J.; Ban, Y. Unsupervised Difference Representation Learning for Detecting Multiple Types of Changes in Multitemporal Remote Sensing Images. IEEE Trans. Geosci. Remote Sens. 2018, 57, 2277–2289. [Google Scholar] [CrossRef]
- Gao, Y.; Gao, F.; Dong, J.; Wang, S. Transferred deep learning for sea ice change detection from synthetic-aperture radar images. IEEE Geosci. Remote Sens. Lett. 2019, 16, 1655–1659. [Google Scholar] [CrossRef]
- Peng, D.; Zhang, Y.; Guan, H. End-to-end change detection for high resolution satellite images using improved unet++. Remote Sens. 2019, 11, 1382. [Google Scholar] [CrossRef]
- Ji, S.; Wei, S.; Lu, M. Fully Convolutional Networks for Multisource Building Extraction from an Open Aerial and Satellite Imagery Data Set. IEEE Trans. Geosci. Remote Sens. 2018, 57, 574–586. [Google Scholar] [CrossRef]
- Qiu, Y.; Wang, R.; Tao, D.; Cheng, J. Embedded block residual network: A recursive restoration model for single-image super-resolution. In Proceedings of the ICCV, Seoul, Korea, 27 October–2 November 2019; pp. 4180–4189. [Google Scholar]
- Ronneberger, O.; Fischer, P.; Brox, T. U-net: Convolutional networks for biomedical image segmentation. In Proceedings of the MICCAI, Munich, Germany, 5–9 October 2015; pp. 234–241. [Google Scholar]
- Zhan, T.; Gong, M.; Liu, J.; Zhang, P. Iterative feature mapping network for detecting multiple changes in multi-source remote sensing images. ISPRS J. Photogramm. Remote Sens. 2018, 146, 38–51. [Google Scholar] [CrossRef]
- Hur, J.; Roth, S. Iterative residual refinement for joint optical flow and occlusion estimation. In Proceedings of the CVPR, Long Beach, CA, USA, 16–20 June 2019; pp. 5754–5763. [Google Scholar]
- Rosenfield, G.H.; Fitzpatrick-Lins, K. A coefficient of agreement as a measure of thematic classification accuracy. Photogram. Eng. Remote Sens. 1986, 52, 223–227. [Google Scholar]
- Gao, F.; Dong, J.; Li, B.; Xu, Q.; Xie, C. Change detection from synthetic aperture radar images based on neighborhood-based ratio and extreme learning machine. J. Appl. Remote Sens. 2016, 10, 046019. [Google Scholar] [CrossRef]


























| Layers | Kernel Size | Type | Output Size | Layers | Kernel Size | Type | Output Size |
|---|---|---|---|---|---|---|---|
| 1~2 | 3 × 3 | Conv | 48 × 48 × 12 | 20 | 2 × 2 | Deconv | 24 × 24 × 48 |
| 3 | 2 × 2 | Max pooling | 24 × 24 × 12 | 21~22 | 3 × 3 | Conv | 24 × 24 × 12 |
| 4~5 | 3 × 3 | Conv | 24 × 24 × 24 | 23 | 2 × 2 | Deconv | 48 × 48 × 24 |
| 6 | 2 × 2 | Max pooling | 12 × 12 × 24 | 24~25 | 3 × 3 | Conv | 48 ×48 × 6 |
| 7~8 | 3 × 3 | Conv | 12 × 12 × 48 | 26 | 8 × 8 | Deconv | 48 × 48 × 48 |
| 9 | 2 × 2 | Max pooling | 6 × 6 × 48 | 27~29 | 3 × 3 | Conv | 48 ×48 × 6 |
| 10~11 | 3 × 3 | Conv | 6 × 6 × 96 | 30 | 4 × 4 | Deconv | 48 × 48 × 24 |
| 12 | 2 × 2 | Max pooling | 3 × 3 × 96 | 31~32 | 3 × 3 | Conv | 48 ×48 × 6 |
| 13 | 3 × 3 | Conv | 3 × 3 × 96 | 33 | 2 × 2 | Deconv | 48 × 48 × 12 |
| 14 | 2 × 2 | Deconv | 6 × 6 × 192 | 34 | 3 × 3 | Conv | 48 ×48 × 6 |
| 15~16 | 3 × 3 | Conv | 6 × 6 × 48 | 35~36 | 3 × 3 | Conv | 48 ×48 × 2 |
| 17 | 2 × 2 | Deconv | 12 × 12 × 96 | 37 | - | Sigmoid | 48 ×48 × 2 |
| 18~19 | 3 × 3 | Conv | 12 × 12 × 24 |
| Methods | FP | FN | OE | PCC | Kappa |
|---|---|---|---|---|---|
| Gabor-PCANet | 8256 | 19 | 8275 | 84.96 | 40.22 |
| NR-ELM | 4873 | 153 | 5026 | 90.86 | 53.39 |
| DBN | 3147 | 24 | 3171 | 94.24 | 66.24 |
| CNN | 2571 | 5 | 2576 | 95.32 | 71.08 |
| Proposed | 1582 | 21 | 1603 | 97.09 | 80.05 |
| Methods | FP | FN | OE | PCC | Kappa |
|---|---|---|---|---|---|
| Gabor-PCANet | 788 | 1037 | 1825 | 98.20 | 93.20 |
| NR-ELM | 528 | 1244 | 1772 | 98.25 | 93.32 |
| DBN | 388 | 1164 | 1552 | 98.47 | 94.14 |
| CNN | 446 | 951 | 1397 | 98.62 | 94.76 |
| Proposed | 723 | 648 | 1371 | 98.65 | 94.94 |
| Methods | FP | FN | OE | PCC | Kappa |
|---|---|---|---|---|---|
| Gabor-PCANet | 299 | 383 | 682 | 98.96 | 92.10 |
| NR-ELM | 10026 | 10 | 10036 | 84.69 | 41.94 |
| DBN | 1081 | 215 | 1296 | 98.02 | 86.26 |
| CNN | 863 | 137 | 1000 | 98.47 | 89.27 |
| Proposed | 246 | 261 | 507 | 99.23 | 94.16 |
| Ref. No. | FP | FN | OE | PCC | Kappa |
|---|---|---|---|---|---|
| Gabor-PCANet | 30 | 431 | 461 | 99.49 | 75.61 |
| NR-ELM | 301 | 119 | 420 | 99.54 | 82.91 |
| DBN | 255 | 103 | 358 | 99.61 | 85.26 |
| CNN | 252 | 134 | 386 | 99.57 | 83.89 |
| Proposed | 89 | 230 | 319 | 99.65 | 85.12 |
| Ref. No. | FP | FN | OE | PCC | Kappa |
|---|---|---|---|---|---|
| Gabor-PCANet | 95 | 1055 | 1150 | 98.71 | 87.32 |
| NR-ELM | 98 | 1840 | 1938 | 97.82 | 76.87 |
| DBN | 561 | 668 | 1229 | 98.62 | 87.49 |
| CNN | 504 | 754 | 1258 | 98.59 | 87.03 |
| Proposed | 303 | 738 | 1041 | 98.83 | 89.08 |
| Ref. No. | FP | FN | OE | PCC | Kappa |
|---|---|---|---|---|---|
| Gabor-PCANet | 1951 | 1509 | 3460 | 95.34 | 84.48 |
| NR-ELM | 600 | 3788 | 4388 | 94.09 | 78.03 |
| DBN | 353 | 3856 | 4209 | 94.33 | 78.70 |
| CNN | 959 | 2548 | 3507 | 95.27 | 83.29 |
| Proposed | 535 | 2307 | 2842 | 96.17 | 86.39 |
| W/O F | W F | W/O U | One U | Two U | PCC (%) | Kappa |
|---|---|---|---|---|---|---|
| √ | √ | 95.02 | 81.96 | |||
| √ | √ | 95.76 | 84.68 | |||
| √ | √ | 96.00 | 85.65 | |||
| √ | √ | 95.34 | 83.22 | |||
| √ | √ | 96.03 | 85.79 | |||
| √ | √ | 96.17 | 86.39 |
Publisher’s Note: MDPI stays neutral with regard to jurisdictional claims in published maps and institutional affiliations. |
© 2021 by the authors. Licensee MDPI, Basel, Switzerland. This article is an open access article distributed under the terms and conditions of the Creative Commons Attribution (CC BY) license (http://creativecommons.org/licenses/by/4.0/).
Share and Cite
Shu, Y.; Li, W.; Yang, M.; Cheng, P.; Han, S. Patch-Based Change Detection Method for SAR Images with Label Updating Strategy. Remote Sens. 2021, 13, 1236. https://doi.org/10.3390/rs13071236
Shu Y, Li W, Yang M, Cheng P, Han S. Patch-Based Change Detection Method for SAR Images with Label Updating Strategy. Remote Sensing. 2021; 13(7):1236. https://doi.org/10.3390/rs13071236
Chicago/Turabian StyleShu, Yuanjun, Wei Li, Menglong Yang, Peng Cheng, and Songchen Han. 2021. "Patch-Based Change Detection Method for SAR Images with Label Updating Strategy" Remote Sensing 13, no. 7: 1236. https://doi.org/10.3390/rs13071236
APA StyleShu, Y., Li, W., Yang, M., Cheng, P., & Han, S. (2021). Patch-Based Change Detection Method for SAR Images with Label Updating Strategy. Remote Sensing, 13(7), 1236. https://doi.org/10.3390/rs13071236
